Abstract
The present study aimed to evaluate the effect of the extrusion process and particle size on the properties of rice flour (microstructure, pasting properties), gluten-free dough (rheological properties), and bread (texture, specific volume, water absorption capacity, low-field nuclear magnetic resonance (LF NMR) relaxometry). Rice flours were extruded at 80 and 120 °C with feed moisture (15 and 30%) and with the same particle size (<132 and >132–200 µm). Significant differences were observed between the pasting profiles of the flours before and after extrusion. The pasting profile of extruded flours confirmed that hydrothermal treatment partially gelatinized the starch, decreasing the viscosity during heating. The water binding properties increased with the extrusion temperature and moisture content and also with the particle size of the flour. The most important parameter influencing the mechanical properties of the dough was the moisture content of the flour and significant differences were observed between fine (<132 μm) and coarse flours (>132–200 μm). The molecular dynamics of particles containing protons in the bound and bulk fractions in each sample do not depend on the extruder parameters or granulation of the obtained fraction. LF NMR results confirmed that extrusion of rice flour led to a significant decrease in the T21 value compared to the control sample and an increase in the T22 value in breads made with flours with particle size <132 μm. A linear relationship was found between the spin-spin relaxation times (T1) changes and the equilibrium water activity (ar). The results showed that bread with extruded rice flour at the same die temperature resulted in a significantly higher bread volume (31%) and lower hardness (27%) compared to the control. The highest hardness was observed in the case of samples prepared with extruded flour with the addition of 15% moisture, regardless of temperature and particle size.
1. Introduction
The production of high-quality gluten-free bread is still a major technological challenge due to the inability of gluten-free flour to form a viscoelastic dough and because there are no raw materials, ingredients, or additives that can fully replace gluten. Nowadays, the improvement of gluten-free bread’s rheological properties, specific volume, and texture has attracted more attention. Several additives have been used, such as hydrocolloids (xanthan gum [1], hydroxypropylmethylcellulose (HPMC), carboxymethylcellulose, apple pectin [2]), enzymes [3], protein isolate [4], and modification of flour properties [5,6,7] have been employed to counteract these problems. One of them is the extrusion cooking of flour, considered a crucial method of the high-temperature short-time (HTST) process to modify the functional properties of starch-based ingredients [8,9]. The main factors influencing the properties of extrudates include the size of the flour particles, the nature of raw materials, the speed of the screw, the moisture of the feed, and the die temperature [10,11]. The extrusion process led to partial starch gelatinization, increasing the swelling capacity of the starch granule and even causing the break-up of the granules, thus altering dough and bread properties. Starch gelatinization during extrusion allows the formation of numerous hydrogen bonds with water and forms a three-dimensional network that retains gases during the preparation of gluten-free bread [12]. Such changes in the constituent level modify the rheological behavior of flour. So far, the effects of extruded wheat flour [13], sorghum flour [14,15], extruded millet [16], and corn flour [17] on dough rheology and the textural and organoleptic properties of bread have been analyzed. Previous studies demonstrated that wheat bread with extruded black rice had a higher specific volume and lower hardness than bread with non-extruded black rice flour [18]. Jafari et al. [14] found that the incorporation of extruded sorghum flour (10%) could also improve the flavor and overall acceptability of the sorghum-wheat composite bread. Moreover, the milling step and its methods have been reported to affect the properties of rice flour, especially the particle size of rice flour [19], the content of damaged starch [20], and thus the volume of gluten-free bread. Therefore, size fractionation plays an important role in creating the quality of bakery products. Clerici et al. [21] indicated that pregelatinizing rice flour through an extrusion and modifying it with an organic acid considerably improves the color and texture characteristics of the crust of gluten-free bread. Sanchez et al. [22] also found that the addition of extruded waxy rice flour (15 and 30%) improved bread volume and crumb structure, decreased initial hardness, and delayed bread staling.
Due to its thickening properties, pregelatinized rice flour has been widely used [23,24,25]. The effects of extruded rice flour on dough and bread quality have not been fully understood and more detailed information is needed. Taking into account the mentioned factors, the present study aimed to evaluate the effect of feed moisture (15 and 30%) and die temperature (80 °C and 120 °C) as well as particle size (<132 μm and >132–200 μm) on the properties of rice flour (microstructure) and gluten-free dough (rheological properties) and bread (texture, specific volume, water activity, LF NMR relaxometry).
2. Materials and Methods
2.1. Rice Flour Preparation
Gluten-free rice flour was obtained under laboratory conditions during one-stage milling in the Quadrumat® Junior laboratory mill (Brabender, Duisburg, Germany) of grain rice.
Extrusion cooking was carried out on a single-screw TS-45 extruder (Metalchem, Gliwice, Poland) fitted with a single-flight screw. The length-to-diameter ratio for the extruder is 12:1, the screw diameter is 45 mm, the length is 550 mm, and the nozzle diameter is 8 mm. The screw speed was set at 80 rpm. Rice flour was extruded at a maximum barrel temperature of 80 and 120 °C. Before extrusion, the moisture was adjusted to reach a final moisture content of 15% and 30%. The extruded product was dried by air convection and then ground using a Universal M 20 mill (IKA®-Werke GmbH & CO. KG, Staufen, Germany).
The particle size was determined using an AS200 basic analytical sieve shaker (Retsch GmbH & Co. KG, Haan, Germany). Fine flours were obtained by sieving through a 132 μm screen, and coarse flours were retained between a 132 and 200 μm sieve. The finest particles were obtained by sieving a set of particles of different sizes, instead forcing them to reduce the size of all particles during milling. Non-extruded rice flour was used as the control.
2.2. Flour Characteristics
2.2.1. Basic Chemical Composition
The total nitrogen content was determined using the Kjeldahl method according to ISO 20483 [26] and was used to calculate the protein content by multiplying the result by the conversion factor of 5.75, which is suitable for rice. The ash content was determined according to AACC Method 08-12.01 [27].
2.2.2. Pasting Properties
Pasting properties of gluten-free flours were determined according to the method described by Makowska et al. [28] using a rapid viscosity analyzer (TecMaster RVA-4500, Perten Instruments AB, Hägersten, Sweden). In summary, 3.5 g of flour samples were weighed and then dispersed in 25 mL of distilled water for the RVA measurement (corrected to compensate for a moisture content of 14 wt.). The suspensions were held at 50 °C for 1 min and then raised to 95 °C at a rate of 6 °C/min, held at 95 °C for 5 min and cooled to 50 °C at the same rate, and finally held at 50 °C for 1 min. The stirring rate was 960 rpm for the first 10 s followed by 160 rpm for the remaining test. During the analyses, the peak, the trough, the final viscosity, and the breakdown and setback parameters were recorded.
2.2.3. Microstructure
The microphotographs of the gluten-free flours were taken using a Zeiss EVO 40 scanning electron microscope (Carl Zeiss AG, Oberkochen, Germany).
2.2.4. Oil and Water Binding Capacity
The water binding capacity (WBC) and the oil absorption capacity (OAC) of the native and extruded flours were determined according to the method suggested by Jeżowski et al. [29]. Briefly, 1 g of each flour sample was weighed in a test tube containing 20 mL of distilled water (for WBC) or 20 mL of rapeseed oil (for OAC). The mixture was then shaken for 15 min and allowed to stand for 5 min at 22 °C. After this time, the suspension was centrifuged at 4500× g for 15 min (Rotofix 32A from Hettich, Tuttlingen, Germany). WBC is expressed as the weight of water (g) absorbed by 1 g of flour and OAC as the weight of oil (g) absorbed by 1 g of flour.
2.3. Dough and Bread Making
The dough was made using the following formula: rice flour (200 g), rapeseed oil (20 g), sucrose (18 g), salt (3 g), instant dried yeast (3 g), and water (160 g). Dough hydration plays an important role in determining the gluten-free bread quality. The use of extruded flour requires the addition of a larger volume of water to obtain a constant consistency. However, the aim of this study was to evaluate the effect of the extrusion process and particle size on dough and bread properties, as well as water behavior. Thus, the same amount of water was added to the recipe. The test samples replaced the unextruded rice flour with the extruded rice flour at 10%, and the other components were unchanged. All compounds were mixed with the KitchenAid mixer (model 5KPM5EWH, KitchenAid, Benton Harbor, MI, USA) for 7 min at a speed of 70 rpm. The dough was fermented at 35 °C and a relative humidity of 75% (RH) for 60 min. After proofing for 20 min at 35 °C and a RH of 75%, the dough was baked in an oven (MIWE Michael Wenz GmbH, Amstein, Germany) at 230 °C for 35 min. The bread was cooled for 2 h at 20 °C and weighed and packed in polypropylene pouches before further analysis.
