Safety-Constrained Disturbance-Compensated Model Predictive Control for Flexible-Joint Robots
Abstract
1. Introduction
2. Flexible Joint Robotic Arm Dynamic Model
2.1. Coordinates, Gear Ratio, and Modeling Assumptions
2.2. Energy Functions and Lagrange Equations
2.3. Nominal-Inertia Rewriting and Disturbance Decomposition
2.4. State-Space Representation
3. Safe and Disturbance-Compensated MPC Design
3.1. Disturbance Observer Design
3.2. Control Barrier Function Design
3.3. Model Predictive Controller Design
4. Experimental Results
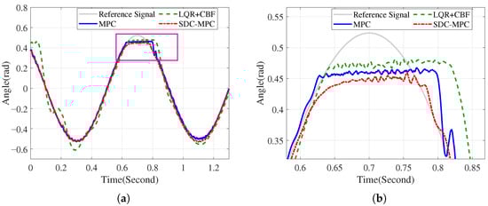
4.1. Tests Under Persistent Parametric Uncertainty
4.2. Tests Under External Disturbances (Injected at 1.6 s)
4.2.1. Quantitative Summary
4.2.2. Real-Time Feasibility
4.3. Parameter Sensitivity Analysis
5. Discussion
5.1. Comparative Analysis with Recent Frameworks
5.2. Mechanism of Performance Enhancement
5.3. Limitations and Future Work
5.3.1. Scalability to Multi-Joint Systems
5.3.2. Modeling Simplifications
5.3.3. Noise Sensitivity and Bandwidth Trade-Off
6. Conclusions
Author Contributions
Funding
Data Availability Statement
Conflicts of Interest
References
- Albu-Schffer, A.; Ott, C.; Hirzinger, G. A Unified Passivity-Based Control Framework for Position, Torque and Impedance Control of Flexible Joint Robots. Int. J. Robot. Res. 2007, 26, 23–39. [Google Scholar] [CrossRef]
- Ott, C.; Albu-Schffer, A.; Kugi, A.; Hirzinger, G. On the Passivity-Based Impedance Control of Flexible Joint Robots. IEEE Trans. Robot. 2008, 24, 416–429. [Google Scholar] [CrossRef]
- Mansfeld, N.; Keppler, M.; Haddadin, S. Speed Gain in Elastic Joint Robots: An Energy Conversion-Based Approach. IEEE Robot. Autom. Lett. 2021, 6, 4600–4607. [Google Scholar] [CrossRef]
- Spyrakos, P.E.; Dai, J.S. Stable Flexible-Joint Floating-Base Robot Balancing and Locomotion via Variable Impedance Control. IEEE Trans. Ind. Electron. 2023, 70, 2748–2758. [Google Scholar] [CrossRef]
- Jin, M.; Lee, J.; Tsagarakis, N.G. Model-Free Robust Adaptive Control of Humanoid Robots With Flexible Joints. IEEE Trans. Ind. Electron. 2017, 64, 1706–1715. [Google Scholar] [CrossRef]
- Zhihua, Q. Input-output robust tracking control design for flexible joint robots. IEEE Trans. Autom. Control 1995, 40, 78–83. [Google Scholar] [CrossRef]
- An-Chyau, H.; Yuan-Chih, C. Adaptive sliding control for single-link flexible-joint robot with mismatched uncertainties. IEEE Trans. Control Syst. Technol. 2004, 12, 770–775. [Google Scholar]
- Rsetam, K.; Cao, Z.; Man, Z. Design of Robust Terminal Sliding Mode Control for Underactuated Flexible Joint Robot. IEEE Trans. Syst. Man Cybern. Syst. 2022, 52, 4272–4285. [Google Scholar] [CrossRef]
- Spong, M.W. Adaptive Control of Flexible Joint Manipulators: Comments on Two Papers. Automatica 1995, 31, 585–590. [Google Scholar] [CrossRef]
- Jiang, H.; Yang, Y.; Hua, C.; Li, X.; Lu, F. Predefined-Time Composite Fuzzy Adaptive Control for Flexible-Joint Manipulator System With High-Order Fully Actuated Control Approach. IEEE Trans. Ind. Electron. 2025, 72, 7191–7199. [Google Scholar] [CrossRef]
- Yang, K.; Zhao, L. Command-Filtered Backstepping Control for Flexible Joint Manipulator Systems with Full-State Constraints. Int. J. Control Autom. Syst. 2022, 20, 2231–2238. [Google Scholar] [CrossRef]
- Doina, Z.M. LQG/LQR optimal control for flexible joint manipulator. In Proceedings of the 2012 International Conference and Exposition on Electrical and Power Engineering, Iasi, Romania, 25–27 October 2012; pp. 35–40. [Google Scholar]
