Abstract
Hydro-pneumatic suspension (HPS) systems are increasingly being implemented in commercial vehicles and various industrial equipment, which is mainly attributed to the integration of adaptable nonlinear pneumatic stiffness and hydraulic damping properties. The integrated HPS design with a shared gas-oil chamber, however, leads to gas-oil emulsion flow within the suspension chambers, which intricately affects the internal and external properties of the HPS, especially under variations in temperature and excitation frequency. This study experimentally and analytically investigated the temperature- and frequency-dependent properties of the hydro-pneumatic suspension with the gas-oil emulsion. Laboratory experiments were performed under three different near-constant temperatures (30, 40, and 50 °C) in the 0.5–8 Hz frequency range. An analytical model of the HPS was formulated considering the effects of temperature on internal fluid properties, gas-oil emulsion flow between the coupled chambers, the dynamic seal friction, and polytropic change in the gas state. The internal parameters, including the gas volume fraction, the discharge coefficient of the emulsion, and the dynamic friction components, as well as the external stiffness and damping characteristics, were determined. The relationships between these properties and the system temperature, velocity, and excitation frequency were further investigated. The simulated responses obtained under different excitations showed reasonably good agreement with the experimental results of the HPS. The results suggested that increased temperature yielded greater equivalent stiffness and comparable damping properties of the system. The gas volume fraction, discharge coefficient, and magnitude of seal friction generally tended to increase with increasing temperature. Increased excitation frequency led to greater hysteresis in hydraulic damping force and seal friction, and reduced seal friction magnitude and Stribeck effect.
1. Introduction
Hydro-pneumatic suspension (HPS) systems, owing to their superior robustness and broad-frequency-range vibration attenuation, are increasingly being implemented in various areas, such as agricultural, construction, and transportation industries, as well as in applications such as aircraft landing gears, railway suspensions, sea-wave energy converters, etc. [1,2,3,4,5]. The integration of nonlinear pneumatic stiffness and hydraulic damping properties could provide enhanced attenuation of translational vibrations and rotational motions under large payload variations. The various cross-interconnections [6,7,8] and active control interventions [9,10,11] could further improve HPS systems’ performances. The structural and functional designs of HPS systems generally comprise a number of gas and oil chambers [12,13,14]. The used nitrogen or helium gas may be separated from hydraulic oil by a rigid floating piston [6,15] or a flexible rubber diaphragm [12], or the gas and oil could be contained within the same chamber [16,17,18]. The HPS with gas-oil mixed chambers can provide a simpler and lower-cost alternative, which could also yield greater robustness [19]. However, the shared chamber introduces gas entrapment within the oil and may lead to time-dependent variations in internal fluid properties [20,21], dynamic seal friction [22], and the external stiffness and damping properties of the HPS system [15,23]. Variations in the system temperature and excitation frequency would contribute to additional nonlinearities in both gas-oil emulsion formulation and coupled properties.
In this study, the nonlinear internal/external properties of HPS systems and their temperature/frequency dependencies are thoroughly investigated in both an experimental and analytical manner. The relationships between gas-oil emulsion flows, gas state, and dynamic seal friction are derived by considering the variations in temperature and external excitation (Section 2). The experimental data obtained under three different near-constant temperatures (30, 40, and 50 °C) in the 0.5–8 Hz frequency range are used in order to identify the temperature and frequency dependencies of the HPS (Section 3). The effects of temperature, velocity, and excitation frequency on HPS characteristics are further analyzed and discussed (Section 4). Section 5 concludes this study.
2. Related Work
The reported studies are mainly limited to the effects of system temperature on external stiffness and hydraulic damping properties, and the nonlinearities introduced by temperature and frequency variations are generally overlooked. Seo et al. [24] investigated the enhanced effects of temperature on the total HPS force, at the range of 0 to 40 °C under the excitation frequency of 0.5 Hz. Yang et al. [13] used an empirical model to consider the linear variation of fluid density. The pressure drop across the bleed orifice coupling different chambers was shown to be affected by the temperature in the range of 20 to 75 °C. Els and Grobbelaar [15] implemented the Benedict–Webb–Rubin real gas state equation. A heat transfer model was developed using the lumped capacitance method while introducing a thermal time constant. The measured gas pressure after a step displacement input was used to identify the heat convection of gas. Van der Westhuizen et al. [25] further compared different gas–temperature relationships using the first law of thermodynamics (or energy equation), considering the heat transfer of the gas chamber; however, the obtained results underestimated the hysteresis of the gas pressure during HPS operation.
Hao and Jaeccheon [26] also implemented an adiabatic gas process for the excitation frequency above 1 Hz, but its effect on fluid pressure was not investigated. Huang et al. [27,28] proposed a lumped parameter thermodynamic model considering the thermal capacity of gas, oil, and strut body. The temperature was shown to increase at different rates at different sections of the HPS. Jiao et al. [29] proposed a statistical reliability model of a hydro-pneumatic suspension with separated gas and oil, considering the effect of temperature, which was mainly used to investigate the robustness under gas leakage and seal failure.
