Next Article in Journal
Performance Verification and Evaluation of Semi-Active Actuator System Using Quarter Car Lab Simulation with RLDA Data
Previous Article in Journal
Development of a Cone Penetration Testing Apparatus with a Textured Shaft
 
 
Font Type:
Arial Georgia Verdana
Font Size:
Aa Aa Aa
Line Spacing:
Column Width:
Background:
Article

Hovering Control on a Variable-Parameters Model of a Small Unmanned Helicopter Based on a Backstepping Sliding Mode Method

1
School of Automation, Shenyang Aerospace University, Shenyang 110136, China
2
Institute of Liaoning General Aviation Research, Shenyang 110136, China
*
Author to whom correspondence should be addressed.
Appl. Sci. 2024, 14(22), 10092; https://doi.org/10.3390/app142210092
Submission received: 28 September 2024 / Revised: 26 October 2024 / Accepted: 28 October 2024 / Published: 5 November 2024

Abstract

In order to strengthen the hovering precision of a small unmanned helicopter with a manipulator for completing a hovering operation, in this study, a double-loop control strategy of position and attitude is designed. In the position loop, a sliding mode controller is proposed. It attains high precision and strong robustness under continuous disturbance. With the manipulator continuously operating during helicopter hovering, the overall center of gravity and the moment of inertia of the system will also change. Therefore, a backstepping sliding mode controller is proposed in the attitude loop for controlling the hovering attitude of the helicopter. The high precision and strong robustness of the control system are proven. The digital simulation presents a position steady-state error of less than 2% under constant disturbance, and the hovering attitude angle fluctuation amplitude of the helicopter is less than 0.05 rad.

1. Introduction

Unmanned helicopters, with the advantages of high-speed flying, stable hovering and vertical takeoff or landing, are widely used in civil applications and national defense fields [1]. With the increasingly deep research on unmanned aerial vehicles (UAVs) in recent years, unmanned aerial manipulators (UAMs), manipulators installed on UAVs, were designed to replace people who work in the air.
Regarding the hovering position control of a helicopter under disturbance, a double-loop controller based on a reduced-order observer was designed in [2], and the system had certain robustness in a gusty environment. In [3], a nonlinear robust controller based on a sliding mode method was proposed, which can guarantee a helicopter’s hovering under an uncertain disturbance with a perturbation of 10%. A sliding mode controller and a nonlinear controller were combined in [4], and a particle swarm algorithm was used to optimize the control parameters for coping with the helicopter hovering in a general disturbance environment. Robust control of a helicopter in an experiment under wind disturbance was studied in [5] to realize position hovering control for performing aggressive missions.
In addition, most of the current UAMs use a multi-rotor UAV as their mobile platform. Based on a quadrotor UAV as a mobile platform, a sliding mode controller was proposed in [6] for implementing UAM hovering attitude control in a disturbance environment. A robust controller of the variable inertia parameter model of a UAM was proposed in [7]. A backstepping controller to realize the stable flight of a helicopter was demonstrated in [8]. And a passive nonlinear controller was proposed in [9] to solve the problem of quadrotor UAM hovering stability. Based on a six-rotor UAV as a mobile platform, a robust control strategy based on the interference observer was demonstrated in [10]. An adaptive trajectory linearization controller was demonstrated in [11] to deal with perturbations.
Although helicopters have the advantages of faster flight speed and longer-distance transportation than multi-rotor UAVs, research on UAMs with a helicopter as a mobile platform is limited due to the more complex structure and control. Therefore, it is of profound significance to study UAM control with an unmanned helicopter as the mobile platform.
The contributions of this paper are summarized as follows:
  • An improved double-loop control strategy of position and attitude is designed to increase the hovering precision of UAMs with a variable-parameters model.
  • A sliding mode controller with high precision and strong robustness is proposed for helicopter control under continuous disturbance, and chattering suppression is also considered.
  • When the manipulator is continuously operating, the hovering attitude stability of a UAM is a challenge. This paper gives a solution for the UAM variable center of gravity and moment of inertia. Based on [12] and a general backstepping controller proposed in [13], a backstepping integral sliding mode controller is presented, demonstrating the further promotion of robustness and attaining fine control performances.

2. Control Scheme

A double-loop control strategy of position and attitude was designed for achieving the stable hovering of a UAM, including hovering position and hovering attitude. The control of the position loop was implemented by a sliding mode controller. The manipulator should be fixed when the UAM moves from an origin to a destination. When the UAM reaches a destination, the manipulator is motivated for aerial operation. With the running of the manipulator under the helicopter, the overall center of gravity OM and moment of inertia It of the UAM will also change and break the hovering balance, so a backstepping sliding mode controller is proposed to realize the stability of the hovering attitude in this process.
The overall control block diagram of the system is shown in Figure 1. The position loop in this figure should not only ensure the UAM hovering at the target position when the manipulator does not operate, but the hovering position must also remain unchanged when the UAM is operating in the air (the manipulator runs). In addition, two command generators were designed (Figure 1). With the position change of the UAM, the expected attitude angles were accompanied by an intermediate quantity. Moreover, the internal loop command generator and the external loop command generator were also used to calculate the servo’s rotation angle δ of the helicopter dynamics model.

