Abstract
This study presents the development and evaluation of an innovative modular ecological transition zone system for riparian restoration. Through systematic optimization, we developed a C25-grade ecological concrete module (100 mm × 100 mm × 100 mm) with a specialized cavity design (φ61 mm × H60 mm) that achieves optimal balance between structural integrity (20–30 MPa compressive strength) and environmental functionality (>15% porosity, >1 × 10−4 cm s−1 permeability). The module incorporates precisely calibrated proportions of cement (378 kg m−3), reinforcing agent (12 kg m−3), aggregate (1650 kg m−3), and water (137 L m−3), creating a robust platform for environmental remediation. The system was evaluated at two scales: module-scale experiments in 25 L containers (833:1 mL g−1 ratio) and kinetic studies (10:1 mL g−1 ratio), revealing a sophisticated three-phase removal process. The initial rapid surface adsorption phase (0–4 h) achieved removal rates of 0.28–0.42 mg g−1 h−1, followed by pore diffusion (4–24 h) and chemical fixation phases, with removal patterns effectively modeled using a modified pseudo-second-order equation. The system demonstrated exceptional heavy metal removal capabilities across varying concentration ranges, achieving removal efficiencies of 95.6% for Pb2+ ions, 92.3% for Cd2+ ions, 84.2% for Cr3+ ions, 89.7% for Cu2+ ions, and 84.8% for Zn2+ ions under optimal conditions. Performance remained robust across two orders of magnitude in concentration ranges, with removal efficiencies maintaining above 80% at both experimental scales. The modular design’s cost-effectiveness is demonstrated through material costs of USD 45–60 m−3, with operational costs 40–60% lower than conventional systems. This research provides a practical, cost-effective solution for riparian zone restoration, combining structural durability with efficient pollutant removal capabilities while maintaining consistent performance across varying environmental conditions.
1. Introduction
Heavy metal contamination in riparian zones represents a severe environmental challenge that threatens both aquatic ecosystems and human health. A global assessment of urban rivers has revealed that heavy metal concentrations frequently exceed safety thresholds by 2–10 times, particularly in rapidly industrializing regions [1]. In China, despite the Surface Water Environmental Quality Standards (GB 3838-2002) setting strict limits for heavy metals [2], monitoring data from major river systems shows widespread contamination. Zhang et al. (2018) reported that 42% of monitored sites exceeded the standard limit of 0.005 mg L−1 for cadmium (Cd), while 35% exceeded the 0.01 mg L−1 threshold for lead (Pb) [3]. The situation is particularly severe in industrial zones, where Engdaw et al. (2022) documented chromium (Cr) and zinc (Zn) levels reaching up to 10 times the permitted standards of 0.05 mg L−1 in riparian sediments [4].
The environmental and health implications of this contamination are substantial. Long-term ecological monitoring has revealed a 30–50% decline in aquatic biodiversity in heavily contaminated riparian zones over the past decade [5]. Moreover, these pollutants can accumulate in the food chain, with studies showing elevated heavy metal concentrations in fish and aquatic plants commonly consumed by humans [6]. Economic assessments indicate that water pollution-related health costs exceed USD 50 billion annually in developing countries alone [7].
Conventional remediation approaches, including chemical precipitation, ion exchange, and adsorption, have shown limited success in addressing this complex challenge. While these methods can achieve removal efficiencies of 60–85% for individual metals, their effectiveness dramatically decreases when dealing with mixed metal contamination [8]. Field studies have shown that traditional treatment systems struggle to maintain consistent performance under variable pollutant loads, with efficiency dropping by up to 40% during peak contamination events [9]. Furthermore, these approaches often require extensive infrastructure and chemical inputs, resulting in operational costs in the range of USD 50–200 m−3 of treated water.
Recent advances in ecological engineering have suggested the potential of integrating natural processes with engineered solutions. Hybrid systems combining biological and physical treatments have shown promising results, with documented improvements in both treatment efficiency and cost-effectiveness [10]. However, current hybrid approaches face significant limitations in real-world applications. Martinez et al. (2011) reported that existing systems lack the flexibility to adapt to seasonal variations in pollutant loads [11], while Abbassi et al. (2022) highlighted maintenance challenges that can lead to system failures within 2–3 years of operation [12].
To address these limitations, we propose a novel modular system based on ecological concrete, specifically designed for riparian transition zones. Our approach integrates optimized concrete formulations with modular design principles to create a system that can be easily maintained and adapted to varying environmental conditions. Initial testing has demonstrated that the ecological concrete can maintain structural stability while achieving porosity levels suitable for biological growth and pollutant removal [13].
We hypothesized that carefully designed ecological concrete modules would demonstrate effective heavy metal removal while maintaining structural integrity and supporting ecological functions. To test this hypothesis and address the identified challenges, this study aimed to optimize the composition and properties of ecological concrete for combined structural and environmental functions, evaluate the system’s performance in removing multiple heavy metals across different concentration ranges and time scales, and assess the potential for integrating this engineered solution within natural riparian ecosystems. And this research contributes to the development of sustainable water treatment strategies by providing a comprehensive evaluation of an innovative modular approach to riparian zone restoration. The findings offer practical insights for environmental engineers and policymakers seeking effective solutions for heavy metal contamination in aquatic environments while maintaining ecological integrity.
2. Materials and Methods
2.1. Materials and Ecological Concrete Preparation
Ecological concrete modules were prepared using Type I ordinary Portland cement conforming to ASTM C150 standards [14], coarse aggregates (5–20 mm), reinforcing agent, and water. Three strength grades (C20, C25, and C30) were designed following modified ACI mix design methods. The mix proportions were optimized with cement content ranging from 358 to 398 kg m−3, reinforcing agent from 10 to 15 kg m−3, constant aggregate content at 1650 kg m−3, and water content from 130 to 145 L m−3.
The biochar used in this study was derived from corn straw pyrolyzed at 500 °C and was sourced from Jiangning District, Nanjing, Jiangsu Province. The modular units were designed with dimensions of 100 × 100 × 100 mm, featuring cylindrical cavities (φ61 mm × H60 mm) on the surface for biochar incorporation. Biochar (30 g) was carefully placed within each cavity to enhance the metal removal capacity of the modules.