It has also been reported that increased oil temperature could decrease the fluid density and thus decrease the maximum damping force [30]. The fluid bulk modulus and fluid viscosity would also decrease with increased temperature [31]. The hysteresis of pneumatic spring caused by heat transfer was reported to be more significant at lower excitation frequency [32,33]. Dynamic hysteresis can be usually described using Bouc–Wen and phenomelogical models. Hassani et al. [34] reported that variations in the velocity and frequency range of excitation could lead to complex asymmetric hysteresis behavior. Moreover, variations in the gas fraction and temperature of HPS systems contribute to significant variations in fluid bulk modulus, while Kim et al. [35] revealed that the dissolution of the entrained gas in the oil could be neglected if the external excitation took place within a time period below a few minutes.
3. Materials and Methods
The considered hydro-pneumatic suspension (HPS) system design in this study comprised only two chambers coupled via bleed orifices and check valves, as illustrated in Figure 1a. Wear-resistant composite-material guiding rings were placed between the cylinder and the piston (Figure 1b) and between the cylinder and the rod (Figure 1c), in order to reduce structural wear during operation and enhance the robustness and service life. Additional high-pressure fluid seals and dust seals, as seen in Figure 1c, were implemented only between the cylinder and the rod, for a simplified and low-cost design. The leakage flow between the two chambers should thus be considered, due to the clearance between the guiding rings and the cylinder. Before operation, the piston-side chamber was charged with both pressurized nitrogen gas and hydraulic oil, while the annular rod-side chamber was only filled with hydraulic oil.
Figure 1.
Mechanism of the integrated hydro-pneumatic suspension system (a) including the guiding rings (b) and rubber seals (c).
During operation, dynamic excitation motions would lead to the entrapment of gas within the oil, which results in the gas-oil emulsion in both chambers, as seen in Figure 1a. Therefore, the physical mass density and effective bulk modulus of the generated gas-oil emulsion would be reduced compared with hydraulic oil. Nonlinear relationships are dependent on the excitation frequency and strut temperature, as well as the volume fraction of the entrapped gas [31,36,37]. The average gas volume fractions of the emulsion within the two chambers might not be identical. The rates of fluid flow between the piston-side chamber and the rod-side chamber are related to the pressures within the two chambers, as well as velocity and the properties of the gas-oil emulsion, which are strongly affected by the system temperature and excitation frequency. The stiffness of the HPS prototype is mainly related to the pressure and volume of the gas and emulsion fluid. Variations in the pressure difference between the two chambers and the seal friction force at different velocities determine the HPS damping property. These are further affected by the temperature and excitation frequency in a nonlinear manner.
In order to investigate the nonlinear function between HPS characteristics and the design parameters, fluid properties, and external excitation, a model of the HPS system was developed. The additional nonlinearities due to variations in system temperature and excitation frequency, as well as the asymmetric seal friction, were also further formulated in this study. For the integrated design, the total force of the HPS can be intuitively expressed, using the force balance, as follows:
where and are the pressures of fluid within the piston- and rod-side chambers, respectively; and are the effective areas of the piston and the rod, respectively, as shown in Figure 1a; and is the dynamic friction force.
Due to the ‘Y’ shape design of fluid and dust seals, as seen in Figure 1c, the dynamic seal friction exhibits notable asymmetric hysteresis behavior during compression (denoted by ‘hc’) and rebound (denoted by ‘hr’) stroke [34]. When the system velocity exceeds the hysteresis transition velocity , which could be or for different suspension strokes, as seen in Figure 2, the friction force can be expressed as follows:
where and are displacement and velocity of the external excitation, respectively; is the Coulomb friction component; is the stiction force; is the Stribeck coefficient; is the viscous friction coefficient; and represents the sign function. It is worth noting that these parameters would vary during compression and rebound stroke and with different system temperatures and excitation frequencies.
Figure 2.
Dynamic seal friction model considering Stribeck, hysteresis, and asymmetric behavior.
The friction force within the linear transition band, or for ‘compression’ and ‘extension’ strokes, respectively, as seen in Figure 2 (the arrows indicate the directions of strut motion), describes the asymmetric hysteresis effect as the direction of velocity changes () and can be expressed as follows:
When the HPS maintains the same direction of velocity within the linear transition band ( or ), the friction force is obtained from Equation (2). As illustrated in Figure 2, the dynamic seal friction force during the periodic excitations of the HPS thus exhibits obvious stick–slip, Stribeck effect, hysteresis, and asymmetric behavior.
Considering the effect of system temperature and assuming a polytropic gas process for the considered excitation frequency, can be obtained from the temperature variation, the initial gas pressure and volume , the instantaneous gas volume , and the temperature effect, such that
where is the polytropic exponent; and are the charged volume of the nitrogen gas and hydraulic oil, respectively; is the temperature variation; and is the thermal expansion coefficient, which is 0.00107/°C for the selected silicon oil. Applying the volume continuity equation with gas–oil emulsion compressibility, the instantaneous gas volume in the piston-side chamber is derived in the form of
where , , and are the rates of fluid flow through the bleed orifices, the check valves, and the piston–cylinder clearance, respectively; and and are the instantaneous volume and effective bulk modulus of the gas–oil emulsion, respectively.