2.4. Rheological Properties of Dough
The viscoelastic properties were determined with a RheoStress1 rheometer (Haake Technik GmbH, Vreden, Germany) operating in a controlled deformation mode (CD) of 0.05%. Mechanical spectra were analyzed within the 0.1–100 Hz frequency range using 20 mm diameter parallel plate measurement geometrics (PP20 Ti) and 1.0 mm gap. The complex viscosity (η*), storage modulus (G′), and the loss modulus (G″) were determined. The obtained spectra were fitted to the Ostwald de Waele equation for η* and power law equations for G′ and G″ [30].
where η*—complex viscosity (Pa/s), K*—consistency index (Pa/sn), ω—angular velocity (rad/s), and n*—flow behavior index (−).
where G′—storage modulus (Pa), K′—equation constant (Pa/sn), ω—angular velocity (rad/s), and n′—equation constant (−).
where G″—loss modulus (Pa), K″—equation constant (Pa/sn), ω—angular velocity (rad/s), and n″—equation constant (−).
2.5. Bread Properties Analyses
2.5.1. Specific Volume
The specific volume of gluten-free bread was determined by the rapeseed displacement method, according to the AACC 10-05 International Approved Methods [31], and calculated in mL/g of bread.
2.5.2. Texture Analysis
The texture profile analysis of bread was performed with a TA.XTplus texture analyzer (Stable Micro System Co., Ltd., Surrey, UK) equipped with a 5 kg load cell [30]. Each sample was compressed twice with a cylindrical plunger probe with a diameter of 35 mm. The test parameters were as follows: 10.0 mm/s pre-test speed, 5.0 mm/s test speed, 5.0 mm/s post-test speed, and 40% strain. Bread loaves were cut into slices (25 mm thick each and the ends were discarded) and used to evaluate hardness, springiness, cohesiveness, chewiness, and resilience.
2.5.3. Water Activity
Measurements of water activity and transpiration rates were performed with a water diffusion and activity analyzer ‘ADA-7’ (COBRABID, Poznań, Poland) according to the method described in detail previously [32].
2.5.4. Low Field Nuclear Magnetic Resonance (LF NMR) Relaxometry
Measurements of spin-lattice (T1) and spin-spin (T2) relaxation times were performed using a pulse NMR spectrometer PS15T, operating at 15 MHz under a system-controlled temperature (Ellab, Poznań, Poland) in accordance with the method described by Cichocki et al. [33]. The inversion-recovery pulse sequence was applied for measurements of T1 relaxation times [34]. Distances between RF pulses (t) were changed within the range from 20 to 80 ms and the repetition time was from 10 s. Each time, 32 FID signals and 119 points from each FID signal were collected. Calculations of the spin-lattice relaxation time values were performed with the assistance of the CracSpin program. The program for calculating relaxation parameters from experimental data uses the ‘spin grouping’ approach. Marquardt’s minimization method has been applied for fitting multiexponential decays. Time changes of the current value of the FID signal amplitude in the used frequency of impulses are described by the following formula:
where Mz(t) is the actual magnetization value and M0 is the equilibrium magnetization value.
Measurements of spin-spin (T2) relaxation times were taken using the pulse train of the Carr-Purcell-Meiboom-Gill spin echoes (90 − τ/2 − (180)n) [34]. The distance (τ) between 180 RF pulses ranged from 0.5 to 0.9 ms. The repetition time was 10 s. The number of spin echoes (n) was 100. Five accumulation signals were used.
To calculate the spin-spin relaxation time values, the authors applied the adjustment of the echo amplitudes to the formula [35]:
where Mx,y (t) is the echo amplitude, M0 is the equilibrium amplitude, and pi is the fraction of protons relaxing with the spin-spin time T2i.
Mean correlation times (τc) were calculated used the method described by Małyszek et al. [36].
The calculations were performed by using the dedicated software using a nonlinear least-squares algorithm. The accuracy of the relaxation parameters has been estimated with the standard deviation. The presence of two proton fractions was determined for all analyzed systems.
2.6. Statistical Analysis
The data was studied with one-way analysis of variance (n = 3) using Tukey’s HSD multiple comparison post-hoc test to identify statistically homogeneous subsets at α = 0.05. Furthermore, a three-way analysis of variance was performed that took into account flour particle size (Factor 1), feed moisture (Factor 2), and die temperature (Factor 3) when applicable. The principal component analysis (PCA) was performed on the correlation matrix. Statistical analyses were performed using Statistica 13.3 (TIBCO Software Inc., Palo Alto, CA, USA).
3. Results and Discussion
3.1. Basic Flour Composition
The protein content was approximately 8–9%/100 g DM (Table 1), which is similar to the results of Martínez et al. [11]. In general, proteins are usually concentrated in the finest fraction (<132 μm), which is confirmed by a 7% higher protein content in the case of control samples (non-extruded flour). In extruded flours, those with a larger particle size (>132–200 μm) were characterized by a slightly higher protein content than non-extruded flour. The protein content of extruded flour was increased with increasing particle size (p < 0.05). According to Myoung Kim and Shin [37], higher protein content means less free starch granule fractions in particle size distributions.
Table 1.
Protein and ash content in analyzed gluten-free flours.
A similar situation was observed in the case of the determination of ash, where the control sample (non-extruded flour) with particle size <132 µm had a higher mineral content than extruded flours. No significant differences were observed between flour samples extruded at 80 and 120 °C at the same moisture content.
3.2. Rice Flour Microstructure
The morphology of the rice flour particles from the different extrusion parameters are shown in the scanning electron microscope (SEM) images (Figure S1). Non-extruded native rice starch has a heterogeneous morphology with visible starch granules, as shown in Figure S1A,B. The shear forces and high temperature during extrusion caused gelatinization of the starch, which in turn created a rough and broken structure. A similar phenomenon was observed by Wang et al. [38] in extruded corn starch. It is well known that thermal treatments can modify starch granules and denature proteins, and the extent of starch granule morphological changes depends mainly on the processing conditions, such as temperature and moisture. Extrusion performed below gelatinization temperature, preserving the integrity of the starch granules, and treatments carried out above gelatinization temperature induce structural alterations, destroying the molecular order of the starch granule [7]. Moisture contained in the feed material is the main factor responsible for its vitrification during extrusion [39]. Generally, the higher the humidity, the smaller the cells formed after the extrusion process and the more uniform the structure of the resulting products. These changes were observed regardless of particle size (Figure S1C–J). Importantly, temperature also affected the morphology of the extruded flours. The obtained structure was more homogeneous with increasing temperature (from 80 to 120 °C). As indicated by Wang et al. [40], starch gelatinization begins at about 70 to 80 °C, depending on the botanical origin of the starch. At this temperature, in the presence of water, starch gels form homogeneous gels, which is consistent with the morphological changes we observed.
3.3. Pasting Properties of Flour
The observed changes in the morphology of extruded flours (see Section 3.2) may significantly affect the starch pasting process. The viscosity of starch pastes depends on several factors, among which the most important are the botanical origin of the starch, its starch concentration in the analyzed sample, the volume of solvent used, the pH level, and the presence of minerals and other biopolymers [41,42]. For this reason, constant analysis conditions were used for all flours, and the results are presented in Table 2. The maximum viscosity increases with increasing moisture content of flours prior to extrusion (at the same temperature) and decreases significantly with the increase in temperature (at constant moisture content). Nevertheless, each extruded flour was characterized by a viscosity much lower than the flour before extrusion, which means that this process significantly affected the high degradation of starchy structure. This is confirmed by studies on wheat starch, described by Chiang and Johnson [43], in which they analyzed the influence of extrusion parameters (moisture content of raw material, screw speed as well as operational temperature) and showed that starch gelatinization increased with increasing temperature and water content; however, as observed also in our research, when these variables act at extreme opposite values, the maximum gelatinization rate occurs.
Table 2.
RVA measurement results.
During analysis, the sample is thermostated at a high temperature (95 °C) and subjected to a constant mechanical shear stress, which further breaks up the starch structure. At this time, a breakdown of the viscosity of the analyzed gruel is observed. From a technological point of view, the ability of starch to withstand high-temperature heating and shear stress rates affects its suitability and is considered an important quality factor [44]. The higher the peak viscosity, the greater the breakdown, with the largest breakdown observed for flours before the extrusion process (Table 2). The higher water content in extruded flours also caused the values of the breakdown parameters, as in the case of peak viscosity. Low breakdown values occurred in flours where degradation of the starch fraction did not lead to significant viscosity peaks. Similar observations have been reported by Leonel et al. [45], who analyzed the cassava starch. They analyzed changes in the gelatinization process of extruded starch and also showed that the higher the viscosity, the greater the breakdown. In the last stage of the analysis, the sample is cooled, during which the starch molecules, especially amylose, recombine, causing the formation of a gel structure, which is observed in the increase in the final viscosity. This process is associated with the reorganization of starch and the beginning of the retrogradation process [46]. As expected, a higher final viscosity was observed in flours that contained more water (30%) before the extrusion process. Nevertheless, each time, non-extruded flour—both with lower and higher granulation—was characterized by up to 10 times higher final viscosity. Doubler et al. [47] and Mercier and Feillet [48] also noted that the extrusion process affects the decreases in the final viscosity and breakdown. The increase in viscosity depends on the tendency of the starch to reassociate, and the more intensive the treatment, the lower the breakdown and final viscosity values could then be observed. Final and setback viscosities were crucial factors to form a network structure in paste without gluten. The extrusion process also significantly improved the stability of starch pastes. The setback parameter determines the susceptibility of starch to retrogradation, compared to non-extruded flours. The lower the value of this parameter, the lower the retrogradation rate [49]. It was found that the extrusion process using rice flour with a lower moisture content (15%) reduced the value of the setback parameter by about four times compared to extruded flour with a moisture content of 30%, which proves the higher technological suitability of extruded flours.
