Featured Application
Significant photoluminescence enhancement in Alq3 caused by Ag nanostructures makes it ideal to be applied in emissive layers of organic light emitting diodes.
Abstract
The continuous performance optimization of tris(8-hydroxyquinoline)aluminum (Alq3) materials is of great significance during the commercialization process of organic light-emitting diodes (OLEDs). In incorporating Ag nanostructures into Alq3, the photophysical properties are greatly improved by the plasmon–exciton coupling effect. Localized surface plasmons (LSPs) in Ag nanoparticles (NPs) efficiently increased the absorption ability. The coexistence of LSPs and propagating surface plasmons (PSPs) in Ag nanowires (NWs) leads to a PL enhancement of 5.3-fold and a full-width at half maximum (FWHM) narrowed by 10 nm. Temperature-dependent PL measurements exhibit that the plasmonic density of states (DOS) increases with decreasing temperature below 40 °C, and the thermal exchange can be accelerated by the introduction of Ag nanostructures. Effective suppression of the thermal accumulation effect is further proved by excitation intensity (EI)-dependent PL measurements. We also found that Ag nanostructures could mainly change the y coordinates in International Commission on Illumination (CIE), leading to a higher brightness. The 5372 K color temperature of an Ag NWs-embedded composite is suitable for daylight-type fluorescent OLEDs. The results would pave an effective way for further optimizing the optical performance of light-emitting materials in OLEDs.
1. Introduction
In recent years, organic light-emitting diodes (OLEDs) have been attracting considerable attention because they exhibit excellent characteristics including self-luminescence, low power consumption and simple fabrication. Tris(8-hydroxyquinoline)aluminum (Alq3) has been widely used in OLEDs as an emitting layer material or electron-transport material owing to its excellent stability, high fluorescence quantum yield and large electron mobility [1,2,3,4]. Therefore, the continuous performance optimization of Alq3 materials is of great significance during the commercialization process of OLEDs.
Nanostructures of noble metals, primarily gold and silver, have become the subject of interesting plasmon research [5,6,7]. Meanwhile, metal nanostructures have been employed in OLEDs for performance improvement due to their specific characteristics of surface plasmons (SPs) induced by free electron–photon interaction [8,9,10,11,12,13]. Localized surface plasmons (LSPs) on the surface of metal nanostructures and propagating surface plasmons (PSPs) propagate along the surface of continuous metal both belong to SPs [14,15]. A SPs-induced localized electric field could increase the radiative decay rate of the exciton, which means the electrons in the excited state have a greater probability to relax back to the ground state through the photoluminescence (PL) channel instead of a nonradiative phonon relaxation [16]. Meanwhile, when the absorption bands of SPs are closely matched with the excitation energy of light-emitting materials, the absorption energy of SPs could transfer to the materials, leading to a considerably enhanced PL intensity [17]. Therefore, the incorporation of metal nanostructures is an efficient strategy to enhance the PL performance of light-emitting materials in devices.
Among various metal nanostructures, Ag nanowires (NWs) hold great potential due to their excellent optical and electronic, as well as high mechanical and physical stability [18]. The coexistence of LSPs and PSPs can be easily realized due to the morphology and reduced propagation losses of Ag NWs [19]. In our previous work [20], Ag NWs have been proven to improve the PL performance of conjugated polymers. However, due to the relatively small overlap between the localized surface plasmon resonance (LSPR) band and the PL spectra of polymers, the 190% PL enhancement is not sufficient to be satisfactory. If Ag NWs can be used to regulate materials with a greater degree of spectral overlap, a better regulatory effect will be achieved.
Recent studies on the optical properties of Alq3 regulated by Ag nanostructures have reported 1.2- to 4.4-fold PL enhancements [21,22,23,24,25]. Herein, we report the SPs-enhanced PL performance of Alq3 decorated with Ag NPs and Ag NWs, respectively, and compare the effects of two nanostructures on the photophysical properties of Alq3 in detail. A variety of spectral measurements including steady-state absorption and PL spectra, temperature-dependent, excitation intensity (EI)-dependent and detection angle-dependent PL spectra have been performed. We observe that the LSPR bands of Ag NPs and Ag NWs well match the absorption/PL spectra of Alq3, resulting in a satisfactory improvement in optical properties. More notably, a 5.3-fold PL enhancement was achieved, which is higher than recent reports. Our research results will open up an effective route for the continuous optimization of luminous materials in OLEDs.
