Effect of Real Gas Equations on Calculation Accuracy of Thermodynamic State in Hydrogen Storage Tank
Abstract
1. Introduction
2. Development and Validation of a Hydrogen Storage Tank Model
2.1. Development of a Hydrogen Storage Tank Model
2.2. Validation of the Hydrogen Storage Tank Model
3. Thermodynamic States in Storage Tank Calculated by Different EOSs
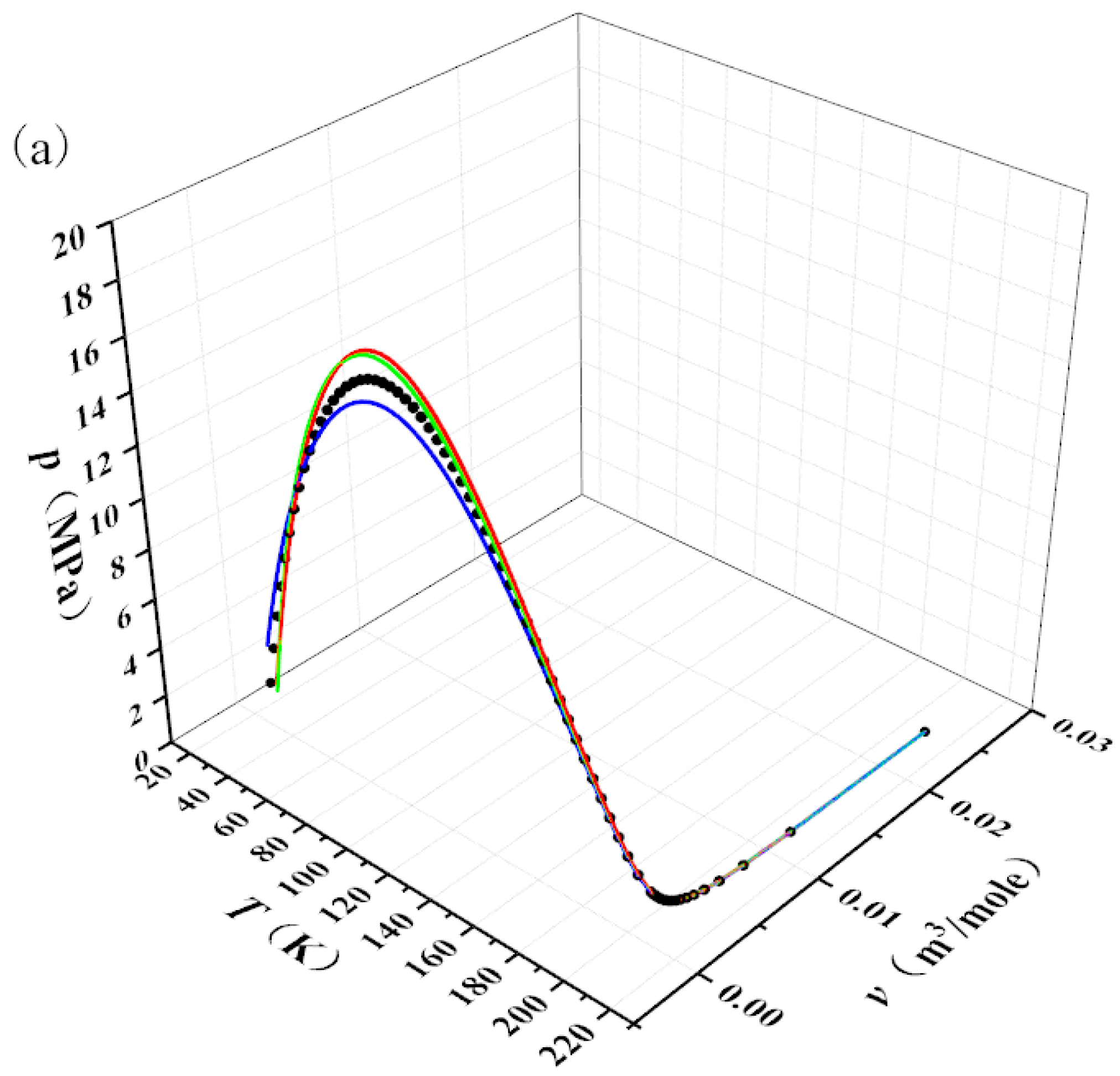
3.1. van der Waals Equation of State
3.2. Modified Forms for van der Waals Equation of State
3.3. Polynomial Equation of State
3.4. Pressure in Hydrogen Storage Tank Calculated by Different Equations of State
4. Conclusions
- (1)
- A lumped-parameter thermodynamic model integrating a zero-dimensional gas model and a one-dimensional tank wall model (0D1D) was developed for simulating the hydrogen refueling process. The model demonstrates high accuracy, as validated through comparative analysis with experimental data.