3.4. Oil and Water Binding Capacity
The particle size of non-extruded flour was shown to have no significant effect on the water binding capacity (WBC) and the oil absorption capacity (OAC). All samples of extruded rice flour showed significantly higher water absorption compared to the control samples (Table 3), which is also the result of a higher degree of starch damage (Table S1). According to the literature, the finest flour with a higher level of damaged starch granules had high water absorption than intact starch granules [50] and absorbed more water probably due to its higher surface-to-volume ratio. On the contrary, flours with a particle size >132–200 μm were characterized by the highest water absorption, especially at higher process temperatures (120 °C), which may be due to the increased amount of gelatinized starch. These results are in line with those of Kadan et al. [51] who found that the water absorption of rice flour increased with increasing extrusion temperature. Furthermore, Lenel et al. [45], in their studies on extruded cassava starch, proved that the higher the extrusion temperature, the higher the water absorption was observed. In addition, the beneficial effect is also the higher water retention capacity of extruded flour, which could also affect the delay of water migration from the crumb to the outer part and thus decrease the staling rate [52].
Table 3.
Water binding capacity (WBC) and oil absorption capacity (OAC) of gluten-free flours.
The extrusion process did not significantly change the oil absorption capacity of the flours. In all the samples, OAC remained at a similar level. Tabara et al. [53] showed an increase in the oil binding ability of rice flour after heat treatment at 120 °C for 120 min. The authors suggested that structures of rice glutenin could be changed by heat treatment at 120 °C and that smaller subunits of rice glutenin after heat treatment could cause deterioration in breadmaking properties, e.g., resulting in a smaller specific volume of bread.
3.5. Rheological Properties of Dough
The rheological characteristic of dough is a complex phenomenon that arises from the fact that on the one hand, the dough needs to be solid enough in order to maintain proper structure of the bread and that on the other hand, the dough needs liquid to allow its preparation. These materials exhibit both elastic and viscous properties, so their rheological properties are best described by mechanical spectra consisting of the storage modulus (G′), which represents the elastic behavior, and the loss modulus (G″) that relates to liquid behavior of the sample [30]. The mechanical spectra of the investigated rice flour dough samples are presented in Figure S2. The values of Ostwald de Waele/Power law equations are presented in Table 4. The used models were very well fitted to the experimental data, as indicated by values of R2 above 0.97. All samples investigated regardless of processing conditions were characterized by the dominance of solid-like behavior as indicated by the K′ values being greater than K″, with the observed phenomenon being typical for dough samples. The extrusion process has significantly changed all considered rheological parameters, but the course of the changes was dependent on the processing conditions. The moisture content of the flour subjected to extrusion was the most important parameter influencing the mechanical properties of the dough. The increase of the moisture content from 15% to 30% resulted in an increase in mechanical parameters, i.e., complex viscosity, storage, and loss modulus. Significant differences were also observed between fine (<132 μm) and coarse flours (>132–200 μm), which can be attributed to differences in WBC (Table 3). Larger particles were prone to form doughs of higher complex viscosity and with stronger solid-like behavior, which resulted in higher values of WBC. The combination of both of these factors (temperature and particle size) resulted in further synergism that caused an increase of complex viscosity, which was mainly associated with an increase of storage modulus. Surprisingly, no effect of the processing temperature or its interaction with other parameters was observed. Nevertheless, gelatinization temperature of rice starch is highly dependent on the botanical origin [54], so possible exceptions from that observation may be expected. The overall extrusion process is an effective method to obtain preparations that in terms of dough properties, reassemble finely milled rice flour but with less pronounced solid-like characteristics.
Table 4.
The viscoelastic properties of dough.
3.6. Water Behavior
The molecular properties of protons in the gluten-free bread crumbs showed the presence of a free induction decay proton population (T1) and two Carr-Purcell-Meiboom-Gill proton populations (T21 and T22). The presence of three fractions of protons is typical for bread crumbs [32,55] and other bakery products with a relatively low moisture content [56]. The T1 relaxation time represents water molecules belonging to the bulk fraction, i.e., those that interact with other water molecules. The T21 represents the fraction of bound protons that can be linked with water molecules directly bound to the solid-body components of the crumb by ionic or hydrogen bonds, while the T22 can be mainly linked with the presence of starch protons in the system.
The speed of relaxation processes in a biological system is significantly influenced by the speed of molecular movements. Depending on the compounds present in the vicinity of water molecules, water can be bound by hydrogen or ionic bonds. Hydrogen bonding, however, allows water molecules to rotate freely around the bond, while ionic bonding of water molecules significantly limits its dynamics [57].
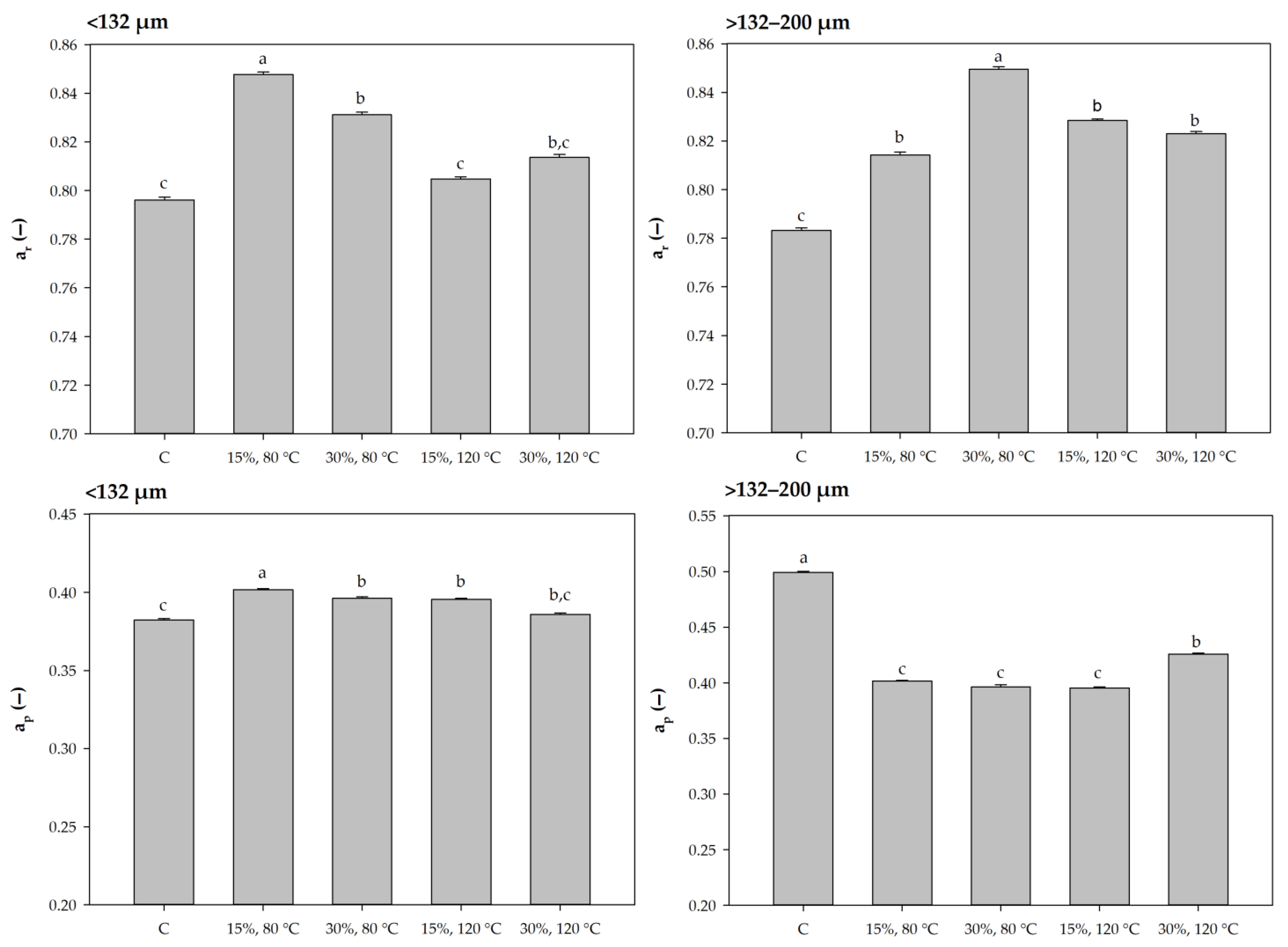
The relaxation times indicate that the spin-lattice relaxation times (T1) range from 85 to 110 ms (Table 5). The values of the control samples of the crumbs obtained from <132 μm and >132–200 μm granulation differ significantly. This means that the size of the granulation determines the quantitative relationship of both fractions of protons in the control systems. The changes in T1 values within the extruded samples were less pronounced, which corresponds to the changes in the rheological properties of the dough. The coarse control sample was characterized by a much shorter relaxation time among all samples, indicating an increase in the amount of bound to bulk water in that system. This phenomenon was accompanied by the increase of consistency parameters in power law equations. Similar but less pronounced changes could be observed for fine flour extruded and different moisture contents, as samples with higher K values had lower T1 relaxation time. Significant changes in the value of this parameter were found in most analyzed samples, so it can be concluded that the different quantitative relationships between the protons of the bound and bulk fractions in each sample do not depend on the extrusion parameters or granulation of the obtained fraction.
