Experimental Study of a Cantilever Piezoelectric Energy Harvester Utilising the Sloshing of a Liquid-Filled Container
Abstract
1. Introduction
2. Theoretical Method and Experimental Test
2.1. Description of the PEH Model
2.2. Theoretical Analysis
- (1)
- Natural Sloshing Frequency of the Liquid in the Container
- (2)
- Fluid Structure Interaction (FSI) Model of Cantilever Beam
- (3)
- Frequency Analysis
2.3. Experimental Procedures and Analysis
3. Results and Discussion
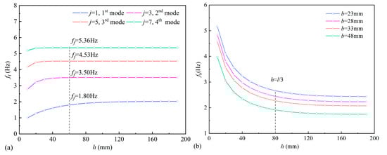
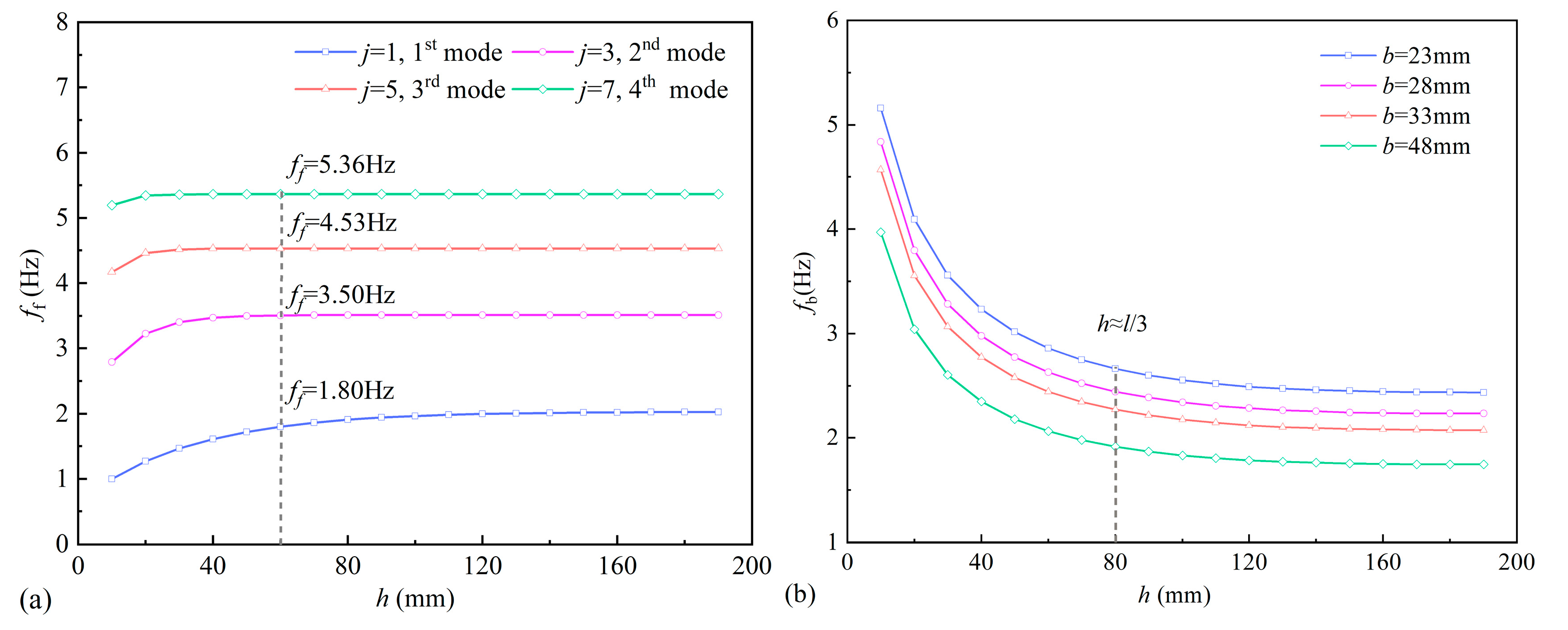
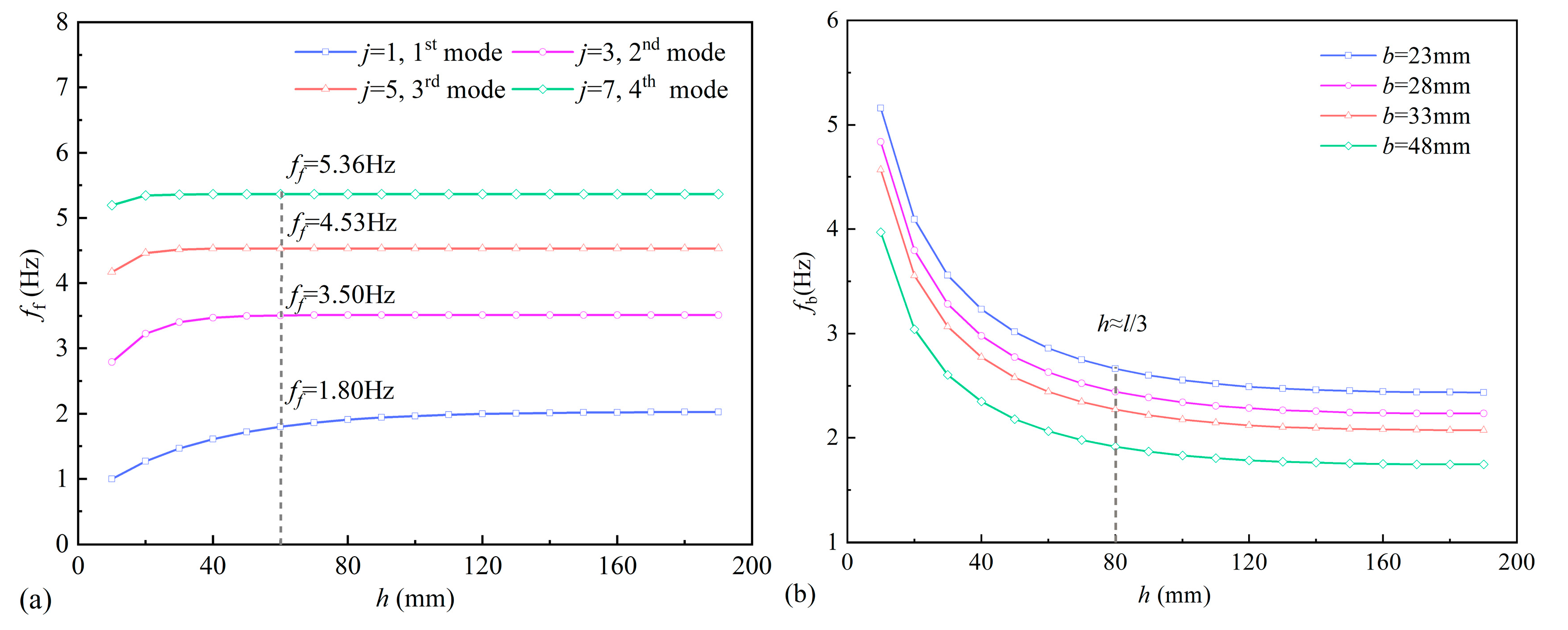
3.1. Liquid Geometric Parameters
- (1)
- Effect of the Immersion Depth
- (2)
- Effect of the Liquid Width
3.2. Dimensions of the Beam
- (1)
- Effect of the Beam Thickness
- (2)
- Effect of Beam Width
4. Conclusions and Prospect
Author Contributions
Funding
Institutional Review Board Statement
Informed Consent Statement
Data Availability Statement
Conflicts of Interest
References
- Sezer, N.; Koç, M. A comprehensive review on the state-of-the-art of piezoelectric energy harvesting. Nano Energy 2021, 80, 105567. [Google Scholar] [CrossRef]
- Sharma, P.K.; Baredar, P.V. Analysis on piezoelectric energy harvesting small scale device—A review. J. King Saud Univ. Sci. 2017, 31, 869–877. [Google Scholar] [CrossRef]
- Yoo, I.; Kwon, D.S.; Yang, S.; Kim, H. Development of low frequency hybrid harvester for vehicle vibration energy harvesting. In Proceedings of the 2024 IEEE 23rd International Conference on Micro and Miniature Power Systems, Self-Powered Sensors and Energy Autonomous Devices (PowerMEMS), Tønsberg, Norway, 18–21 November 2024; IEEE: Piscataway, NJ, USA, 2024; pp. 99–102. [Google Scholar] [CrossRef]
- Xing, J.; Sun, Z.; Zhou, S.; Tan, M. Dynamic interactions of an integrated vehicle–electromagnetic energy harvester–tire system subject to uneven road excitations. Acta Mech. Sin.-Prc. 2017, 2, 232–248. [Google Scholar] [CrossRef]
- Kwon, D.S.; Yoo, I.; Yang, S.; Kim, H. Coil vibration type electromagnetic energy harvester for vehicle vibration energy harvesting. In Proceedings of the 2024 IEEE 23rd International Conference on Micro and Miniature Power Systems, Self-Powered Sensors and Energy Autonomous Devices (PowerMEMS), Tønsberg, Norway, 18–21 November 2024; IEEE: Piscataway, NJ, USA, 2024; pp. 91–94. [Google Scholar] [CrossRef]