- (2)
- Among the modified forms for van der Waals EOS (Redlich–Kwong, Soave, and Peng–Robinson), the fitting curve of the Redlich–Kwong EOS more closely approximates the Joule–Thomson inversion curve, implying that the Redlich–Kwong EOS exhibits higher accuracy than the Soave and Peng–Robinson EOSs.
- (3)
- Using the final hydrogen pressure calculated by the NIST database as the benchmark, the relative error of the polynomial EOS is 0.30%, followed by 1.83% for the Redlich–Kwong EOS, and 17.90% for the van der Waals EOS. This indicates that the polynomial EOS exhibits higher accuracy, followed by the Redlich–Kwong EOS, while the van der Waals EOS demonstrates lower accuracy.
Author Contributions
Funding
Institutional Review Board Statement
Informed Consent Statement
Data Availability Statement
Conflicts of Interest
Abbreviations
| EOS | Equation of state |
| NWP | Nominal working pressure |
| NIST | National Institute of Standards and Technology |
| NASA | National Aeronautics and Space Administration |
| PRR | Pressure ramp rate |
| SAE | Society of Automotive Engineers |
| 0D1D | Zero-dimensional gas and one-dimensional tank wall |
References
- Li, Q.; Zhang, Q.; Zhang, L.; Lang, J.; Yuan, W.; An, G.; Lei, T.; Yan, J. A comprehensive review of advances and challenges of hydrogen production, purification, compression, transportation, storage and utilization technology. Renew. Sustain. Energy Rev. 2026, 226, 116196. [Google Scholar] [CrossRef]
- Al Kareem, S.S.A.; Hassan, Q.; Fakhruldeen, H.F.; Hanoon, T.M.; Jabbar, F.I.; Algburi, S.; Khalaf, D.H. A review on physical and chemical hydrogen storage methods for sustainable energy applications. Unconv. Resour. 2025, 8, 100235. [Google Scholar] [CrossRef]
- Chen, H.; Zheng, J.; Xu, P.; Li, L.; Liu, Y.; Bie, H. Study on real-gas equations of high pressure hydrogen. Int. J. Hydrogen Energy 2010, 35, 3100–3104. [Google Scholar] [CrossRef]
- Kontogeorgis, G.M.; Liang, X.; Arya, A.; Tsivintzelis, I. Equations of state in three centuries. Are we closer to arriving to a single model for all applications? Chem. Eng. Sci. X 2020, 7, 100060. [Google Scholar] [CrossRef]
- Nasrifar, K. Comparative study of eleven equations of state in predicting the thermodynamic properties of hydrogen. Int. J. Hydrogen Energy 2010, 35, 3802–3811. [Google Scholar] [CrossRef]
- Bai-gang, S.; Dong-sheng, Z.; Fu-shui, L. A new equation of state for hydrogen gas. Int. J. Hydrogen Energy 2012, 37, 932–935. [Google Scholar] [CrossRef]
- Peng, Y.; Long, X. A new simplified virial equation of state for high temperature and high pressure gas. AIP Adv. 2022, 12, 015119. [Google Scholar] [CrossRef]
- Bilgili, M.; Yumşakdemir, R.F. Effects of real gas equations on the fast-filling process of compressed hydrogen storage tank. Int. J. Hydrogen Energy 2024, 53, 816–828. [Google Scholar] [CrossRef]
- Zheng, J.; Guo, J.; Yang, J.; Zhao, Y.; Zhao, L.; Pan, X.; Ma, J.; Zhang, L. Experimental and numerical study on temperature rise within a 70 MPa type III cylinder during fast refueling. Int. J. Hydrogen Energy 2013, 38, 10956–10962. [Google Scholar] [CrossRef]