Table 5.
LF NMR relaxometry results.
Analysis of spin-spin relaxation times (T2) allowed the observation of the molecular dynamics of particles containing protons in the studied systems. The bound water fraction (T21) relaxes with a time of 0.5–3 ms, while the fraction of the starch protons (T22) relaxes with times of 10–20 ms (Table 5). The effect of granulation on changes in proton dynamics resulting from different extrusion parameters was observed. For small granulation (<132 μm), extrusion results in a significant decrease in the T21 value compared to the control sample and an increase in the T22 value in breads using these flours. Inverse relationships were noted for samples with larger granulation (>132–200 μm). This indicates that the size of the granulation influences water binding. An increase in the value of T21 and a simultaneous decrease in the value of T22 means inhibition of rotational movements of water molecules as a result of binding water to the matrix. On the other hand, the reverse relationship means that most of the bonds between the matrix and water are broken. This is manifested by an increase in the dynamics of rotational movements of bulk fraction molecules.
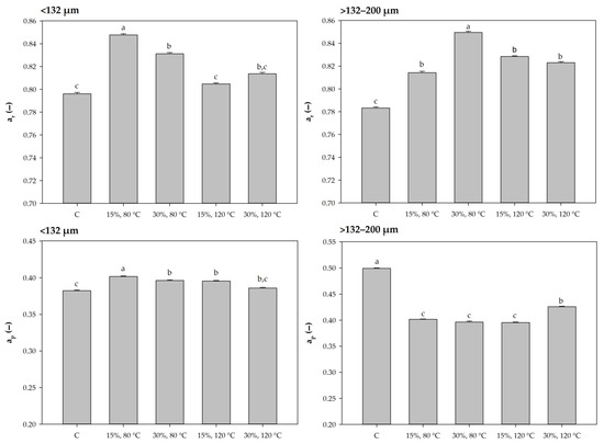
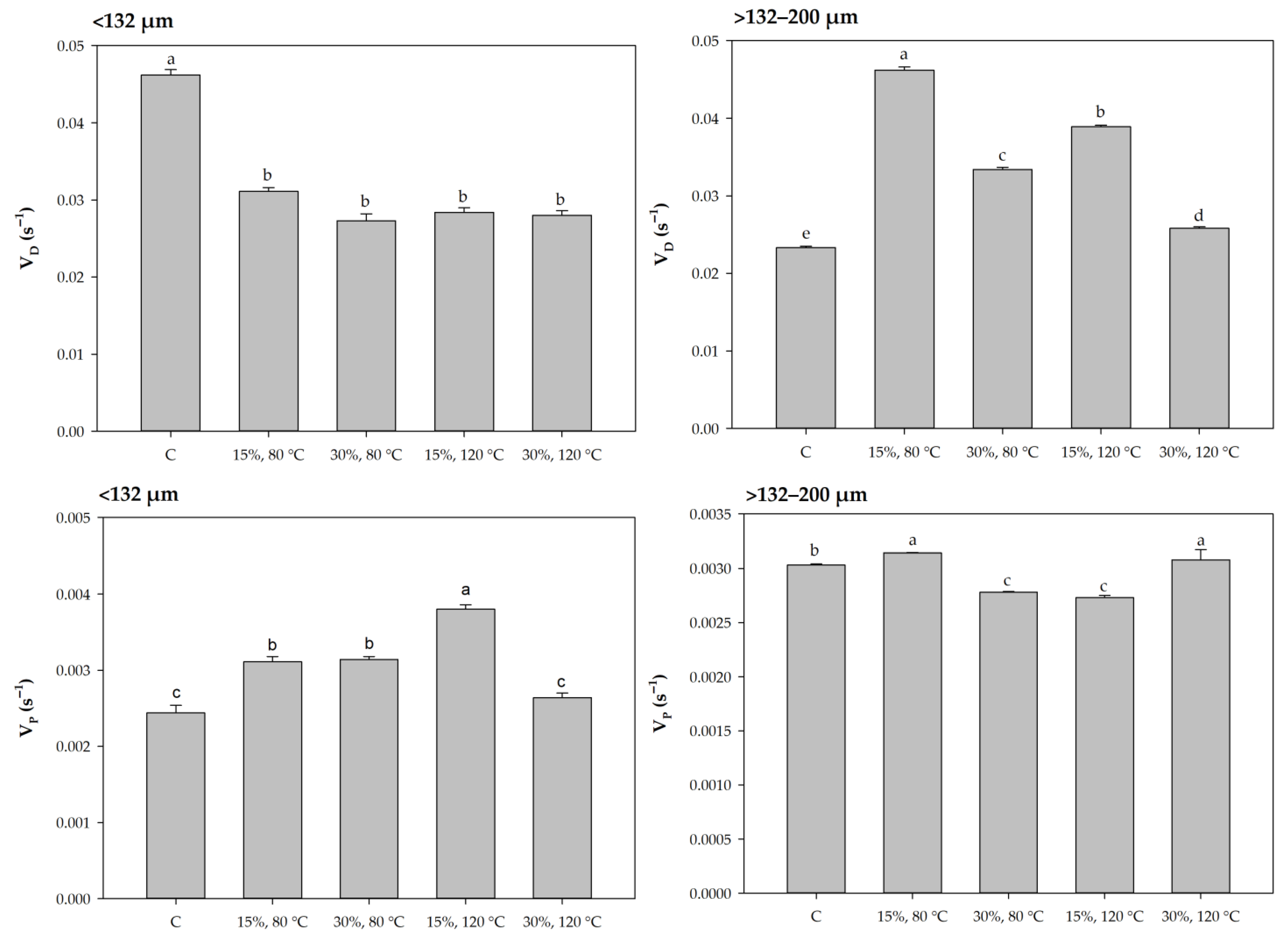
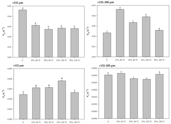
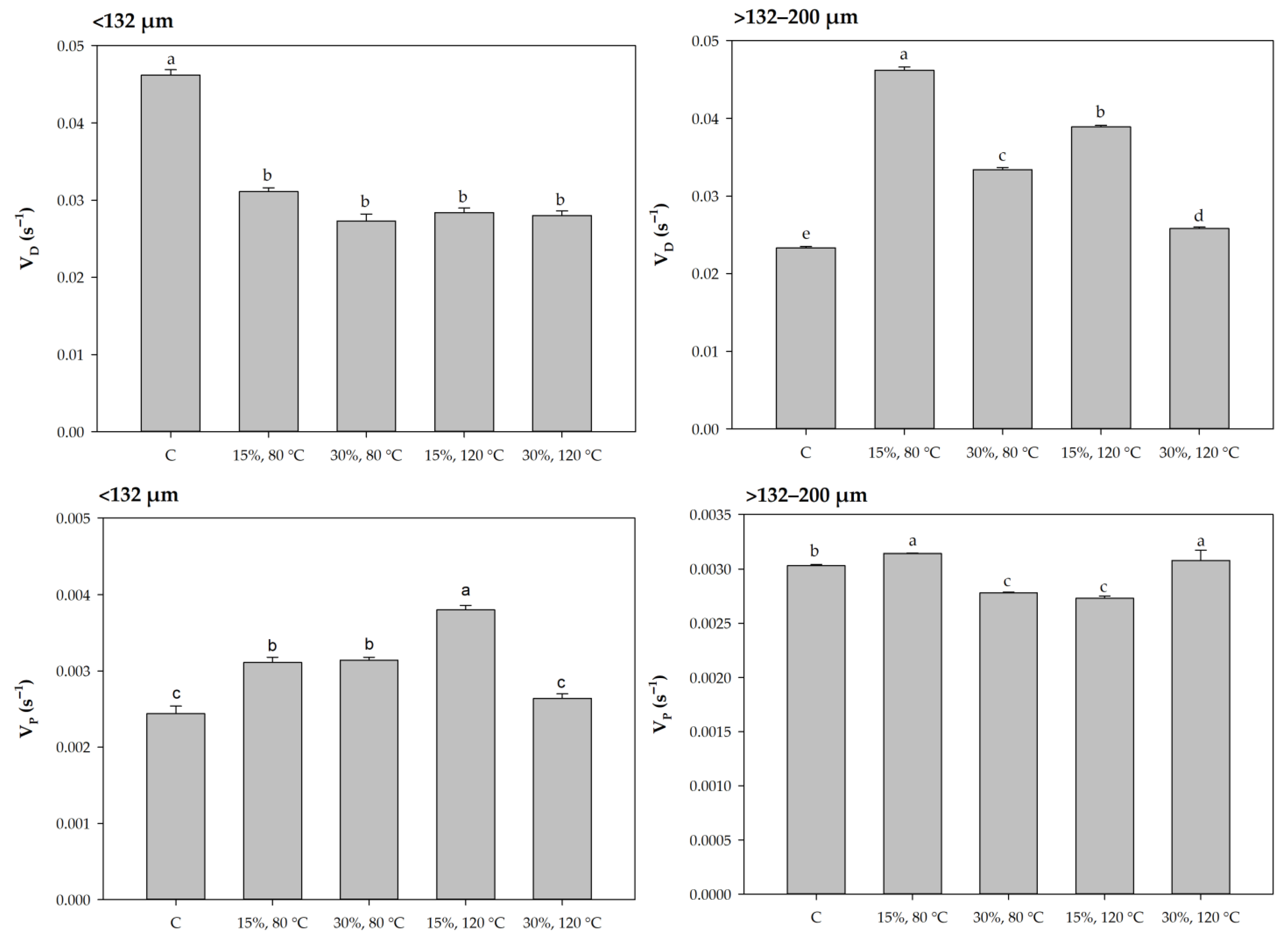
The translational motion of the water molecules was also analyzed by determining the rate of water translation inside the sample (VD) and the rate of the evacuation of water molecules from the surface (Figure 1). It was observed that, as in the case of spin-spin relaxation times (T21 and T22), changes in the values of the crumbs with the addition of extruded flours compared to the control samples were significantly different (Table 5). For granulation <132 µm, the extruded flour limits the water translation rate, while for samples >132–200 µm, the translation rate increases. The rate of water evacuation from the surface VP increases compared to the control for samples with granulation >132 µm (Figure 1). In the case of samples >132–200 µm, no significant changes were observed. Analysis of the equilibrium value of water activity showed an increase in the value of this parameter in the tests with the addition of flour after extrusion.