Due to variations in pressure and temperature, the mass density of the emulsion within each chamber may be different, and for the continuity within the rod-side chamber, the mass density of the fluid flow between the two chambers should also be considered. The pressure of the fluid in the rod-side chamber, , is obtained from the volume continuity equation for the rod-side chamber of the HPS, which is derived as follows:
where and are the instantaneous mass densities of the emulsion within the piston- and rod-side chambers, respectively; and and are the volume and effective bulk modulus of emulsion within the rod-side chamber, respectively. The volumes of the emulsion in the two chambers of the HPS can be obtained from
where and is the initial volume of the emulsion within the piston- or rod-side chamber, respectively.
Moreover, the physical mass density and the effective bulk modulus of gas-oil emulsions are nonlinearly related to the gas volume fraction in hydraulic oil, the instantaneous fluid pressure, and the system temperature. The gas volume fraction of the gas-oil emulsion is defined as the ratio of the entrapped gas volume to the hydraulic oil volume (). It could vary with the fluid pressure since both the entrapped gas and hydraulic oil are compressible. The entrapped gas volume and hydraulic oil volume of the gas-oil emulsion within chamber i can be derived as follows:
where and are the initial volumes of the entrapped gas and hydraulic oil within the emulsion, respectively; and is the bulk modulus of pure hydraulic oil, which is affected by the HPS temperature. The effect of the temperature on the fluid bulk modulus was assumed to be linear in this study. The instantaneous gas volume fractions of the emulsions in the piston- and rod-side chambers can thus be obtained from
where () is the initial gas fraction of the emulsion in chamber i, is the bulk modulus of hydraulic oil at room temperature, and is the thermal coefficient of hydraulic oil, which is approximately 8 Mpa/°C referring to [35].
Assuming the negligible mass of the entrapped gas compared with that of the hydraulic oil, the mass density of the emulsion in each chamber () can thus be obtained, considering the temperature variation, as follows:
where is the mass density of hydraulic oil, and is the mass density at room temperature of approximately 22 Celsius degrees.
Similarly, the effective bulk modulus of the gas-oil emulsion within each chamber of the HPS () also varies with the pressure and temperature parameters. Considering the compressibility of both the entrapped gas () and hydraulic oil (), the effective bulk modulus of the emulsion is formulated as follows:
The flow rates through bleed orifices (), check valves (), and clearance leakage () are derived by implementing the classical turbulent and laminar flow theory [2,6], using the parameters of (, , ) and (, , ) as the discharge coefficient, the opening area, and the number of bleed orifices and check valves, respectively. The flow rates are derived as linear or quadratic relationships of the pressure difference between the piston-side and rod-side chambers, in the following form:
where is considered as the average mass density of the emulsions within the two strut chambers.
4. Laboratory Experiments and Parameter Identification
4.1. Laboratory Experiments
In order to observe the dynamic stiffness, damping, fluid, and seal friction properties of this HPS system, as well as the significance of temperature and excitation frequency, laboratory experiments were conducted on an HPS prototype to acquire its response characteristics under sinusoidal excitations at different operating temperatures. The temperature of the HPS system during the experiments was maintained within certain desired ranges via a cooling fan, as seen in Figure 3. Three different HPS body temperatures (30 ± 2 °C, 40 ± 2 °C, and 50 ± 2 °C) were selected under sinusoidal excitation ranging from 0.5 to 8 Hz. Briefly, the force transducer was mounted between the cross beam and the prototype to acquire the total force, while the deflection was measured using a linear variable differential transformer installed within an electro-hydraulic exciter. Two pressure sensors were installed in order to measure the pressure of the fluids. A thermocouple was attached to the exterior surface to monitor the body temperature.
Figure 3.
Laboratory experiment of an integrated hydro-pneumatic suspension prototype including cross-beam, force transducer, thermocouple, pressure sensor #1, pressure sensor #2, RTD probe, LVDT, shaker, fan, ball valve, shield, DAQ system, pressure regulator, and nitrogen tank.
4.2. Model Parameter Identification
The parameters of the HPS system model were partly obtained from its design dimensions and nominal properties of hydraulic oil and nitrogen gas and partly identified from the experimental data. The experimental data included the measured total force, fluid pressure, displacement, and velocity, as well as the hydraulic pressure difference between the two coupled chambers and seal friction, which can be directly obtained from the measured data. The parameter identification was accomplished by minimizing the error between the experimental and simulated responses. Table 1 summarizes the constant parameters of the established model, which include the geometric parameters of the prototype, the polytropic exponent of nitrogen gas, and the mass density, bulk modulus, and thermal coefficients of hydraulic oil. These values were obtained partly from the structural design parameters and nominal material characteristics and partly from the parameter identification process described below.
Table 1.
Constant parameters of the hydro-pneumatic suspension (HPS) prototype.
The pressure–deflection data obtained from the low-excitation frequency of 0.5 Hz for different body temperatures were used to identify the polytropic exponent of the gas in Equation (4). Since the width of hysteresis in pressure–deflection at a relatively higher frequency is related to the gas fraction within the emulsion, the initial gas volume fraction (, Equation (9)) was determined while matching the pressure–deflection relationship. The gas volume fraction at a lower frequency of 0.5 Hz was set as an identical small value of 0.6%, due to the hysteresis caused by the heat transfer effect.