- Xiao, J.; Bénard, P.; Chahine, R. Charge-discharge cycle thermodynamics for compression hydrogen storage system. Int. J. Hydrogen Energy 2016, 41, 5531–5539. [Google Scholar] [CrossRef]
- Xiao, J.; Wang, X.; Zhou, X.; Bénard, P.; Chahine, R. A dual zone thermodynamic model for refueling hydrogen vehicles. Int. J. Hydrogen Energy 2019, 44, 8780–8790. [Google Scholar] [CrossRef]
- Rothuizen, E.; Mérida, W.; Rokni, M.; Wistoft-Ibsen, M. Optimization of hydrogen vehicle refueling via dynamic simulation. Int. J. Hydrogen Energy 2013, 38, 4221–4231. [Google Scholar] [CrossRef]
- Bourgeois, T.; Ammouri, F.; Weber, M.; Knapik, C. Evaluating the temperature inside a tank during a filling with highly-pressurized gas. Int. J. Hydrogen Energy 2015, 40, 11748–11755. [Google Scholar] [CrossRef]
- Luo, H.; Xiao, J.; Bénard, P.; Chahine, R.; Yang, T. Effects of filling strategies on hydrogen refueling performance. Int. J. Hydrogen Energy 2024, 51, 664–675. [Google Scholar] [CrossRef]
- Waals, J.D.v.d. Molekulartheorie eines Körpers, der aus zwei verschiedenen Stoffen besteht. Z. Phys. Chem. 1890, 5U, 133–173. [Google Scholar] [CrossRef]
- Redlich, O.; Kwong, J.N.S. On the Thermodynamics of Solutions. V. An Equation of State. Fugacities of Gaseous Solutions. Chem. Rev. 1949, 44, 233–244. [Google Scholar] [CrossRef] [PubMed]
- Soave, G. Equilibrium constants from a modified Redlich-Kwong equation of state. Chem. Eng. Sci. 1972, 27, 1197–1203. [Google Scholar] [CrossRef]
- Peng, D.-Y.; Robinson, D.B. A New Two-Constant Equation of State. Ind. Eng. Chem. Fundam. 1976, 15, 59–64. [Google Scholar] [CrossRef]
- Benedict, M.; Webb, G.B.; Rubin, L.C. An Empirical Equation for Thermodynamic Properties of Light Hydrocarbons and Their Mixtures, I. Methane, Ethane, Propane and n-Butane. J. Chem. Phys. 1940, 8, 334–345. [Google Scholar] [CrossRef]
- Lee, B.I.; Kesler, M.G. A generalized thermodynamic correlation based on three-parameter corresponding states. AIChE J. 1975, 21, 510–527. [Google Scholar] [CrossRef]
- Leachman, J.; Jacobsen, R.; Penoncello, S.; Lemmon, E.W. Fundamental Equations of State for Parahydrogen, Normal Hydrogen, and Orthohydrogen. J. Phys. Chem. Ref. Data 2009, 38, 721–748. [Google Scholar] [CrossRef]
- Kunz, O.; Wagner, W. The GERG-2008 Wide-Range Equation of State for Natural Gases and Other Mixtures: An Expansion of GERG-2004. J. Chem. Eng. Data 2012, 57, 3032–3091. [Google Scholar] [CrossRef]
- Wagner, W.; Pruß, A. The IAPWS Formulation 1995 for the Thermodynamic Properties of Ordinary Water Substance for General and Scientific Use. J. Phys. Chem. Ref. Data 2002, 31, 387–535. [Google Scholar] [CrossRef]
- Lemmon, E.W.; Bell, I.H.; Huber, M.L.; McLinden, M.O. NIST Standard Reference Database 23: Reference Fluid Thermodynamic and Transport Properties-REFPROP, Version 10.0; National Institute of Standards and Technology: Gaithersburg, MD, USA, 2018. [Google Scholar] [CrossRef]
- Sears, F.W.; Salinger, G.L. Thermodynamics, Kinetic Theory, and Statistical Thermodynamics; Addison-Wesley Publishing Company: Boston, MA, USA, 1975; Available online: http://narosa.com/books_display.asp?catgcode=978-81-85015-71-2 (accessed on 10 September 2025).
