Abstract
In this research, the impact of the pulsed electric fields (PEF) pretreatment on the infrared–convective drying (IR-CD) of apples and selected quality indicators (antioxidant capacity, color, and total phenolic content) of dried apples was evaluated. PEF pretreatment was carried out at the following parameters: electric field strength of 1 kV/cm, specific energy inputs of 1, 3.5, and 6 kJ/kg. Moreover, variable IR-CD process parameters were also assessed (peak wavelength of 1.2 µm, distance between the infrared lamps and the apple slices of 10, 20, and 30 cm). PEF pretreatment, by disintegrating apple cells, reduced the drying time of that fruit by 11–20%. The IR-CD of apples was the most effective at the shortest distance (10 cm) between the infrared source and the apple slices; it was associated with the intense heating of its surface. PEF-pretreated samples exhibited lower retention of antioxidants and were darker and redder than untreated ones. PEF could increase the activity of enzymes responsible for oxidizing phenolic compounds to brown pigments. The use of a medium distance (20 cm) during IR-CD promoted the highest retention of antioxidant compounds (relatively prompt drying with moderate heating of the sample surface).
Keywords:
ABTS assay; antioxidant capacity; CIELab; DPPH assay; hybrid drying; IR-CD; NIR; PEF; total phenolic content 1. Introduction
Drying involves the movement of heat from its source to a given material in order to remove a specific amount of water from said material. This can be achieved solely by radiation, convection, or conduction, as well as by using two of the aforementioned methods at the same time, or all of them simultaneously. As a result, a product with reduced water content is obtained, which reduces the risk of moisture-mediated spoiling reactions [1,2,3].
In infrared drying (IR), infrared radiation energy (as electromagnetic wave) is delivered directly to the surface of the material being dried without heating the surrounding air. This energy is absorbed mainly by the surface layers of the material, but depending on the properties of the matrix and IR wavelength, it can penetrate to a small depth. The infrared wavelength radiation produced by the source interacts with the internal structure of the material, which undergoes the drying process. An increase in the material’s surface temperature increases the vapor pressure, which intensifies the diffusion of water molecules from deeper layers of the material towards its surface. The induced molecular excitations provide rapid heating of the material, which, in turn, increases mass transfer. Compared to conventional convective drying (CD), also called hot-air drying (HAD) because of the use of hot air as the drying medium, infrared drying is generally characterized by higher drying efficiency, which results from a higher energy transfer rate. In addition, reduced energy consumption, more efficient transmission through the air (less energy waste), and better product quality should also be acknowledged [1,2,3,4,5,6,7,8,9].
Combining both techniques as a hybrid method (IR and CD/HAD) appears to be superior to other methods due to its synergistic effect. The surface of the material being dried absorbs infrared radiation, which, in turn, results in an increase in its temperature. Subsequently, there is an intense movement of water molecules towards the surface, from where they are evaporated by a flow of air (which additionally reduces the temperature of the material’s surface, simultaneously reducing the risk of burning it) [8]. Regarding this hybrid method, it is worth considering using a relatively slow air flow to reduce the risk of a cooling effect [5]. It is also necessary to take into account the risk of thermal degradation of the material in the event of incorrect selection of the radiation intensity or the distance between the infrared source and the material being dried [4,6,10].
Both the course of infrared–convective drying and the properties of the dried product obtained in this way can be adjusted by appropriately modifying the tissue at the pretreatment stage. So far, among the nonthermal pretreatments, mainly the effect of ultrasound (US) on IR-CD of matrices such as blackberry [11], kiwi [12], strawberry [13], and scallion stalk [14] has been studied. The results are promising: shortening of the drying time of strawberries; lightening of their color and increasing their redness; higher retention of anthocyanins and total phenols [13]; increased drying efficiency in the case of kiwi [12]; and reducing the color difference in relation to both fresh blackberry [11] and scallion stalk (additionally shortening the drying time of this material) [14]. Loosening of the apple tissue, subjected to IR-CD via electroporation, the primary mechanism of pulsed electric fields (PEF), has not yet been comprehensively analyzed. This is another promising nonthermal pretreatment that, unlike US, which creates microscopic channels in solid-like matrices [13,15], generates pores in the cell membrane [16,17].
Despite the many benefits of assisting convective drying with infrared radiation, there are many process parameters whose incorrect settings may cause undesirable effects. Therefore, the purpose of this study was to evaluate the effect of pulsed electric fields pretreatment and infrared–convective drying parameters on the drying course, color, and chemical properties of apple tissue.
2. Materials and Methods
2.1. Materials
Meticulously selected apples v. Golden Delicious (the Experimental Fields of the Department of Fruit Growing of the Warsaw University of Life Sciences, Warsaw, Poland) were chosen for the experiment. After being taken out of cold storage (approximately 5 °C), apples were left on the countertop until they reached room temperature (approximately 20 °C). They were then rinsed with tap water and proceeded to further processing.
All chemical reagents required to perform chemical analyses (total phenolic content, antioxidant capacity) were purchased from Sigma Aldrich (Saint Louis, MO, USA).
2.2. Pulsed Electric Fields Pretreatment
The procedure of the pulsed electric fields (PEF) treatment required the use of the PEFPilot™ Dual System (Elea Technology GmbH, Quakenbrück, Germany). This process was carried out in a batch system, which means that one uncut apple and tap water (conductivity and temperature equaled approximately 718 μS/cm and 21 °C, respectively) were put into the PEF treatment chamber (capacity of 2000 cm3, fixed distance between two parallel electrodes of 24 cm) to reach approximately 1.5 kg of total input. Before supplying monopolar, rectangular pulses, electric field strength, electrode voltage, pulse frequency, and pulse width were set to 1 kV/cm, 24 kV, 20 Hz, and 7 μs, respectively. The number of supplied pulses depended on the specific energy input (1, 3.5, and 6 kJ/kg), and it was calculated as shown below:
where Wspec refers to the specific energy input [kJ/kg], I means the current [A], U indicates the electrode voltage [kV], t stands for the pulse width [s], n represents the number of supplied pulses [-], and m corresponds to the total input of the treatment chamber [kg].