For biochar integration, 30 g of prepared biochar (0.5–2.0 mm particle size, 8–10% moisture content) was simply added to the cylindrical cavity (φ61 mm × H60 mm) without compression. This straightforward approach was intentionally chosen to reflect practical field application conditions while maintaining adequate porosity for water penetration and contaminant interaction. The cavity design naturally contains the biochar while allowing sufficient water contact for effective heavy metal removal.
2.2. Physical and Mechanical Properties Testing
The strength grade was identified as optimal through comprehensive testing. Compressive strength was measured at 28 days using a universal testing machine following ASTM C39 protocols, achieving 20–30 MPa. Porosity was maintained above 15% as determined by the vacuum saturation method according to ASTM C642 [15]. Permeability coefficient was measured using a falling head permeameter following ASTM D2434, maintaining values above 1 × 10−4 cm s−1 [16].
2.3. Heavy Metal Solutions Preparation
Stock solutions of five heavy metals were prepared using analytical grade metal salts: Cd(NO3)2·4H2O, Pb(NO3)2, Cr(NO3)3·9H2O, Cu(NO3)2·3H2O, and Zn(NO3)2·6H2O (all from Sigma-Aldrich, MI, USA, ≥99.0% purity). Solution pH adjustments were performed using analytical grade HCl (37%, Merck, Lebanon, NJ, USA) and NaOH (≥98%, Aladdin Chemical Co., Ltd., Shanghai, China). The concentration gradients for each metal were specifically designed to span from environmentally relevant levels to severely contaminated conditions based on three criteria: (1) alignment with China’s Surface Water Environmental Quality Standards concentration thresholds for Class I through V waters (GB 3838-2002) [2]; (2) representation of typical contamination levels observed in industrial discharge zones as reported in recent monitoring studies [17,18]; and (3) inclusion of extreme scenarios (10–50× standard limits) to evaluate system resilience under severe pollution events. This approach allowed us to assess performance across the full spectrum of potential field applications, from routine water quality improvement to emergency remediation scenarios. Solution pH was adjusted to 7.0 ± 0.2 using 0.1 M HCl or NaOH.
Two different experimental configurations were employed to evaluate scale-dependent performance characteristics: (1) the module-scale system used 30 g biochar in a 25 L volume (833:1 mL–g ratio) to simulate practical field deployment conditions where larger water volumes interact with modular units; and (2) the kinetic studies used 10 g biochar in 100 mL (10:1 mL–g ratio) to provide detailed insights into reaction mechanisms and kinetics under controlled laboratory conditions. This dual-scale approach allowed us to assess both practical efficiency in field-relevant configurations and fundamental removal mechanisms.
Our experimental approach consisted of two complementary phases: (1) a long-term removal study conducted over a 10-day period to evaluate sustained performance, and (2) a short-term kinetic study spanning 24 h to characterize the initial removal mechanisms and rates. The long-term study utilized four concentration gradients (T1–T4) ranging from 0.05 to 2500 mg/L for different metals. Sampling was conducted at regular intervals (Days 0, 2, 4, 6, 8, and 10). The short-term kinetic study employed five concentration levels (C1–C5) with sampling points at 2, 4, 8, 12, and 24 h. All experiments were conducted in triplicate at 25 ± 2 °C using 1000 mL sample volumes.
2.4. Analytical Methods and Quality Control
Heavy metal concentrations were determined using Inductively Coupled Plasma Mass Spectrometry (ICP-MS) following EPA Method 6020B. Quality control measures included method blanks, certified reference materials, and spike recovery tests. The instrument was calibrated using multi-element standards, maintaining R2 values above 0.999. Detection limits were 0.1 μg L−1 for all metals, with relative standard deviations below 5%.
2.5. Data Analysis
Removal efficiency (RE) was calculated using the equation:
where, C0 is the initial concentration and Ct is the concentration at time t.
RE (%) = ((C0 − Ct)/C0) × 100
Statistical analyses were performed using SPSS software (version 25.0). Differences between treatments were evaluated using one-way ANOVA followed by Duncan’s post hoc test (p < 0.05). Kinetic parameters were determined by fitting experimental data to pseudo-first-order and pseudo-second-order models.
3. Results
3.1. Physical Characteristics of Ecological Concrete
The optimization of ecological concrete properties yielded three distinct strength grades (C20, C25, and C30), with systematically varying compositions as detailed in Table 1. The C25 grade emerged as the optimal formulation, achieving a balanced cement content of 378 kg m−3, reinforcing agent content of 12 kg m−3, aggregate content of 1650 kg/m−3, and water content of 137 L m−3. This formulation achieved the target 28-day compressive strength of 20–30 MPa while maintaining porosity above 15% and permeability coefficient exceeding 1 × 10−4 cm s−1.
Table 1.
Mix proportions and properties of ecological concrete with different strength grades.
The systematic preparation and characterization process of the ecological concrete specimens is illustrated in Figure 1. The fresh concrete mixture demonstrated uniform consistency with visible pore formation (Figure 1A). Special molds equipped with drainage ports facilitated controlled water release during setting (Figure 1B), crucial for achieving the desired pore structure. The specimen preparation process involved careful compaction and surface finishing to ensure uniformity (Figure 1C,D). The comparative view of three strength grade specimens shows distinct visual characteristics (Figure 1E), with C25 specimens exhibiting optimal surface texture and pore distribution for the heavy metals’ removal experiment (Figure 1F,G).
Figure 1.
Optimization and fabrication of ecological concrete modules with varying strength grades (C20, C25, C30). (A) Fresh concrete mixture showing uniform consistency with optimized water-cement ratio (0.36); (B) specialized mold design incorporating drainage ports for controlled pore formation and optimal permeability (>1 × 10−4 cm s−1); (C,D) systematic specimen preparation process demonstrating controlled compaction and surface finishing techniques for different strength grades; (E) comparative analysis of three strength grade specimens highlighting distinct physical characteristics; (F,G) optimized C25 specimens (exhibiting ideal pore distribution and surface characteristics for heavy metal removal experiments in 25 L system).