3. Dynamics Model of the Helicopter

The body coordinate frame as well as the inertial coordinate frame of the helicopter are shown in Figure 2. P = [ x , y , z ] T is the position vector of the helicopter in the inertial coordinate system. V = [ u a , v a , w a ] T is the velocity vector of the helicopter in the body coordinate frame.
According to the Newton–Euler method, the flight dynamics equation of the helicopter named T-REX 300X can be established as follows [14]:
m V ˙ = F b + F b g
ω ˙ = J 1 [ M b ω × ( J ω ) ]
where the helicopter inertia tensor matrix is J = d i a g { I x , I y , I z } and ω = ( p , q , r ) T is the angular velocity vector in the body coordinate frame. F b and M b represent the aerodynamic force vector and the aerodynamic moment vector, respectively.
F b = X m r Y m r + Y t r Z m r
M b = L m r + L t r M m r N m r + N t r
where X m r ,   Y m r ,   Z m r ,   L m r ,   M m r ,   N m r represent the forces and the torques of the main rotor and Y t r ,   L t r ,   N t r represent the forces and the torques of the tail rotor, respectively.
According to [15], when the helicopter is in a low-speed flight state or in a hovering state, the resistance of the fuselage as well as the torque generated by the vertical tail fin are ignored. The projection vector of the gravity is defined in the body coordinate frame as
F b g = m g sin θ m g sin φ cos θ m g cos φ cos θ

3.1. Force and Torque Generated by the Main Rotor

In the body coordinate frame, the main rotor of the helicopter produces the force
T m r = ρ Ω m r R m r 2 C l α , m r b m r c m r 4 ( w b l , m r v i , m r )
where
v i , m r 2 = ( v ^ m r 2 2 ) 2 + ( T m r 2 π ρ R m r 2 ) 2 v ^ m r 2 2
v ^ m r 2 = u a 2 + v a 2 + w r , m r ( w r , m r 2 v i , m r )
w r , m r = w a + a u a b v a
w b l , m r = w r , m r + 2 3 Ω m r R m r θ c o l
θ c o l = K c o l δ c o l + θ c o l , 0
where T m r indicates the pulling force generated by the main rotor; v i , m r is the induced velocity generated by the rotation of the main rotor; Ω m r is the rotation speed of the main rotor; R m r is the paddle disc radius of the main rotor; ρ is the air density; b m r = 2 indicates the quantity of main rotor blades; c m r is the chord length of the main blades; C l α , m r is the lift curve slope of the main rotor blades; w b l , m r is the net vertical air velocity of the main rotor rotation; θ c o l denotes the collective pitch angle of the main rotor blades; and a and b represent the longitudinal angle and lateral flapping angle of the main blade, respectively.
The components of the pulling force generated by the main rotor in the direction of the body coordinate frame are as follows:
X m r = T m r sin a Y m r = T m r sin b Z m r = T m r cos a cos b
each of the components controls the pitch, roll and lifting movement of the helicopter, respectively. In addition, the components of the torque generated by the main rotor in the direction of the body coordinate frame are as follows:
L m r = ( K β + T m r H m r ) sin b M m r = ( K β + T m r H m r ) sin a N m r = P m r / Ω m r
where H m r is the vertical height of the main rotor paddle hub to the helicopter’s center of gravity. K β represents the rigidity coefficient of the main blades, which describes the difficulty degree of deformation of the blade. P m r is the total power for controlling the rotation of the helicopter’s main rotor. When the helicopter’s load is constant, the total power of the motor and the main rotor speed are determined.

3.2. Force and Torque Generated by the Tail Rotor

The principle of the pulling force from the tail rotation is similar to that that is generated by the main rotor. The pulling torque generated by the tail rotor rotation counteracts the lift torque generated by the main rotor on the z b axis, and thus it can control the yaw of the helicopter. The formula of the pulling force generated by the tail rotor is
T t r = ρ Ω t r R t r 2 C l α , t r b t r c t r 4 ( w b l , t r v i , t r )
where
v i , t r 2 = ( v ^ t r 2 2 ) 2 + ( T t r 2 π ρ R t r 2 ) 2 v ^ t r 2 2
v ^ t r 2 = u a 2 + ( w a + q D t r ) 2 + w r , t r ( w r , t r 2 v i , t r )
w r , t r = v a r D t r + p H t r
w b l , t r = w r , t r + 2 3 Ω t r R t r θ p e d
θ p e d = K p e d δ p e d + θ p e d , 0
where T t r is the pulling force generated by the tail rotor; v i , t r denotes the induced velocity generated by the rotation of the tail rotor; Ω t r is the rotation speed of the tail rotor; R t r is the paddle disc radius of the tail rotor; b t r = 2 indicates the number of tail rotor blades; c t r is the chord length of the tail blades; C l α , t r is the lift curve slope of the main rotor blades; w b l , t r is the net vertical air velocity of the main rotor rotation; θ p e d denotes the collective pitch angle of the tail rotor blades; and H t r and D t r represent the distance between the tail rotor hub and the helicopter’s center of gravity in the vertical direction and the horizontal direction, respectively. In the body coordinate frame, the tail rotor only produces a pulling force along the y b axis:
Y t r = T t r
The flapping angles generated by the tail rotor rotation are neglected. Then, the moment components generated by the tail rotor can be calculated as follows:
L t r = Y t r H t r N t r = Y t r D t r

3.3. Dynamics of the Main Rotor Flapping

As shown in Figure 2, from the overlooking view, the main blades rotate clockwise from the x b direction. When a blade’s rotation angle Γ m = 0 , the blade is flapping down, and the a is defined as positive. So according to the central symmetry of two blades, the positive value of a blade’s flapping angle is defined in Figure 2 when it waves up in a longitudinal direction. When Γ m = 3 π / 2 , the blade waves down, and b takes a positive value at this point.
The main rotor blades’ flapping dynamics can be obtained as follows [16]:
a ˙ b ˙ q p + γ m Ω m r 16 8 k β γ m I β Ω m r 2 8 k β γ m I β Ω m r 2 γ m Ω m r 16 a b + γ m Ω m r 16 θ l a t θ l o n
where γ m is the rock number of the main blades and I β is the main blades’ moment of inertia rotating around the main axis.
The relevant parameters of the unmanned helicopter are shown in Table 1.