- Ogbonna, V.E.; Popoola, A.P.I.; Popoola, O.M. Piezoelectric ceramic materials on transducer technology for energy harvesting: A review. Front. Energy Res. 2022, 10, 1051081. [Google Scholar] [CrossRef]
- Liu, H.; Zhong, J.; Lee, C.; Lee, S.W.; Lin, L. A comprehensive review on piezoelectric energy harvesting technology: Materials, mechanisms, and applications. Appl. Phys. Rev. 2018, 5, 4. [Google Scholar] [CrossRef]
- Clementi, G.; Cottone, F.; Michele, A.D.; Gammaitoni, L.; Mattarelli, M.; Perna, G.; López-Suárez, M.; Baglio, S.; Trigona, C.; Neri, I. Review on innovative piezoelectric materials for mechanical energy harvesting. Energies 2022, 15, 6227. [Google Scholar] [CrossRef]
- Al-Yafeai, D.; Darabseh, T.; Mourad, A.H.I. A state-of-the-art review of car suspension-based piezoelectric energy harvesting systems. Energies 2020, 13, 2336. [Google Scholar] [CrossRef]
- Elfrink, R.; Matova, S.; Nooijer, C.; Jambunathan, M.; Goedbloed, M.; Molengraft, J.; Pop, V.; Vullers, R.J.M.; Renaud, M.; Schaijk, R. Shock induced energy harvesting with a MEMS harvester for automotive applications. In Proceedings of the 2011 IEEE International Electron Devices Meeting (IEDM 2011), Washington, DC, USA, 5–7 December 2011; IEEE: Piscataway, NJ, USA, 2011; pp. 29.5.1–29.5.4. [Google Scholar] [CrossRef]
- Yoo, I.; Kwon, D.S.; Yang, S.; Kim, H. Development and optimization of a new end-cap tire-strain piezoelectric energy harvester. Energy Convers. Manag. 2024, 303, 118109. [Google Scholar] [CrossRef]
- Tuo, J.; Zheng, S.; Chen, X.; Wang, B.; Qi, W. Design of a quasi-zero stiffness vibration isolation and energy harvesting integrated seat suspension. J. Vib. Eng. Technol. 2025, 13, 3–222. [Google Scholar] [CrossRef]
- Yang, P.; Saad, A.A.; Mazlan, A.Z.A. Design and experimental study of piezoelectric energy harvester from driving motor system of electric vehicle based on high-low excitation frequency profiles. J. Vib. Eng. Technol. 2025, 31, 3231–3244. [Google Scholar] [CrossRef]