The cell disintegration index (CDI) was used to assess the efficacy of the pulsed electric fields treatment. It was calculated on the basis of electrical conductivity measurements (pH/conductivity meter CPC-401, Elmetron, Zabrze, Poland) in accordance with Equation (2). Supplying 1, 3.5, and 6 kJ/kg of energy to the treated apples resulted in CDIs of approximately 0.1, 0.2, and 0.4, respectively.
where σ refers to the electrical conductivity of the PEF-treated (Wspec = 1 kJ/kg, Wspec = 3.5 kJ/kg, and Wspec = 6 kJ/kg) apple [µS/cm], σi indicates the electrical conductivity of intact (untreated) apple [µS/cm], and σd represents the electrical conductivity of totally destroyed (Wspec = 63 kJ/kg) apple [µS/cm].
2.3. Infrared–Convective Drying
In order to perform the drying process, PEF-pretreated and untreated apples needed to be comminuted. For that purpose, whole fruits were sliced into 0.5 cm thick pieces. Parts of the apple other than the flesh and skin were removed with a cork borer; then, slices were cut into quarters. Approximately 0.127 kg of apple pieces were organized into a single layer on the drying tray.
Infrared–convective drying, or infrared-assisted convective drying (IR-CD), was accomplished using a laboratory dryer (Warsaw, Poland). That dryer was supplied with nine lamps (infrared radiation source), organized in three rows, with a total power of 7.875·10−4 kW/cm2, and a peak wavelength of 1.2 µm (NIR—near-infrared radiation [1,10]). Air flowed parallel to the material being dried with a velocity of 50 cm/s. The distance between the infrared lamps and the apple slices was variable, and took values of 10, 20, and 30 cm depending on the process variant. Each drying variant was executed three times. The load of the drying tray was equal to approximately 6.3·10−5 kg/cm2. Records of the material weight every 5 min of the process allowed us to estimate the drying time, i.e., the time required to obtain a moisture ratio (MR) equal to 0.02, calculated as shown below:
where Mt means the moisture content in apple during infrared–convective drying [g H2O/g dry matter], and M0 stands for the moisture content in fresh apple [g H2O/g dry matter].
2.4. The Analysis of Dry Matter Content
Stabilization of the dried apples lasted one week, during which they were kept in tightly sealed foil pouch packaging (PET/AL/PE), impermeable to external gas, light, and vapor.
After that, all materials were subjected to analyses. First, dry matter (d.m.) content was determined following the protocol AOAC 920.15 [18]. That gravimetric method was performed in three repetitions for each sample. The moisture content in a fresh apple equaled 5.90 ± 0.04 g H2O/g d.m. (85.5 ± 0.1%), while for all dried samples, it was in the range of 0.07–0.10 g H2O/g d.m. (6.2–8.9%).
2.5. The Analysis of Color
The CR-5 colorimeter (Konica-Minolta, Tokyo, Japan) was used to assess the color of both fresh apple and all dried samples. It was described in the CIELab color space and was measured by the reflectance method, using the aperture of 0.3 cm in diameter, illuminant D65, and the CIE 2° standard observer. Ten replicates were carried out for each sample. Based on the recorded L*, a*, and b* color parameters, the total color difference (ΔE) in relation to fresh apple and browning index (BI) were determined through the following calculations:
where ΔL*, Δa*, and Δb* refer to the differences in the values of the L*, a*, and b* color parameters between dried and fresh apples [−], respectively.
2.6. The Analysis of Total Phenolic Content
The first stage of chemical analyses was the extraction of particular compounds from the apple tissue. The whole procedure of preparing ethanolic extracts has already been described in detail [19]. The extraction was carried out twice for each sample, and the obtained extracts were used in all chemical analyses.
Total phenolic content (TPC) in the fresh and dried apples was evaluated on the basis of the spectrophotometric method proposed by Singleton et al. [20], with the use of gallic acid (GAE) as a standard. Both the amount and order of added reagents (distilled water, prepared ethanolic extracts, Folin and Ciocalteu’s phenol reagent, supersaturated sodium carbonate solution) and the reaction time have already been described by Matys et al. [19]. At the final stage of this analysis, the absorbance of prepared solutions needed to be verified (in relation to the blank sample, with the lack of the ethanolic extract) at the wavelength of 750 nm (Thermo Electron Corporation Helios Gamma Spectrophotometer, Thermo Electron Corporation, Waltham, MA, USA). Each sample was analyzed in four repetitions.
2.7. The Analysis of Antioxidant Capacity
Antioxidant capacity analyses (ABTS and DPPH assays) were performed on the same ethanolic extracts as in the TPC analysis. The aim of those determinations was to assess the scavenging degrees of the ABTS•+ and DPPH• free radicals by chemical compounds with antioxidant properties contained in the fresh and dried apples [21]. Both stock solutions and working solutions of ABTS•+ and DPPH• free radicals were prepared by strictly following the protocol given by Matys et al. [22]. Further procedures involving the addition of reagents in a specified amount and order (ethanolic extracts, ethanol–water solution, working solutions of ABTS•+ and DPPH• free radicals), as well as the reaction times were performed in accordance with the methodology described in detail by Matys et al. [19]. The last stage of those analyses was the measurement of the prepared solutions absorbances (in relation to the blank sample, with the lack of the ethanolic extract) at the wavelengths of 734 and 515 nm for ABTS and DPPH assays, respectively (Thermo Electron Corporation Helios Gamma Spectrophotometer, Thermo Electron Corporation, Waltham, MA, USA). Each sample was analyzed fourfold.