4. Controller Design for Unmanned Helicopter Hovering Position

Combined with Equations (3)–(5), Equations (1) and (2) can be concretely expressed as Formula (23).
m P ¨ x = ( sin φ sin ψ + cos φ sin θ cos ψ ) T m r + n P x m P ¨ y = ( sin φ cos ψ cos φ sin θ sin ψ ) T m r + n P y m P ¨ z = T m r ( cos φ cos θ ) + m g + n P z I x p ˙ = ( H m r T m r + k β ) sin b + T t r H t r I y q ˙ = ( H m r T m r + k β ) sin a I z r ˙ = N m r + T t r D t r
where the conversion from the inertial coordinate frame to the body coordinate frame is involved. In addition, according to [17], the roll and pitch as well as the flapping angles are close to 0 rad when the helicopter is hovering, and thus there are the following approximations: sina = a, sinb = b, sinφ = φ, sinθ = θ and cosa = cosb = cosφ = cosθ = 1.
Then, Formula (23) is simplified as follows:
m P ¨ x = ( φ sin ψ + θ cos ψ ) T m r + n P x m P ¨ y = ( φ cos ψ θ sin ψ ) T m r + n P y m P ¨ z = T m r + m g + n P z I x p ˙ = ( H m r T m r + k β ) b + T t r H t r I y q ˙ = ( H m r T m r + k β ) a I z r ˙ = N m r + T t r D t r
The disturbance on the position orientation is considered. And the relations of the attitude angles are as follows:
φ ˙ = p θ ˙ = q ψ ˙ = r
According to Equation (13), since P m r and Ω m r are constant, T t r is consequently also constant. After trimming for the helicopter, the tail rotor torque will not change during the height variation, so there is no need to separately consider the yaw angle control. When the helicopter moves along the inertia coordinate frame X -axis direction and Y -axis direction, this accompanies changes in φ and θ . So, it is necessary to establish the relationship between attitude angles through attitude decoupling. We define
U x = ( φ sin ψ + θ cos ψ ) U y = φ cos ψ θ sin ψ
then
φ = U x sin ψ + U y cos ψ θ = U x cos ψ U y sin ψ
In addition, during the helicopter flights, the manipulator under the helicopter should stay contracted and stationary, ensuring that the UAM overall center of gravity and moment of inertia are not changed.
In the outer loop command generator, the attitude angles can be calculated from Equation (27). Combining the angular velocity (p, q) with Equations (13) and (22), the lateral cyclic pitch angle and the longitudinal cyclic pitch angle can be calculated. Finally, the servo’s rotation angles δ l a t and δ l o n can be calculated. According to the height control law, the servo’s rotation angle δ c o l can be calculated.

4.1. Control Law Design of Horizontal Position

Through the decoupling of attitude, the dynamic equations on the X-axis and Y-axis directions can be converted as follows:
m P ¨ x = U x T m r + n p x m P ¨ y = U y T m r + n p y
The expected position P x r and P y r are on X and Y axis, respectively. Thus, the errors are e x = P x r P x and e y = P y r P y , respectively.
For the control of the X-axis direction, the slide mode surface of s x = β x e x + e ˙ x is designed, satisfying β x > 0 . Then, the time derivative of s x is
s ˙ x = β x e ˙ x + e ¨ x = β x e ˙ x U x T m r m n p x m
Then, according to the progression law of ( k x + k ¯ x ) sgn ( s x ) , where k x and k ¯ x are positive constants satisfying k ¯ x n P x / m , the position control law in the X -axis direction can be designed as
U x = m T m r ( β x e ˙ x + ( k x + k ¯ x ) sgn ( s x ) )
Similarly, the slide mode surface in the Y -axis direction of s y = β y e y + e ˙ y is established, satisfying β y > 0 . With the progression law of ( k y + k ¯ y ) sgn ( s y ) , satisfying k ¯ y n P y / m , the position control law in the Y -axis direction can be designed as
U y = m T m r ( β y e ˙ y + ( k y + k ¯ y ) sgn ( s y ) )
where k ¯ x and k ¯ y are designed for suppressing chattering and improving robustness.
Proof. 
Regarding the control in the X -axis direction, the Lyapunov function of V x = s x 2 / 2 is considered. Evidently, V x is positive definite, and the time derivative is
V ˙ x = s x s ˙ x = s x ( β x e ˙ x U x T m r m n x m ) = s x ( ( k x + k ¯ x ) sgn ( s x ) n p x m ) ( k x + k ¯ x ) | s x | + | n p x m | | s x | k x | s x | + ( | n p x m | k ¯ x ) | s x | k x | s x | 0
If and only if S x = 0 , the equality of the above formula holds true. Thus, V ˙ x is negative definite, and the stability of the system is certified.
Similarly, the control system in the Y -axis direction is also stable. □
According to U x and U y , and combined with the previous analysis, the relations of longitudinal and lateral flapping angles can be obtained as follows:
a = q ˙ I y / ( H m r T m r + k β ) b = ( p ˙ I x T t r H t r ) / ( T m r H m r + k β )
where p ˙ and q ˙ are calculated by Equations (25) and (27). The servo’s rotation angles can be calculated as follows:
δ l o n = ( θ l o n + 0.0028 ) / 0.2008 δ l a t = ( θ l a t + 0.0034 ) / 0.2056
where taking the parameters of Table 1 into Equation (22) yields
θ l o n ( a ˙ + q + 17.74 a 20.94 b ) / 17.74 θ l a t ( b ˙ + p + 20.94 a + 17.74 b ) / 17.74

