Bearing Semi-Supervised Anomaly Detection Using Only Normal Data
Abstract
1. Introduction
2. State of the Art
2.1. Semi-Supervised Learning
2.2. Unsupervised Learning
2.3. Supervised Learning
3. Methods
3.1. A Selection of Known Methods
3.1.1. Local Outlier Factor
3.1.2. Isolation Forest
3.1.3. Robust Random Cut Forest
3.1.4. One-Class Support Vector Machine
3.2. Dictionary Learning
3.3. One-Class Anomaly Detection with Regularized Graph Total Variation
| Algorithm 1: OC-TVreg |
![]() |
4. The Data
4.1. Segmentation
4.2. Training Methodology
4.3. Train–Test Split
4.4. Feature Extraction
4.5. Normalization
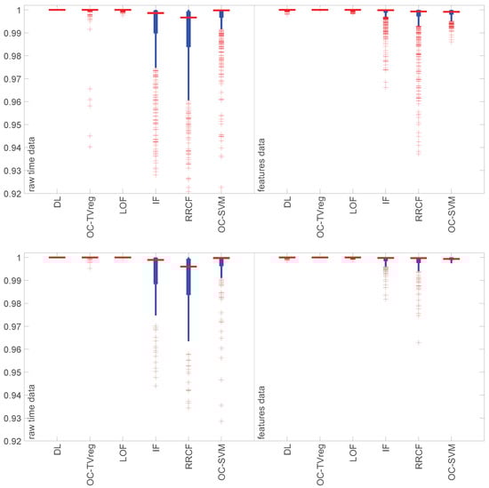
5. Results
5.1. Parameters
5.2. Summary of Results
5.3. Training on Individual Motor Loads
5.4. Training on All Motor Loads
5.5. OC-TVreg: Robustness to Parameter Choice
5.6. Execution Times
6. Conclusions
Author Contributions
Funding
Institutional Review Board Statement
Informed Consent Statement
Data Availability Statement
Conflicts of Interest
Abbreviations
| CNN | Convolutional neural network |
| CWRU | Case Western Reserve University (dataset) |
| DL | Dictionary learning |
| IF | Isolation forest |
| LOF | Local outlier factor |
| NN | Neural network |
| OC-TVreg | One-class anomaly detection with total variation regularization |
| ROC AUC | Receiver operating characteristic area under curve |
| RRCF | Robust random cut forest |
| SVM | Support vector machine |
| TV | Total variation |
References
- Nandi, S.; Toliyat, H.A.; Li, X. Condition Monitoring and Fault Diagnosis of Electrical Motors; A Review. IEEE Trans. Energy Convers. 2005, 20, 719–729. [Google Scholar] [CrossRef]
- Wang, S.; Xiang, J.; Zhong, Y.; Zhou, Y. Convolutional neural network-based hidden Markov models for rolling element bearing fault identification. Knowl. Based Syst. 2018, 144, 65–76. [Google Scholar]
- Case Western Reserve University. Bearing Data Center. Available online: https://engineering.case.edu/bearingdatacenter (accessed on 15 August 2025).
- Available online: https://mb.uni-paderborn.de/kat/forschung/kat-datacenter/bearing-datacenter/data-sets-and-download (accessed on 15 August 2025).
- Wang, B.; Lei, Y.; Li, N.; Li, N. A hybrid prognostics approach for estimating remaining useful life of rolling element bearings. IEEE Trans. Reliab. 2018, 69, 401–412. [Google Scholar] [CrossRef]
- Lundström, A.; O’Nils, M. Factory-based vibration data for bearing-fault detection. Data 2023, 8, 115. [Google Scholar]
- Neupane, D.; Seok, J. Bearing fault detection and diagnosis using Case Western Reserve University dataset with deep learning approaches: A review. IEEE Access 2020, 8, 93155–93178. [Google Scholar] [CrossRef]
- Zhang, X.; Zhao, B.; Lin, Y. Machine learning based bearing fault diagnosis using the Case Western Reserve University data: A review. IEEE Access 2021, 9, 155598–155608. [Google Scholar] [CrossRef]
- Ramírez-Sanz, J.; Maestro-Prieto, J.; Arnaiz-González, Á.; Bustillo, A. Semi-supervised learning for industrial fault detection and diagnosis: A systemic review. ISA Trans. 2023, 143, 255–270. [Google Scholar] [CrossRef]
- Li, W.; Zhang, S.; He, G. Semisupervised distance-preserving self-organizing map for machine-defect detection and classification. IEEE Trans. Instrum. Meas. 2013, 62, 869–879. [Google Scholar] [CrossRef]
- Wang, Q.; Taal, C.; Fink, O. Integrating expert knowledge with domain adaptation for unsupervised fault diagnosis. IEEE Trans. Instrum. Meas. 2022, 71, 1–12. [Google Scholar]
- Zhu, Z.; Fang, X.; Zhu, C.; Luo, W.; Zhu, Y. Structured Prediction in Latent Subspace for Unsupervised Fault Diagnosis with Small and Imbalanced Data. IEEE Sens. J. 2024, 24, 25106–25115. [Google Scholar] [CrossRef]
- Zhao, X.; Li, M.; Xu, J.; Song, G. An effective procedure exploiting unlabeled data to build monitoring system. Expert Syst. Appl. 2011, 38, 10199–10204. [Google Scholar] [CrossRef]
- Yuan, J.; Liu, X. Semi-supervised learning and condition fusion for fault diagnosis. Mech. Syst. Signal Process. 2013, 38, 615–627. [Google Scholar] [CrossRef]