2. Materials and Methods
2.1. Materials
All chemicals were purchased from Sigma-Aldrich and used directly without further purification. Ag NPs and Ag NWs have been synthesized through the hydrothermal method, as reported previously [20,26]. As estimated from the SEM images of Ag NPs and Ag NWs shown in Figure 1, the average particle size of Ag NPs is ~150 nm, and the average diameter of Ag NWs is 160 nm, with the length in the range of 3–35 μm. During the preparation of sample films, the 1.9 cm × 2.6 cm glass substrates were cleaned with detergent and deionized water sequentially. Then, the Ag NPs/Ag NWs dispersed in ethanol were spin-coated onto the substrate at a speed of 1060 rpm for 50 s. Subsequently, 30 µL of 5 mg/mL trichloromethane (CHCl3) solution of Alq3 was drop-cast onto the top. The pure Alq3 film was simultaneously prepared by drop casting under the same conditions as above.
Figure 1.
SEM images of the synthesized (a) Ag NPs and (b) Ag NWs.
2.2. Methods
The absorption spectra of two Ag nanostructures (Ag NPs and Ag NWs) and three sample films (Alq3 (pure), Alq3 (Ag NPs) and Alq3 (Ag NWs)) were measured by a UV-visible spectrometer (Purkinje, TU-1810PC). PL spectra of sample films were recorded by using a fiber optic spectrometer (Ocean Optics 4000) under an excitation of 405 nm (±5 nm) continuous laser diode (OM-12A405). Before the excitation beam reaches the sample, a switchable aperture is inserted to reduce the spot diameter to less than 2 mm, thus ensuring that the PL collection area is the same for all samples. In temperature-dependent PL measurements, the temperature was controlled over the range of 298–393 K by a temperature controller (UDIAN, AI-708). In EI-dependent PL measurements, the EI varied from 0.5 to 19.8 mW/cm2 through combinations of optical filters with different transmittances (from 2.6% to 56.3%). Detection angle-dependent PL measurements of Alq3 (Ag NWs) were performed with the angle between the detection direction and the normal line ranges from −150° to 150°, in steps of 15°.
3. Results and Discussion
Figure 2a shows the normalized absorption spectra of Ag NPs and Ag NWs, together with the normalized absorption and PL spectra of Alq3 (pure). The signature LSPR peak of Ag NPs is observed at 354 nm. Two LSPR peaks at 349 and 396 nm in the absorption spectra of Ag NWs are ascribed to the transverse quadrupole and transverse dipole resonance, respectively [27]. The overlap between the LSPR bands and absorption/PL spectra of Alq3 is indicative of the possibility of resonance between the LSPs excited by Ag nanostructures and the absorption/PL of Alq3. Normalized absorption spectra of Alq3 (pure), Alq3 (Ag NPs) and Alq3 (Ag NWs) are shown in Figure 2b. All the samples exhibit a main absorption peak at 391 nm and a shoulder at 336 nm, which are assigned to the π − π* electron transition [28]. However, Figure 2a exhibited that the PL spectra only meet the mirror image relationship with the main absorption band, indicating that there are some differences in the electronic transition between the main absorption band and the shoulder. Both of them have π − π* transitions localized on the 8-quinolinolato skeletons, but the main absorption peak also mixes an intramolecular charge transfer transition between the ligand and the metal [29]. The introduction of Ag nanostructures did not change the profile of the main peak, except for enhancing the absorption intensity. However, compared with the normalized main peak, the relative intensity of the shoulder seems to be weakened, indicating that the LSPR effect at the main absorption peak is stronger than that at the shoulder. As seen in the inset of Figure 2b, the enhancement ratio of absorption is dependent on the wavelength, obvious enhancement occurs between about 360–430 nm, which is consistent with the two intersections between the LSPR band and the main absorption peak of Alq3. Additionally, this result is consistent with the relatively weak LSPR effect at 336 nm in the shoulder mentioned above. The maximum enhancement ratios are 2.2 for Alq3 (Ag NPs) and 1.1 for Alq3 (Ag NWs). The absorption intensity of the former is twice that of the latter, indicating that the absorption enhancement is more derived from LSPs, because almost all SPs in Ag NPs belong to LSPs, while LSPs and PSPs coexist in Ag NWs. The Ag NWs can form a homogeneous network which increases the electric fields by scattering effects, excited LSPs on the surface and PSPs propagating along the Ag NWs/Alq3 interface [30].
Figure 2.