2.8. The Statistical Analysis
The experiment was organized using a two-way factorial randomized design with two numerical factors, each having three levels (factor 1: distance between the infrared lamps and the apple slices, 10, 20, and 30 cm; factor 2: specific energy input, 1, 3.5, and 6 kJ/kg). Assumptions for ANOVA, such as normality (Shapiro–Wilk test) and homogeneity of variance (Levene’s test) were checked. In order to compare the results of the analyses, a multi-way analysis of variance with Tukey’s test (Statistica, version 13, TIBCO Software Inc., Palo Alto, CA, USA) was implemented. Results of that analysis are presented in Figures as uppercase and lowercase letters. They show the impact of two independent variables (1: distance between the infrared lamps and the apple slices, represented by the uppercase letters; 2: specific energy input, indicated by the lowercase letters) on the analyzed dependent variables (drying time, L*, a*, b*, ΔE, BI, TPC, EC50 ABTS, and EC50 DPPH) (α = 0.05). Moreover, Pearson correlation analysis was utilized to assess the possible correlation between antioxidant capacity (measured via ABTS and DPPH assays, expressed as EC50) and total phenolic content (TPC).
3. Results and Discussion
3.1. Drying Kinetics and Drying Times
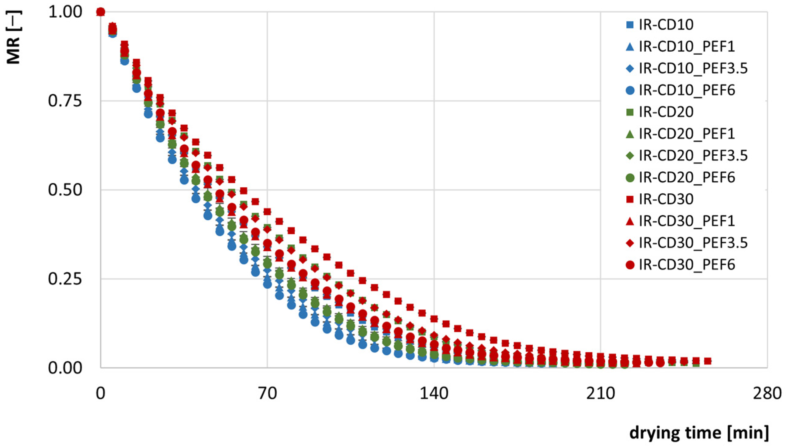
The course of the infrared–convective drying (IR-CD) of apples with variable process parameters is presented in Figure 1. The obtained curves were characterized by a similar course; at the initial stage, a period of constant drying rate (linear decrease in material moisture) could be observed, followed by a period of decreasing drying rate (curvilinear decrease in material moisture). This is a phenomenon typical for drying this type of matrix, where the free surface water initially evaporates, followed by the water in deeper layers of the material, which is limited by its cellular structure (a barrier to the diffusion process) [23,24]. As can be seen, the shorter the distance between the infrared lamps and the apple slices, the faster the water removal. A shorter distance from the heat source means higher surface heating and, consequently, more intense water evaporation [9,25,26,27].
Figure 1.
Drying curves depending on the various process parameters (distance between the infrared lamps and the apple slices during infrared–convective drying, IR-CD: 10, 20, and 30 cm; specific energy input during pulsed electric fields pretreatment, PEF: 0, 1, 3.5, and 6 kJ/kg).
In order to thoroughly compare the differences in the efficiency of the water removal from apples depending on the IR-CD and PEF pretreatment parameters, Figure 2 shows the time required to dry the material to MR = 0.02. Drying time was significantly dependent on both the distance between the infrared lamps and the apple slices (η2 = 0.862) and the specific energy input (η2 = 0.864). According to the drying curves (Figure 1), the shorter the distance between the infrared lamps and the apple slices, the faster the water removal. Increasing the distance from 10 to 20 cm and from 20 to 30 cm led to an extension of the drying time by an average of 7.4 and 15.2%, respectively. As mentioned above, the closer the infrared lamps were placed to the drying tray, the more intensely they heated the surface of the material being dried, which, in turn, increased the evaporation rate [9,26,27]. Moreover, the drying time of apples was reduced by applying pretreatment, i.e., pulsed electric fields (PEF). Supplying specific energy to apples at the levels of 1, 3.5, and 6 kJ/kg resulted in reduction of the drying time of that fruit by approximately 20, 11, and 19%, respectively (in comparison to untreated samples dried at the same IR-CD conditions). Based on those observations, two conclusions can be drawn. First, electroporation of the apple tissue cell membrane reduced the resistance to water diffusion, making it occur faster and more intensely in PEF-pretreated samples [28,29]. Second, the degree of cell disintegration (CDI) increasing with the amount of supplied energy during PEF treatment had no direct impact on the drying time results. The values of this index were approximately 0.1, 0.2, and 0.4 for the samples with an energy input of 1, 3.5, and 6 kJ/kg, respectively. At the same time, the drying times of the minimally (1 kJ/kg) and maximally (6 kJ/kg) PEF-processed apples were statistically identical, despite significant differences in CDI. This indicates that it is worth considering milder processing of apples with PEF treatment in order to obtain satisfactory results with lower energy consumption [19,30].
Figure 2.
Drying time to MR = 0.02 depending on the various process parameters (distance between the infrared lamps and the apple slices during infrared–convective drying, IR-CD: 10, 20, and 30 cm; specific energy input during pulsed electric fields pretreatment, PEF: 0, 1, 3.5, and 6 kJ/kg); the uppercase letters (A–C) represent homogeneous groups in terms of distance, but the lowercase letters (a–c) indicate homogeneous groups in terms of specific energy input (α = 0.05).
3.2. Color
Lightness (L*) in the CIELab color space indicates a coordinate for black (0) and white (100) [31]. For fresh apple, L* took a value of 77.4 ± 0.3, while for all dried samples, values of that color parameter were in the range of 59.5–75.0. L* color parameter was significantly influenced not only by the distance between the infrared lamps and the apple slices (η2 = 0.093) and the specific energy input (η2 = 0.644), but also by the interaction of these two independent variables (η2 = 0.231). Nevertheless, increasing the distance between the infrared lamps and the apple slices from 10 to 20 cm and from 20 to 30 cm did not cause significant changes in the lightness of the samples (Figure 3). In general, all PEF-pretreated apples were darker after drying than untreated samples dried in the same way. Electroporation of the cell membrane could induce leakage of non-enzymatic browning substrates, e.g., sugars, from the internal environment to the extracellular fluid [32]. This, combined with the heating of the sample’s surface in the proximity of infrared lamps [27], could promote the occurrence of non-enzymatic browning [33]. PEF could also increase the activity of the enzymes responsible for the oxidation of phenolic compounds to quinones (brown pigments)—polyphenol oxidase or peroxidase [7,19,25,32,34,35]. It was also noticed that milder processing of apples with PEF (1 kJ/kg) significantly reduced their darkening (in relation to treatment with specific energy inputs of 3.5 and 6 kJ/kg).