- Li, C.; Zhou, J. Semi-supervised weighted kernel clustering based on gravitational search for fault diagnosis. ISA Trans. 2014, 53, 1534–1543. [Google Scholar] [CrossRef]
- Chen, X.; Wang, Z.; Zhang, Z.; Jia, L.; Qin, Y. A semi-supervised approach to bearing fault diagnosis under variable conditions towards imbalanced unlabeled data. Sensors 2018, 18, 2097. [Google Scholar] [CrossRef]
- Razavi-Far, R.; Hallaji, E.; Farajzadeh-Zanjani, M.; Saif, M. A semi-supervised diagnostic framework based on the surface estimation of faulty distributions. IEEE Trans. Ind. Inform. 2018, 15, 1277–1286. [Google Scholar] [CrossRef]
- Jian, C.; Yang, K.; Ao, Y. Industrial fault diagnosis based on active learning and semi-supervised learning using small training set. Eng. Appl. Artif. Intell. 2021, 104, 104365. [Google Scholar] [CrossRef]
- Jian, C.; Ao, Y. Imbalanced fault diagnosis based on semi-supervised ensemble learning. J. Intell. Manuf. 2023, 34, 3143–3158. [Google Scholar]
- Hu, C.; Zhou, Z.; Wang, B.; Zheng, W.; He, S. Tensor transfer learning for intelligence fault diagnosis of bearing with semisupervised partial label learning. J. Sens. 2021, 2021, 6205890. [Google Scholar]
- Wei, J.; Huang, H.; Yao, L.; Hu, Y.; Fan, Q.; Huang, D. New imbalanced bearing fault diagnosis method based on Sample-characteristic Oversampling TechniquE (SCOTE) and multi-class LS-SVM. Appl. Soft Comput. 2021, 101, 107043. [Google Scholar]
- Jiang, W.; Zhang, Z.; Li, F.; Zhang, L.; Zhao, M.; Jin, X. Joint label consistent dictionary learning and adaptive label prediction for semisupervised machine fault classification. IEEE Trans. Ind. Inform. 2016, 12, 248–256. [Google Scholar]
- Zhao, M.; Li, B.; Qi, J.; Ding, Y. Semi-supervised classification for rolling fault diagnosis via robust sparse and low-rank model. In Proceedings of the 2017 IEEE 15th international conference on industrial informatics (INDIN), Emden, Germany, 24–26 July 2017; pp. 1062–1067. [Google Scholar]
- Gao, Y.; Yu, D. Fault diagnosis of rolling bearing based on Laplacian regularization. Appl. Soft Comput. 2021, 111, 107651. [Google Scholar] [CrossRef]
- Gao, Y.; Yu, D. Intelligent fault diagnosis for rolling bearings based on graph shift regularization with directed graphs. Adv. Eng. Inform. 2021, 47, 101253. [Google Scholar]
- Li, X.; Li, X.; Ma, H. Deep representation clustering-based fault diagnosis method with unsupervised data applied to rotating machinery. Mech. Syst. Signal Process. 2020, 143, 106825. [Google Scholar] [CrossRef]
- Zhang, S.; Ye, F.; Wang, B.; Habetler, T. Semi-supervised bearing fault diagnosis and classification using variational autoencoder-based deep generative models. IEEE Sens. J. 2021, 21, 6476–6486. [Google Scholar]
- Luo, S.; Huang, X.; Wang, Y.; Luo, R.; Zhou, Q. Transfer learning based on improved stacked autoencoder for bearing fault diagnosis. Knowl. Based Syst. 2022, 256, 109846. [Google Scholar] [CrossRef]
- Wu, X.; Zhang, Y.; Cheng, C.; Peng, Z. A hybrid classification autoencoder for semi-supervised fault diagnosis in rotating machinery. Mech. Syst. Signal Process. 2021, 149, 107327. [Google Scholar] [CrossRef]
- Gao, Y.; Chen, M.; Yu, D. Semi-supervised graph convolutional network and its application in intelligent fault diagnosis of rotating machinery. Measurement 2021, 186, 110084. [Google Scholar] [CrossRef]
- Xie, Z.; Chen, J.; Feng, Y.; He, S. Semi-supervised multi-scale attention-aware graph convolution network for intelligent fault diagnosis of machine under extremely-limited labeled samples. J. Manuf. Syst. 2022, 64, 561–577. [Google Scholar]
- Wang, H.; Wang, J.; Zhao, Y.; Liu, Q.; Liu, M.; Shen, W. Few-shot learning for fault diagnosis with a dual graph neural network. IEEE Trans. Ind. Inform. 2023, 19, 1559–1568. [Google Scholar]
- Kavianpour, M.; Ramezani, A.; Beheshti, M. A class alignment method based on graph convolution neural network for bearing fault diagnosis in presence of missing data and changing working conditions. Measurement 2022, 199, 111536. [Google Scholar] [CrossRef]
- Wang, X.; Liu, F.; Zhao, D. Cross-machine fault diagnosis with semi-supervised discriminative adversarial domain adaptation. Sensors 2020, 20, 3753. [Google Scholar] [CrossRef]