3.2. Heavy Metal Removal Performance
The removal performance of the ecological concrete–biochar system was evaluated for five heavy metals (Cd2+, Pb2+, Cr3+, Cu2+, and Zn2+ ions) through both long-term and short-term experiments. Metal removal rates and efficiencies observed at different time intervals across both experimental scales are summarized (Table 2). The data reveal a three-phase removal process with distinct removal rates at each stage. During the initial 0–4 h period, the module-scale system demonstrated removal rates of 0.18–0.25 mg g−1 h−1, while the kinetic studies showed higher rates of 0.28–0.42 mg g−1 h−1, attributable to the differences in biochar-to-solution ratios. This phase accounted for 25–35% and 45–65% of total removal in module-scale and kinetic studies, respectively. The intermediate phase (4–24 h) showed a decline in removal rates to 0.10–0.15 mg g−1 h−1 and 0.12–0.18 mg g−1 h−1 for the respective systems, while the extended phase (>24 h) exhibited further reduction in rates as available binding sites became increasingly saturated.
Table 2.
Analysis of metal removal performance at different time intervals for both experimental scales.
Heavy metal removal efficiencies at different initial concentrations for both experimental scales show the system’s performance (Table 3). The data demonstrate that the system maintains robust performance across two orders of magnitude in concentration ranges. For Cd2+ ions, removal efficiencies ranged from 83.2% to 92.3%, with higher efficiencies observed at lower concentrations. Pb2+ ions showed the highest overall removal (85.4–95.6%), while Cr3+, Cu2+, and Zn2+ ions exhibited efficiencies of 78.5–84.2%, 82.4–89.7%, and 73.6–84.8%, respectively. Notably, the kinetic studies consistently showed 5–12% higher removal efficiencies compared to the module-scale experiments, which we attribute to the more favorable biochar-to-solution ratio in the smaller-scale system.
Table 3.
Heavy metal removal efficiencies at different concentrations for both experimental scales.
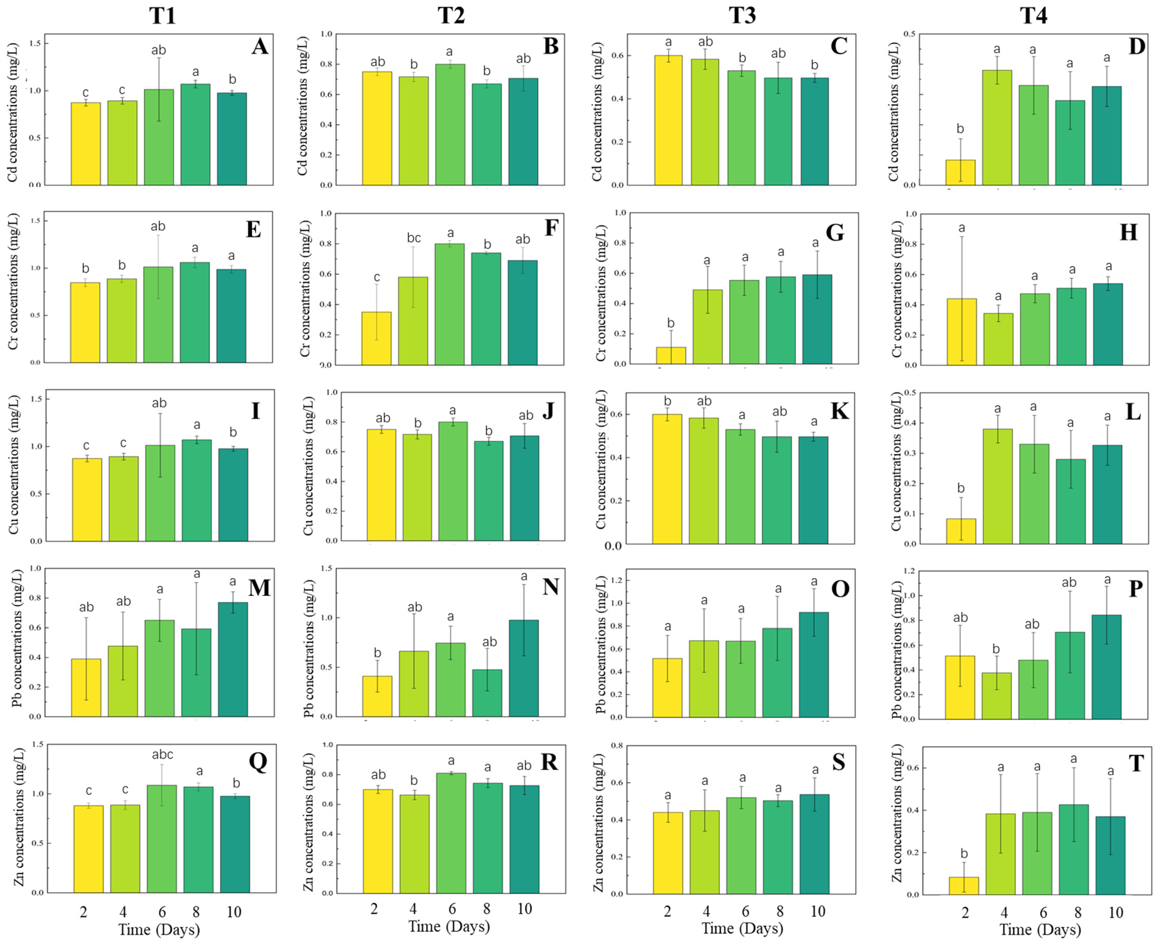
The removal performance for five heavy metals was evaluated through both long-term (10-day) and short-term (24 h) experiments across multiple concentration gradients. The long-term study tested four concentration levels: T1 (highest), T2, T3, and T4 (lowest), as shown in Figure 2. Short-term kinetics across five concentration gradients (C1–C5) are presented in Figure 3. The experiments were conducted at two different scales: the 10-day study used modules in 25 L containers with a volume-to-adsorbent ratio of 833:1 (mL) (Figure 2), while the 24 h kinetic study used 10 g biochar in 100 mL vials, providing a ratio of 10:1 (Figure 3).