4.2. Height Control Law Design

The dynamic equation in the Z -axis direction is
m P ¨ z = T m r + m g + n p z
The expected height of P z r is assumed, and thus the error of the height is e z = P z r P z . The slide mode surface is designed of s z = β z e z + e ˙ z , satisfying β z > 0 , and s z takes the time derivative as
s ˙ z = β z e ˙ z + e ¨ z = β z e ˙ z + T m r m g n p z m
The progression law of ( k z + k ¯ z ) sgn ( s z ) q z s z is considered, where k z and k ¯ z are positive constants, satisfying k ¯ z n P z / m . Similarly, k ¯ z is designed for suppressing chattering and improving robustness. The control law of height can be designed as
T m r = m g m ( β z e ˙ z + ( k z + k ¯ z ) sgn ( s z ) + q z s z )
Proof. 
The Lyapunov function of V z = s z 2 / 2 is considered. V z is positive definite, and it takes the time derivative as
V ˙ z = s z s ˙ z = s z ( β z e ˙ z + T m r m g n p z m ) = s z ( ( k z + k ¯ z ) sgn ( s z ) q z s z n p z m ) ( k z + k ¯ z ) | s z | q z s z 2 + | n p z m | | s z | k z | s z | q z s z 2 0
If and only if s z = 0 , the equality of the above formula holds true. Thus, V ˙ z is negative definite, and the stability of the system is certificated. □
According to the height control law, the servo’s rotation angle can be calculated as follows:
δ c o l = ( θ c o l + 0.0553 ) / 0.4095
where taking the parameters of Table 1 into the Equation (11), the collective pitch angle of the main rotor blades can be calculated as
θ c o l ( T m r / 0.867 + v i , m r w a a u a + b v a ) / 27

5. Hovering Attitude Control of the Unmanned Helicopter

When the helicopter reaches the target point and hovers, the UAM enters the phase of hovering operation. Under the control of position, the helicopter’s hovering position will be always constant. Since the UAM’s overall center of gravity and moment of inertia will change with the running of the manipulator, the backstepping sliding mode controller for hovering attitude stability is proposed in this section. The expression converted by Equation (2) is
I t ω ˙ + ω × ( I t ω ) = τ M R + τ T R
where I t = d i a g { I x , I y , I z } is the inertia tensor matrix of the entire UAM with the helicopter and the manipulator; τ M R denotes the torque generated by the main rotor; and τ T R represents the torque generated by the tail rotor. Then, Formula (42) can be specifically expressed as
ω ˙ = I t 1 [ ω × ( I t ω ) + C U ω + T ]
Note that U ω R 3 × 1 is the control quantity, in addition, T R 3 × 1 is a column vector and C R 3 × 3 is the coefficient matrix on the change in the UAM’s entire center of gravity.
U ω = L m r M m r T t r , C = 1 0 H t r 0 1 0 0 0 D t r , T = 0 0 N m r
where Nmr is the constant. When the manipulator is running, the change in each joint angle will account for the variation in the center of gravity (OM) and the inertia tensor matrix (It) of the entire system. Moreover, the variation in OM will further change the coefficient of Dtr and Htr in matrix C as well as Hmr in Equation (13). Thus, the step of the analysis on how to find the relationship among It, OM and the joint angles of the manipulator should be carried out first.

5.1. Analysis of Manipulator’s Operation

The manipulator of the helicopter is shown in Figure 3, where the coordinate frame for each link is established. The base of the manipulator is fixed on the helicopter’s belly, making the manipulator’s basic frame { B } overlap with helicopter’s center of gravity as much as possible. The frame of the terminal of the manipulator is named { E } . The link’s coordinate frame { 0 } equals the manipulator’s frame { B } , and the link’s coordinate frame { 3 } equals the manipulator’s frame { E } . J n t j ( j = 1 , 2 , 3 ) denotes each of the joints.
For the i th link of the manipulator ( i = 0 , 1 , 2 , 3 ) , its quality of m i is assumed, and m 0 = 0.58   kg is the helicopter’s mass in the empty state. O i C i R 3 × 1 denotes each link’s center of gravity. The inertia tensor matrix of each link is defined as Ji = diag{jix,jiy,jiz}.
According to the analysis of the DH parameter method, the initial angle of the three joints of the manipulator are set as θ i 0 , and the joint rotation angles are set as θ i .
Then, according to the positive kinematic analysis of the manipulator, the translation matrix of T i i 1 R 4 × 4 ( i = 1 , 2 , 3 ) can be expressed as
T i i 1 = R i i 1 P i i 1 0 1 × 3 1
where 0 1 × 3 R 1 × 3 denotes the zero matrix. In addition,
R i i 1 = c θ i s θ i 0 s θ i c α i 1 c θ i c α i 1 s α i 1 s θ i s α i 1 c θ i s α i 1 c α i 1 , P i i 1 = α i 1 s α i 1 d i c α i 1 d i
Thus, the translation matrix from frame { B } to frame { E } can be calculated as follows:
T E B = T 0 B T 1 0 T 2 1 T 3 2 T E 3
where T E B = T E 3 = E 3 is the identity matrix. Furthermore, each link’s center of gravity O C i R 3 × 1 can be calculated as follows:
O C i   4 × 1 = T 4 × 4 i B [ O i C i ; 1 ] 4 × 1 O C i = [ E 3 , 0 3 × 1 ] O C i   4 × 1
The DH parameter table is shown in Table 2. Then, the formula on the change in the UAM’s entire center of gravity with the variation in the manipulator’s joint angle is expressed as follows [18]:
O M ( Θ ) = O M x O M y O M z = 1 m t i = 0 3 m i O C i
Thus, taking the initial parameters of Table 1 into Equation (49), the helicopter’s mechanical parameters changed by the manipulator’s joint angles θ i can be expressed as follows:
D t r H t r H m r = 0.32 + O M x 0.012 + O M z 0.077 + O M z
In addition, the entire inertia tensor matrix of the UAM can be calculated as
I t = I 0 + i = 1 3 ( R T i B J i R i B + m i O C i * T O C i * )
where m t denotes the total mass of the UAM and I 0 = J is the inertia tensor matrix of the helicopter itself. In addition, R i B R 3 × 3 is the third-order leading principal minor of T i B . O C i * R 3 × 3 is the skew symmetric matrix constructed by O C i   3 × 1 , for which the construction principle is as follows.
The column vector is assumed as ζ = [ x , y , z ] T , yielding
ζ * = 0 z y z 0 x y x 0
and for any column vectors v R 3 × 1 , there is the property of ζ × v = ζ * v .
The link parameters of the UAM are shown in Table 3.