- Hendricks, R.C.; Peller, I.C.; Baron, A.K. Joule-Thomson Inversion Curves and Related Coefficients for Several Simple Fluids; NASA Technical Note D-6807; National Aeronautics and Space Administration: Washington, DC, USA, 1972; Available online: https://ntrs.nasa.gov/api/citations/19720020315/downloads/19720020315.pdf (accessed on 10 September 2025).
- Bourgeois, T.; Ammouri, F.; Baraldi, D.; Moretto, P. The temperature evolution in compressed gas filling processes: A review. Int. J. Hydrogen Energy 2018, 43, 2268–2292. [Google Scholar] [CrossRef]
- Lulli, M.; Biferale, L.; Falcucci, G.; Sbragaglia, M.; Yang, D.; Shan, X. Metastable and unstable hydrodynamics in multiphase lattice Boltzmann. Phys. Rev. E 2024, 109, 045304. [Google Scholar] [CrossRef]




| Parameter | Physical Definition | Value |
|---|---|---|
| L | Length of the horizontal section of the tank (m) | 0.58 |
| Inner diameter of the tank (m) | 0.434 | |
| Outer diameter of the tank (m) | 0.484 | |
| Thermal conductivity of the tank wall liner (W/m/K) | 0.4 | |
| Thermal conductivity of the tank wall shell (W/m/K) | 0.53 | |
| Specific heat capacity of the tank wall liner (J/kg/K) | 1917 | |
| Specific heat capacity of the tank wall shell (J/kg/K) | 942 | |
| Density of the tank wall liner (kg/m3) | 954 | |
| Density of the tank wall shell (kg/m3) | 1442 | |
| Diameter of the inlet injector in the tank (m) | 0.006 |
| Parameter | Physical Definition | Value |
|---|---|---|
| Initial hydrogen temperature (°C) | 1.9 | |
| Initial tank wall temperature (°C) | 1.9 | |
| Ambient temperature (°C) | 1.9 | |
| Inlet temperature (°C) | 7.9 | |
| Initial hydrogen pressure (MPa) | 3 | |
| APRR | Average pressure ramp rate (refueling rate) (MPa/s) | 0.07 |
| Equation Name | Mathematical Expression | Advantages | Limitations |
|---|---|---|---|
| Van der Waals EOS (1873) [15] | First real gas EOS; simple form; qualitatively explains deviations from ideal gas | Low accuracy; large errors for hydrogen | |
| Redlich–Kwong EOS (1949) [16] | Improved applicability at high temperatures; relatively simple | Large deviations at high pressure and low temperature; poor accuracy for hydrogen | |
| Soave–Redlich–Kwong EOS (1972) [17] | Introduces , improves vapor–liquid equilibrium calculations; widely used in engineering | Limited accuracy; not ideal for hydrogen under high pressure | |
| Peng–Robinson EOS (1976) [18] | Relatively accurate at medium and high pressures; widely used in gas storage and transportation | Deviations near the critical point; insufficient for light molecules like hydrogen | |
| Benedict–Webb–Rubin EOS (BWR, 1940s) [19] | High accuracy over wide ranges; applicable for hydrogen experimental data fitting | Complex form with many parameters; inconvenient in engineering applications | |
| Virial EOS [7] | Extremely accurate at low pressures; coefficients directly determined by experiments | Invalid at high pressures; cannot describe phase transitions | |
| Lee–Kesler EOS (1975) [20] | Widely used in engineering; simple and practical; suitable for light gases approximate calculation | Corresponding states approximation; limited accuracy for hydrogen under extreme conditions | |
| NIST Leachman EOS (2009) [21] | Multiparameter form based on Helmholtz free energy | Developed specifically for hydrogen; very high accuracy; valid for 14–1000 K, P ≤ 2000 MPa | Complex expression; requires software support |