- Li, X.; Zhang, Z.; Gao, L.; Wen, L. A new semi-supervised fault diagnosis method via deep CORAL and transfer component analysis. IEEE Trans. Emerg. Top. Comput. Intell. 2021, 6, 690–699. [Google Scholar] [CrossRef]
- Wu, Y.; Zhao, R.; Jin, W.; He, T.; Ma, S.; Shi, M. Intelligent fault diagnosis of rolling bearings using a semi-supervised convolutional neural network. Appl. Intell. 2021, 51, 2144–2160. [Google Scholar]
- Pan, T.; Chen, J.; Xie, J.; Chang, Y.; Zhou, Z. Intelligent fault identification for industrial automation system via multi-scale convolutional generative adversarial network with partially labeled samples. ISA Trans. 2020, 101, 379–389. [Google Scholar] [CrossRef] [PubMed]
- Xu, J.; Shi, Y.; Shi, L.; Ren, Z.; Lu, Y. Intelligent deep adversarial network fault diagnosis method using semisupervised learning. Math. Probl. Eng. 2020, 2020, 8503247. [Google Scholar] [CrossRef]
- Liang, P.; Deng, C.; Wu, J.; Li, G.; Yang, Z.; Wang, Y. Intelligent fault diagnosis via semisupervised generative adversarial nets and wavelet transform. IEEE Trans. Instrum. Meas. 2020, 69, 4659–4671. [Google Scholar] [CrossRef]
- Xu, M.; Wang, Y. An imbalanced fault diagnosis method for rolling bearing based on semi-supervised conditional generative adversarial network with spectral normalization. IEEE Access 2021, 9, 27736–27747. [Google Scholar] [CrossRef]
- Fu, W.; Jiang, X.; Tan, C.; Li, B.; Chen, B. Rolling bearing fault diagnosis in limited data scenarios using feature enhanced generative adversarial networks. IEEE Sens. J. 2022, 22, 8749–8759. [Google Scholar]
- Zong, X.; Yang, R.; Wang, H.; Du, M.; You, P.; Wang, S.; Su, H. Semi-supervised transfer learning method for bearing fault diagnosis with imbalanced data. Machines 2022, 10, 515. [Google Scholar] [CrossRef]
- Feng, Y.; Chen, J.; Zhang, T.; He, S.; Xu, E.; Zhou, Z. Semi-supervised meta-learning networks with squeeze-and-excitation attention for few-shot fault diagnosis. ISA Trans. 2022, 120, 383–401. [Google Scholar]
- Zhao, K.; Jiang, H.; Wu, Z.; Lu, T. A novel transfer learning fault diagnosis method based on manifold embedded distribution alignment with a little labeled data. J. Intell. Manuf. 2022, 33, 151–165. [Google Scholar]
- Tang, Z.; Bo, L.; Liu, X.; Wei, D. A semi-supervised transferable LSTM with feature evaluation for fault diagnosis of rotating machinery. Appl. Intell. 2022, 52, 1703–1717. [Google Scholar]
- Cheng, C.; Liu, X.; Zhou, B.; Yuan, Y. Intelligent fault diagnosis with noisy labels via semisupervised learning on industrial time series. IEEE Trans. Ind. Inform. 2023, 19, 7724–7732. [Google Scholar]
- Liu, S.; Li, J.; Zhou, N.; Chen, G.; Lu, K.; Wu, Y. Intelligent fault diagnosis of rotating machine via Expansive dual-attention fusion Transformer enhanced by semi-supervised learning. Expert Syst. Appl. 2025, 260, 125398. [Google Scholar]
- Wei, X.; Lee, T.; Söffker, D. A New Unsupervised Learning Approach for CWRU Bearing State Distinction. In Proceedings of the European Workshop on Structural Health Monitoring, Palermo, Italy, 4–7 July 2022; Springer: Berlin/Heidelberg, Germany, 2022; pp. 312–319. [Google Scholar]
- Zhao, X.; Jia, M. A novel unsupervised deep learning network for intelligent fault diagnosis of rotating machinery. Struct. Health Monit. 2020, 19, 1745–1763. [Google Scholar]
- Li, X.; Zhang, F. Classification of multi-type bearing fault features based on semi-supervised generative adversarial network (GAN). Meas. Sci. Technol. 2023, 35, 025107. [Google Scholar]
- Li, X.; Zhang, F.L.; Lei, J.; Xiang, W. Deep representation clustering of multi-type damage features based on unsupervised generative adversarial network. IEEE Sens. J. 2024, 24, 25374–25393. [Google Scholar] [CrossRef]
- Kim, T.; Lee, S. A novel unsupervised clustering and domain adaptation framework for rotating machinery fault diagnosis. IEEE Trans. Ind. Inform. 2023, 19, 9404–9412. [Google Scholar] [CrossRef]
- Wu, Y.; Li, C.; Yang, S.; Bai, Y. Multiscale reduction clustering of vibration signals for unsupervised diagnosis of machine faults. Appl. Soft Comput. 2023, 142, 110358. [Google Scholar] [CrossRef]