- Tian, W.; Shi, Y.; Cui, H.; Shi, J. Research on piezoelectric energy harvester based on coupled oscillator model for vehicle vibration utilizing a L-shaped cantilever beam. Smart Mater. Struct. 2020, 29, 075014. [Google Scholar] [CrossRef]
- Hamlehdar, M.; Kasaeian, A.; Safaei, M.R. Energy harvesting from fluid flow using piezoelectrics: A critical review. Renew. Energy 2019, 143, 1826–1838. [Google Scholar] [CrossRef]
- Taylor, G.W.; Burns, J.R.; Kammann, S.M.; Powers, W.B.; Welsh, T.R. The Energy harvesting eel: A small subsurface ocean/river power generator. IEEE J. Ocean. Eng. 2001, 26, 539–547. [Google Scholar] [CrossRef]
- Song, R.; Shan, X.; Lv, F.; Xie, T. A study of vortex-induced energy harvesting from water using PZT piezoelectric cantilever with cylindrical extension. Ceram. Int. 2015, 41, S768–S773. [Google Scholar] [CrossRef]
- Mutsuda, H.; Tanaka, Y.; Doi, Y.; Moriyama, Y. Application of a flexible device coating with piezoelectric paint for harvesting wave energy. Ocean Eng. 2019, 172, 170–182. [Google Scholar] [CrossRef]
- Yang, F.; Zhang, J.; Lin, M.; Su, O.; Qin, L. An ultralow frequency, low intensity, and multidirectional piezoelectric vibration energy harvester using liquid as energy-capturing medium. Appl. Phys. Lett. 2020, 117, 17. [Google Scholar] [CrossRef]
- Nabavi, S.F.; Farshidianfar, A.; Afsharfard, A. Novel piezoelectric-based ocean wave energy harvesting from offshore buoys. Appl. Ocean Res. 2018, 76, 174–183. [Google Scholar] [CrossRef]
- Kazemi, S.; Nili-Ahmadabadi, M.; Tavakoli, M.R.; Tikani, R. Energy harvesting from longitudinal and transverse motions of sea waves particles using a new waterproof piezoelectric waves energy harvester. Renew. Energy 2021, 179, 528–536. [Google Scholar] [CrossRef]
- Sahoo, P.K.; Roychowdhury, S.; Arumuru, V. Fluid sloshing augmented parametric excitation for enhanced piezoelectric vibration energy harvesting. Sens. Actuat. A-Phys. 2025, 395, 117061. [Google Scholar] [CrossRef]
- Kim, K.J.; Kim, J.; Kim, D. Slosh-induced piezoelectric energy harvesting in a liquid tank. Renew. Energy 2023, 206, 409–417. [Google Scholar] [CrossRef]