Figure 1.
Results of equilibrium value (ar) and limit water activity (ap), as well as transport rate (VD) and rate of the surface conduction (VP) of water.
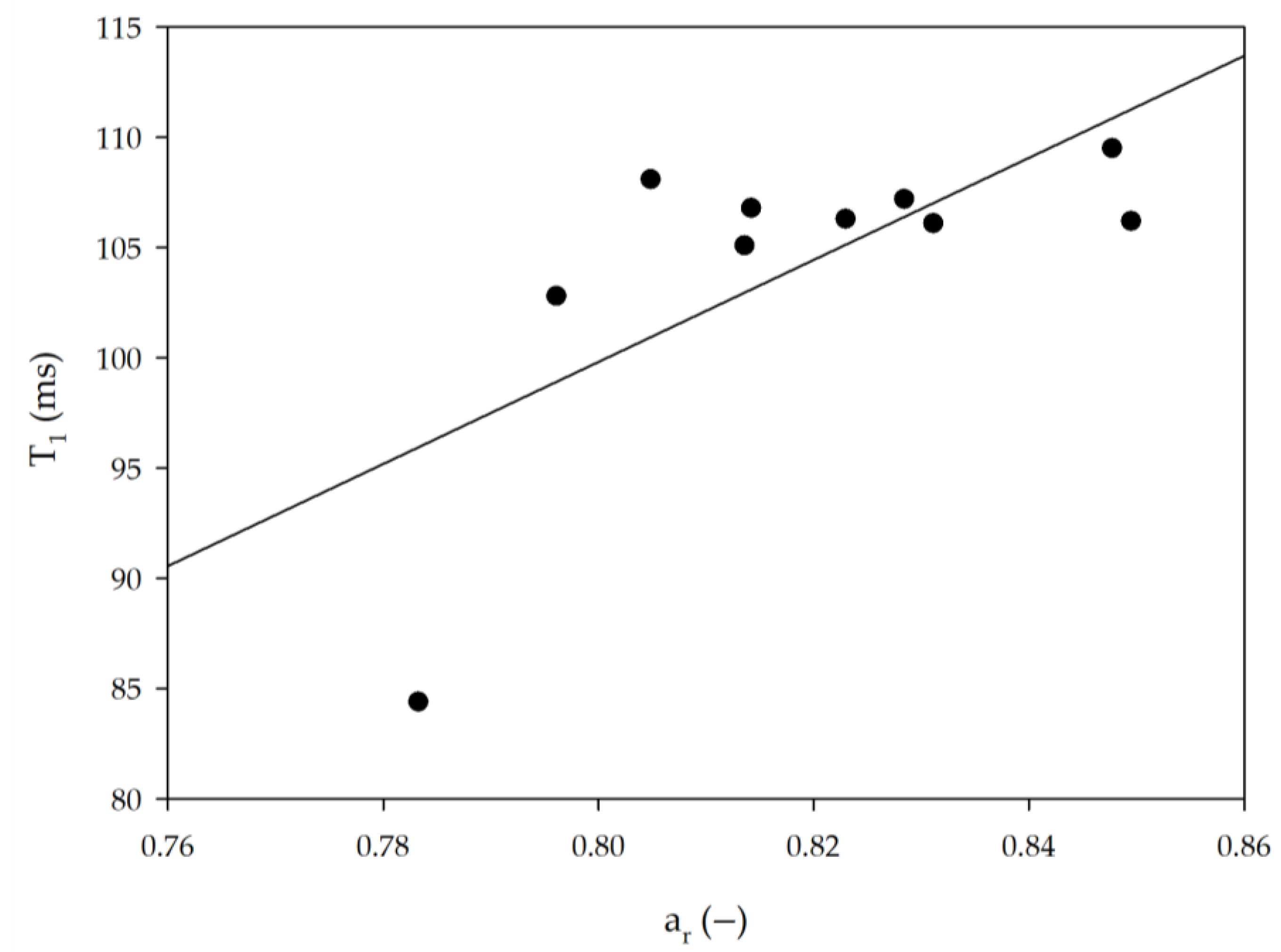
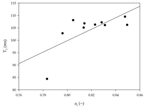
A linear relationship was found between the changes in the spin-lattice relaxation times (T1) and the equilibrium water activity (ar) (Figure 2). The increase in the value of ar is due to the increase in the amount of bulk water fraction in relation to the amount of bound water fraction, which is manifested by an increase in the value of the T1 relaxation time.
Figure 2.
The dependence between rate of equilibrium value of water activity (ar) and spin-lattice relaxation times (T1) in analyzed crumb samples.
Relaxation times spin-lattice T1 and spin-spin T2 as the macroscopic parameters reflected mutual relations between bulk and bound water in the system (T1) and its mobility (T2). On the basis of the values of the relaxation times T1 and T2, the mean values of the correlation times (τc) were calculated. For this purpose, the system of BPP (Bloembergen-Purcell-Pond) equations [58] describing the relationship between the macroscopic relaxation times T1 and T2 and the microscopic average correlation time τc was analytically solved due to the parameter τc. Mean correlation time τc allows for the determination of the possibility of free rotation of water molecules or their very limited dynamics in polymer networks [59]. The values of the spin-lattice T1 and spin-spin T2 relaxation times allowed the calculation of the mean correlation time (τc). It is a parameter that characterizes the rotational motion of water molecules. Since two fractions of protons were observed, the mean correlation time values for both fractions were determined (Table 5). Relationships between mean correlation time and intermediate water activity (ap) were found, which is the result of a two-exponential increase in water activity over time [60]. The higher the value of ap is greater, the greater the mean correlation time describing the bound fraction is. It means that the value of ap increases with the increase in the order of the bound water fraction. The directly proportional relationship between the mean correlation time of the bulk water fraction and the translation rate (VD) indicates the competitiveness of water molecular movements in the crumb. The longer the mean correlation time, the more ordered the arrangement of the water molecules. Thus, in the analyzed crumbs, the translational movement of water molecules is slower the greater the disorder of water molecules.
3.7. Texture and Volume of Gluten-Free Breads
The addition of extruded rice flour increased the hardness and chewiness compared to non-extruded rice flour (Table 6). It is well known that the higher the water content, the lower the gelatinization temperatures [61]. In the case of lower moisture content (e.g., 15%), a higher starch gelatinization temperature is needed; thus, it is possible that a longer time is required for the formation of starch gel. Moreover, the formation of the continuous gel phase (network) depresses the expansion of air bubbles, which leads to a denser and chewy crumb structure.