Figure 3.
Values of the L* color parameter of dried apples depending on the various process parameters (distance between the infrared lamps and the apple slices during infrared–convective drying, IR-CD: 10, 20, and 30 cm; specific energy input during pulsed electric fields pretreatment, PEF: 0, 1, 3.5, and 6 kJ/kg); the uppercase letter (A) represent homogeneous group in terms of distance, but the lowercase letters (a–c) indicate homogeneous groups in terms of specific energy input (α = 0.05).
Another coordinate in the CIELab color space, a*, is associated with the red–green opponents. Positive values of this color parameter indicate red, while negative values represent green [36]. For fresh apples, a* was equal to −2.9 ± 0.4. In turn, for dried apples, values of that color parameter were in the range of −0.4–5.1. The a* color parameter was significantly affected not only by the distance between the infrared lamps and the apple slices (η2 = 0.197) and the specific energy input (η2 = 0.747), but also by the interaction of these two independent variables (η2 = 0.206). As can be seen from Figure 4, the highest distance between the apple slices and the infrared lamps during drying (30 cm) resulted in products with significantly lower redness (compared to the distances of 20 and 30 cm). Intense heating of the samples in the proximity of infrared lamps could promote the occurrence of non-enzymatic browning due to the elevated temperature of the material [27,32,33]. It is worth mentioning that compared to PEF-pretreated samples, untreated apples exhibited negative values of a* after drying, which proves that they were green. The application of the PEF as a treatment prior to IR-CD resulted in obtaining apples with significant redness. The electric field-induced damage to the cell membrane increased its permeability. This, in turn, could have led to the release of non-enzymatic browning substrates from the cellular structure of the apple tissue, increasing its redness after drying. PEF could also promote enzymatic browning of treated apples due to potentially boosting polyphenol oxidase or peroxidase activity [7,19,25,32,34,35]. Moreover, milder-processed apples (1 kJ/kg) were significantly redder after drying than apples with the highest specific energy input (6 kJ/kg).
Figure 4.
Values of the a* color parameter of dried apples depending on the various process parameters (distance between the infrared lamps and the apple slices during infrared–convective drying, IR-CD: 10, 20, and 30 cm; specific energy input during pulsed electric fields pretreatment, PEF: 0, 1, 3.5, and 6 kJ/kg); the uppercase letters (A–B) represent homogeneous groups in terms of distance, but the lowercase letters (a–c) indicate homogeneous groups in terms of specific energy input (α = 0.05).
The last coordinate in the CIELab color space is b*, which indicates yellow (positive) and blue (negative) opponents [36]. For fresh apples, b* took a value of 17.7 ± 1.9, while for all dried samples, values of that color parameter were in the range of 21.1–25.5. The b* color parameter was significantly dependent only on the distance between the infrared lamps and the apple slices (η2 = 0.137). As can be seen in Figure 5, the shortest distance between the apple slices and the infrared lamps during drying (10 cm) resulted in products with significantly higher yellowness (in relation to the distances of 20 and 30 cm). Similarly to the previous color parameter in the CIELab color space (a*), the increase in the yellowness of the material exposed to elevated temperature could be related to the Maillard reaction and caramelization process [27,32,33]. It is worth mentioning that the application of the pulsed electric fields did not have a negative impact on the color of dried apples in terms of their yellowness. Similar conclusions were drawn by other authors in studies conducted on hot-air-dried carrots [37] and purple potatoes [38]. Moreover, apples supplied with 3.5 kJ/kg energy before IR-CD exhibited significantly lower values of the b* color parameter after drying than the untreated ones.
Figure 5.
Values of the b* color parameter of dried apples depending on the various process parameters (distance between the infrared lamps and the apple slices during infrared–convective drying, IR-CD: 10, 20, and 30 cm; specific energy input during pulsed electric fields pretreatment, PEF: 0, 1, 3.5, and 6 kJ/kg); the uppercase letters (A–B) represent homogeneous groups in terms of distance, but the lowercase letters (a–b) indicate homogeneous groups in terms of specific energy input (α = 0.05).
Based on the obtained values of L*, a*, and b* color parameters, the total color difference (ΔE) was calculated with reference to the fresh apple. This parameter allows for the assessing of the color deviation of a given material (in this case dried apples) from a particular standard (fresh apple) [39]. For all dried samples, it took values in the range of 7.8–20.5. It means that the differences in color between raw material and final dried products were clearly visible [40]. ΔE was significantly influenced not only by the distance between the infrared lamps and the apple slices (η2 = 0.146) and the specific energy input (η2 = 0.637) but also by the interaction of these two independent variables (η2 = 0.249). As can be seen from Figure 6, IR-CD carried out at the shortest distance between the material and the infrared lamps (10 cm) resulted in obtaining dried apples with the highest total color difference (in relation to processes performed at the distance of 20 and 30 cm). As mentioned above, a shorter distance from the heat source means higher heating of the apple’s surface, which could promote browning reactions [27,32,33]. Application of PEF as a pretreatment before IR-CD resulted in obtaining dried products with a higher total color difference from the raw material than untreated samples. This was caused by a significant reduction in lightness and an increase in redness of PEF-pretreated apples, probably due to an increased rate of non-enzymatic browning reaction. In addition, there are studies indicating an increase in the activity of certain enzymes due to the action of the pulsed electric fields (including those responsible for enzymatic browning) [7,19,25,32]. Moreover, milder-processed apples (1 kJ/kg) exhibited significantly lower ΔE after drying than apples with the highest specific energy input (6 kJ/kg).