- Zhang, Y.; Xu, R.; Cheng, G.; Huang, X.; Yu, W. An unsupervised mechanical fault classification method under the condition of unknown number of fault types. J. Mech. Sci. Technol. 2024, 38, 605–622. [Google Scholar] [CrossRef]
- Hendriks, J.; Dumond, P.; Knox, D. Towards better benchmarking using the CWRU bearing fault dataset. Mech. Syst. Signal Process. 2022, 169, 108732. [Google Scholar] [CrossRef]
- Abburi, H.; Chaudhary, T.; Ilyas, H.; Manne, L.; Mittal, D.; Williams, D.; Snaidauf, D.; Bowen, E.; Veeramani, B. A Closer Look at Bearing Fault Classification Approaches. arXiv 2023, arXiv:2309.17001. [Google Scholar] [CrossRef]
- Hu, M.; Luo, C.; Wang, C.; Qiang, Z. Compound fault recognition and diagnosis of rolling bearing in open-set-recognition setting. Measurement 2025, 242, 116132. [Google Scholar]
- Shen, S.; Lu, H.; Sadoughi, M.; Hu, C.; Nemani, V.; Thelen, A.; Webster, K.; Darr, M.; Sidon, J.; Kenny, S. A physics-informed deep learning approach for bearing fault detection. Eng. Appl. Artif. Intell. 2021, 103, 104295. [Google Scholar] [CrossRef]
- Xu, Y.; Xiu, S. A New and Effective Method of Bearing Fault Diagnosis Using Wavelet Packet Transform Combined with Support Vector Machine. J. Comput. 2011, 6, 2502–2509. [Google Scholar] [CrossRef]
- Dhamande, L.; Chaudhari, M. Compound gear-bearing fault feature extraction using statistical features based on time-frequency method. Measurement 2018, 125, 63–77. [Google Scholar]
- Jin, Y.; Qin, C.; Huang, Y.; Liu, C. Actual bearing compound fault diagnosis based on active learning and decoupling attentional residual network. Measurement 2021, 173, 108500. [Google Scholar] [CrossRef]
- Jia, F.; Lei, Y.; Lin, J.; Zhou, X.; Lu, N. Deep neural networks: A promising tool for fault characteristic mining and intelligent diagnosis of rotating machinery with massive data. Mech. Syst. Signal Process. 2016, 72, 303–315. [Google Scholar] [CrossRef]
- Lu, C.; Wang, Z.; Qin, W.; Ma, J. Fault diagnosis of rotary machinery components using a stacked denoising autoencoder-based health state identification. Signal Process. 2017, 130, 377–388. [Google Scholar] [CrossRef]
- Guo, X.; Chen, L.; Shen, C. Hierarchical adaptive deep convolution neural network and its application to bearing fault diagnosis. Measurement 2016, 93, 490–502. [Google Scholar] [CrossRef]
- Shao, H.; Jiang, H.; Wang, F.; Wang, Y. Rolling bearing fault diagnosis using adaptive deep belief network with dual-tree complex wavelet packet. ISA Trans. 2017, 69, 187–201. [Google Scholar] [CrossRef]
- Zhao, Z.; Jiao, Y. A fault diagnosis method for rotating machinery based on CNN with mixed information. IEEE Trans. Ind. Inform. 2022, 19, 9091–9101. [Google Scholar]
- Dong, H.; Lu, J.; Han, Y. Multi-Stream Convolutional Neural Networks for Rotating Machinery Fault Diagnosis under Noise and Trend Items. Sensors 2022, 22, 2720. [Google Scholar] [CrossRef]
- Zhang, B.; Pang, X.; Zhao, P.; Lu, K. A new method based on encoding data probability density and convolutional neural network for rotating machinery fault diagnosis. IEEE Access 2023, 11, 26099–26113. [Google Scholar] [CrossRef]
- Gao, S.; Shi, S.; Zhang, Y. Rolling bearing compound fault diagnosis based on parameter optimization MCKD and convolutional neural network. IEEE Trans. Instrum. Meas. 2022, 71, 1–8. [Google Scholar] [CrossRef]
- Han, S.; Niu, P.; Luo, S.; Li, Y.; Zhen, D.; Feng, G.; Sun, S. A novel deep convolutional neural network combining global feature extraction and detailed feature extraction for bearing compound fault diagnosis. Sensors 2023, 23, 8060. [Google Scholar] [CrossRef]
- Zhao, P.; Zhang, W.; Cao, X.; Li, X. Denoising diffusion probabilistic model-enabled data augmentation method for intelligent machine fault diagnosis. Eng. Appl. Artif. Intell. 2025, 139, 109520. [Google Scholar]
- Rajput, D.; Meena, G.; Acharya, M.; Mohbey, K. Fault prediction using fuzzy convolution neural network on IoT environment with heterogeneous sensing data fusion. Meas. Sens. 2023, 26, 100701. [Google Scholar]