- Maeder, U.; Borrelli, F.; Morari, M. Linear offset-free Model Predictive Control. Automatica 2009, 45, 2214–2222. [Google Scholar] [CrossRef]
- Hasan, M.N.; Haris, M.; Pirzada, S.J.H.; Qin, S. Adaptive Model Predictive Control for a Class of Nonlinear Single-Link Flexible Joint Manipulator. In Proceedings of the 2019 Second International Conference on Latest Trends in Electrical Engineering and Computing Technologies (INTELLECT), Karachi, Pakistan, 13–14 November 2019; pp. 1–6. [Google Scholar]
- Sun, J.; Peng, C.; Zou, J.; Zhou, Q.; Wu, Y. A novel MPC-NNSMC composite control method for robotic manipulators considering uncertainties and constraints. Control Eng. Pract. 2025, 156, 106238. [Google Scholar] [CrossRef]
- Pradhan, S.K.; Subudhi, B. Nonlinear Adaptive Model Predictive Controller for a Flexible Manipulator: An Experimental Study. IEEE Trans. Control Syst. Technol. 2014, 22, 1754–1768. [Google Scholar] [CrossRef]
- Mayne, D.Q.; Rawlings, J.B.; Rao, C.V.; Scokaert, P.O.M. Constrained Model Predictive Control: Stability and Optimality. Automatica 2000, 36, 789–814. [Google Scholar] [CrossRef]
- Kim, M.J.; Chung, W.K. Disturbance-Observer-Based PD Control of Flexible Joint Robots for Asymptotic Convergence. IEEE Trans. Robot. 2015, 31, 1508–1516. [Google Scholar] [CrossRef]
- Tian, L.; Gao, Y.; Zhang, Z. Disturbance-observer-based tracking controller for a flexible-joint robotic manipulator with full-state constraints. Proc. Inst. Mech. Eng. Part I J. Syst. Control Eng. 2022, 236, 1166–1175. [Google Scholar] [CrossRef]
- Lee, D.; Back, J.; Oh, S. Workspace Nonlinear Disturbance Observer for Robust Position Control of Flexible Joint Robots. IEEE Robot. Autom. Lett. 2024, 9, 4495–4502. [Google Scholar] [CrossRef]
- Yang, J.; Zheng, W.X.; Li, S.; Wu, B.; Cheng, M. Design of a Prediction-Accuracy-Enhanced Continuous-Time MPC for Disturbed Systems via a Disturbance Observer. IEEE Trans. Ind. Electron. 2015, 62, 5807–5816. [Google Scholar] [CrossRef]
- Yan, Y.; Yang, J.; Sun, Z.; Li, S.; Yu, H. Non-linear-disturbance-observer-enhanced MPC for motion control systems with multiple disturbances. IET Control Theory Appl. 2020, 14, 63–72. [Google Scholar] [CrossRef]
- Ames, A.D.; Coogan, S.; Egerstedt, M.; Notomista, G.; Sreenath, K.; Tabuada, P. Control Barrier Functions: Theory and Applications. In Proceedings of the 2019 18th European Control Conference (ECC), Naples, Italy, 25–28 June 2019. [Google Scholar]
- Kurtz, V.; Wensing, P.M.; Lin, H. Control Barrier Functions for Singularity Avoidance in Passivity-Based Manipulator Control. In Proceedings of the 2021 60th IEEE Conference on Decision and Control (CDC), Austin, TX, USA, 14–17 December 2021; pp. 6125–6130. [Google Scholar]
- Heshmati-Alamdari, S.; Sharifi, M.; Karras, G.C.; Fourlas, G.K. Control barrier function based visual servoing for Mobile Manipulator Systems under functional limitations. Robot. Auton. Syst. 2024, 182, 104813. [Google Scholar] [CrossRef]
- Liu, J.; Yang, J.; Mao, J.; Zhu, T.; Xie, Q.; Li, Y.; Wang, X.; Li, S. Flexible Active Safety Motion Control for Robotic Obstacle Avoidance: A CBF-Guided MPC Approach. IEEE Robot. Autom. Lett. 2025, 10, 2686–2693. [Google Scholar] [CrossRef]
- Ott, C.; Roa, M.A.; Albu-Schäffer, A. An Experimental Study on MPC-Based Joint Torque Control for Flexible Joint Robots. IEEE Robot. Autom. Lett. 2019, 4, 4201–4208. [Google Scholar] [CrossRef]