- Hassan, R.; Mcmanus, K. Perception of low frequency vibrations by heavy vehicle drivers. J. Low Freq. Noise Vib. Act. Control. 2002, 21, 65–75. [Google Scholar] [CrossRef]
- Jalili, M.M.; Motavasselolhagh, M.; Fatehi, R.; Sefid, M. Investigation of sloshing effects on lateral stability of tank vehicles during turning maneuver. Mech. Based Des. Struc. 2022, 50, 3180–3205. [Google Scholar] [CrossRef]
- Kumar, V.; Vijayakumar, V.; Naduvilethil, R.T. Numerical analysis of sloshing induced bouncing and pitching motions in a tank-truck during braking conditions. In Proceedings of the AIP Conference Proceedings, Future and Recent Advances in Mechanical Engineering: Frame (2024), Kurukshetra, India, 15–17 October 2024; American Institute of Physics: College Park, MD, USA, 2025; Volume 3330, p. 020017. [Google Scholar] [CrossRef]
- Liu, K.; Li, X.; Peng, P.; Zhou, Z.; Gao, Z. Experimental Study on the Sloshing of a Rectangular Tank under Pitch Excitations. Water 2024, 16, 1551. [Google Scholar] [CrossRef]
- Renzi, E. Hydroelectromechanical modelling of a piezoelectric wave energy converter. Proc. R. Soc. A Math. Phys. Eng. Sci. 2016, 472, 20160715. [Google Scholar] [CrossRef]
- Celebi, M.S.; Akyildiz, H. Nonlinear modeling of liquid sloshing in a moving rectangular tank. Ocean Eng. 2002, 29, 1527–1553. [Google Scholar] [CrossRef]
- Xue, M.; Lin, P. Numerical study of ring baffle effects on reducing violent liquid sloshing. Comput. Fluids 2011, 52, 116–129. [Google Scholar] [CrossRef]
- Sader, J.E. Frequency response of cantilever beams immersed in viscous fluids with applications to the atomic force microscope. J. Appl. Phys. 1998, 84, 64–76. [Google Scholar] [CrossRef]
- Tuck, E.O. Calculation of unsteady flows due to small motions of cylinders in a viscous fluid. J. Eng. Math. 1969, 3, 29–44. [Google Scholar] [CrossRef]
- Kirstein, S.; Mertesdorf, M.; Schönhoff, M. The influence of a viscous fluid on the vibration dynamics of scanning near-field optical microscopy fiber probes and atomic force microscopy cantilevers. J. Appl. Phys. 1998, 84, 1782–1790. [Google Scholar] [CrossRef]
- Shabani, R.; Hatami, H.; Golzar, F.G.; Tariverdilo, S.; Rezazadeh, G. Coupled vibration of a cantilever micro-beam submerged in a bounded incompressible fluid domain. Acta Mech. 2013, 224, 841–850. [Google Scholar] [CrossRef]