5.2. Controller Design of UAM’s Hovering Attitude

Regarding the problem of the UAM’s hovering attitude stability with the manipulator continuous operation, the pure backstepping controller has a weak disturbance resistance. Thus, a backstepping integral sliding mode controller with higher robustness for the stability of UAM’s hovering attitude is proposed in this section.
Firstly, the second-order dynamic model of the UAM’s attitude is divided into two subsystems: the angle vector ξ and angular velocity vector ω. The helicopter’s attitude angle vector is defined as ξ = [ φ , θ , ψ ] T , and the yield is ξ ˙ = ω = [ p , q , r ] T . The attitude angle error vector is calculated as e ξ = ξ d ξ , where ξ d denotes the desired attitude angle vector, and it takes a time-derivative yield e ˙ ξ = ξ ˙ d ω .
Regarding the subsystem of ξ , the first Lyapunov function is assumed as
V 1 = 1 2 e ξ 2
and it takes the time derivative as
V ˙ 1 = e ξ e ˙ ξ = e ξ ( ξ ˙ d ω )
In order to make the value of V ˙ 1 become negative definite, the virtual control quantity is set as α = ξ ˙ d + k ξ e ξ , satisfying k ξ > 0 .
Thus, the value of V ˙ 1 is expressed as
V ˙ 1 = k ξ e ξ + e ξ ( α ω )
when α ω = 0 , V ˙ 1 is negative definite.
Furthermore, regarding the subsystem of ω, the integral slide mode surface is designed as
s = ( α ω ) + λ 0 t ( α ω ) d t
where λ > 0 is the constant coefficient and s takes the time derivative as
s ˙ = α ˙ ω ˙ + λ ( α ω )
Then, according to the progression law of s ˙ = k 1 s k 2 sgn ( s ) , the control law of the system is designed as
U ω = C 1 { I t [ ξ ¨ d + k ξ e ˙ ξ + λ ( ξ ˙ d + k ξ e ξ ω ) + k 1 s + k 2 sgn ( s ) ] + ω × ( I t ω ) T }
where k 1 and k 2 are diagonal matrices with all the positive constant coefficient elements.
Proof. 
The Lyapunov function on the entire second-order system is considered as
V = V 1 + V 2 = 1 2 e ξ 2 + 1 2 s 2
According to the previous analysis, when the second subsystem regarding ω is stable, the first subsystem of ξ is stable. Regarding the second subsystem, V2 is positive definite, following
V ˙ 2 = s s ˙ = s { α ˙ I t 1 [ C U ω ω × ( I t ω ) + T ] + λ ( α ω ) } = s [ ξ ¨ d + k ξ e ˙ ξ ξ ¨ d k ξ e ˙ ξ λ ( ξ ˙ d + k ξ e ξ ω ) k 1 s k 2 sgn ( s ) + λ ( ξ ˙ d + k ξ e ξ ω ) ] = k 1 s 2 k 2 s sgn ( s ) k 1 s 2 k 2 | s | 0
Thus, the second subsystem is stable, and further yields
V ˙ = e ξ e ˙ ξ + s s ˙ = k ξ e ξ 2 + s s ˙ 0
If and only if s = 0 , the equality of the above formula holds true. To conclude, V is positive definite and V ˙ is negative definite, so the stability of entire system is certified. □
In the inner loop command generator, after substituting the identified parameters and according to Equation (14), the servo’s rotation angle, which controls the tail rotor, can be calculated as follows:
θ p e d ( T t r / 0.572 + r D t r v i , t r ) / 26.72 δ p e d = ( θ p e d 0.0038 ) / 0.7605
In addition, the calculations on the servo’s rotation angles of δ l a t and δ l o n are identical to Equations (34) and (35).

6. Simulation

In this section, a digital simulation based on Simulink (R2021b) software is carried out. For the helicopter model T-REX 300X (made by Align corporation in Taiwan, China), two experiments are provided to testify the validity of the proposed control strategy.