The experimental pressure difference results were used to identify the fluid flow coefficients, namely, the leakage coefficient and discharge coefficients of the check valve and bleed orifice. The leakage flow coefficient was found to be nearly identical for the range of velocity considered. The experimental seal friction results were used to determine the seal friction parameters, namely, the viscous friction coefficient, the Coulomb friction, stiction force, Stribeck coefficient, and transition velocity, in Equations (2) and (3). The viscous friction component was found to be relatively small and the viscous friction coefficient was determined as a nearly constant value of 50 for the considered HPS.
5. Results and Discussion
5.1. Model Verification and External HPS Properties
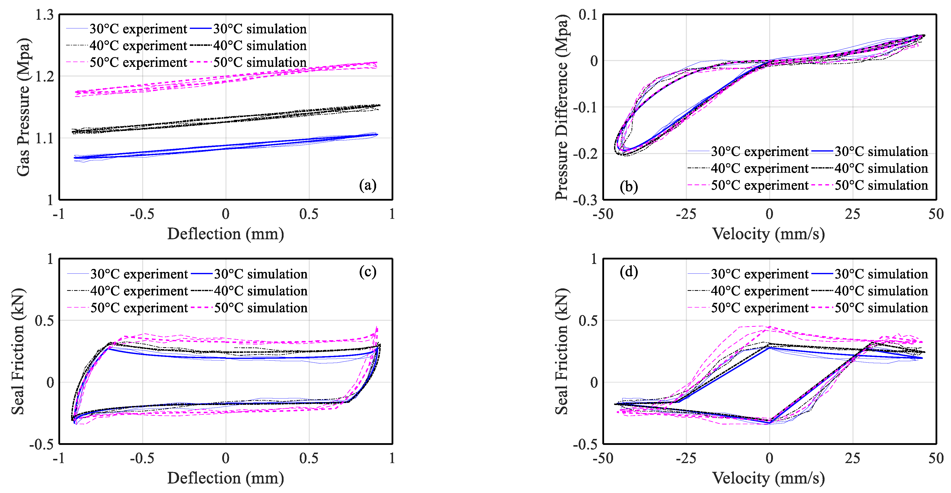
The nonlinear stiffness and damping characteristics of the integrated HPS with a gas-oil emulsion were obtained from the analytical model and the data acquired during the experiments, corresponding to the body temperature of 30 ± 2, 40 ± 2, and 50 ± 2 °C and excitation frequency ranging from 0.5 to 8 Hz. The force-deflection relationship was used to characterize the equivalent stiffness property of the HPS, and the force–velocity relationship was used to characterize the equivalent damping property. The major stiffness and damping components of the considered HPS were further investigated by analyzing the gas pressure-deflection, pressure difference-velocity, seal friction-deflection, and seal friction-velocity relationships for the considered temperature and frequency ranges. The comparisons between the measured and simulated responses of the HPS at the excitation frequencies of 0.5, 2, and 8 Hz are demonstrated in Figure 4, Figure 5, Figure 6, Figure 7, Figure 8 and Figure 9, and the results of other frequencies exhibit similar levels of agreement. The figures were analyzed and plotted using MATLAB software version R2021b. Figure 4, Figure 5 and Figure 6 illustrate the comparisons between the measured and simulated force-deflection and force-velocity relationships at 0.5, 2, and 8 Hz, respectively. The seal friction was calculated from the measured total force and fluid pressures based on Equation (1). The comparisons of the experimental and simulated relationships between gas pressure/pressure difference between the two strut chambers/seal friction and the deflection/velocity at 0.5, 2, and 8 Hz are demonstrated in Figure 7, Figure 8 and Figure 9, respectively.
Figure 4.
Comparisons of experimental and simulated total force-deflection (a) and total force-velocity (b) relationships at different temperatures (0.5 Hz).
Figure 5.
Comparisons of experimental and simulated total force-deflection (a) and total force-velocity (b) relationships at different temperatures (2 Hz).
Figure 6.
Comparisons of experimental and simulated total force-deflection (a) and total force-velocity (b) relationships at different temperatures (8 Hz).
Figure 7.
Comparisons of experimental and simulated gas pressure-deflection (a), pressure difference-velocity (b), seal friction-deflection (c), and seal friction-velocity (d) relationships at different temperatures (0.5 Hz).
Figure 8.
Comparisons of experimental and simulated gas pressure-deflection (a), pressure difference-velocity (b), seal friction-deflection (c), and seal friction-velocity (d) relationships at different temperatures (2 Hz).
Figure 9.
Comparisons of experimental and simulated gas pressure-deflection (a), pressure difference-velocity (b), seal friction-deflection (c), and seal friction-velocity (d) relationships at different temperatures (8 Hz).