- Yang, D.; Karimi, H.; Pawelczyk, M. A new intelligent fault diagnosis framework for rotating machinery based on deep transfer reinforcement learning. Control Eng. Pract. 2023, 134, 105475. [Google Scholar]
- Wei, Q.; Tian, X.; Cui, L.; Zheng, F.; Liu, L. WSAFormer-DFFN: A model for rotating machinery fault diagnosis using 1D window-based multi-head self-attention and deep feature fusion network. Eng. Appl. Artif. Intell. 2023, 124, 106633. [Google Scholar] [CrossRef]
- Li, X.; Su, H.; Xiang, L.; Yao, Q.; Hu, A. Transformer-based meta learning method for bearing fault identification under multiple small sample conditions. Mech. Syst. Signal Process. 2024, 208, 110967. [Google Scholar] [CrossRef]
- Qin, N.; You, Y.; Huang, D.; Jia, X.; Zhang, Y.; Du, J.; Wang, T. AttGAN-DPCNN: An Extremely Imbalanced Fault Diagnosis Method for Complex Signals From Multiple Sensors. IEEE Sens. J. 2024, 24, 38270–38285. [Google Scholar] [CrossRef]
- Jiang, D.; He, C.; Chen, Z.; Zhao, J. Are Novel Deep Learning Methods Effective for Fault Diagnosis? IEEE Trans. Reliab. 2025, 74, 4170–4184. [Google Scholar] [CrossRef]
- Han, T.; Jiang, D.; Sun, Y.; Wang, N.; Yang, Y. Intelligent fault diagnosis method for rotating machinery via dictionary learning and sparse representation-based classification. Measurement 2018, 118, 181–193. [Google Scholar] [CrossRef]
- Wang, H.; Wang, J.; Fan, Z. Deep convolutional sparse dictionary learning for bearing fault diagnosis under variable speed condition. J. Frankl. Inst. 2025, 362, 107392. [Google Scholar] [CrossRef]
- Dumitrescu, B.; Irofti, P. Dictionary Learning Algorithms and Applications; Springer: Berlin/Heidelberg, Germany, 2018. [Google Scholar]
- Breunig, M.M.; Kriegel, H.P.; Ng, R.T.; Sander, J. LOF: Identifying density-based local outliers. SIGMOD Rec. 2000, 29, 93–104. [Google Scholar] [CrossRef]
- Liu, F.T.; Ting, K.M.; Zhou, Z.H. Isolation Forest. In Proceedings of the 2008 Eighth IEEE International Conference on Data Mining, Pisa, Italy, 15–19 December 2008; pp. 413–422. [Google Scholar]
- Guha, S.; Mishra, N.; Roy, G.; Schrijvers, O. Robust random cut forest based anomaly detection on streams. In Proceedings of the 33rd International Conference on International Conference on Machine Learning—Volume 48. JMLR.org, New York, NY, USA, 20–22 June 2016; ICML’16. pp. 2712–2721. [Google Scholar]
- Schölkopf, B.; Platt, J.C.; Shawe-Taylor, J.; Smola, A.J.; Williamson, R.C. Estimating the Support of a High-Dimensional Distribution. Neural Comput. 2001, 13, 1443–1471. [Google Scholar] [CrossRef]
- Chen, S.; Qian, Z.; Siu, W.; Hu, X.; Li, J.; Li, S.; Qin, Y.; Yang, T.; Xiao, Z.; Ye, W.; et al. PyOD 2: A Python Library for Outlier Detection with LLM-powered Model Selection. arXiv 2024, arXiv:2412.12154. [Google Scholar]
- Druce, J.M.; Haupt, J.D.; Gonella, S. Anomaly-sensitive dictionary learning for structural diagnostics from ultrasonic wavefields. IEEE Trans. Ultrason. Ferroelectr. Freq. Control 2015, 62, 1384–1396. [Google Scholar] [CrossRef]
- Liu, Y.; Zeng, J.; Wang, Z.; Sheng, W.; Gao, C.; Xie, Q.; Xie, L. Structured Pattern Discovery Using Dictionary Learning for Incipient Fault Detection and Isolation. IEEE Trans. Ind. Inform. 2025, 21, 6679–6689. [Google Scholar] [CrossRef]
- Li, J.; Huang, K.; Wu, D.; Liu, Y.; Yang, C.; Gui, W. Hybrid variable dictionary learning for monitoring continuous and discrete variables in manufacturing processes. Control Eng. Pract. 2024, 149, 105970. [Google Scholar] [CrossRef]
- Smith, W.; Randall, R. Rolling element bearing diagnostics using the Case Western Reserve University data: A benchmark study. Mech. Syst. Signal Process. 2015, 64, 100–131. [Google Scholar] [CrossRef]
- Chabchoub, Y.; Togbe, M.U.; Boly, A.; Chiky, R. An In-Depth Study and Improvement of Isolation Forest. IEEE Access 2022, 10, 10219–10237. [Google Scholar] [CrossRef]



| Method | Train HP | Inner | Ball | Orth | Center | Opposite | ||||||||||
|---|---|---|---|---|---|---|---|---|---|---|---|---|---|---|---|---|
| 0.007 | 0.014 | 0.021 | 0.007 | 0.014 | 0.021 | 0.007 | 0.014 | 0.021 | 0.007 | 0.014 | 0.021 | 0.007 | 0.014 | 0.021 | ||
| DL | 0 | 1 | 1 | 1 | 1 | 1 | 1 | 1 | 1 | 1 | 1 | 1 | 1 | 1 | - | - |