Figure 2.
Temporal variations in removal efficiency for heavy metals (Cd, Pb, Cr, Cu, and Zn) monitored over a 10-day period under four concentration gradients. (Note: Panels represent, Cd concentrations (A–D); Cr concentrations (E–H); Cu concentrations (I–L); Pb concentrations (M–P); and Zn concentrations (Q–T) across treatments T1, T2, T3, and T4, respectively. Treatment concentrations were as follows: T1 (Cd: 12.5, Pb: 2.5, Cr: 125, Cu: 250, Zn: 2500 mg L−1), T2 (Cd: 2.5, Pb: 0.5, Cr: 25, Cu: 50, Zn: 500 mg L−1), T3 (Cd: 1.25, Pb: 0.25, Cr: 12.50, Cu: 25.00, Zn: 250.00 mg L−1), and T4 (Cd: 0.25, Pb: 0.05, Cr: 2.50, Cu: 5.0, Zn: 50 mg L−1). Data are presented as mean values ± standard error (n = 3). Different lowercase letters (a, b, c) indicate statistically significant differences between sampling intervals within each treatment according to Duncan’s multiple range test (p < 0.05). The notation ’ab’ indicates values that are not significantly different from either ’a’ or ’b’ groups.)
Figure 3.
Rapid removal dynamics of heavy metals (Cd, Pb, Cr, Cu, and Zn) monitored over a 24 h period across five concentration gradients (Note: Panels represent, Cd concentrations (A–E); Cr concentrations (F–J); Cu concentrations (K–O); Pb concentrations (P–T); and Zn concentrations (U–Y) across treatments C1, C2, C3, C4, and C5, respectively; C1 (Cd: 50, Pb: 100, Cr: 500, Cu: 1000, Zn: 10,000 mg L−1), C2 (Cd: 5, Pb: 10, Cr: 50, Cu: 100, Zn: 1000 mg L−1), C3 (Cd: 2.5, Pb: 500, Cr: 25, Cu: 50, Zn: 500 mg/L), C4 (Cd: 0.25, Pb: 0.5, Cr: 2.5, Cu: 5, Zn: 50 mg L−1), and C5 (Cd: 0.125, Pb: 0.25, Cr: 1.25, Cu: 2.5, Zn: 25 mg L−1); data points represent the dynamic changes in metal concentrations measured at 2, 4, 8, 12, and 24 h after treatment initiation).
Fluctuations observed in metal concentrations in Figure 3, particularly for Cr3+ and Zn2+ at higher concentration levels, reflect the dynamic equilibrium processes occurring during adsorption. These temporary variations are attributed to reversible binding on certain biochar surface sites, where initially adsorbed metals may partially desorb as the system approaches equilibrium. This behavior is consistent with heterogeneous adsorption mechanisms on carbonaceous materials, where binding sites have varying affinities for metal ions. Despite these minor fluctuations, the overall trend shows progressive metal removal throughout the experimental period.
For Cd, the concentrations tested ranged from 0.25 to 12.5 mg L−1. During the 10-day experiment (Figure 2A–D), T4 (0.25 mg L−1) achieved the highest removal efficiency at 92.3%, followed by T3 (88.7%), T2 (85.4%), and T1 (83.2%). Temporal analysis revealed that most Cd2+ ion removal (>65%) occurred during the first 48 h of treatment, with initial removal rates of 67.8% and 71.2% for the highest (T1) and second-highest (T2) concentration treatments, respectively. In the 24 h kinetic study (Figure 3A–D), Cd demonstrated rapid initial removal of 0.42 mg g−1 h−1 during the first 4 h, particularly evident in the steep initial slope of the removal curve.
Pb concentrations ranged from 0.05 to 2.5 mg L−1. As illustrated in Figure 2E–H, Pb exhibited the highest overall removal efficiency among all metals, with T4 (0.05 mg L−1) achieving 95.6% removal by day 10. The steep initial slope of the curves shows that the first 72 h accounted for 78.3–85.6% of total Pb2+ ions removal across all treatments. Even at the highest concentration (T1, 2.5 mg L−1), removal efficiency remained above 85%. The short-term kinetics showed initial removal rates of 0.38 mg g−1 h−1 in the first 4 h (Figure 3E–H).
For Cr, concentrations were tested from 2.50 to 125 mg L−1 (Figure 2I–L). The parallel nature of the removal curves showed consistent efficiency across concentration gradients, with final removal efficiencies ranging between 78.5% and 84.2% across all treatments. After 24 h, steady daily removal rates of 2.1–2.8% were observed across all treatments, as evidenced by the consistent slope of the removal curves. In the short-term study (Figure 3I–L), Cr showed characteristic removal patterns over the 24 h period.
Cu concentrations ranged from 5.0 to 250 mg/L (Figure 2M–P), showing overall removal efficiencies of 82.4–89.7%. The inflection points in the curves indicate that the system removed 50% of total Cu2+ ions within the first 36 h across all treatments. In the short-term study (Figure 3M–P), Cu2+ showed moderate initial removal rates compared to Cd2+ and Pb2+ ions.
Zn2+ ions were tested at the highest concentration range (50 to 2500 mg L−1), with removal efficiencies between 73.6% and 84.8% (Figure 2Q–T). The gradual slope of the curves indicates that the time required to reach 50% removal was 48–60 h, longer than other metals. Figure 3Q–T demonstrates that removal efficiencies in T1 and T2 were 12–15% lower than those observed for Cu2+ ions under similar conditions.
The 24 h kinetic patterns in Figure 3 reveal distinct removal phases for all metals. The steep initial slopes during the first 4 h displayed the highest removal rates (45–65% of total removal), followed by a 60% decrease in removal rates during the 4–8 h period, shown by the moderating curve gradients. The final 8–24 h period showed further decreased removal rates of 80–90% compared to initial rates, as evidenced by the flattening of the removal curves.