Figure 6.
Values of the ΔE (total color difference) of dried apples depending on the various process parameters (distance between the infrared lamps and the apple slices during infrared–convective drying, IR-CD: 10, 20, and 30 cm; specific energy input during pulsed electric fields pretreatment, PEF: 0, 1, 3.5, and 6 kJ/kg); the uppercase letters (A–B) represent homogeneous groups in terms of distance, but the lowercase letters (a–c) indicate homogeneous groups in terms of specific energy input (α = 0.05).
Considering the non-enzymatic and enzymatic browning processes occurring during drying, it seems crucial to calculate (based on the obtained values of L*, a*, and b* color parameters) the browning index (BI), which is a measure of the purity of the brown color [41]. For fresh apple, BI was equal to 22.5 ± 2.9, while for all dried samples, it took values in the range of 34.3–53.6. Even a twofold increase in the BI value for dried apples in relation to fresh material confirms the occurrence of browning processes during water removal. BI was significantly affected by both the distance between the infrared lamps and the apple slices (η2 = 0.160) and the specific energy input (η2 = 0.246). As can be seen in Figure 7, the shortest distance between the apple slices and the infrared lamps during drying (10 cm) resulted in products with the highest values of browning index (compared to the distances of 20 and 30 cm). Intense heating of the samples in the proximity of infrared lamps could promote the occurrence of non-enzymatic browning due to the elevated temperature of the material [27,32,33]. PEF-pretreated apples exhibited higher BI after drying than untreated samples dried in the same way. Electroporation of the cell membrane could induce leakage of non-enzymatic browning substrates, e.g., sugars, from the internal environment to the extracellular fluid [32]. This, combined with the heating of the sample’s surface in the proximity of infrared lamps [27], could promote the occurrence of non-enzymatic browning [33]. PEF could also increase the activity of the enzymes responsible for the oxidation of phenolic compounds to quinones (brown pigments), i.e., polyphenol oxidase or peroxidase [7,19,25,32,34,35].
Figure 7.
Values of the BI (browning index) of dried apples depending on the various process parameters (distance between the infrared lamps and the apple slices during infrared–convective drying, IR-CD: 10, 20, and 30 cm; specific energy input during pulsed electric fields pretreatment, PEF: 0, 1, 3.5, and 6 kJ/kg); the uppercase letters (A–B) represent homogeneous groups in terms of distance, but the lowercase letters (a–b) indicate homogeneous groups in terms of specific energy input (α = 0.05).
3.3. Chemical Properties
Apples contain significant amounts of polyphenols, which are plants’ secondary metabolites. Those phytochemicals have strong antioxidant effects [42,43,44]. Total phenolic content (TPC) in fresh apple was equal to 797.5 ± 44.0 milligrams of gallic acid (GAE) per 100 g of dry matter (d.m.). In turn, the content of those bioactive compounds in dried apples was in the range of 312.5–937.0 mg GAE/100 g d.m. TPC was significantly dependent not only on the distance between the infrared lamps and the apple slices (η2 = 0.828) and the specific energy input (η2 = 0.846) but also on the interaction of these two independent variables (η2 = 0.684). As can be seen in Figure 8, increasing the distance between the infrared lamps and the apple slices from 10 to 20 cm resulted in higher retention of TPC. Polyphenols are compounds sensitive to elevated temperatures [42]; therefore, more intense heating of the surface of apples being dried could have led to their higher degradation. Interestingly, a further increase in the distance between the infrared lamps and the samples (from 20 to 30 cm) resulted in a significant reduction of TPC for all samples. As can be seen from Figure 2, the drying of apples was the longest when the distance to the infrared lamps was equal to 30 cm. Longer drying means longer heating of the apple surface and therefore an increased risk of thermal degradation of polyphenols. Application of the PEF as a treatment prior to IR-CD resulted in obtaining apples with lower retention of TPC than that obtained for untreated ones. The electric field-induced damage to the cell membrane increased its permeability. This, in turn, could have led to the release of polyphenols from the apple’s cellular structure, increasing the risk of their thermal degradation during drying. As mentioned above, PEF could also increase the activity of enzymes responsible for the oxidation of phenolic compounds, i.e., polyphenol oxidase or peroxidase [7,19,25,32,34,35]. Moreover, milder-processed apples (1 kJ/kg) exhibited significantly lower retention of polyphenols after drying than other PEF-treated apples.
Figure 8.
TPC (total phenolic content) in dried apples depending on the various process parameters (distance between the infrared lamps and the apple slices during infrared–convective drying, IR-CD: 10, 20, and 30 cm; specific energy input during pulsed electric fields pretreatment, PEF: 0, 1, 3.5, and 6 kJ/kg); the uppercase letters (A–B) represent homogeneous groups in terms of distance, but the lowercase letters (a–c) indicate homogeneous groups in terms of specific energy input (α = 0.05).