| Resonance Order | The Population Mean of Peak RMS Voltage ± σ | The Population Mean of FFT Frequency ± σ | Theoretical Liquid Sloshing Frequency | Relative Error of Resonance Frequency |
|---|---|---|---|---|
| 1st mode | 1.32 ± 0.05 | 1.793 ± 0.026 | 1.8 | 0.39% |
| 2nd mode | 1.05 ± 0.08 | 3.497 | 3.5 | 0.09% |
| 3rd mode | 0.48 ± 0.03 | 4.571 ± 0.025 | 4.53 | 0.91% |
| 4th mode | 0.25 ± 0.01 | 5.487 ± 0.029 | 5.36 | 2.37% |
Disclaimer/Publisher’s Note: The statements, opinions and data contained in all publications are solely those of the individual author(s) and contributor(s) and not of MDPI and/or the editor(s). MDPI and/or the editor(s) disclaim responsibility for any injury to people or property resulting from any ideas, methods, instructions or products referred to in the content. |
© 2025 by the authors. Licensee MDPI, Basel, Switzerland. This article is an open access article distributed under the terms and conditions of the Creative Commons Attribution (CC BY) license (https://creativecommons.org/licenses/by/4.0/).
Share and Cite
Dong, X.; Shao, M.; Song, Y.; Zhang, Z.; Song, R. Experimental Study of a Cantilever Piezoelectric Energy Harvester Utilising the Sloshing of a Liquid-Filled Container. Appl. Sci. 2025, 15, 12921. https://doi.org/10.3390/app152412921
Dong X, Shao M, Song Y, Zhang Z, Song R. Experimental Study of a Cantilever Piezoelectric Energy Harvester Utilising the Sloshing of a Liquid-Filled Container. Applied Sciences. 2025; 15(24):12921. https://doi.org/10.3390/app152412921
Chicago/Turabian StyleDong, Xiangchao, Mingyu Shao, Yaqiong Song, Zhongwei Zhang, and Rujun Song. 2025. "Experimental Study of a Cantilever Piezoelectric Energy Harvester Utilising the Sloshing of a Liquid-Filled Container" Applied Sciences 15, no. 24: 12921. https://doi.org/10.3390/app152412921
APA StyleDong, X., Shao, M., Song, Y., Zhang, Z., & Song, R. (2025). Experimental Study of a Cantilever Piezoelectric Energy Harvester Utilising the Sloshing of a Liquid-Filled Container. Applied Sciences, 15(24), 12921. https://doi.org/10.3390/app152412921