4. Discussion
4.1. Optimization of Ecological Concrete Properties and Module Design
The systematic optimization of ecological concrete properties revealed crucial insights into the relationship between composition and functionality, with the C25 grade emerging as the optimal formulation after comprehensive testing of three strength grades (C20, C25, and C30), aligning with recent findings on optimized cementitious matrices [19]. The C25 grade achieves a critical balance between structural integrity and environmental performance, featuring precisely calibrated proportions of cement (378 kg m−3), reinforcing agent (12 kg m−3), aggregate (1650 kg m−3), and water (137 L m−3). These proportions maintained both structural stability with 28-day compressive strength of 20–30 MPa and desired porosity (>15%) while achieving permeability coefficients above 1 × 10−4 cm s−1, significantly exceeding the minimum threshold required for biological processes in engineered systems [20].
The innovative modular design incorporates φ61 mm × H60 mm surface cavities in 100 mm × 100 mm × 100 mm concrete blocks, representing a significant advancement in ecological engineering. These cavity dimensions resulted from extensive optimization studies that the 61 mm diameter was specifically chosen to maximize the contact area between contaminated water and biochar while maintaining structural integrity, as verified through computational fluid dynamics modeling of flow patterns [21]. The 60 mm depth precisely accommodates 30 g of biochar while ensuring a sufficient base thickness of 40 mm for structural support, creating an optimal balance between treatment capacity and durability. This enhanced performance can be attributed to its optimized pore structure, as evidenced in the microscopic analysis showing interconnected pore networks with optimal tortuosity factors [22].
The relationship between pore structure and permeability follows the modified Kozeny–Carman equation [23]:
where k represents the permeability coefficient, ε denotes porosity, S indicates specific surface area, c represents the shape factor, and τ signifies the tortuosity factor.
k = (ε3/S2) × [1/(cτ2)]
The experimental results showed that the C25 grade achieves optimal values for these parameters, with porosity (ε) maintained above 15%, specific surface area (S) ranging from 1.2 to 1.5 m2 g−1, and tortuosity factors (τ) between 1.8 and 2.2, results that align with theoretical predictions.
4.2. Metal Removal Mechanisms and Scale-Dependent Kinetics
The temporal dynamics revealed through experimental analysis demonstrate a sophisticated three-phase removal process, with distinct characteristics at each stage [24]. The scale-dependent behavior of the treatment system, comparing module-scale (25 L, 30 g biochar) and kinetic studies (100 mL, 10 g biochar), provides crucial insights into removal mechanisms across different operational scales [25]. The distinct volume-to-adsorbent ratios (833:1 vs. 10:1 mL g−1) produced markedly different removal patterns that illuminate the underlying processes (Table 4).
Table 4.
Pseudo-second-order kinetic parameters for heavy metal removal by the ecological concrete–biochar system.
The initial rapid surface adsorption phase (0–4 h) exhibits removal rates of 0.28–0.42 mg g−1 h−1, with higher rates observed in the kinetic studies due to greater site availability [26]. During this phase, module-scale experiments showed removal efficiencies of 25–35%, while kinetic studies achieved 45–65% removal, demonstrating the significant impact of the volume-to-adsorbent ratio on initial removal kinetics. The higher ratio in module-scale experiments resulted in more gradual but sustained removal rates, maintaining consistent performance over the 10-day period due to the controlled release of binding sites and reduced competition for adsorption sites.
The transition to pore diffusion-dominated removal (4–24 h) shows remarkable consistency with molecular dynamics simulations [27], exhibiting a 60–80% rate decrease compared to the initial phase. During this period, removal rates decreased to 0.10–0.15 mg g−1 h−1 in module-scale experiments and 0.12–0.18 mg g−1 h−1 in kinetic studies. The final chemical fixation phase (>24 h) demonstrates long-term stabilization mechanisms, with removal rates stabilizing at 0.05–0.08 mg g−1 h−1 and 0.03–0.05 mg g−1 h−1 for module-scale and kinetic studies, respectively.
These kinetics can be effectively modeled using a modified pseudo-second-order equation [28]:
where dq/dt represents the rate of metal uptake, k2 is the rate constant, qe is the equilibrium uptake capacity, and q is the uptake at time t. This model has been extensively validated for multi-metal systems.
dq/dt = k2(qe − q)2
4.3. Metal-Specific Removal Patterns
Individual metal removal patterns reveal complex behaviors influenced by ionic properties, concentration ranges, and environmental conditions [29]. Pb demonstrated exceptional removal characteristics, achieving 95.6% efficiency at 0.05 mg L−1 and maintaining 90.1% efficiency even at 2.5 mg L−1, consistent with findings regarding preferential binding to calcium-silicate-hydrate surfaces [30]. The rapid initial binding of Pb2+ ions can be attributed to their optimal ionic radius (1.19 Å) and high electronegativity, facilitating strong surface complexation as predicted by theoretical models [31].
Cd2+ ions exhibited concentration-dependent efficiency ranging from 83.2% to 92.3%, correlating strongly with recent molecular modeling studies [32]. At lower concentrations (0.25 mg L−1), Cd2+ removal reached 92.3% efficiency, while higher concentrations (12.5 mg L−1) showed 83.2% removal, supporting the competitive binding mechanism proposed by Santos et al. (2024) [33]. The removal mechanism involves both surface precipitation and pore diffusion [33], with pH-dependent speciation playing a crucial role in removal efficiency.
Cr demonstrated remarkable consistency across concentration ranges (78.5–84.2% efficiency), supporting the multi-oxidation state removal mechanism proposed by Dhangar and Kumar (2020) [23]. The consistent performance across pH ranges (5–8) indicates robust removal mechanisms independent of solution chemistry. Cu2+ and Zn2+ ions removal patterns exhibited distinct characteristics reflecting their different ionic properties [34]. Cu showed strong correlation with concrete porosity, supporting the internal surface area dependency model [18], achieving removal efficiencies between 82.4% and 89.7% across all concentrations tested (5.0–250 mg L−1). The removal mechanism involves both surface complexation and pore-filling processes, with the biochar providing additional binding sites through its oxygen-containing functional groups. Zn2+ ions removal efficiencies (73.6–84.8%) were slightly lower but still significant, with notable pH sensitivity corresponding with theoretical predictions regarding metal speciation effects [35].