As shown in Figure 4, Figure 5 and Figure 6, the increased temperature was found to increase the mean HPS force, which was mainly attributed to the increased gas pressure, as seen in Figure 7a, Figure 8a and Figure 9a. This is consistent with the reported studies in [38]. The hysteresis shown in the force-displacement and force-velocity relationships was mainly caused by the hysteresis in the seal friction, as shown in Figure 7, Figure 8 and Figure 9. The increased excitation frequency also contributed to the hysteresis behavior, especially in the pressure difference between the two HPS chambers. The hysteresis in the gas pressure at 0.5 Hz or lower was caused by the heat transfer between the gas and its surroundings [17,38], while the hysteresis in the gas pressure at a relatively higher frequency was mainly attributed to the considerable compressibility of the gas-oil emulsion.
The Stribeck behavior, as modeled in Equation (3) and shown in Figure 2, was observed around the extremal deflection or zero velocity, which can be seen in Figure 4, Figure 5, Figure 6, Figure 7, Figure 8 and Figure 9. The peak friction was observed near zero velocity and gradually decreased with the increase in the excitation velocity.
The hydraulic damping property of the HPS is governed by the pressure difference between the two chambers, as shown in Figure 7b, Figure 8b and Figure 9b. The pressure difference was relatively smaller during the compression stroke (positive velocity) than the extension stroke (negative velocity) for the sake of vibration attenuation. The temperature variation seemed to only slightly affect the hydraulic damping property. The frictional damping property, as seen in Figure 7, Figure 8 and Figure 9, demonstrates the Stribeck, hysteresis, and asymmetric behaviors. The temperature and frequency dependences of the related parameters will be discussed in the next section.
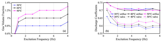
5.2. Variations in Internal Parameters
The variations in the gas-oil emulsion properties and dynamic seal friction parameters of the considered HPS system were determined using the established model and the experimental data, in order to reveal the latent contributions of the temperature and excitation frequency during HPS operation. The gas volume fraction within the emulsion affected not only the free gas volume but also the mass and bulk modulus of the generated gas-oil emulsion, as indicated in Equations (10) and (11), respectively. The discharge coefficients of the check valve and bleed orifice in Equation (12) determines the fluid flow between the HPS chambers and the resultant hydraulic damping property. Variations in the Coulomb friction, peak friction, Stribeck coefficient, and transition velocity, as explained in Equation (3), can also be determined.
The gas volume fractions at different temperatures and excitation frequencies are shown in Figure 10a. The increased temperature and/or frequency tended to increase the gas fraction within the oil, which implied more entrapped gas within the hydraulic oil (Figure 1a). More frequent operation of the HPS could thus accelerate the gas-oil mixing, which could be attributed to the faster oscillation of gas-oil interface in the piston-side chamber and the more frequent fluid flow between the two chambers. The increased temperature decreased the bulk modulus and viscosity of hydraulic oil [35], which might also facilitate the formulation of the gas-oil emulsion. As derived in Equation (9), a lower bulk modulus can lead to an increased gas volume fraction at a given pressure, while the effect of temperature is relatively less at a relatively lower frequency. An increase of 10 °C in temperature led to approximately a 1% increase in the gas volume fraction near the excitation frequency of 2 Hz, and it was approximately 2% from 4 Hz to 8 Hz. At the temperature of 50 °C, the increase in the excitation frequency from 0.5 Hz to 8 Hz led to approximately a 100% increase in the gas volume fraction within the HPS.
Figure 10.
Variations in fluid properties: (a) gas fraction within the emulsion, (b) discharge coefficients of bleed orifice and check valve.
Figure 10b illustrates the variations in discharge coefficients of the bleed orifice and check valve. The discharge coefficient of the bleed orifice was generally higher than that of the check valve, irrespective of the temperature and excitation frequency, which was attributed to the relatively simpler structure of bleed orifices, as seen in Figure 1a. The discharge coefficients tended to decrease with the increasing excitation frequency and saturate after approximately 3 Hz, especially for the bleed orifice (approximately a 7% decrease). The discharge coefficient of the check valve was observed to be more sensitive to temperature variation. The increase in temperature resulted in negligible variation in the discharge coefficient of the bleed orifice, while the discharge coefficient of the check valve increased with the temperature, for all the considered excitation frequencies. The increase from 30 °C to 50 °C at the excitation frequency of 1 Hz led to approximately an 11% increase in the discharge coefficient of the check valve, which might be attributed to the decreased fluid viscosity and thereby less flow energy loss through the check valve.
The variations in dynamic seal friction properties, namely, the Coulomb friction, peak friction, Stribeck coefficient, and transition velocity during the compression and extension strokes, are illustrated in Figure 11a–d, respectively. The Coulomb friction during compression was generally greater than that during extension stroke, especially for a relatively higher temperature. This was attributed to the asymmetric shape design of the fluid seals and dust seals, as illustrated in Figure 1c. Increased temperature yielded a greater Coulomb friction, most probably due to the heat expansion of the rubber seals and thereby greater contact pressure at the seal-rod interface, as expected. The magnitude of the Coulomb friction at a given temperature and stroke direction varied only approximately ±0.02 kN for the considered frequency range. This implied that the Coulomb friction component of the dynamic seal friction, as expressed in Equations (2) and (3), was only slightly affected by the excitation frequency/magnitude/velocity.
Figure 11.
Variations in seal friction properties: (a) Coulomb friction, (b) peak friction, (c) Stribeck coefficient, and (d) transition velocity.