Table 6.
Texture parameters and specific volumes of breads analyzed.
A tendency to increase hardness and chewiness was observed especially when the moisture content was 15%, regardless of the temperature and the size of the particles. Martinez et al. [11] also found that the hardness of gluten-free bread formulated with 10% substituted extruded with the addition of 2%, 10%, and 15% moisture flour (at 110 and 140 °C) increased significantly. On the contrary, Jaffari et al. [14] observed that increasing die temperature and decreasing the feed moisture led to decreased hardness, cohesiveness, springiness, chewiness, and gumminess of extruded sorghum–wheat composite bread. As mentioned by Jafari [15], increasing the hardness of extruded rice bread could be related to the reduction of the integrity of the starch granules after the extrusion process. Higher feed moisture (30%) at the same die temperature (80 °C) and with the same particle size (<132 μm) resulted in bread with a 44% decrease in hardness. Low springiness and cohesiveness values are associated with an increased susceptibility of bread to crumbling [62]. No significant differences were found in the springiness and cohesiveness of gluten-free bread made with extruded flours compared to the control. Our results are consistent with previous findings by Martinez et al. [11], who analyzed gluten-free bread with extruded rice flour with the addition of HPMC (2%) and a different volume of water to obtain a constant consistency.
Specific volume values range from 127.41 to 201.34 mL/100 g and these results are similar to other research bases on rice flour [21] and lower than their wheat counterparts [63]. A decrease in the specific volume was observed when extruded flours were incorporated into the bread formula, except sample 15%, 80 °C, >132–200 μm, which gave a similar specific volume to that of the control (>132–200 μm). These results are consistent with Martinez [11], who analyzed specific volume of gluten-free bread with extruded rice flour with constant consistency. It could also be related to the fact that bread formulated with extruded flour decreases the fraction of pore [14]. The lower specific volumes of gluten-free bread were obtained using extruded flours characterized with a higher damaged starch (Table S1) and a higher water absorption capacity than intact starch granules. Thus, the specific loaf volume might decrease in bread made from extruded flour due to an insufficient amount of water. Interestingly, gluten-free bread formulated with non-extruded flour (<132 μm) has a significantly higher volume (31%) and lower hardness (27%) compared to the variant of gluten-free bread prepared with flour with a larger particle size (>132–200 μm). A possible explanation could be that finer flours (with increased surface area) exhibited a higher susceptibility to enzymatic hydrolysis and monosaccharides and their availability as an energy source for yeast during fermentation [64]. Thus, the possible greater yeast activity led to a better ability to generate CO2 and higher specific volume. De la Hera et al. [65] found that the coarser maize flours provided breads with more volume and less firmness than the finer flour breads. As a cause, authors suggested that the higher tendency of dough to retain the gas produced (stronger dough structure) during fermentation increased its specific volume.
On the other hand, in previous studies, it has been found that the lower specific volume of the composite bread containing extruded rice flour could be the result of the poor air retention capacity of the extruded sorghum-wheat composite dough matrix [14]. Lower dough viscosity formulated with extruded flour (see Section 3.3) prevents air bubbles entrapment in the dough, which results in lower specific volume. The differences in hardness are related to differences in the specific volume (r = −0.4, p < 0.05). Other authors also found that gluten-free bread with lower specific volumes had denser and more tightly packed crumb structures [66]. Furthermore, Araki et al. [64] highlighted a high negative correlation between damaged starch content and the specific volume of bread made from rice flour even with addition of wheat vital gluten. Interestingly, decreasing feed moisture and decreasing die temperature (15%, 80 °C, >132–200 μm) significantly increased the specific volume (167 mL/100 g). This relationship has been demonstrated only for the particle size >132–200 μm. According to the literature, the water absorption capacity of flours cannot fully explain the effect of particle size on bread volume. This sample of gluten-free bread made with extruded flour with the highest volume was those (15%, 80 °C, >132–200 μm) of the larger particle size and also with high water absorption capacity (5.37 g/g).
3.8. Statistical Consideration of the Extrusion Effect of Rice Flour on Analyzed Parameters of Dough and Final Products
In order to systematize the relationships between different parameters describing the physicochemical properties of bread with flour extrusion parameters, principal component analysis was employed. The two first components explain over 2/3 of the variance between samples (Figure 3). Both plain rice flour samples were distinguished, with a position on the PCA plot vastly different from any other sample. This observation confirms the significant influence of the extrusion process on the instigated properties of dough and bread. The parameters that had the largest influence on that matter were the pasting properties and WBC. Flour preparations subjected to extrusion could be classified into two subsets: the first consisting of observations with positive values of PC2 that include flours with higher moisture content and those with negative values of PC2 that include lower moisture samples. This differentiation cannot be directly related to any specific parameter that was determined during this study, but rather it is a complex effect of changes in bread texture and rheological properties of the dough.
Figure 3.
PCA of score plot (A) and loading plot (B) of physicochemical, mechanical, and molecular properties of analyzed rice flours.
4. Conclusions
Rice flour extrusion cooking altered the flour and model gluten-free bread properties, and the extent of these changes depends on the extrusion conditions. The addition of extruded flours subjected to high-intensity extrusion treatments produced doughs with a higher elastic modulus and consistency index. It was proved that the particle size of flour had a strong effect on the properties of gluten-free bread. The analysis of molecular properties and water activity showed that the extrusion process significantly affected the behavior of water in the crumb samples of the analyzed breads. The observed changes depended on the particle size of the flour used in the bread recipe. A significant reduction in the rotational motion of water molecules in flour samples with lower granulation was observed, which resulted in a decrease in the rate of water translation inside the sample. Reducing feed moisture (15%) at the same die temperature and particle size increased gluten-free bread hardness and chewiness. In comparison to the control sample, no significant differences in the springiness and cohesiveness of gluten-free bread made with extruded flours were observed.
In conclusion, extrusion and fractionation can be a promising approach to produce flours with different functional properties, without any chemical modification, useful in gluten-free breadmaking. With increasing awareness of health, future studies will be conducted to evaluate the effects of these flours on health risks resulting from the formation of potentially harmful compounds during baking process.
Supplementary Materials
The following supporting information can be downloaded at: https://www.mdpi.com/article/10.3390/app13064033/s1, Figure S1: Scanning electron microscopic images of flours: (A) C, <132 μm; (B) C, >132–200 μm; (C) 15%, 80 °C, <132 μm; (D) 15%, 80 °C, >132–200 μm; (E) 30%, 80 °C, <132 μm; (F) 30%, 80 °C, >132–200 μm; (G) 15%, 120 °C, <132 μm; (H) 15%, 120 °C, >132–200 μm; (I) 30%, 120 °C, <132 μm; (J) 30%, 120 °C, >132–200 μm. Mag. 20 K; Figure S2: The mechanical spectra of the rice flour dough samples. Table S1. Starch damage results, determined according to AACC Methods 76–31.
Author Contributions
Conceptualization, M.B.R.; methodology, H.M.B., Ł.M., J.L. and P.Ł.K.; formal analysis, M.B.R. and P.Ł.K.; investigation, M.B.R., H.M.B., Ł.M., J.L., P.K., J.K., P.J., A.O., M.R. and Ł.S.; data curation, M.B.R.; writing—original draft preparation, M.B.R., P.Ł.K., H.M.B. and J.L.; writing—review & editing, S.M.-S.; supervision, M.B.R. and S.M.-S.; project administration, M.B.R.; funding acquisition, M.B.R. All authors have read and agreed to the published version of the manuscript.
Funding
This research was funded by the National Science Center, Poland (Project No. 2017/27/N/NZ9/00905).
Institutional Review Board Statement
Not applicable.
Informed Consent Statement
Not applicable.
Data Availability Statement
The datasets generated during and/or analyzed during the current study are available from the corresponding author on reasonable request. Samples of bread are available from the corresponding author.
Conflicts of Interest
The authors declare no conflict of interest.