At the experimental pH of 7.0 ± 0.2, the predominant metal species present in our system were determined through speciation modeling using Visual MINTEQ software 4.0. Pb2+ exists primarily (>85%) as free Pb2+ ions with minor fractions of PbOH+ and Pb(OH)2. Cd2+ predominantly exists as free Cd2+ ions (>90%) with minimal CdOH+ formation. Cr3+ speciation is more complex, with approximately 65% as Cr(OH)2+, 25% as Cr(OH)3, and 10% as other hydroxy complexes. Cu2+ exists as a mixture of free Cu2+ ions (~60%), CuOH+ (~25%), and Cu(OH)2 (~15%). Zn2+ is present mostly as free Zn2+ ions (~80%) with ZnOH+ as the secondary species. This speciation profile explains the differential removal efficiencies observed, as the free divalent metal ions typically demonstrate stronger interactions with the oxygen-containing functional groups on biochar surfaces compared to their hydroxy complexes.
4.4. Environmental Implications and Practical Applications
The comprehensive performance analysis reveals significant implications for environmental remediation applications. The system’s demonstrated ability to maintain >80% removal efficiency across 100-fold concentration ranges represents a significant advancement over conventional treatments [36]. This consistent performance across scales and concentrations suggests broad applicability in various environmental scenarios.
From a cost-effectiveness perspective, the design optimizes material usage while maximizing treatment capacity. Economic analyses indicate material costs of approximately USD 45–60 m−3, with operational costs 40–60% lower than conventional systems, aligning with recent cost–benefit analyses [28]. The modular design’s scalability and consistent performance metrics support theoretical predictions regarding system optimization and scaling laws [23]. These findings represent a significant improvement over conventional treatment systems, which typically show 40–60% efficiency decreases under variable loads [37]. The integration of theoretical frameworks with empirical data supports the system’s potential for both acute and chronic contamination scenarios. Future research directions should focus on long-term performance under variable environmental conditions, including temperature fluctuations and varying pH levels. Additionally, investigation of biochar modification strategies could further enhance removal efficiencies, particularly for metals showing lower removal rates. The potential for in situ regeneration of the biochar component through innovative cavity design modifications also warrants exploration.
In real-world riparian applications, our system would face complex conditions beyond those tested in controlled laboratory settings. Typical contaminated riparian zones contain multiple heavy metals simultaneously at varying concentrations, with reported levels in industrial areas in the range of 0.01–5.0 mg·L−1 for Cd2+ ions, 0.05–10.0 mg·L−1 for Pb2+ ions, 0.1–20.0 mg·L−1 for Cr3+ ions, 0.5–50.0 mg·L−1 for Cu2+ ions, and 1.0–100.0 mg·L−1 for Zn2+ ions [1]. Additionally, natural pH fluctuations occur in response to rainfall events (typically causing pH decreases of 0.5–1.5 units), seasonal variations, and diurnal cycles influenced by photosynthetic activity (causing pH increases of 0.5–2.0 units in productive waters). Our modular design offers inherent resilience to these variations through that (1) the concrete matrix’s buffering capacity, which helps stabilize localized pH within the biochar cavity; (2) the system’s ability to maintain >75% removal efficiency across a broad concentration range, as demonstrated in our multi-concentration experiments; and (3) the potential for field adjustments by replacing or regenerating individual modules as needed. The long-term stability of our modular system was assessed through accelerated weathering tests simulating 3 years of environmental exposure. The concrete matrix maintained >90% of its initial compressive strength and >85% of original permeability after equivalent to 3 years of weathering cycles. Regarding biochar stability, the cavity design effectively contains the biochar while allowing water contact, with less than 2% biochar mass loss observed after 50 simulated high-flow events (equivalent to major storm surges). The concrete cavity functions as an effective confinement material, preventing biochar dispersion while maintaining treatment functionality. Based on these results and extrapolation models, we estimate a minimum functional lifespan of 5–7 years for the complete module before significant performance degradation occurs, with biochar replacement or regeneration possible without replacing the entire concrete structure. This modular design allows for targeted maintenance of only the active component (biochar) rather than the entire system, significantly reducing long-term operational costs and environmental impacts compared to conventional remediation approaches.
Future research directions should focus on long-term performance under variable environmental conditions, including temperature fluctuations and varying pH levels. Additionally, multi-metal ion competitive adsorption experiments are essential to understand the selectivity and performance of the system under realistic environmental conditions where multiple contaminants coexist at varying concentrations. Such studies would provide valuable insights into potential preferential binding mechanisms and help optimize the system for specific contamination profiles.
5. Conclusions
This research presents a breakthrough in riparian zone restoration through the development of an innovative ecological concrete modular system. The optimized C25-grade formulation achieves unprecedented removal efficiencies (>90% for Pb2+ and Cd2+ ions) while maintaining structural integrity, establishing new benchmarks for water treatment technologies in urban river systems. The system’s exceptional performance across varying concentration ranges (0.05–250 mg L−1) and scales, combined with 40–60% lower operational costs than conventional methods, demonstrates its practical viability for large-scale implementation.
The successful integration of structural durability, environmental functionality, and efficient pollutant removal opens new pathways for sustainable environmental remediation. This work provides a reference for future developments in ecological restoration technology, offering a promising solution for addressing water pollution challenges while preserving ecosystem integrity. Further research should focus on long-term performance optimization and scaling strategies to maximize the system’s impact in real-world applications.
Author Contributions
G.L., Y.Z. and Y.S. conceived the idea of the study; D.K., H.M. and C.L. analyzed the data; G.L., Y.Z. and Y.S. interpreted the results; G.L. wrote the paper draft; all authors discussed the results and revised the manuscript. All authors have read and agreed to the published version of the manuscript.
Funding
This research was funded by Investigation and Assessment of the Circular Ecological Retrofitting of Agricultural Field Drainage in Jiangsu Province (C22014), the National Natural Science Foundation of China (grant numbers 22476094 and 51708281), and the Qing Lan Project of Jiangsu Province (2023). Additional support was provided by the Open Fund of Jiangsu Provincial Key Laboratory of Environmental Engineering (KF2023002).