As pointed out above, apples are a rich source of antioxidants. Therefore, the fresh raw material and the dried apples were analyzed for their ability to scavenge ABTS•+ and DPPH• free radicals. Considering that the results of those analyses were presented as the EC50 coefficient, which means the lowest concentration of the sample extract required to reduce the initial content of ABTS•+ and DPPH• radicals by 50%, it is assumed that a lower EC50 value indicates a higher antioxidant capacity. For fresh apple, the EC50 of ABTS and EC50 of DPPH were 0.37 ± 0.03 and 0.79 ± 0.08 mg d.m./mL, respectively. In turn, for dried apples, those values were in the ranges of 0.39–1.26 and 1.13–3.62 mg d.m./mL, respectively. EC50 of ABTS and EC50 of DPPH were significantly influenced not only by the distance between the infrared lamps and the apple slices (η2 = 0.840 and η2 = 0.910 for ABTS and DPPH, respectively) and the specific energy input (η2 = 0.884 and η2 = 0.933 for ABTS and DPPH, respectively) but also by the interaction of these two independent variables (η2 = 0.755 and η2 = 0.826 for ABTS and DPPH, respectively). Generally, as can be seen in Figure 9a and Figure 9b, increasing the distance between the infrared lamps and the apple slices from 10 to 20 cm and from 20 to 30 cm caused a decrease and an increase in EC50, respectively, which means an increase and decrease in the antioxidant capacity, respectively (for both ABTS and DPPH assays). The use of a medium distance (20 cm) during IR-CD promoted the highest retention of antioxidant compounds (the lowest EC50) probably due to the relatively prompt drying with moderate heating of the sample surface. Application of the PEF treatment before infrared–convective drying resulted in obtaining apples with lower antioxidant capacity than that obtained for untreated ones. Moreover, the lower the specific energy input, the lower the antioxidant capacity of dried apples. Determined r-Pearson correlation coefficient was equal to −0.913 and −0.915 for TPC-EC50 of ABTS and TPC-EC50 of DPPH, respectively (p < 0.05). The obtained results demonstrate a negative correlation between antioxidant capacity (measured via ABTS and DPPH assays, expressed as EC50) and total phenolic content, which is consistent with the conclusions of other authors [45,46]. Sultana et al. [45] found a good correlation (r = 0.957) between the results of DPPH scavenging capacity (in %) and TPC (in GAE g/100 g of dry matter) contained in dried strawberry, mulberry, plum, apple, and apricot. In another study, Zhou et al. [46] claimed that correlation coefficient between the results of TPC (in mg gallic acid/g d.b.) and antioxidant capacity measured by ABTS (in µmol Trolox/g d.b.), DPPH (in µmol Trolox/g d.b.), and FRAP (in µmol Trolox/g d.b.) assays was equal to 0.8467, 0.8282, and 0.9042, respectively. This may suggest that both properties are strongly related; higher TPC in the tested material is associated with a higher ability to neutralize free radicals.
Figure 9.
Values of (a) EC50 ABTS and (b) EC50 DPPH (antioxidant capacity) of dried apples depending on the various process parameters (distance between the infrared lamps and the apple slices during infrared–convective drying, IR-CD: 10, 20, and 30 cm; specific energy input during pulsed electric fields pretreatment, PEF: 0, 1, 3.5, and 6 kJ/kg); the uppercase letters (A–C) represent homogeneous groups in terms of distance, but the lowercase letters (a–d) indicate homogeneous groups in terms of specific energy input (α = 0.05).
4. Conclusions
This research demonstrates that the pulsed electric fields (PEF) technology has a positive effect on the infrared–convective (IR-CD) drying process of apples, but it may also be associated with the risk of deterioration of their quality. It was proven that the electric field-induced damage to the cell membrane resulted in a reduced drying time of apples by up to 20%, but at the same time, the physicochemical characteristic indicated more intensive browning of the samples and lower retention of antioxidants. The distance between the infrared lamps and the apple slices during drying was also significant; the shortest (10 cm) favored quick water removal, the highest (30 cm) limited color changes, but it was the medium (20 cm) that proved to be the most beneficial for the preservation of antioxidants.
Author Contributions
Conceptualization, A.S., M.N. and A.W.; methodology, A.S., M.N. and A.W.; software, A.S.; validation, A.S.; formal analysis, A.S.; investigation, A.S.; resources, A.S., M.N. and A.W.; data curation, A.S.; writing—original draft preparation, A.S.; writing—review and editing, A.S., E.G., M.N. and A.W.; visualization, A.S.; supervision, A.W.; project administration, M.N. and A.W.; funding acquisition, A.W. All authors have read and agreed to the published version of the manuscript.
Funding
This project has received funding from the European Union’s Horizon 2020 research and innovation program under grant agreement No. 817683 (acronym FOX).
Institutional Review Board Statement
Not applicable.
Informed Consent Statement
Not applicable.
Data Availability Statement
The data are contained within the article.
Conflicts of Interest
The authors declare no conflicts of interest.
References
- Riadh, M.H.; Ahmad, S.A.B.; Marhaban, M.H.; Soh, A.C. Infrared Heating in Food Drying: An Overview. Dry. Technol. 2015, 33, 322–335. [Google Scholar] [CrossRef]