| 1 | 1 | 1 | 1 | 1 | 1 | 1 | 1 | 1 | 1 | 1 | 1 | 1 | 1 | - | - | |
| 2 | 1 | 1 | 1 | 1 | 1 | 1 | 1 | 1 | 1 | 1 | 1 | 1 | 1 | - | - | |
| 3 | 1 | 1 | 1 | 1 | 1 | 1 | 1 | 1 | 1 | 1 | 1 | 1 | 1 | - | - | |
| OC-TVreg (cosine) | 0 | 0.9997 | 1 | 1 | 0.8553 | 1 | 1 | 1 | 0.9999 | 1 | 0.9996 | 1 | 1 | 1 | - | - |
| 1 | 1.0 | 1 | 1 | 0.9987 | 1 | 1 | 1 | 1 | 1 | 1.0 | 1 | 1 | 1 | - | - | |
| 2 | 1.0 | 1 | 1 | 0.9991 | 1 | 1 | 1.0 | 1 | 1 | 1.0 | 1 | 1 | 1 | - | - | |
| 3 | 1.0 | 1 | 1 | 0.9992 | 1 | 1 | 1.0 | 1 | 1 | 1.0 | 1 | 1 | 1 | - | - | |
| LOF | 0 | 1 | 0.9997 | 1 | 0.9995 | 1.0 | 1.0 | 1.0 | 1 | 1.0 | 1.0 | 1 | 1 | 1.0 | - | - |
| 1 | 1 | 0.9999 | 1 | 0.9998 | 1.0 | 1.0 | 0.9998 | 1 | 1 | 1.0 | 1 | 1 | 1.0 | - | - | |
| 2 | 1 | 0.9999 | 1 | 0.9999 | 1.0 | 1.0 | 0.9999 | 1 | 1 | 1.0 | 1 | 1 | 1.0 | - | - | |
| 3 | 1 | 1.0 | 1 | 1.0 | 1.0 | 1.0 | 0.9999 | 1 | 1 | 1.0 | 1 | 1 | 1.0 | - | - | |
| IF | 0 | 0.9998 | 0.9835 | 1.0 | 0.9787 | 0.9914 | 0.9971 | 0.9784 | 1.0 | 0.9979 | 0.9988 | 1 | 0.9999 | 0.9951 | - | - |
| 1 | 0.9995 | 0.9781 | 1.0 | 0.9687 | 0.9860 | 0.9928 | 0.9601 | 0.9999 | 0.9968 | 0.9977 | 1 | 0.9996 | 0.9901 | - | - | |
| 2 | 0.9993 | 0.9756 | 0.9999 | 0.9639 | 0.9838 | 0.9905 | 0.9543 | 0.9998 | 0.9964 | 0.9970 | 1 | 0.9995 | 0.9875 | - | - | |
| 3 | 0.9997 | 0.9838 | 1.0 | 0.9737 | 0.9884 | 0.9935 | 0.9632 | 0.9999 | 0.9982 | 0.9984 | 1 | 0.9998 | 0.9911 | - | - | |
| RRCF | 0 | 0.9993 | 0.9781 | 0.9998 | 0.9731 | 0.9867 | 0.9937 | 0.9708 | 0.9998 | 0.9955 | 0.9974 | 1.0 | 0.9996 | 0.9918 | - | - |
| 1 | 0.9988 | 0.9763 | 0.9996 | 0.9649 | 0.9828 | 0.9907 | 0.9616 | 0.9997 | 0.9948 | 0.9966 | 1.0 | 0.9994 | 0.9878 | - | - | |
| 2 | 0.9986 | 0.9708 | 0.9995 | 0.9584 | 0.9797 | 0.9879 | 0.9526 | 0.9996 | 0.9931 | 0.9957 | 1.0 | 0.9991 | 0.9854 | - | - | |
| 3 | 0.9994 | 0.9788 | 0.9998 | 0.9695 | 0.9851 | 0.9925 | 0.9615 | 0.9998 | 0.9962 | 0.9975 | 1.0 | 0.9996 | 0.9899 | - | - | |
| OC-SVM | 0 | 1.0 | 0.9903 | 1.0 | 0.9902 | 0.9958 | 0.9992 | 0.9880 | 1.0 | 0.9993 | 0.9996 | 1 | 1.0 | 0.9978 | - | - |
| 1 | 1.0 | 0.9884 | 1.0 | 0.9871 | 0.9946 | 0.9984 | 0.9810 | 1.0 | 0.9991 | 0.9994 | 1 | 1.0 | 0.9964 | - | - | |
| 2 | 1.0 | 0.9936 | 1.0 | 0.9906 | 0.9963 | 0.9987 | 0.9854 | 1.0 | 0.9997 | 0.9996 | 1 | 1.0 | 0.9973 | - | - | |
| 3 | 1.0 | 0.9906 | 1.0 | 0.9865 | 0.9940 | 0.9976 | 0.9745 | 1.0 | 0.9995 | 0.9994 | 1 | 1.0 | 0.9954 | - | - | |
| Method | Train HP | Inner | Ball | Orth | Center | Opposite | ||||||||||
|---|---|---|---|---|---|---|---|---|---|---|---|---|---|---|---|---|
| 0.007 | 0.014 | 0.021 | 0.007 | 0.014 | 0.021 | 0.007 | 0.014 | 0.021 | 0.007 | 0.014 | 0.021 | 0.007 | 0.014 | 0.021 | ||
| DL | 0 | 1.0 | 0.9999 | 1.0 | 0.9997 | 0.9999 | 0.9999 | 0.9996 | 1.0 | 1.0 | 1.0 | 1 | 1.0 | 0.9998 | - | - |
| 1 | 1.0 | 1.0 | 1.0 | 0.9998 | 1.0 | 1.0 | 0.9998 | 1.0 | 1.0 | 1.0 | 1 | 1 | 0.9999 | - | - | |
| 2 | 1.0 | 1.0 | 1.0 | 0.9998 | 1.0 | 1.0 | 0.9999 | 1.0 | 1.0 | 1.0 | 1 | 1 | 1.0 | - | - | |
| 3 | 1.0 | 0.9998 | 1.0 | 0.9985 | 0.9999 | 0.9998 | 0.9992 | 1.0 | 0.9999 | 0.9999 | 1 | 1.0 | 0.9997 | - | - | |
| OC-TVreg (Euclidean) | 0 | 1 | 1 | 1 | 1.0 | 1 | 1 | 1 | 1 | 1 | 1 | 1 | 1 | 1 | - | - |
| 1 | 1 | 1 | 1 | 1 | 1 | 1 | 1 | 1 | 1 | 1 | 1 | 1 | 1 | - | - | |
| 2 | 1 | 1 | 1 | 1 | 1 | 1 | 1 | 1 | 1 | 1 | 1 | 1 | 1 | - | - | |
| 3 | 1 | 1 | 1 | 1.0 | 1 | 1 | 1 | 1 | 1 | 1 | 1 | 1 | 1 | - | - | |
| LOF | 0 | 0.9999 | 0.9999 | 1.0 | 0.9999 | 0.9999 | 1.0 | 0.9996 | 1.0 | 1.0 | 0.9999 | 1 | 1 | 0.9998 | - | - |
| 1 | 1.0 | 1.0 | 1.0 | 0.9999 | 1.0 | 1.0 | 0.9999 | 1.0 | 1.0 | 1.0 | 1 | 1 | 1.0 | - | - | |
| 2 | 1.0 | 0.9999 | 1.0 | 0.9999 | 1.0 | 1.0 | 0.9999 | 1.0 | 1.0 | 1.0 | 1 | 1 | 1.0 | - | - | |
| 3 | 1.0 | 0.9998 | 1.0 | 0.9997 | 0.9998 | 0.9998 | 0.9995 | 1.0 | 1.0 | 0.9999 | 1 | 1.0 | 0.9998 | - | - | |
| IF | 0 | 1.0 | 0.9987 | 1.0 | 0.9957 | 0.9989 | 0.9988 | 0.9944 | 1.0 | 0.9995 | 0.9996 | 1 | 1.0 | 0.9990 | - | - |
| 1 | 1.0 | 0.9987 | 0.9999 | 0.9974 | 0.9990 | 0.9994 | 0.9950 | 1.0 | 0.9999 | 0.9998 | 1 | 1.0 | 0.9989 | - | - | |
| 2 | 1.0 | 0.9993 | 0.9999 | 0.9983 | 0.9993 | 0.9997 | 0.9964 | 1.0 | 1.0 | 0.9999 | 1 | 1.0 | 0.9993 | - | - | |