| GERG-2008 EOS (Kunz & Wagner, 2008) [22] | Multiparameter Helmholtz energy form, developed for natural gas and mixtures | Applicable to hydrogen and hydrogen mixtures; high accuracy; widely used in transport engineering | Slightly less specialized for pure hydrogen compared to Leachman EOS |
| IAPWS Hydrogen EOS (2002) [23] | Multiparameter form based on Helmholtz free energy | International standard EOS; wide T–P coverage | Complex formulas; inconvenient for direct engineering use |
| NIST REFPROP Database [24] | Integrated multiparameter EOS (e.g., Leachman EOS for hydrogen) | Most widely used in research and engineering; supports pure hydrogen and mixtures; directly computes thermodynamic properties | Commercial software requiring license; no simple closed-form expressions |
| Type | Parameter a | Parameter b | R2 | ||||
|---|---|---|---|---|---|---|---|
| Expression | Exp-Value | Fitted Value | Expression | Exp-Value | Fitted Value | ||
| R-K | 1.477 × 10−1 | 1.690 × 10−1 | 1.874 × 10−5 | 1.874 × 10−5 | 0.99 | ||
| Soave | 3.703 × 10−4 | 3.239 × 10−2 | 1.874 × 10−5 | 1.874 × 10−5 | 0.99 | ||
| P-R | 2.738 × 10−2 | 2.249 × 10−2 | 1.683 × 10−5 | 1.683 × 10−5 | 0.99 | ||
| Parameter Values (R2 = 0.998) | ||||
|---|---|---|---|---|
| a00: 0 | a01: −1.185 × 102 | a02: 3.744 | a03: −8.399 × 10−2 | a04: 1.157 × 10−3 |
| a05: −6.779 × 10−6 | a10: −3.512 × 10 | a11: 1.325 | a12: −2.807 × 10−2 | a13: 3.811 × 10−4 |
| a14: −2.353 × 10−6 | a20: 2.094 × 10−1 | a21: −5.506 × 10−3 | a22: 7.174 × 10−5 | a23: −4.348 × 10−7 |
| a30: −6.217 × 10−4 | a31: 1.026 × 10−5 | a32: −6.150 × 10−8 | a40: 9.188 × 10−7 | a41: −7.177 × 10−9 |
| a50: −5.408 × 10−10 | d: 2.346 × 103 | |||
Disclaimer/Publisher’s Note: The statements, opinions and data contained in all publications are solely those of the individual author(s) and contributor(s) and not of MDPI and/or the editor(s). MDPI and/or the editor(s) disclaim responsibility for any injury to people or property resulting from any ideas, methods, instructions or products referred to in the content. |
© 2025 by the authors. Licensee MDPI, Basel, Switzerland. This article is an open access article distributed under the terms and conditions of the Creative Commons Attribution (CC BY) license (https://creativecommons.org/licenses/by/4.0/).
Share and Cite
Luo, H.; Xin, Q.; Yao, C.; Li, C.; Yang, T.; Wu, X.; Chahine, R.; Xiao, J. Effect of Real Gas Equations on Calculation Accuracy of Thermodynamic State in Hydrogen Storage Tank. Appl. Sci. 2025, 15, 11151. https://doi.org/10.3390/app152011151
Luo H, Xin Q, Yao C, Li C, Yang T, Wu X, Chahine R, Xiao J. Effect of Real Gas Equations on Calculation Accuracy of Thermodynamic State in Hydrogen Storage Tank. Applied Sciences. 2025; 15(20):11151. https://doi.org/10.3390/app152011151
Chicago/Turabian StyleLuo, Hao, Qianqian Xin, Cenling Yao, Chenglong Li, Tianqi Yang, Xianhuan Wu, Richard Chahine, and Jinsheng Xiao. 2025. "Effect of Real Gas Equations on Calculation Accuracy of Thermodynamic State in Hydrogen Storage Tank" Applied Sciences 15, no. 20: 11151. https://doi.org/10.3390/app152011151
APA StyleLuo, H., Xin, Q., Yao, C., Li, C., Yang, T., Wu, X., Chahine, R., & Xiao, J. (2025). Effect of Real Gas Equations on Calculation Accuracy of Thermodynamic State in Hydrogen Storage Tank. Applied Sciences, 15(20), 11151. https://doi.org/10.3390/app152011151