- Chua, K.J.; Chou, S.K. Recent Advances in Hybrid Drying Technologies. In Emerging Technologies for Food Processing; Sun, D.-W., Ed.; Academic Press: Cambridge, MA, USA, 2014; pp. 447–459. ISBN 9780124114791. [Google Scholar]
- Michailidis, P.A.; Krokida, M.K. Drying and Dehydration Processes in Food Preservation and Processing. In Conventional and Advanced Food Processing Technologies; Bhattacharya, S., Ed.; Wiley: Hoboken, NJ, USA, 2014; pp. 1–32. ISBN 9781118406281. [Google Scholar]
- Joseph Bassey, E.; Cheng, J.-H.; Sun, D.-W. Improving drying kinetics, physicochemical properties and bioactive compounds of red dragon fruit (Hylocereus species) by novel infrared drying. Food Chem. 2022, 375, 131886. [Google Scholar] [CrossRef] [PubMed]
- Inyang, U.; Oboh, I.; Etuk, B. Drying and the different techniques. Int. J. Food Nutr. Saf. 2017, 8, 45–72. [Google Scholar]
- Afolabi, I.S. Moisture Migration and Bulk Nutrients Interaction in a Drying Food Systems: A Review. Food Nutr. Sci. 2014, 5, 692–714. [Google Scholar] [CrossRef]
- Calín-Sánchez, Á.; Lipan, L.; Cano-Lamadrid, M.; Kharaghani, A.; Masztalerz, K.; Carbonell-Barrachina, Á.A.; Figiel, A. Comparison of Traditional and Novel Drying Techniques and Its Effect on Quality of Fruits, Vegetables and Aromatic Herbs. Foods 2020, 9, 1261. [Google Scholar] [CrossRef]
- Sakare, P.; Prasad, N.; Thombare, N.; Singh, R.; Sharma, S.C. Infrared Drying of Food Materials: Recent Advances. Food Eng. Rev. 2020, 12, 381–398. [Google Scholar] [CrossRef]
- Sadin, R.; Chegini, G.-R.; Khodadadi, M. Development and Performance Evaluation of a Combined Infrared and Hot Air Dryer. J. Biol. Environ. Sci. 2014, 8, 11–18. [Google Scholar]
- Huang, D.; Yang, P.; Tang, X.; Luo, L.; Sunden, B. Application of infrared radiation in the drying of food products. Trends Food Sci. Technol. 2021, 110, 765–777. [Google Scholar] [CrossRef]
- Taghinezhad, E.; Kaveh, M.; Khalife, E.; Chen, G. Drying of organic blackberry in combined hot air-infrared dryer with ultrasound pretreatment. Dry. Technol. 2021, 39, 2075–2091. [Google Scholar] [CrossRef]
- Taghinezhad, E.; Kaveh, M.; Szumny, A. Thermodynamic and Quality Performance Studies for Drying Kiwi in Hybrid Hot Air-Infrared Drying with Ultrasound Pretreatment. Appl. Sci. 2021, 11, 1297. [Google Scholar] [CrossRef]
- Jiang, D.-L.; Wang, Q.-H.; Huang, C.; Sutar, P.P.; Lin, Y.-W.; Okaiyeto, S.A.; Lin, Z.-F.; Wu, Y.-T.; Ma, W.-M.; Xiao, H.-W. Effect of various different pretreatment methods on infrared combined hot air impingement drying behavior and physicochemical properties of strawberry slices. Food Chem. X 2024, 22, 101299. [Google Scholar] [CrossRef] [PubMed]
- Zhou, C.; Wang, Z.; Wang, X.; Yagoub, A.E.A.; Ma, H.; Sun, Y.; Yu, X. Effects of tri-frequency ultrasound-ethanol pretreatment combined with infrared convection drying on the quality properties and drying characteristics of scallion stalk. J. Sci. Food Agric. 2021, 101, 2809–2817. [Google Scholar] [CrossRef]
- Pandiselvam, R.; Aydar, A.Y.; Kutlu, N.; Aslam, R.; Sahni, P.; Mitharwal, S.; Gavahian, M.; Kumar, M.; Raposo, A.; Yoo, S.; et al. Individual and interactive effect of ultrasound pre-treatment on drying kinetics and biochemical qualities of food: A critical review. Ultrason. Sonochemistry 2023, 92, 106261. [Google Scholar] [CrossRef] [PubMed]
- Ostermeier, R.; Parniakov, O.; Töpfl, S.; Jäger, H. Applicability of Pulsed Electric Field (PEF) Pre-Treatment for a Convective Two-Step Drying Process. Foods 2020, 9, 512. [Google Scholar] [CrossRef]
- Toepfl, S.; Siemer, C.; Heinz, V. Effect of High-Intensity Electric Field Pulses on Solid Foods. In Emerging Technologies for Food Processing; Elsevier: Amsterdam, The Netherlands, 2014; pp. 147–154. ISBN 9780124114791. [Google Scholar]
- AOAC International Official Methods of Analysis (OMA) of AOAC International, 17th ed., USA. Method Number: 920.15. Available online: http://www.aoacofficialmethod.org/index.php?main_page=product_info&cPath=1&products_id=2685 (accessed on 8 January 2025).
- Matys, A.; Witrowa-Rajchert, D.; Parniakov, O.; Wiktor, A. Assessment of the effect of air humidity and temperature on convective drying of apple with pulsed electric field pretreatment. LWT 2023, 188, 115455. [Google Scholar] [CrossRef]
- Singleton, V.L.; Orthofer, R.; Lamuela-Raventós, R.M. [14] Analysis of total phenols and other oxidation substrates and antioxidants by means of folin-ciocalteu reagent. In Methods in Enzymology; Academic Press: Cambridge, MA, USA, 1999; Volume 299, pp. 152–178. [Google Scholar]
- Brand-Williams, W.; Cuvelier, M.E.; Berset, C. Use of a free radical method to evaluate antioxidant activity. LWT-Food Sci. Technol. 1995, 28, 25–30. [Google Scholar] [CrossRef]
- Matys, A.; Nowacka, M.; Witrowa-Rajchert, D.; Wiktor, A. Chemical and Thermal Characteristics of PEF-Pretreated Strawberries Dried by Various Methods. Molecules 2024, 29, 3924. [Google Scholar] [CrossRef] [PubMed]
- Kudra, T. Energy Aspects in Drying. Dry. Technol. 2004, 22, 917–932. [Google Scholar] [CrossRef]
- Delgado, J.M.P.Q.; da Silva, M.V. Food Dehydration: Fundamentals, Modelling and Applications. In Transport Phenomena and Drying of Solids and Particulate Materials; Delgado, J.M.P.Q., Barbosa de Lima, A.G., Eds.; Springer: Berlin/Heidelberg, Germany, 2014; Volume 48, pp. 69–94. ISBN 9783319040530. [Google Scholar]
- Boateng, I.D.; Yang, X.-M. Process optimization of intermediate-wave infrared drying: Screening by Plackett–Burman; comparison of Box-Behnken and central composite design and evaluation: A case study. Ind. Crops Prod. 2021, 162, 113287. [Google Scholar] [CrossRef]