| 3 | 1.0 | 0.9966 | 1.0 | 0.9890 | 0.9970 | 0.9979 | 0.9850 | 1.0 | 0.9989 | 0.9992 | 1 | 1.0 | 0.9978 | - | - | |
| RRCF | 0 | 0.9996 | 0.9988 | 0.9997 | 0.9978 | 0.9989 | 0.9989 | 0.9968 | 0.9997 | 0.9993 | 0.9993 | 0.9996 | 0.9997 | 0.9990 | - | - |
| 1 | 0.9991 | 0.9969 | 0.9991 | 0.9956 | 0.9969 | 0.9978 | 0.9944 | 0.9994 | 0.9986 | 0.9988 | 0.9988 | 0.9985 | 0.9976 | - | - | |
| 2 | 0.9994 | 0.9960 | 0.9997 | 0.9932 | 0.9965 | 0.9978 | 0.9896 | 0.9996 | 0.9991 | 0.9993 | 0.9995 | 0.9991 | 0.9973 | - | - | |
| 3 | 0.9940 | 0.9875 | 0.9955 | 0.9798 | 0.9896 | 0.9876 | 0.9762 | 0.9947 | 0.9887 | 0.9919 | 0.9964 | 0.9957 | 0.9890 | - | - | |
| OC-SVM | 0 | 0.9988 | 0.9990 | 0.9991 | 0.9985 | 0.9989 | 0.9988 | 0.9987 | 0.9991 | 0.9988 | 0.9990 | 0.9991 | 0.9991 | 0.9987 | - | - |
| 1 | 0.9986 | 0.9981 | 0.9986 | 0.9985 | 0.9985 | 0.9986 | 0.9980 | 0.9985 | 0.9994 | 0.9988 | 0.9967 | 0.9971 | 0.9984 | - | - | |
| 2 | 0.9989 | 0.9985 | 0.9987 | 0.9987 | 0.9987 | 0.9989 | 0.9988 | 0.9989 | 0.9994 | 0.9989 | 0.9964 | 0.9965 | 0.9987 | - | - | |
| 3 | 0.9983 | 0.9974 | 0.9978 | 0.9982 | 0.9974 | 0.9977 | 0.9978 | 0.9983 | 0.9974 | 0.9978 | 0.9987 | 0.9985 | 0.9977 | - | - | |
| Method | Test HP | Inner | Ball | Orth | Center | Opposite | ||||||||||
|---|---|---|---|---|---|---|---|---|---|---|---|---|---|---|---|---|
| 0.007 | 0.014 | 0.021 | 0.007 | 0.014 | 0.021 | 0.007 | 0.014 | 0.021 | 0.007 | 0.014 | 0.021 | 0.007 | 0.014 | 0.021 | ||
| DL | 0 | 1 | 1 | 1 | 1 | 1 | 1 | 1 | 1 | - | 1 | 1 | 1 | 1 | - | - |
| 1 | 1 | 1 | 1 | 1 | 1 | 1 | 1 | 1 | 1 | 1 | - | - | 1 | - | - | |
| 2 | 1 | 1 | 1 | 1 | 1 | 1 | 1 | 1 | 1 | 1 | - | - | 1 | - | - | |
| 3 | 1 | 1 | 1 | 1 | 1 | 1 | 1 | 1 | 1 | 1 | - | - | 1 | - | - | |
| OC-TVreg (cosine) | 0 | 1.0 | 1 | 1 | 1 | 1 | 1 | 1.0 | 1 | - | 1.0 | 1 | 1 | 1 | - | - |
| 1 | 1.0 | 1 | 1 | 0.9978 | 1 | 1 | 1 | 1 | 1 | 1.0 | - | - | 1 | - | - | |
| 2 | 1.0 | 1 | 1 | 0.9996 | 1 | 1 | 1 | 1 | 1 | 1.0 | - | - | 1 | - | - | |
| 3 | 1 | 1 | 1 | 0.9995 | 1 | 1 | 1 | 1 | 1 | 1 | - | - | 1 | - | - | |
| LOF | 0 | 1 | 1 | 1 | 1.0 | 1.0 | 1.0 | 0.9998 | 1 | - | 1.0 | 1 | 1 | 1.0 | - | - |
| 1 | 1 | 1 | 1 | 1.0 | 1 | 1 | 1.0 | 1 | 1 | 1 | - | - | 1 | - | - | |
| 2 | 1 | 1 | 1 | 1 | 1 | 1 | 1 | 1 | 1 | 1 | - | - | 1 | - | - | |
| 3 | 1 | 0.9999 | 1 | 0.9999 | 1.0 | 1 | 1.0 | 1 | 1 | 1.0 | - | - | 1.0 | - | - | |
| IF | 0 | 0.9993 | 0.9963 | 1.0 | 0.9594 | 0.9863 | 0.9845 | 0.908 | 0.9999 | - | 0.9969 | 1 | 0.9999 | 0.9754 | - | - |
| 1 | 0.9999 | 0.9895 | 1.0 | 0.9838 | 0.9871 | 0.9979 | 0.9795 | 1.0 | 0.9992 | 0.9993 | - | - | 0.9993 | - | - | |
| 2 | 1.0 | 0.9931 | 1 | 0.9931 | 0.9997 | 0.9998 | 0.9942 | 1.0 | 0.9994 | 0.9995 | - | - | 0.9998 | - | - | |
| 3 | 0.9999 | 0.9501 | 0.9999 | 0.9666 | 0.9853 | 0.9992 | 0.9953 | 1.0 | 0.9951 | 0.9982 | - | - | 0.9973 | - | - | |
| RRCF | 0 | 0.9973 | 0.9914 | 0.9996 | 0.9487 | 0.9786 | 0.9725 | 0.9005 | 0.9995 | - | 0.9941 | 1.0 | 0.9995 | 0.9651 | - | - |
| 1 | 0.9998 | 0.9846 | 0.9999 | 0.9769 | 0.9820 | 0.9951 | 0.9706 | 0.9999 | 0.9981 | 0.9987 | - | - | 0.9980 | - | - | |
| 2 | 0.9999 | 0.9864 | 1.0 | 0.9875 | 0.9990 | 0.9989 | 0.9879 | 0.9999 | 0.9972 | 0.9986 | - | - | 0.9989 | - | - | |
| 3 | 0.9994 | 0.9385 | 0.9996 | 0.9537 | 0.9756 | 0.9960 | 0.9894 | 0.9999 | 0.9890 | 0.9959 | - | - | 0.9938 | - | - | |
| OC-SVM | 0 | 0.9999 | 0.9995 | 1.0 | 0.9801 | 0.9943 | 0.9958 | 0.9454 | 1.0 | - | 0.9990 | 1 | 1.0 | 0.9882 | - | - |
| 1 | 1.0 | 0.9956 | 1.0 | 0.9928 | 0.9936 | 0.9994 | 0.9907 | 1.0 | 0.9998 | 0.9998 | - | - | 0.9998 | - | - | |
| 2 | 1 | 0.9976 | 1 | 0.9977 | 1.0 | 0.9999 | 0.9981 | 1 | 0.9999 | 0.9998 | - | - | 0.9999 | - | - | |
| 3 | 1 | 0.9724 | 1 | 0.9866 | 0.9949 | 0.9999 | 0.9987 | 1 | 0.9990 | 0.9997 | - | - | 0.9992 | - | - | |
| Method | Test HP | Inner | Ball | Orth | Center | Opposite | ||||||||||
|---|---|---|---|---|---|---|---|---|---|---|---|---|---|---|---|---|
| 0.007 | 0.014 | 0.021 | 0.007 | 0.014 | 0.021 | 0.007 | 0.014 | 0.021 | 0.007 | 0.014 | 0.021 | 0.007 | 0.014 | 0.021 | ||
| DL | 0 | 1.0 | 1.0 | 1 | 0.9998 | 1.0 | 1.0 | 0.9997 | 1.0 | - | 1.0 | 1 | 1 | 0.9998 | - | - |