6.1. UAM Hovering Position Control Under the Stationary Manipulator State

In this condition, the UAM system’s center of gravity and moment of inertia are constant. The initial position of the UAM in the inertial frame is ( X , Y , Z ) = ( 0 , 0 , 0 ) , and the experiment commands the UAM to fly from an initial position with a stationary state to the desired position of ( P x r , P y r , P z r ) = ( 2 , 5 , 3 ) . Given that the total mass of the UAM is 0.94 kg, the disturbance functions in Equation (24) are set as n p i ( t ) = 0.2 sin 5 t ( N ) , where i = x , y , z . This ensures a model perturbation over 20% after normalization. The parameters of sliding mode control are shown in Table 4.
Firstly, the time-domain performances in the position loop are analyzed according to Figure 4. Since the disturbance of the system is considered, there is a slight chattering in the steady state. The control performances are shown in Table 5.
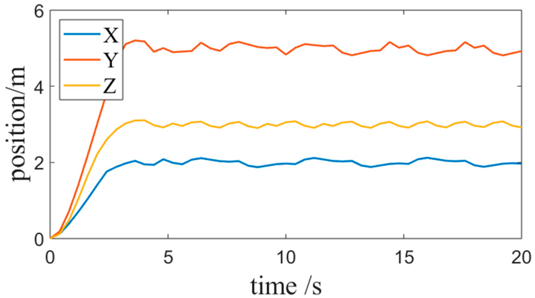
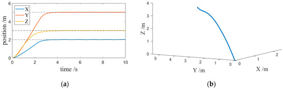
Then, considering the desired position ( P x r , P y r , P z r ) = ( 2 , 5 , 3 ) , in Figure 5, the UAM can reach there in about 3 s, and it can hover at the destination after that. Under the sliding mode controller, the position curves of the helicopter can converge near the expected value. It can be proven that the position loop is able to ensure the UAM completes the hovering at the destination.
Furthermore, the error analysis is as shown in Figure 6. Under the persistent disturbance with an amplitude of 0.2 N, the amplitude of the error curve in the steady state is about 0.01 m, and the steady state error is less than 2%. The validity of the disturbance resistance is proven; in addition, the high precision and strong robustness of the system are testified. Moreover, considering the chattering problem of the ordinary sliding mode controller, we add the robust items k ¯ x , y , z in the progression laws to suppress chattering and disturbance. By comparing the hovering position errors of the general sliding mode controller (red curves) and improved sliding mode controller (blue curves), the proposed sliding mode controller with robust items can effectively suppress disturbance and weaken chattering.
Regarding the calculation of the servo’s rotation angle, since Formula (6) contains the item of induced velocity, harboring a strong coupling relationship with the helicopter’s flight velocity and T m r , solving the servo’s rotation angles will become difficult. However, according to the previous measurement on flight experiments (m = 0.94 kg), the induced velocity is v i , m r [ 4.12 , 4.32 ] . Due to the small interval of this item, the average of v i , m r = 4.2 is adopted for approximation.
The rotation angles of the servo for controlling the helicopter’s flight state are shown in Figure 7. Because of the continuous disturbance, there are still slight fluctuations during the late period. Under the control of the position loop sliding mode controller, the curves of the servo’s rotation angles have high smoothness, which is beneficial for actual control.

6.2. UAM Hovering Attitude Control Under the Manipulator Operating State

After the UAM reaches the target position under the constraint of position loop control, the manipulator runs for continuous operation in the air. The desired hovering attitude angle vector is ξ d = [ 0 , 0 , 0 ] T . The inputs of the system are random rotation angles of three joints of the manipulator (shown in Figure 8), which simulates the real continuous aerial operation of a UAM. The system outputs are the helicopter’s hovering attitude angles. The parameters of backstepping sliding mode control are as follows:
k ξ = 10 0 0 0 50 0 0 0 18 ; k 1 = 10 0 0 0 10 0 0 0 10 ; k 2 = 10.5 0 0 0 10.5 0 0 0 10.5 ; λ = 3 0 0 0 3 0 0 0 3
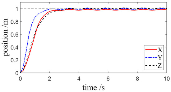
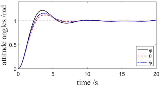
Firstly, in order to evaluate the control effect, the step response of the attitude loop is presented in Figure 9, and the time-domain performances are confirmed in Table 6.
The validity of the attitude loop controller is proved by Figure 10. In practical control, the desired helicopter hovering attitude angle vector is ξ d = [ 0 , 0 , 0 ] T . Despite the influence generated by the operation of the manipulator to the entire system, the maximum amplitude is around 0.05 rad. However, the helicopter’s hovering attitude angle fluctuation under the general backstepping controller is over 0.1 rad. The stronger robustness of the backstepping sliding mode controller is evidently proven.
Combined with the analysis of the position control shown in Figure 11, the UAM is stabilized at the target point at about t = 3 s. Although the manipulator continuously runs and influences the helicopter hovering, the hovering position of the UAM remains stable near the target point under the control of the position loop. The fine effect of the double-loop control strategy for UAM hovering position and attitude is proven.
Moreover, based on the comparison shown in Figure 10, a further comparison is presented regarding the servo’s rotation angle under two kinds of controllers. In Figure 12, the servo’s rotation angle amplitudes under the control of the backstepping sliding mode are evidently smaller than the general backstepping control. The interval of the servo’s rotation angle of [−1, 1] rad can be referred to by the model of DS830M. However, the rotation angle intervals of the servo under the general backstepping control are beyond the above range. Not only is the helicopter’s hovering attitude stability poor under the general backstepping controller, but the feasibility of the actual control and the servo’s amplitude limitation should be also further considered.

7. Conclusions

Aiming at the hovering precision problem of a UAM based on the mobile platform of a small unmanned helicopter with a manipulator, a double-loop control strategy of position and attitude was proposed. The designed position loop ensures the stability of the hovering position. An improved sliding mode controller was proposed for the position hovering stability under a continuous disturbance, satisfying the high precision, strong robustness and weak chattering of the system. Moreover, in order to solve the hovering attitude problem when the UAM is operating in the air with continuous running of the manipulator, a backstepping sliding mode controller was presented in an attitude loop, ensuring the strong robustness of the hovering attitude. The system stability was proven by the Lyapunov function, and the validity was verified by a digital simulation.
In this study of UAM hovering control, merely the influence of disturbance on the force equation was considered. That is, only the position disturbance was studied. However, in practical applications, external disturbances such as gusts will affect both the force and torque. Plus, due to the impact of the running manipulator, the attitude control will be more complex. So, it will bring more challenges to the control. In further studies, we will consider other approaches to address the above questions, such as adding a disturbance observer or adopting an Active Disturbance Rejection Control (ADRC). Then, we plan to design a real UAM to complete the maintenance of high-voltage cables in practice.

Author Contributions

Conceptualization, H.Z. and Z.S.; methodology, Z.S.; software, Z.S.; validation, H.Z., Z.S. and J.X.; formal analysis, H.Z. and J.X.; investigation, Z.S.; resources, H.Z.; data curation, Z.S.; writing—original draft preparation, Z.S.; writing—review and editing, Z.S. and H.Z.; visualization, R.H.; supervision, H.Z.; project administration, H.Z.; funding acquisition, H.Z. All authors have read and agreed to the published version of the manuscript.