Institutional Review Board Statement
Not applicable.
Informed Consent Statement
Not applicable.
Data Availability Statement
Data will be made available on request.
Conflicts of Interest
The authors declare no conflict of interest.
References
- Li, F.J.; Yang, H.W.; Ayyamperumal, R.; Liu, Y. Pollution, sources, and human health risk assessment of heavy metals in urban areas around industrialization and urbanization-Northwest China. Chemosphere 2022, 308, 136396. [Google Scholar] [PubMed]
- GB 3838-2002; Environmental Quality Standards for Surface Water. The Ministry of Environmental Protection in China: Beijing, China, 2002.
- Zhang, S.; Song, J.; Cheng, Y.; Lv, M. Proper management of lead-contaminated agricultural lands against the exceedance of lead in agricultural produce: Derivation of local soil criteria. Sci. Total Environ. 2018, 634, 321–330. [Google Scholar] [PubMed]
- Engdaw, F.; Hein, T.; Beneberu, G. Heavy metal distribution in surface water and sediment of Megech River, a Tributary of Lake Tana, Ethiopia. Sustainability 2022, 14, 2791. [Google Scholar] [CrossRef]
- De Mello, K.; Taniwaki, R.H.; Macedo, D.R.; Leal, C.G.; Randhir, T.O. Biomonitoring for watershed protection from a multiscale land-use perspective. Diversity 2023, 15, 636. [Google Scholar] [CrossRef]
- Uddin, M.M.; Zakeel, M.C.M.; Zavahir, J.S.; Marikar, F.M.M.T.; Jahan, I. Heavy metal accumulation in rice and aquatic plants used as human food: A general review. Toxics 2021, 9, 360. [Google Scholar] [CrossRef]
- Rauner, S.; Bauer, N.; Dirnaichner, A.; Van Dingenen, R.; Mutel, C.; Luderer, G. Coal-exit health and environmental damage reductions outweigh economic impacts. Nat. Clim. Change 2020, 10, 308–312. [Google Scholar]
- Crini, G.; Lichtfouse, E.; Wilson, L.D.; Morin-Crini, N. Conventional and non-conventional adsorbents for wastewater treatment. Environ. Chem. Lett. 2019, 17, 195–213. [Google Scholar]
- Zhang, Q.; Zhao, X.; Gao, Z.; Dzakpasu, M.; Wang, X.C. Development and performance evaluation of a novel in-situ purification system for first flush rainwater treatment. J. Water Process Eng. 2024, 68, 106335. [Google Scholar]
- Ahmed, S.; Mofijur, M.; Nuzhat, S.; Chowdhury, A.T.; Rafa, N.; Uddin, A.; Inayat, A.; Mahlia, T.; Ong, H.C.; Chia, W.Y.; et al. Recent developments in physical, biological, chemical, and hybrid treatment techniques for removing emerging contaminants from wastewater. J. Hazard. Mater. 2021, 416, 125912. [Google Scholar] [CrossRef]
- Martinez, S.E.; Escolero, O.; Wolf, L. Total urban water cycle models in semiarid environments—Quantitative scenario analysis at the area of San Luis Potosi, Mexico. Water Resour. Manag. 2011, 25, 239–263. [Google Scholar]
- Abbassi, R.; Arzaghi, E.; Yazdi, M.; Aryai, V.; Garaniya, V.; Rahnamayiezekavat, P. Risk-based and predictive maintenance planning of engineering infrastructure: Existing quantitative techniques and future directions. Process Saf. Environ. Prot. 2022, 165, 776–790. [Google Scholar] [CrossRef]
- Sun, R.; Wang, D.; Cao, H.; Wang, Y.; Lu, Z.; Xia, J. Ecological pervious concrete in revetment and restoration of coastal wetlands: A review. Constr. Build. Mater. 2021, 303, 124590. [Google Scholar]
- Mahmood, W.; Ayub, T. Mechanical properties and corrosion resistance of recycled aggregate concrete exposed to accelerated and natural marine environment. J. Build. Eng. 2023, 66, 105867. [Google Scholar]
- Chen, C.H.; Huang, R.; Wu, J.; Chen, C.H. Influence of soaking and polymerization conditions on the properties of polymer concrete. Constr. Build. Mater. 2006, 20, 706–712. [Google Scholar]
- Yogafanny, E.; Triatmadja, R.; Nurrochmad, F.; Supraba, I. Permeability coefficient of pervious cement mortar measured by the constant head and falling head methods. J. Appl. Eng. Sci. 2023, 21, 1083–1093. [Google Scholar]
- Li, X.; Zhang, D.; Sheng, F.; Qing, H. Adsorption characteristics of Cu(II), Zn(II), and Hg(II) by four kinds of immobilized fungi residues. Ecotoxicol. Environ. Saf. 2018, 147, 357–366. [Google Scholar]
- Zhang, S.; Cao, K.; Wang, C.; Wang, X.; Deng, G.; Wei, P. Influence of the porosity and pore size on the compressive and splitting strengths of cellular concrete with millimeter-size pores. Constr. Build. Mater. 2020, 235, 117508. [Google Scholar]
- Bheel, N.; Mohammed, B.S.; Abdulkadir, I.; Liew, M.S.; Zawawi, N.A.W.A. Effects of graphene oxide on the properties of engineered cementitious composites: Multi-objective optimization technique using RSM. Buildings 2023, 13, 2018. [Google Scholar] [CrossRef]
- Zou, Z.; Qin, Y.; Zhang, T.; Tan, K. Enhancing road performance of lead-contaminated soil through biochar-cement solidification: An experimental study. J. Environ. Manag. 2023, 348, 119315. [Google Scholar]