The peak friction force during the compression and extension strokes was usually generated near zero velocity when the excitation direction was reversed, as shown in Figure 11b, and it was defined as the addition of Coulomb friction and the maximum Stribeck friction for the considered HPS system. For a given temperature and stroke direction, it was found that the peak friction generally tended to decrease with increasing excitation frequency. This implied a decrease in maximum Stribeck friction since the Coulomb friction only slightly varied with excitation frequency, as mentioned above. It is further noted that the peak frictions at 30 °C and 40 °C exhibited comparable magnitude, irrespective of the excitation frequency. The average peak friction during extension decreased by approximately 20% when the excitation frequency increased from 0.5 Hz to 8 Hz, while the peak friction during compression stroke at the temperature of 50 °C was obviously greater than in other situations, as also noted for the Coulomb friction in Figure 11a. This would be attributed to the nonlinear effect of temperature on seal friction, which was not considered in the dynamic friction model in this study.
Moreover, the identified Stribeck coefficients during compression and extension strokes, in Equation (2), are shown in Figure 11c. The increased temperature and excitation frequency tended to yield a lower Stribeck coefficient, which implied a slighter change in the peak friction with increasing excitation velocity. This can also be noticed in Figure 7d, Figure 8d and Figure 9d. The maximum Stribeck coefficient occurred around 1~2 Hz for the considered temperature and frequency range in this study. Since the velocity range was the same for different scenarios, the frequency dependency of the Stribeck coefficient of the HPS might thus be correlated to the magnitude of deflection and the size of the seal–rod interface. The average Stribeck coefficient decreased by approximately 75% when the excitation frequency increased from 1 Hz to 8 Hz. The Stribeck coefficient during compression was generally greater than that during extension, especially at a relatively higher excitation frequency, which would also be attributed to the asymmetric structure of the rubber seal. It was also observed that the Stribeck effect was negligible during the extension at the excitation frequency of 8 Hz.
As for the friction transition velocity, which indicated the width of seal hysteresis, the increase in temperature and excitation frequency generally led to a greater transition velocity, as shown in Figure 11d. A piecewise linear relationship was observed between the transition velocity and excitation frequency, and the critical frequency was approximately 2 Hz. The transition velocities at a low frequency of 0.5 Hz were almost identical, around 8 mm/s, irrespective of the temperature and stroke. When the excitation frequency was 8 Hz, the average transition velocity increased to approximately 28 mm/s.
6. Conclusions
The internal and external properties of the HPS system with a gas–oil emulsion are strongly correlated with the temperature and its excitation frequency. The modeled responses obtained under different temperature and frequency ranges showed reasonably good agreement with the experimental results of the HPS prototype. The temperature and frequency dependencies of the HPS can thus be identified. Increased temperature yielded greater equivalent stiffness and comparable damping properties of the system. The gas volume fraction, the discharge coefficient, and the magnitude of seal friction generally tended to increase with increasing temperature, while the effect of temperature was relatively less at a relatively lower frequency. At the temperature of 50 °C, the increase in the excitation frequency from 0.5 Hz to 8 Hz led to approximately a 100% increase in the gas volume fraction. The increased excitation frequency of the HPS led to greater hysteresis in the hydraulic damping force and seal friction, as well as a reduced seal friction magnitude and Stribeck effect. The friction transition velocity, which indicates the width of hysteresis, increased from around 8 mm/s to approximately 28 mm/s when the excitation frequency approached 8 Hz.
Further studies are needed in order to explicitly relate the nonlinear effects of temperature and frequency on the gas-oil emulsion formation and dynamic properties, and guidance for component design and emulsion flow regulation control methods need to also be addressed in the future.
Author Contributions
Y.Y. and S.R. were in charge of the entire trial. Y.Y. and Z.W. wrote the manuscript. Y.Y., Z.F. and Z.W. conducted the experimental analysis and numerical simulations. J.L. and Y.Y. guided the experiments. All authors have read and agreed to the published version of the manuscript.
Funding
The financial support provided by the National Natural Science Foundation of China (NSFC), grant number 51905483, and the Basic Public Welfare Research Program of Zhejiang Province, grant number LGG22E050019, is gratefully acknowledged.
Informed Consent Statement
Not applicable.
Data Availability Statement
The data that support the findings of this study are available from the corresponding author, Zhijun Fu, upon reasonable request.
Acknowledgments
The authors would like to thank their colleagues from the University of Science and Technology Beijing and Concordia University for their valuable assistance in the laboratory experiments.
Conflicts of Interest
The authors declare that they have no competing financial interest.