- Eissa, A.S. Development and evaluation of pomegranate seeds drying unit using infrared/hot air dryer. Misr J. Agric. Eng. 2021, 38, 49–64. [Google Scholar] [CrossRef]
- Sadeghi, E.; Haghighi Asl, A.; Movagharnejad, K. Mathematical modelling of infrared-dried kiwifruit slices under natural and forced convection. Food Sci. Nutr. 2019, 7, 3589–3606. [Google Scholar] [CrossRef]
- Bassey, E.J.; Cheng, J.-H.; Sun, D.-W. Novel nonthermal and thermal pretreatments for enhancing drying performance and improving quality of fruits and vegetables. Trends Food Sci. Technol. 2021, 112, 137–148. [Google Scholar] [CrossRef]
- Knorr, D.; Angersbach, A. Impact of high-intensity electric field pulses on plant membrane permeabilization. Trends Food Sci. Technol. 1998, 9, 185–191. [Google Scholar] [CrossRef]
- Matys, A.; Dadan, M.; Witrowa-Rajchert, D.; Parniakov, O.; Wiktor, A. Response Surface Methodology as a Tool for Optimization of Pulsed Electric Field Pretreatment and Microwave-Convective Drying of Apple. Appl. Sci. 2022, 12, 3392. [Google Scholar] [CrossRef]
- Tsivas, D.; Vlyssides, A.; Vlysidis, A. Differentiation of the composting stages of green waste using the CIELAB color model. J. Chem. Technol. Biotechnol. 2024, 99, 2198–2208. [Google Scholar] [CrossRef]
- Tylewicz, U.; Tappi, S.; Mannozzi, C.; Romani, S.; Dellarosa, N.; Laghi, L.; Ragni, L.; Rocculi, P.; Dalla Rosa, M. Effect of pulsed electric field (PEF) pre-treatment coupled with osmotic dehydration on physico-chemical characteristics of organic strawberries. J. Food Eng. 2017, 213, 2–9. [Google Scholar] [CrossRef]
- Aghilinategh, N.; Rafiee, S.; Hosseinpour, S.; Omid, M.; Mohtasebi, S.S. Real-time color change monitoring of apple slices using image processing during intermittent microwave convective drying. Food Sci. Technol. Int. 2016, 22, 634–646. [Google Scholar] [CrossRef] [PubMed]
- Takahama, U. Oxidation of vacuolar and apoplastic phenolic substrates by peroxidase: Physiological significance of the oxidation reactions. Phytochem. Rev. 2004, 3, 207–219. [Google Scholar] [CrossRef]
- López-Gámez, G.; Elez-Martínez, P.; Martín-Belloso, O.; Soliva-Fortuny, R. Pulsed electric fields affect endogenous enzyme activities, respiration and biosynthesis of phenolic compounds in carrots. Postharvest Biol. Technol. 2020, 168, 111284. [Google Scholar] [CrossRef]
- Durmus, D. CIELAB color space boundaries under theoretical spectra and 99 test color samples. Color Res. Appl. 2020, 45, 796–802. [Google Scholar] [CrossRef]
- Alam, M.R.; Lyng, J.G.; Frontuto, D.; Marra, F.; Cinquanta, L. Effect of Pulsed Electric Field Pretreatment on Drying Kinetics, Color, and Texture of Parsnip and Carrot. J. Food Sci. 2018, 83, 2159–2166. [Google Scholar] [CrossRef]
- Baltacioglu, C.; Yetisen, M.; Baltacioglu, H.; Karacabey, E.; Buzrul, S. Pulsed Electric Fields (PEF) Treatment Prior to Hot-Air and Microwave Drying of Yellow- and Purple-Fleshed Potatoes. Potato Res. 2024. [Google Scholar] [CrossRef]
- Geršak, J. Quality requirement for clothing materials. In Design of Clothing Manufacturing Processes; Elsevier: Amsterdam, The Netherlands, 2022; pp. 283–333. [Google Scholar] [CrossRef]
- Tiwari, B.K.; Patras, A.; Brunton, N.; Cullen, P.J.; O’Donnell, C.P. Effect of ultrasound processing on anthocyanins and color of red grape juice. Ultrason. Sonochemistry 2010, 17, 598–604. [Google Scholar] [CrossRef] [PubMed]
- Dadali, G.; Demirhan, E.; Özbek, B. Color Change Kinetics of Spinach Undergoing Microwave Drying. Dry. Technol. 2007, 25, 1713–1723. [Google Scholar] [CrossRef]
- Deng, J.; Yang, H.; Capanoglu, E.; Cao, H.; Xiao, J. Technological aspects and stability of polyphenols. In Polyphenols: Properties, Recovery, and Applications; Galanakis, C.M., Ed.; Elsevier: Amsterdam, The Netherlands, 2018; pp. 295–323. ISBN 9780128135723. [Google Scholar]
- Calderón-Oliver, M.; Ponce-Alquicira, E. Fruits: A Source of Polyphenols and Health Benefits. In Natural and Artificial Flavoring Agents and Food Dyes; Elsevier: Amsterdam, The Netherlands, 2018; pp. 189–228. ISBN 9780128115183. [Google Scholar]
- Chen, C.-S.; Zhang, D.; Wang, Y.-Q.; Li, P.-M.; Ma, F.-W. Effects of fruit bagging on the contents of phenolic compounds in the peel and flesh of ‘Golden Delicious’, ‘Red Delicious’, and ‘Royal Gala’ apples. Sci. Hortic. 2012, 142, 68–73. [Google Scholar] [CrossRef]
- Bushra Sultana, B.S.; Farooq Anwar, F.A.; Muhammad Ashraf, M.A.; Nazamid Saari, N.S. Effect of drying techniques on the total phenolic contents and antioxidant activity of selected fruits. J. Med. Plants Res. 2012, 6, 161–167. [Google Scholar] [CrossRef]
- Zhou, L.; Cao, Z.; Bi, J.; Yi, J.; Chen, Q.; Wu, X.; Zhou, M. Degradation kinetics of total phenolic compounds, capsaicinoids and antioxidant activity in red pepper during hot air and infrared drying process. Int. J. Food Sci. Technol. 2016, 51, 842–853. [Google Scholar] [CrossRef]
Disclaimer/Publisher’s Note: The statements, opinions and data contained in all publications are solely those of the individual author(s) and contributor(s) and not of MDPI and/or the editor(s). MDPI and/or the editor(s) disclaim responsibility for any injury to people or property resulting from any ideas, methods, instructions or products referred to in the content. |
© 2025 by the authors. Licensee MDPI, Basel, Switzerland. This article is an open access article distributed under the terms and conditions of the Creative Commons Attribution (CC BY) license (https://creativecommons.org/licenses/by/4.0/).