References
- Hager, A.-S.; Arendt, E.K. Influence of hydroxypropylmethylcellulose (HPMC), xanthan gum and their combination on loaf specific volume, crumb hardness and crumb grain characteristics of gluten-free breads based on rice, maize, teff and buckwheat. Food Hydrocoll. 2013, 32, 195–203. [Google Scholar] [CrossRef]
- Liu, X.; Mu, T.; Sun, H.; Zhang, M.; Chen, J.; Fauconnier, M.L. Influence of different hydrocolloids on dough thermo-mechanical properties and in vitro starch digestibility of gluten-free steamed bread based on potato flour. Food Chem. 2018, 239, 1064–1074. [Google Scholar] [CrossRef] [PubMed]
- Renzetti, S.; Rosell, C.M. Role of enzymes in improving the functionality of proteins in non-wheat dough systems. J. Cereal Sci. 2016, 67, 35–45. [Google Scholar] [CrossRef]
- Sarabhai, S.; Prabhasankar, P. Influence of whey protein concentrate and potato starch on rheological properties and baking performance of Indian water chestnut flour based gluten free cookie dough. LWT-Food Sci. Technol. 2015, 63, 1301–1308. [Google Scholar] [CrossRef]
- Vallons, K.J.R.; Ryan, L.A.M.; Arendt, E.K. Promoting structure formation by high pressure in gluten-free flours. LWT-Food Sci. Technol. 2011, 44, 1672–1680. [Google Scholar] [CrossRef]
- Marston, K.; Khouryieh, H.; Aramouni, F. Effect of heat treatment of sorghum flour on the functional properties of gluten-free bread and cake. LWT-Food Sci. Technol. 2016, 65, 637–644. [Google Scholar] [CrossRef]
- Gómez, M.; Martínez, M.M. Changing flour functionality through physical treatments for the production of gluten-free baking goods. J. Cereal Sci. 2016, 67, 68–74. [Google Scholar] [CrossRef]
- Gulzar, B.; Hussain, S.Z.; Naseer, B.; Naik, H.R. Enhancement of resistant starch content in modified rice flour using extrusion technology. Cereal Chem. 2021, 98, 634–641. [Google Scholar] [CrossRef]
- Das, A.B.; Bhattacharya, S. Characterization of the batter and gluten-free cake from extruded red rice flour. LWT 2019, 102, 197–204. [Google Scholar] [CrossRef]
- Ding, Q.-B.; Ainsworth, P.; Tucker, G.; Marson, H. The effect of extrusion conditions on the physicochemical properties and sensory characteristics of rice-based expanded snacks. J. Food Eng. 2005, 66, 283–289. [Google Scholar] [CrossRef]
- Martínez, M.M.; Oliete, B.; Román, L.; Gómez, M. Influence of the Addition of Extruded Flours on Rice Bread Quality. J. Food Qual. 2014, 37, 83–94. [Google Scholar] [CrossRef]
- El-Dash, A.A. Molecular structure of gluten and viscoelastic properties of dough: A new concept. In The First Brazilian Congress Proteins; Editoria da Unicamp: Campinas, Brazil, 1991; pp. 513–530. [Google Scholar]
- Martínez, M.; Oliete, B.; Gómez, M. Effect of the addition of extruded wheat flours on dough rheology and bread quality. J. Cereal Sci. 2013, 57, 424–429. [Google Scholar] [CrossRef]
- Jafari, M.; Koocheki, A.; Milani, E. Physicochemical and sensory properties of extruded sorghum–wheat composite bread. J. Food Meas. Charact. 2018, 12, 370–377. [Google Scholar] [CrossRef]
- Jafari, M.; Koocheki, A.; Milani, E. Effect of extrusion cooking of sorghum flour on rheology, morphology and heating rate of sorghum–wheat composite dough. J. Cereal Sci. 2017, 77, 49–57. [Google Scholar] [CrossRef]
- Patil, S.S.; Rudra, S.G.; Varghese, E.; Kaur, C. Effect of extruded finger millet (Eleusine coracan L.) on textural properties and sensory acceptability of composite bread. Food Biosci. 2016, 14, 62–69. [Google Scholar] [CrossRef]
- Sun, H.; Ju, Q.; Ma, J.; Chen, J.; Li, Y.; Yuan, Y.; Hu, Y.; Fujita, K.; Luan, G. The effects of extruded corn flour on rheological properties of wheat-based composite dough and the bread quality. Food Sci. Nutr. 2019, 7, 2977–2985. [Google Scholar] [CrossRef]
- Ma, J.; Kaori, F.; Ma, L.; Gao, M.; Dong, C.; Wang, J.; Luan, G. The effects of extruded black rice flour on rheological and structural properties of wheat-based dough and bread quality. Int. J. Food Sci. Technol. 2019, 54, 1729–1740. [Google Scholar] [CrossRef]
- de la Hera, E.; Rosell, C.M.; Gomez, M. Effect of water content and flour particle size on gluten-free bread quality and digestibility. Food Chem. 2014, 151, 526–531. [Google Scholar] [CrossRef]
- Wu, T.; Wang, L.; Li, Y.; Qian, H.; Liu, L.; Tong, L.; Zhou, X.; Wang, L.; Zhou, S. Effect of milling methods on the properties of rice flour and gluten-free rice bread. LWT 2019, 108, 137–144. [Google Scholar] [CrossRef]
- Pedrosa Silva Clerici, M.T.; Airoldi, C.; El-Dash, A.A. Production of acidic extruded rice flour and its influence on the qualities of gluten-free bread. LWT-Food Sci. Technol. 2009, 42, 618–623. [Google Scholar] [CrossRef]
- Sánchez, H.; Gonzalez, R.; Osella, C.; Torres, R.; Torre, M. Elaboration of bread without gluten from extruded rice flour. Cienc. Tecnol. Aliment. 2008, 6, 109–116. [Google Scholar] [CrossRef]
- Himashree, P.; Sengar, A.S.; Sunil, C.K. Food thickening agents: Sources, chemistry, properties and applications—A review. Int. J. Gastron. Food Sci. 2022, 27, 100468. [Google Scholar] [CrossRef]
- Jan, S.; Jan, K.; Saxena, D. Flow property measurement of rice flour- A Review. MATEC Web Conf. 2016, 57, 04004. [Google Scholar] [CrossRef]
- Araki, E.; Ashida, K.; Aoki, N.; Takahashi, M.; Hamada, S. Characteristics of Rice Flour Suitable for the Production of Rice Flour Bread Containing Gluten and Methods of Reducing the Cost of Producing Rice Flour. Jpn. Agric. Res. Q. JARQ 2016, 50, 23–31. [Google Scholar] [CrossRef]
- ISO 20483:2013; International Organization for Standardization. Cereals and Pulses—Determination of the Nitrogen Content and Calculation of the Crude Protein Content—Kjeldahl Method. ISO: Geneva, Switzerland, 2013.
- AACC. Ash in Farina and Semolina. AACC Int. Approv. Methods 2009. [Google Scholar] [CrossRef]
- Makowska, A.; Szwengiel, A.; Kubiak, P.; Tomaszewska-Gras, J. Characteristics and structure of starch isolated from triticale. Starch-Stärke 2014, 66, 895–902. [Google Scholar] [CrossRef]
- Jeżowski, P.; Polcyn, K.; Tomkowiak, A.; Rybicka, I.; Radzikowska, D. Technological and antioxidant properties of proteins obtained from waste potato juice. Open Life Sci. 2020, 15, 379–388. [Google Scholar] [CrossRef] [PubMed]
- Kowalczewski, P.; Walkowiak, K.; Masewicz, Ł.; Bartczak, O.; Lewandowicz, J.; Kubiak, P.; Baranowska, H. Gluten-Free Bread with Cricket Powder—Mechanical Properties and Molecular Water Dynamics in Dough and Ready Product. Foods 2019, 8, 240. [Google Scholar] [CrossRef]
- AACC. AACCI 10-05.01 Guidelines for Measurement of Volume by Rapeseed Displacement. In AACC International Approved Methods; AACC International: Washington, DC, USA, 2009. [Google Scholar]
- Kowalczewski, P.Ł.; Walkowiak, K.; Masewicz, Ł.; Smarzyński, K.; Thanh-Blicharz, J.L.; Kačániová, M.; Baranowska, H.M. LF NMR spectroscopy analysis of water dynamics and texture of gluten-free bread with cricket powder during storage. Food Sci. Technol. Int. 2021, 27, 776–785. [Google Scholar] [CrossRef]
- Cichocki, W.; Czerniak, A.; Smarzyński, K.; Jeżowski, P.; Kmiecik, D.; Baranowska, H.M.; Walkowiak, K.; Ostrowska-Ligęza, E.; Różańska, M.B.; Lesiecki, M.; et al. Physicochemical and Morphological Study of the Saccharomyces cerevisiae Cell-Based Microcapsules with Novel Cold-Pressed Oil Blends. Appl. Sci. 2022, 12, 6577. [Google Scholar] [CrossRef]
- Brosio, E.; Gianferri, R.R. An analytical tool in foods characterization and traceability. In Basic NMR in Foods Characterization; Research Signpost: Kerala, India, 2009; pp. 9–37. [Google Scholar]
- Baranowska, H.M. Water molecular properties in forcemeats and finely ground sausages containing plant fat. Food Biophys. 2011, 6, 133–137. [Google Scholar] [CrossRef]