References
- De Lima, Y.T.B.; das Neves Gomes, M.; Isoldi, L.A.; dos Santos, E.D.; Lorenzini, G.; Rocha, L.A.O. Geometric analysis through the constructal design of a sea wave energy converter with several coupled hydropneumatic chambers considering the oscillating water column operating principle. Appl. Sci. 2021, 11, 8630. [Google Scholar] [CrossRef]
- Dong, M.N.; Luo, Z.X. Statistical linearization on 2 DOFs hydropneumatic suspension with asymmetric non-linear stiffness. Chin. J. Mech. Eng. 2015, 28, 504–510. [Google Scholar] [CrossRef]
- Rehnberg, A.; Drugge, L. Ride comfort simulation of a wheel loader with suspended axles. Int. J. Veh. Syst. Model. Test. 2009, 3, 168–188. [Google Scholar] [CrossRef]
- Xu, H.; Zhao, Y.Q.; Ye, C.; Lin, F. Integrated optimization for mechanical elastic wheel and suspension based on an improved artificial fish swarm algorithm. Adv. Eng. Softw. 2019, 137, 8. [Google Scholar] [CrossRef]
- Zhang, J.; Deng, Y.; Zhang, N.; Zhang, B.; Qi, H.; Zheng, M. Vibration performance analysis of a mining vehicle with bounce and pitch tuned hydraulically interconnected suspension. Chin. J. Mech. Eng. 2019, 32, 17. [Google Scholar] [CrossRef]
- Cao, D.P.; Rakheja, S.; Su, C.Y. Roll- and pitch-plane coupled hydro-pneumatic suspension. Veh. Syst. Dyn. 2010, 48, 361–386. [Google Scholar] [CrossRef]
- Zhao, J.; Gu, Z.; Zhang, S.; Ma, X.; Zhu, Y.; Hu, K. Viscous heating of hydro-pneumatic suspension and its optimization. J. Vib. Shock. 2015, 34, 129–134. [Google Scholar]
- Shen, D.K.; Chen, Q.L.; Wang, Y.X. Dimensionless energy conversion characteristics of an air-powered hydraulic vehicle. Appl. Sci. 2018, 8, 347. [Google Scholar] [CrossRef]
- Morales, A.L.; Nieto, A.J.; Chicharro, J.M.; Pintado, P. A semi-active vehicle suspension based on pneumatic springs and magnetorheological dampers. J. Vib. Control 2018, 24, 808–821. [Google Scholar] [CrossRef]
- Wang, S.; Lu, Z.; Liu, X.H.; Cao, Y.; Li, X.F. Active control of hydropneumatic suspension parameters of wheel loaders based on road condition identification. Int. J. Adv. Robot. Syst. 2018, 15, 13. [Google Scholar] [CrossRef]
- Qin, B.A.; Zeng, R.Y.; Li, X.M.; Yang, J. Design and performance analysis of the hydropneumatic suspension system for a novel road-rail vehicle. Appl. Sci. 2021, 11, 2221. [Google Scholar] [CrossRef]
- Konghui, G.; Yuhang, C.; Yehai, Y.; Ye, Z.; Yanbo, J. Modeling and simulation of a hydro-pneumatic spring based on internal characteristics. In Second International Conference on Mechanic Automation and Control Engineering; IEEE: New York, NY, USA, 2011; pp. 5910–5915. [Google Scholar]
- Yang, J.; Zhao, J.F.; Shen, Y.H.; Duan, C.Y. Influence of variety of oil temperature on performance of hydro-pneumatic suspension. In Proceedings of the World-Association-of-Science-Engineering Global Congress on Science Engineering (GCSE 2010), Yantai, China, 27–28 November 2010; pp. 705–710. [Google Scholar]
- Baldi, M.C.; Meirelles, P.S. Hydropneumatic suspension design. In Proceedings of the ASME 2003 International Design Engineering Technical Conferences and Computers and Information in Engineering Conference, Chicago, IL, USA, 2–6 September 2003; pp. 2555–2563. [Google Scholar]
- Els, P.S.; Grobbelaar, B. Heat transfer effects on hydropneumatic suspension systems. J. Terramech. 1999, 36, 197–205. [Google Scholar] [CrossRef]
- Yang, J.; Yin, Y.M.; Rakheja, S.; Chu, S.H.; Chen, C.P.; Zhang, W.M. Mechanics characteristics of a kind of hydra pneumatic suspension. Nonlinear Dyn. 2019, 95, 407–419. [Google Scholar] [CrossRef]
- Yin, Y.M.; Rakheja, S.; Yang, J.; Boileau, P.E. Characterization of a hydro-pneumatic suspension strut with gas-oil emulsion. Mech. Syst. Signal Proc. 2018, 106, 319–333. [Google Scholar] [CrossRef]
- Zhang, S.; Gu, Z.Q.; Wu, W.G.; Zheng, L.D.; Liu, J.; Yin, S.B. Transient numerical investigation of a large-scale hydro-pneumatic suspension considering variations in check valve parameters and operational conditions. Int. J. Numer. Methods Heat Fluid Flow 2020, 30, 1967–1990. [Google Scholar] [CrossRef]
- Yang, C.; Song, P.; Liu, X.J. Failure prognostics of heavy vehicle hydro-pneumatic spring based on novel degradation feature and support vector regression. Neural Comput. Appl. 2019, 31, 139–156. [Google Scholar] [CrossRef]
- Wang, J.T.; Liu, Z.Y.; Xu, C.H.; Li, Z.H. Measurement method of compressibility and thermal expansion coefficients for density standard liquid at 2329 kg/m(3) based on hydrostatic suspension principle. Chin. J. Mech. Eng. 2014, 27, 779–784. [Google Scholar] [CrossRef]