Funding

This work is supported by the Basic Research Project of Liaoning Province Department of Education in 2023 (No. JYTMS20230244).

Institutional Review Board Statement

Not applicable.

Informed Consent Statement

Not applicable.

Data Availability Statement

The data presented in this study are available on request from the corresponding author.

Acknowledgments

Thanks are given to the Institute of Liaoning General Aviation Research for providing financial help for the project as well as Shenyang Aerospace University for supporting the project research.

Conflicts of Interest

The authors declare no conflicts of interest.

References

  1. Wu, C.; Wang, P.; Wu, L.; Chen, J.; Xu, F. Review on unmanned helicopter flight control technology development. Flight Dyn. 2023, 41, 1–11. [Google Scholar]
  2. He, M.; He, J.; Zhou, X. Robust flight control of a small unmanned helicopter. Robot 2016, 38, 337–342+351. [Google Scholar]
  3. Hou, Z.; Yan, F.; Deng, Z.; Wang, J. Sliding mode control for small unmanned helicopter in hover. JCIT 2014, 22, 640–643. [Google Scholar]
  4. Thomas, F.; Thottungal, A.; Johnson, M. Composite Control of a Hovering Helicopter Based on Optimized Sliding Mode Control. JOTA 2021, 191, 1–20. [Google Scholar] [CrossRef]
  5. Liu, H.; Wang, X.; Zhong, Y. Robust Position Control of a Lab Helicopter Under Wind Disturbance. IET Control Theory Appl. 2014, 8, 1555–1565. [Google Scholar] [CrossRef]
  6. Chen, Y.; Zhan, W.; He, B.; Lin, L.; Miao, Z.; Yuan, X.; Wang, Y. Robust Control for Unmanned Aerial Manipulator Under Disturbance. IEEE Access 2020, 8, 129869–129877. [Google Scholar] [CrossRef]
  7. Zhang, G.; He, Y.; Dai, B.; Gu, F.; Han, J.; Liu, G. Robust Control of an Aerial Manipulator Based on a Variable Inertia Parameters Model. IEEE Trans. Ind. Electron. 2019, 67, 9515–9525. [Google Scholar] [CrossRef]
  8. Heredia, G.; Jimenez-Cano, A.; Sanchez, I.; Liorente, D.; Vega, V.; Braga, J.; Acosta, A.; Ollero, A. Control of a Multirotor Outdoor Aerial Manipulator. In Proceedings of the 2014 IEEE/RSJ International Conference on Intelligent Robots and System, Chicago, IL, USA, 11–14 November 2014. [Google Scholar]
  9. Acosta, J.; de Cos, C.; Ollero, A. Accurate Control of Aerial Manipulator Outdoors. A Reliable and Self-coordinated Nonlinear Approach. Aerosp. Sci. Technol. 2020, 99, 105731–105745. [Google Scholar] [CrossRef]
  10. Zhao, M. Design and Implementation of an Aerial Robotic System for Manipulation. Master’s Thesis, Shanghai Jiao Tong University, Shanghai, China, January 2020. [Google Scholar]
  11. Guo, P.; Xu, K.; Deng, H.; Liu, H.; Ding, X. Modeling and Control of Hexacopter with a Passive Manipulator for Aerial Manipulation. Complex Intell. Syst. 2021, 7, 1–15. [Google Scholar] [CrossRef]
  12. Lin, F.; Hao, M.; Wang, T.; Wang, X. Lateral stability control of autonomous vehicle based on backstepping sliding mode method. J. Mech. Eng. 2024, 60, 1–10. [Google Scholar]
  13. Jimenez-Cano, A.; Heredia, G.; Bejar, M.; Kondak, K.; Ollero, A. Modelling and Control of an Aerial Manipulator Consisting of an Autonomous Helicopter Equipped with a Multi-link Robotic Arm. J. Aerosp. Eng. 2015, 230, 1860–1870. [Google Scholar]
  14. Zhou, B.; Liu, X.; Tang, S.; Zheng, Z. Nonlinear system identification and trajectory tracking control for a flybarless unmanned helicopter: Theory and experiment. Nonlinear Dyn. 2019, 96, 2307–2326. [Google Scholar] [CrossRef]
  15. Guo, J. Dynamics Analysis and Nonlinear Control of Model-Scale Unmanned Helicopters. Master’s Thesis, Tianjin University, Tianjin, China, December 2014. [Google Scholar]
  16. Cai, G.; Chen, B.; Lee-Tong, H.; Kai-Yew, L. Comprehensive nonlinear modeling of a miniature unmanned helicopter. J. Am. Helicopter Soc. 2012, 57, 1–13. [Google Scholar] [CrossRef]
  17. Zhang, M.; Ma, J.; Gao, J.; Zang, S. Finite-time hovering control of unmanned helicopter based on sliding mode method. Electron Opt. Control 2023, 30, 43–49. [Google Scholar]
  18. Men, X.; He, Y.; Gu, F.; Li, Q.; Han, J. Dynamics Modeling and Simulation Analysis for Rotorcraft Aerial Manipulator System. In Proceedings of the 36th Chinese Control Conference on Science and Technology of Information, Dalian, China, 26–28 July 2017. [Google Scholar]
Figure 1. Control block diagram of the UAM system.
Figure 1. Control block diagram of the UAM system.
Applsci 14 10092 g001
Figure 2. Coordinate frames of the helicopter.
Figure 2. Coordinate frames of the helicopter.
Applsci 14 10092 g002
Figure 3. Sketch diagram of the UAM with the manipulator: (a) sketch diagram of the manipulator loaded under the helicopter; (b) sketch diagram of the manipulator’s coordinate frame.
Figure 3. Sketch diagram of the UAM with the manipulator: (a) sketch diagram of the manipulator loaded under the helicopter; (b) sketch diagram of the manipulator’s coordinate frame.
Applsci 14 10092 g003
Figure 4. The step responses in the position loop.
Figure 4. The step responses in the position loop.
Applsci 14 10092 g004
Figure 5. UAM’s hovering position under the static manipulator state: (a) position curve of UAM; (b) 3D position of UAM.
Figure 5. UAM’s hovering position under the static manipulator state: (a) position curve of UAM; (b) 3D position of UAM.
Applsci 14 10092 g005
Figure 6. UAM’s hovering position error.
Figure 6. UAM’s hovering position error.
Applsci 14 10092 g006
Figure 7. The servo’s rotation angle under the static manipulator state.
Figure 7. The servo’s rotation angle under the static manipulator state.
Applsci 14 10092 g007
Figure 8. Angle curves of the manipulator joints.
Figure 8. Angle curves of the manipulator joints.
Applsci 14 10092 g008
Figure 9. The step responses in the attitude loop.
Figure 9. The step responses in the attitude loop.
Applsci 14 10092 g009
Figure 10. UAM’s hovering attitude under the running manipulator state.
Figure 10. UAM’s hovering attitude under the running manipulator state.
Applsci 14 10092 g010
Figure 11. UAM’s hovering position under the running manipulator state.
Figure 11. UAM’s hovering position under the running manipulator state.
Applsci 14 10092 g011
Figure 12. Comparison of servo’s rotation angles.
Figure 12. Comparison of servo’s rotation angles.
Applsci 14 10092 g012
Table 1. Relevant parameters of small unmanned helicopter.
Table 1. Relevant parameters of small unmanned helicopter.
ParametersValueParametersValue
m0.94 kgΩtmr4.73
ρ1.29 kg/m3Ix0.0650 kg·m2
g9.81 N/kgIy0.1382 kg·m2
Rmr0.248 mIz0.2105 kg·m2
cmr0.03 mClα,mr4.411 rad−1
Rtr0.051 mClα,tr2.729 rad−1
ctr0.016 mkβ45.96 N·m
Dtr0.320 mγm1.72
Htr0.012 mIβ3.75 × 10−4 kg·m2
Hmr0.077 mPmr41 W
Ωtr165 rad/s
Table 2. Table of DH parameters.
Table 2. Table of DH parameters.
i α i 1 a i 1 /m d i /m θ i θ i 0
1000.05 θ 1 180
29000 θ 2 90
300.10 θ 3 90
E 0.1
Table 3. Parameters of links.
Table 3. Parameters of links.
Linkmi/kgJi/kg·m2 = diag {jix, jiy, jiz}OiCi/m
0-B0.58{6.50 × 10−2, 13.82 × 10−2, 21.05 × 10−2} [ 0 , 0 , 0 ] T
10.09{2.65 × 10−2, 2.65 × 10−5, 1.13 × 10−5} [ 0 , 0 , 0 ] T
20.12{1.95 × 10−5, 1.18 × 10−4, 1.18 × 10−4} [ 0.05 , 0 , 0 ] T
3-E0.15{1.80 × 10−5, 1.09 × 10−4, 1.09 × 10−4} [ 0.10 , 0 , 0 ] T
Table 4. Parameters of sliding mode control.
Table 4. Parameters of sliding mode control.
ParametersValueParametersValue
k z 0.9 k y 5.5
β z 1.6 β y 2.8
q z 1.1 k ψ 3.8
k x 2 β ψ 4.8
β x 2.5 k ¯ x , y , z , k ¯ ψ 0.22, 0.25
Table 5. Time-domain performances in position loop (with the error band of 2%).
Table 5. Time-domain performances in position loop (with the error band of 2%).
XYZ
Adjusting time/ts2.8 s2.0 s2.7 s
Rise time/tr1.8 s1.5 s1.9 s
Overshoot/σ%000
Steady state error (at 10 s)/ess0.010.020.02
Table 6. Time-domain performances in the attitude loop (with the error band of 5%).
Table 6. Time-domain performances in the attitude loop (with the error band of 5%).
φθψ
Adjusting time/ts8.2 s7.6 s7.8 s
Rise time/tr2.1 s2.3 s2.1 s
Overshoot/σ%22.216.718.3
Steady state error (at 20 s)/ess0.050.040.05
Disclaimer/Publisher’s Note: The statements, opinions and data contained in all publications are solely those of the individual author(s) and contributor(s) and not of MDPI and/or the editor(s). MDPI and/or the editor(s) disclaim responsibility for any injury to people or property resulting from any ideas, methods, instructions or products referred to in the content.