- Chen, W.H.; Yang, J.; Guo, L.; Li, S. A general nonlinear MPC framework for disturbances rejection. In Proceedings of the 19th World Congress the International Federation of Automatic Control, Cape Town, South Africa, 24–29 August 2014; Volume 47, pp. 4640–4645. [Google Scholar]
- Zeng, J.; Zhang, B.; Sreenath, K. Safety-Critical Model Predictive Control with Discrete-Time Control Barrier Functions. In Proceedings of the 2021 American Control Conference (ACC), New Orleans, LA, USA, 25–28 May 2021; pp. 3882–3889. [Google Scholar]
- Singletary, A.; Ames, A.D. Comparative Analysis of Control Barrier Functions and Artificial Potential Fields for Obstacle Avoidance. In Proceedings of the 2021 IEEE/RSJ International Conference on Intelligent Robots and Systems (IROS), Prague, Czech Republic, 27 September–1 October 2021; pp. 8129–8136. [Google Scholar]








| Method | Tracking Error | MVF (rad/s) | ||
|---|---|---|---|---|
| RMSE (rad) | MAE (rad) | IAE (rad·s) | ||
| MPC | 0.055 | 0.151 | 0.118 | 14.019 |
| LQR + CBF | 0.112 | 0.300 | 0.245 | 21.177 |
| SDC-MPC | 0.019 | 0.051 | 0.032 | 8.732 |
| Metric | MPC | LQR + CBF | SDC-MPC |
|---|---|---|---|
| Group 1 | |||
| MAD (rad) | 0.165 | 0.300 | 0.055 |
| MSF (rad/s) | 13.5 | 19.5 | 8.5 |
| ST (s) | 0.32 | 0.55 | 0.15 |
| Group 2 | |||
| MAD (rad) | 0.170 | 0.305 | 0.056 |
| MSF (rad/s) | 13.7 | 19.8 | 8.6 |
| ST (s) | 0.33 | 0.56 | 0.16 |
| Parameter Setting | RMSE (rad) | MVF (rad/s) | Comp. Time (ms) |
|---|---|---|---|
| Impact of Prediction Horizon (N) | |||
| (Short) | 0.035 | 9.2 | 3.1 |
| (Nominal) | 0.019 | 8.7 | 6.7 |
| (Long) | 0.018 | 8.6 | 14.2 |
| Impact of DOB Pole (p) | |||
| (Slow) | 0.028 | 5.1 | 6.7 |
| (Nominal) | 0.019 | 8.7 | 6.7 |
| (Fast) | 0.017 | 15.3 | 6.7 |
| Framework | DC | FS | DAS | FA |
|---|---|---|---|---|
| MPC + DOB [19,20] | Yes | No | No | Hard |
| MPC + CBF [25,26] | No | Yes | No | Filter-Dep. |
| Robust MPC | Worst-Case | Yes | Fixed | Conservative |
| SDC-MPC (Ours) | Yes | Yes | Yes | Soft |
Disclaimer/Publisher’s Note: The statements, opinions and data contained in all publications are solely those of the individual author(s) and contributor(s) and not of MDPI and/or the editor(s). MDPI and/or the editor(s) disclaim responsibility for any injury to people or property resulting from any ideas, methods, instructions or products referred to in the content. |
© 2025 by the authors. Licensee MDPI, Basel, Switzerland. This article is an open access article distributed under the terms and conditions of the Creative Commons Attribution (CC BY) license (https://creativecommons.org/licenses/by/4.0/).
Share and Cite
Cao, S.; Wang, F.; Li, X.; Yao, D.; Xie, M. Safety-Constrained Disturbance-Compensated Model Predictive Control for Flexible-Joint Robots. Appl. Sci. 2025, 15, 13238. https://doi.org/10.3390/app152413238
Cao S, Wang F, Li X, Yao D, Xie M. Safety-Constrained Disturbance-Compensated Model Predictive Control for Flexible-Joint Robots. Applied Sciences. 2025; 15(24):13238. https://doi.org/10.3390/app152413238
Chicago/Turabian StyleCao, Shiqi, Fan Wang, Xin Li, Dalei Yao, and Meilin Xie. 2025. "Safety-Constrained Disturbance-Compensated Model Predictive Control for Flexible-Joint Robots" Applied Sciences 15, no. 24: 13238. https://doi.org/10.3390/app152413238
APA StyleCao, S., Wang, F., Li, X., Yao, D., & Xie, M. (2025). Safety-Constrained Disturbance-Compensated Model Predictive Control for Flexible-Joint Robots. Applied Sciences, 15(24), 13238. https://doi.org/10.3390/app152413238