- Choi, K.; Oh, J.; Kim, H.S.; Han, H.W.; Park, J.H.; Lee, G.H.; Seo, J.; Park, Y.J. Experimental study on the dynamic characteristics of hydro-pneumatic semi-active suspensions for agricultural tractor cabins. Appl. Sci. 2020, 10, 8992. [Google Scholar] [CrossRef]
- Cervelin, L.; Flesch, C.A.; Flesch, R.C.C.; Scussel, J.N.; Penz, C.A. Measurement of the friction forces between piston and cylinder in reciprocating machines using the connecting rod strain behavior. Mech. Syst. Signal Proc. 2019, 130, 677–691. [Google Scholar] [CrossRef]
- Yin, Y.M.; Rakheja, S.; Yang, J.; Boileau, P.E. Design optimization of an articulated frame steering system. Proc. Inst. Mech. Eng. Part D-J. Automob. Eng. 2018, 232, 1339–1352. [Google Scholar] [CrossRef]
- Seo, J.U.; Yun, Y.W.; Park, M.K. Magneto-rheological accumulator for temperature compensation in hydropneumatic suspension systems. J. Mech. Sci. Technol. 2011, 25, 1621–1625. [Google Scholar] [CrossRef]
- Van der Westhuizen, S.F.; Els, P.S. Comparison of different gas models to calculate the spring force of a hydropneumatic suspension. J. Terramech. 2015, 57, 41–59. [Google Scholar] [CrossRef]
- Liu, H.; Lee, J. Model Development of automotive air spring based on experimental research. In Proceedings of the International Conference on Measuring Technology and Mechatronics Automation (ICMTMA), Washington, DC, USA, 6–7 January 2011; pp. 585–590. [Google Scholar] [CrossRef]
- Huang, X.; Shen, Y.; Yang, J.; Zhang, W. Thermal analysis of hydro-pneumatic suspension system for dumper based on a lumped-parameter thermal model. Trans. Chin. Soc. Agri. Eng. 2013, 29, 64–70. [Google Scholar]
- Huang, X.; Yang, J.; Shen, Y.; Zhang, W. Characteristic analysis of oil temperature in a hydropneumatic suspension based on multiple regions. Chin. J. Mech. Eng. 2015, 37, 950–954. [Google Scholar]
- Jiao, N.; Guo, J.J.; Liu, S.L. Hydro-pneumatic suspension system hybrid reliability modeling considering the temperature influence. IEEE Access 2017, 5, 19144–19153. [Google Scholar] [CrossRef]
- Zhou, C.; Liu, X.H.; Xu, F.X.; Chen, W. Sliding mode switch control of adjustable hydro-pneumatic suspension based on parallel adaptive clonal selection algorithm. Appl. Sci. 2020, 10, 1852. [Google Scholar] [CrossRef]
- Zhang, X.L.; Liu, J.C.; Nie, J.M.; Wei, H.; Chen, L. Simulation analysis and experiment research on hydro-pneumatic isd suspension. Shock Vib. 2021, 2021, 2095350. [Google Scholar] [CrossRef]
- Lee, S.J. Development and analysis of an air spring model. Int. J. Automot. 2010, 11, 471–479. [Google Scholar] [CrossRef]
- Chang, F.; Lu, Z.H. Dynamic model of an air spring and integration into a vehicle dynamics model. Proc. Inst. Mech. Eng. Part D-J. Automob. Eng. 2008, 222, 1813–1825. [Google Scholar] [CrossRef]
- Hassani, V.; Tjahjowidodo, T.; Do, T.N. A survey on hysteresis modeling, identification and control. Mech. Syst. Signal Proc. 2014, 49, 209–233. [Google Scholar] [CrossRef]
- Kim, S.; Murrenhoff, H. Measurement of effective bulk modulus for hydraulic oil at low pressure. J. Fluids Eng. Trans. 2012, 134, 10. [Google Scholar] [CrossRef]
- Czop, P.; Slawik, D. A high-frequency first-principle model of a shock absorber and servo-hydraulic tester. Mech. Syst. Signal Proc. 2011, 25, 1937–1955. [Google Scholar] [CrossRef]
- Gholizadeh, H.; Bitner, D.; Burton, R.; Schoenau, G. Modeling and experimental validation of the effective bulk modulus of a mixture of hydraulic oil and air. J. Dyn. Syst. Meas. Control Trans. 2014, 136, 14. [Google Scholar] [CrossRef]
- Els, P.S.; Grobbelaar, B. Investigation of the time- and temperature dependency of hydro-pneumatic suspension systems. SAE Tech. Pap. 1993, 930265. [Google Scholar] [CrossRef]
Disclaimer/Publisher’s Note: The statements, opinions and data contained in all publications are solely those of the individual author(s) and contributor(s) and not of MDPI and/or the editor(s). MDPI and/or the editor(s) disclaim responsibility for any injury to people or property resulting from any ideas, methods, instructions or products referred to in the content. |
© 2023 by the authors. Licensee MDPI, Basel, Switzerland. This article is an open access article distributed under the terms and conditions of the Creative Commons Attribution (CC BY) license (https://creativecommons.org/licenses/by/4.0/).