| 1 | 1.0 | 0.9996 | 1.0 | 0.9993 | 0.9996 | 0.9995 | 0.9992 | 1.0 | 0.9998 | 0.9997 | - | - | 0.9995 | - | - | |
| 2 | 1 | 1 | 1 | 0.9997 | 1 | 1 | 0.9999 | 1 | 1 | 1.0 | - | - | 1.0 | - | - | |
| 3 | 1 | 1.0 | 1 | 1.0 | 1 | 1 | 1 | 1 | 1 | 1 | - | - | 1 | - | - | |
| OC-TVreg (Euclidean) | 0 | 1 | 1 | 1 | 1 | 1 | 1 | 1 | 1 | - | 1 | 1 | 1 | 1 | - | - |
| 1 | 1 | 1 | 1 | 1 | 1 | 1 | 1 | 1 | 1 | 1 | - | - | 1 | - | - | |
| 2 | 1 | 1 | 1 | 1 | 1 | 1 | 1 | 1 | 1 | 1 | - | - | 1 | - | - | |
| 3 | 1 | 1 | 1 | 1 | 1 | 1 | 1 | 1 | 1 | 1 | - | - | 1 | - | - | |
| LOF | 0 | 1 | 1 | 1 | 1.0 | 1 | 1 | 1.0 | 1 | - | 1 | 1 | 1 | 1.0 | - | - |
| 1 | 0.9999 | 0.9997 | 1.0 | 0.9994 | 0.9997 | 0.9996 | 0.9994 | 0.9999 | 0.9998 | 0.9998 | - | - | 0.9996 | - | - | |
| 2 | 1 | 1 | 1 | 1.0 | 1 | 1 | 1 | 1 | 1 | 1 | - | - | 1 | - | - | |
| 3 | 1 | 1 | 1 | 1 | 1 | 1 | 1 | 1 | 1 | 1 | - | - | 1 | - | - | |
| IF | 0 | 0.9999 | 0.9996 | 1.0 | 0.994 | 0.9979 | 0.9979 | 0.9979 | 1.0 | - | 0.9996 | 1.0 | 1.0 | 0.9963 | - | - |
| 1 | 0.9999 | 0.9974 | 0.9998 | 0.9934 | 0.9963 | 0.9982 | 0.9982 | 0.9999 | 0.9995 | 0.9995 | - | - | 0.9991 | - | - | |
| 2 | 1.0 | 0.9983 | 1.0 | 0.997 | 0.9998 | 0.9997 | 0.9997 | 1.0 | 0.9995 | 0.9997 | - | - | 0.9997 | - | - | |
| 3 | 1 | 0.9991 | 1 | 0.9989 | 0.9997 | 1.0 | 1.0 | 1 | 0.9999 | 1.0 | - | - | 0.9999 | - | - | |
| RRCF | 0 | 0.9988 | 0.998 | 0.9994 | 0.9924 | 0.9963 | 0.9947 | 0.9859 | 0.9992 | - | 0.9984 | 0.9998 | 0.9992 | 0.9936 | - | - |
| 1 | 0.9993 | 0.9952 | 0.9995 | 0.9918 | 0.995 | 0.9961 | 0.9889 | 0.9995 | 0.9984 | 0.9986 | - | - | 0.9979 | - | - | |
| 2 | 0.9997 | 0.9959 | 0.9998 | 0.9942 | 0.9992 | 0.9986 | 0.9935 | 0.9998 | 0.9978 | 0.9989 | - | - | 0.9989 | - | - | |
| 3 | 0.9999 | 0.998 | 1.0 | 0.9975 | 0.9989 | 0.9997 | 0.9993 | 0.9999 | 0.9993 | 0.9997 | - | - | 0.9996 | - | - | |
| OC-SVM | 0 | 0.9990 | 0.9988 | 0.9990 | 0.9988 | 0.9990 | 0.9988 | 0.9989 | 0.9988 | - | 0.9989 | 0.9988 | 0.9989 | 0.9990 | - | - |
| 1 | 0.9992 | 0.9986 | 0.9991 | 0.9989 | 0.9990 | 0.9988 | 0.9990 | 0.9988 | 0.9992 | 0.9990 | - | - | 0.9990 | - | - | |
| 2 | 0.9995 | 0.9991 | 0.9995 | 0.9993 | 0.9995 | 0.9994 | 0.9993 | 0.9994 | 0.9992 | 0.9994 | - | - | 0.9995 | - | - | |
| 3 | 1.0 | 1.0 | 1.0 | 1.0 | 1.0 | 1.0 | 1.0 | 1.0 | 1.0 | 1.0 | - | - | 1.0 | - | - | |
| 5 | 10 | 20 | 50 | 100 | |
|---|---|---|---|---|---|
| 1 | 1 | 1 | 1 | ||
| 1 | 1 | 1 | 1 | ||
| 1 | 1 | ||||
| 10 | 1 |
| 5 | 10 | 20 | 50 | 100 | |
|---|---|---|---|---|---|
| 1 | |||||
| 10 |
| Method | Raw Data | Features |
|---|---|---|
| DL | 0.5962 | 0.4220 |
| DL parallel | 0.0548 | 0.0496 |
| OC-TVreg | 0.3895 | 0.3829 |
| LOF | 0.0201 | 0.0071 |
| IF | 0.2211 | 0.1936 |
| RRCF | 0.2056 | 0.2104 |
| OC-SVM | 0.0449 | 0.0110 |
Disclaimer/Publisher’s Note: The statements, opinions and data contained in all publications are solely those of the individual author(s) and contributor(s) and not of MDPI and/or the editor(s). MDPI and/or the editor(s) disclaim responsibility for any injury to people or property resulting from any ideas, methods, instructions or products referred to in the content. |
© 2025 by the authors. Licensee MDPI, Basel, Switzerland. This article is an open access article distributed under the terms and conditions of the Creative Commons Attribution (CC BY) license (https://creativecommons.org/licenses/by/4.0/).
Share and Cite
Băltoiu, A.; Dumitrescu, B. Bearing Semi-Supervised Anomaly Detection Using Only Normal Data. Appl. Sci. 2025, 15, 10912. https://doi.org/10.3390/app152010912
Băltoiu A, Dumitrescu B. Bearing Semi-Supervised Anomaly Detection Using Only Normal Data. Applied Sciences. 2025; 15(20):10912. https://doi.org/10.3390/app152010912
Chicago/Turabian StyleBăltoiu, Andra, and Bogdan Dumitrescu. 2025. "Bearing Semi-Supervised Anomaly Detection Using Only Normal Data" Applied Sciences 15, no. 20: 10912. https://doi.org/10.3390/app152010912
APA StyleBăltoiu, A., & Dumitrescu, B. (2025). Bearing Semi-Supervised Anomaly Detection Using Only Normal Data. Applied Sciences, 15(20), 10912. https://doi.org/10.3390/app152010912