Share and Cite

MDPI and ACS Style

Zhang, H.; Sun, Z.; Xu, J.; Han, R. Hovering Control on a Variable-Parameters Model of a Small Unmanned Helicopter Based on a Backstepping Sliding Mode Method. Appl. Sci. 2024, 14, 10092. https://doi.org/10.3390/app142210092

AMA Style

Zhang H, Sun Z, Xu J, Han R. Hovering Control on a Variable-Parameters Model of a Small Unmanned Helicopter Based on a Backstepping Sliding Mode Method. Applied Sciences. 2024; 14(22):10092. https://doi.org/10.3390/app142210092

Chicago/Turabian Style

Zhang, Hongmei, Zhiyuan Sun, Jin Xu, and Rongming Han. 2024. "Hovering Control on a Variable-Parameters Model of a Small Unmanned Helicopter Based on a Backstepping Sliding Mode Method" Applied Sciences 14, no. 22: 10092. https://doi.org/10.3390/app142210092

APA Style

Zhang, H., Sun, Z., Xu, J., & Han, R. (2024). Hovering Control on a Variable-Parameters Model of a Small Unmanned Helicopter Based on a Backstepping Sliding Mode Method. Applied Sciences, 14(22), 10092. https://doi.org/10.3390/app142210092

Note that from the first issue of 2016, this journal uses article numbers instead of page numbers. See further details here.

Article Metrics

Back to TopTop