- Małyszek, Z.; Lewandowicz, J.; Le Thanh-Blicharz, J.; Walkowiak, K.; Kowalczewski, P.Ł.; Baranowska, H.M. Water Behavior of Emulsions Stabilized by Modified Potato Starch. Polymers 2021, 13, 2200. [Google Scholar] [CrossRef]
- Kim, J.-M.; Shin, M. Effects of particle size distributions of rice flour on the quality of gluten-free rice cupcakes. LWT-Food Sci. Technol. 2014, 59, 526–532. [Google Scholar] [CrossRef]
- Wang, B.; Dong, Y.; Fang, Y.; Gao, W.; Kang, X.; Liu, P.; Yan, S.; Cui, B.; Abd El-Aty, A.M. Effects of different moisture contents on the structure and properties of corn starch during extrusion. Food Chem. 2022, 368, 130804. [Google Scholar] [CrossRef] [PubMed]
- Moraru, C.I.; Kokini, J.L. Nucleation and Expansion During Extrusion and Microwave Heating of Cereal Foods. Compr. Rev. Food Sci. Food Saf. 2003, 2, 147–165. [Google Scholar] [CrossRef]
- Wang, B.; Yu, B.; Yuan, C.; Guo, L.; Liu, P.; Gao, W.; Li, D.; Cui, B.; Abd El-Aty, A.M. An overview on plasticized biodegradable corn starch-based films: The physicochemical properties and gelatinization process. Crit. Rev. Food Sci. Nutr. 2022, 62, 2569–2579. [Google Scholar] [CrossRef]
- Hossen, M.S.; Sotome, I.; Takenaka, M.; Isobe, S.; Nakajima, M.; Okadome, H. Effect of Particle Size of Different Crop Starches and Their Flours on Pasting Properties. Jpn. J. Food Eng. 2011, 12, 29–35. [Google Scholar] [CrossRef]
- Makowska, A.; Kubiak, P.; Bialas, W.; Lewandowicz, G. Effect of urea, sodium nitrate and ethylene glycol addition on the rheological properties of corn starch pastes. Polimery 2015, 60, 343–350. [Google Scholar] [CrossRef]
- Chiang, B.Y.; Johnson, J.A. Gelatinization of starch in extruded products. Cereal Chem. 1977, 54, 436–443. [Google Scholar]
- Haase, N.U.; Mintus, T.; Weipert, D. Viscosity Measurements of Potato Starch Paste with the Rapid Visco Analyzer. Starch-Stärke 1995, 47, 123–126. [Google Scholar] [CrossRef]
- Leonel, M.; de Freitas, T.S.; Mischan, M.M. Physical characteristics of extruded cassava starch. Sci. Agric. 2009, 66, 486–493. [Google Scholar] [CrossRef]
- Fu, L.; Tian, J.; Sun, C.; Li, C. RVA and Farinograph Properties Study on Blends of Resistant Starch and Wheat Flour. Agric. Sci. China 2008, 7, 812–822. [Google Scholar] [CrossRef]
- Doublier, J.L.; Colonna, P.; Mercier, C. Extrusion cooking and drum drying of wheat starch. II. Rheological characterization of starch pastes. Cereal Chem. 1986, 63, 240–246. [Google Scholar]
- Mercier, C.; Feillet, P. Modification of carbohydrate components by extrusion-cooking of cereal products; modification des constituants glucidiques par cuisson-extrusion des produits cerealiers. Cereal Chem. 1975, 52, 283–297. [Google Scholar]
- Shahzad, S.A.; Hussain, S.; Mohamed, A.A.; Alamri, M.S.; Ibraheem, M.A.; Qasem, A.A.A. Effect of Hydrocolloid Gums on the Pasting, Thermal, Rheological and Textural Properties of Chickpea Starch. Foods 2019, 8, 687. [Google Scholar] [CrossRef]
- Barak, S.; Mudgil, D.; Khatkar, B.S. Effect of flour particle size and damaged starch on the quality of cookies. J. Food Sci. Technol. 2014, 51, 1342–1348. [Google Scholar] [CrossRef]
- Kadan, R.S.; Bryant, R.J.; Pepperman, A.B. Functional Properties of Extruded Rice Flours. J. Food Sci. 2003, 68, 1669–1672. [Google Scholar] [CrossRef]
- Purhagen, J.K.; Sjöö, M.E.; Eliasson, A.-C. The anti-staling effect of pre-gelatinized flour and emulsifier in gluten-free bread. Eur. Food Res. Technol. 2012, 235, 265–276. [Google Scholar] [CrossRef]
- Tabara, A.; Nakagawa, M.; Ushijima, Y.; Matsunaga, K.; Seguchi, M. Effects of heat treatment on oil-binding ability of rice flour. Biosci. Biotechnol. Biochem. 2015, 79, 1629–1634. [Google Scholar] [CrossRef] [PubMed]
- Lewandowicz, J.; Baranowska, H.M.; Le Thanh-Blicharz, J.; Makowska, A. Water binding capacity in waxy and normal rice starch pastes. In Proceedings of the 11th International Conference on Polysaccharides-Glycoscience, Prague, Czech Republic, 7–9 October 2015; Řápková, R., Čopíková, J., Šárka, E., Eds.; 2015; pp. 69–72. [Google Scholar]
- Łopusiewicz, Ł.; Kowalczewski, P.Ł.; Baranowska, H.M.; Masewicz, Ł.; Amarowicz, R.; Krupa-Kozak, U. Effect of Flaxseed Oil Cake Extract on the Microbial Quality, Texture and Shelf Life of Gluten-Free Bread. Foods 2023, 12, 595. [Google Scholar] [CrossRef] [PubMed]
- Smarzyński, K.; Sarbak, P.; Kowalczewski, P.Ł.; Różańska, M.B.; Rybicka, I.; Polanowska, K.; Fedko, M.; Kmiecik, D.; Masewicz, Ł.; Nowicki, M.; et al. Low-Field NMR Study of Shortcake Biscuits with Cricket Powder, and Their Nutritional and Physical Characteristics. Molecules 2021, 26, 5417. [Google Scholar] [CrossRef] [PubMed]
- Kowalczewski, P.Ł.; Siejak, P.; Jarzębski, M.; Jakubowicz, J.; Jeżowski, P.; Walkowiak, K.; Smarzyński, K.; Ostrowska-Ligęza, E.; Baranowska, H.M. Comparison of technological and physicochemical properties of cricket powders of different origin. J. Insects Food Feed. 2022, 1–10. [Google Scholar] [CrossRef]
- Bloembergen, N.; Purcell, E.M.; Pound, R.V. Relaxation Effects in Nuclear Magnetic Resonance Absorption. Phys. Rev. 1948, 73, 679–712. [Google Scholar] [CrossRef]
- Stangierski, J.; Baranowska, H.M. The Influence of Heating and Cooling Process on the Water Binding in Transglutaminase-Modified Chicken Protein Preparation, Assessed Using Low-Field NMR. Food Bioprocess Technol. 2015, 8, 2359–2367. [Google Scholar] [CrossRef]
- Masewicz, L.; Lewandowicz, J.; Le Thanh-Blicharz, J.; Kempka, M.; Baranowska, H.M. Diffusion of Water in Potato Starch Pastes. In Proceedings of the 12th International Conference on Polysaccharides-Glycoscience, Prague, Czech Republic, 19–21 October 2016; pp. 193–195. [Google Scholar]
- Biliaderis, C.G.; Page, C.M.; Maurice, T.J.; Juliano, B.O. Thermal characterization of rice starches: A polymeric approach to phase transitions of granular starch. J. Agric. Food Chem. 1986, 34, 6–14. [Google Scholar] [CrossRef]
- Onyango, C.; Mutungi, C.; Unbehend, G.; Lindhauer, M.G. Modification of gluten-free sorghum batter and bread using maize, potato, cassava or rice starch. LWT-Food Sci. Technol. 2011, 44, 681–686. [Google Scholar] [CrossRef]
- Pedrosa Silva Clerici, M.T.; El-Dash, A.A. Farinha extrusada de arroz como substituto de glúten na produção de pão de arroz. Arch. Latinoam. Nutr. 2006, 56, 288–298. [Google Scholar]
- Araki, E.; Ikeda, T.M.; Ashida, K.; Takata, K.; Yanaka, M.; Iida, S. Effects of Rice Flour Properties on Specific Loaf Volume of One-loaf Bread Made from Rice Flour with Wheat Vital Gluten. Food Sci. Technol. Res. 2009, 15, 439–448. [Google Scholar] [CrossRef]
- de la Hera, E.; Talegón, M.; Caballero, P.; Gómez, M. Influence of maize flour particle size on gluten-free breadmaking. J. Sci. Food Agric. 2013, 93, 924–932. [Google Scholar] [CrossRef]
- Sabanis, D.; Lebesi, D.; Tzia, C. Effect of dietary fibre enrichment on selected properties of gluten-free bread. LWT-Food Sci. Technol. 2009, 42, 1380–1389. [Google Scholar] [CrossRef]
Disclaimer/Publisher’s Note: The statements, opinions and data contained in all publications are solely those of the individual author(s) and contributor(s) and not of MDPI and/or the editor(s). MDPI and/or the editor(s) disclaim responsibility for any injury to people or property resulting from any ideas, methods, instructions or products referred to in the content. |
© 2023 by the authors. Licensee MDPI, Basel, Switzerland. This article is an open access article distributed under the terms and conditions of the Creative Commons Attribution (CC BY) license (https://creativecommons.org/licenses/by/4.0/).