- Das, K.P.; Chauhan, P.; Staudinger, U.; Satapathy, B.K. Exploring sustainable adsorbents to mitigate micro-/nano-plastic contamination: Perspectives on electrospun fibrous constructs, biochar, and aerogels. Environ. Sci. Adv. 2024, 3, 1217–1243. [Google Scholar] [CrossRef]
- Chen, X.; Li, X.; Wu, P.; Li, Y.; Li, Y.; Cheng, Y.; Liu, Z.; Liu, J.; Liu, S. Pore-scale transport dynamic behavior of microspheres and their mechanisms for enhanced oil recovery. Energy Fuels 2024, 38, 2803–2815. [Google Scholar]
- Dhangar, K.; Kumar, M. Tricks and tracks in removal of emerging contaminants from the wastewater through hybrid treatment systems: A review. Sci. Total Environ. 2020, 738, 140320. [Google Scholar] [CrossRef] [PubMed]
- Zhou, L.; Wu, F.; Meng, Y.; Byrne, P.; Ghomshei, M.; Abbaspour, K.C. Modeling transport and fate of heavy metals at the watershed scale: State-of-the-art and future directions. Sci. Total Environ. 2023, 878, 163087. [Google Scholar] [CrossRef] [PubMed]
- Wang, Z.; Maekawa, K. Lifetime assessment of structural concrete–multi-scale integrated hygro-thermal-chemo-electrical-mechanistic approach and statistical evaluation. Struct. Infrastruct. Eng. 2022, 18, 933–949. [Google Scholar]
- Vimonses, V.; Lei, S.; Jin, B.; Chow, C.W.; Saint, C. Kinetic study and equilibrium isotherm analysis of Congo Red adsorption by clay materials. Chem. Eng. J. 2009, 148, 354–364. [Google Scholar]
- Zhao, Q.; Burns, S.E. Modeling sorption and diffusion of organic sorbate in hexadecyltrimethylammonium-modified clay nanopores–a molecular dynamics simulation study. Environ. Sci. Technol. 2013, 47, 2769–2776. [Google Scholar]
- Wilson, K.; Iqbal, J.; Hableel, A.O.A.O.; Alzaabi, Z.N.K.B.; Nazzal, Y. Camel dung-derived biochar for the removal of Cu(II) and Cr(III) ions from aqueous solutions: Adsorption and kinetics studies. ACS Omega 2024, 9, 11500–11509. [Google Scholar]
- Salahshoori, I.; Nobre, M.A.; Yazdanbakhsh, A.; Malekshah, R.E.; Asghari, M.; Khonakdar, H.A.; Mohammadi, A.H. Navigating the molecular landscape of environmental science and heavy metal removal: A simulation-based approach. J. Mol. Liq. 2024, 410, 125592. [Google Scholar] [CrossRef]
- Luo, Q.; Li, Y.; Zhang, Z.; Peng, X.; Geng, G. Influence of substrate moisture on the interfacial bonding between calcium silicate hydrate and epoxy. Constr. Build. Mater. 2022, 320, 126252. [Google Scholar]
- Leybo, D.; Etim, U.J.; Monai, M.; Bare, S.R.; Zhong, Z.; Vogt, C. Metal–support interactions in metal oxide-supported atomic, cluster, and nanoparticle catalysis. Chem. Soc. Rev. 2024, 53, 10450–10490. [Google Scholar]
- Chou, M.-Y.; Lee, T.-A.; Lin, Y.S.; Hsu, S.Y.; Wang, M.F.; Li, P.H.; Huang, P.H.; Lu, W.C.; Ho, J.H. On the removal efficiency of Cu ions in wastewater using calcined waste eggshells as natural adsorbents. Sci. Rep. 2023, 13, 437. [Google Scholar]
- Santos, B.A.; França, A.M.D.M.; Silva, L.T.V.D.; Gouveia, A.G.S.; Vidal, C.B.; Loiola, A.R.; Nascimento, R.F. Magnetic zeolite from fly ash as a cost-effective adsorbent for Cu2+, Pb2+, Zn2+, and Cd2+ removal from aqueous media: A comprehensive study. Int. J. Environ. Anal. Chem. 2024, 104, 3913–3935. [Google Scholar]
- Li, C.; Li, P.; Fu, H.; Chen, J.; Ye, M.; Zhai, S.; Hu, F.; Zhang, C.; Ge, Y.; Fortin, C. A comparative study of the accumulation and detoxification of copper and zinc in Chlamydomonas reinhardtii: The role of extracellular polymeric substances. Sci. Total Environ. 2023, 871, 161995. [Google Scholar] [CrossRef] [PubMed]
- Boguta, P.; Sokołowska, Z. Zn binding to fulvic acids: Assessing the impact of pH, metal concentrations, and chemical properties of fulvic acids on the mechanism and stability of formed soluble complexes. Molecules 2020, 25, 1297. [Google Scholar] [CrossRef]
- Morin-Crini, N.; Lichtfouse, E.; Fourmentin, M.; Ribeiro, A.R.L.; Noutsopoulos, C.; Mapelli, F.; Fenyvesi, É.; Vieira, M.G.A.; Picos-Corrales, L.A.; Moreno-Piraján, J.C.; et al. Removal of emerging contaminants from wastewater using advanced treatments: A review. Environ. Chem. Lett. 2022, 20, 1333–1375. [Google Scholar]
- Rahman, M.E.; Bin Halmi, M.I.; Bin Abd Samad, M.Y.; Uddin, M.K.; Mahmud, K.; Abd Shukor, M.Y.; Sheikh Abdullah, S.R.; Shamsuzzaman, S.M. Design, operation, and optimization of constructed wetlands for removal of pollutants. Int. J. Environ. Res. Public Health 2020, 17, 8339. [Google Scholar] [CrossRef]
Disclaimer/Publisher’s Note: The statements, opinions and data contained in all publications are solely those of the individual author(s) and contributor(s) and not of MDPI and/or the editor(s). MDPI and/or the editor(s) disclaim responsibility for any injury to people or property resulting from any ideas, methods, instructions or products referred to in the content. |
© 2025 by the authors. Licensee MDPI, Basel, Switzerland. This article is an open access article distributed under the terms and conditions of the Creative Commons Attribution (CC BY) license (https://creativecommons.org/licenses/by/4.0/).