(a) Normalized absorption spectra of Ag nanostructures, and normalized absorption and PL spectra of Alq3 (pure); (b) Normalized absorption spectra of Alq3 (pure), Alq3 (Ag NPs) and Alq3 (Ag NWs); inset: the absorption enhancement ratio as a function of wavelength.
PL spectra of samples are shown in Figure 3a. The excitation wavelength at 405 nm is near the main absorption peak, thus ensuring efficient excitation of the samples. The spectral parameters obtained from absorption and PL spectra at room temperature are summarized in Table 1. It is observed that the PL peaks of all the samples are located at 529 nm. There was no peak shift, suggesting no chemical interaction between the Ag nanostructures and Alq3. The spectral feature is almost unchanged except that the full-width at half maximum (FWHM) narrowed by 5 nm for Alq3 (Ag NPs) and 10 nm for Alq3 (Ag NWs), indicating strong coupling between the LSPR energy and the PL wavelength of intrachain excitons [31]. With the introduction of Ag NPs and Ag NWs, the integrated PL intensities (IPLI) exhibit enhancements of about 4 and 4.6 times (from 8.5 × 104 to 3.4 × 105 and 3.9 × 105 a.u.), respectively. Generally speaking, absorption enhancement and SPs-coupled emission are two main reasons for PL enhancement; the former can only influence the PL intensity, but the latter can both modulate the PL intensity and spectral shape [32]. The presence of Ag nanostructures dramatically changed the PL intensity and slightly modified the spectral profile so the PL enhancement should be attributed to the SPs coupled emission. Under excitation, the Ag nanostructures located near quinoline ligand in Alq3 lead to local field enhancement around Alq3 molecules, improving excitation efficiency and leading to the enhancement of PL [23]. The PL enhancement ratio is obtained by comparing the PL intensity of Alq3 (Ag NPs) and Alq3 (Ag NWs) with that of the Alq3 (pure). As shown in Figure 3b, the nanostructure-embedded Alq3 composites display the most significant PL enhancement at ~520 nm, with the enhancement ratios reaching up to 4.5 and 5.3. The Ag NWs-incorporated Alq3 exhibits a 430% enhancement, which is higher than its Ag NPs-incorporated counterpart (350%). The larger PL enhancement of Alq3 (Ag NWs) is due to the enhanced scattering effect in the PSPs mode.
Figure 3.
(a) PL spectra of Alq3 (pure), Alq3 (Ag NPs) and Alq3 (Ag NWs); the bi-directional arrow lines represent the FWHM of samples; (b) PL enhancement ratio as a function of wavelength.
Table 1.
Spectral parameters obtained from absorption and PL spectra at room temperature.
The color coordinates of Alq3 (pure), Alq3 (Ag NPs) and Alq3 (Ag NWs) in the International Commission on Illumination (CIE) are (0.344, 0.531), (0.346, 0.550) and (0.340, 0.554), respectively, as presented in Figure 4. The addition of Ag nanostructures mainly changed the y coordinates, which is indicative of a higher brightness induced by Ag nanostructures. Between the two nanostructure-embedded composites, Alq3 (Ag NWs) displays the highest brightness. Through the color coordinates, correlated color temperatures are calculated to be 5280, 5271 and 5372 K, which are suitable for the manufacture of daylight fluorescents [33].
Figure 4.
CIE coordinates and color temperatures of Alq3 (pure), Alq3 (Ag NPs) and Alq3 (Ag NWs).
In order to further explore the plasmon–exciton coupling affected by temperature, temperature-dependent PL spectra of samples in the range of 298–393 K are given in Figure 5. A decrease in PL spectra is observed with increasing temperature regardless of the absence or presence of Ag nanostructures, suggesting that at high temperatures, the electron–phonon interaction may restrain the emission from Alq3, resulting in increased thermal non-radiative recombination and decreased PL intensity [31,34].
Figure 5.
PL spectra of (a) Alq3 (pure), (b) Alq3 (Ag NPs) and (c) Alq3 (Ag NWs) under different temperatures from 298 to 393 K.
Figure 6a shows the temperature dependence of the IPLI. The decrease of the IPLI with increasing temperature is owing to the increase of thermal disorder, which decreases electron delocalization [35]. When the strong plasmon–exciton coupling occurs at low temperatures from 298 to 323 K, the IPLI of nanostructure-embedded composites decreases faster than that of pure Alq3, indicating a more effective thermal exchange process between the samples and the surrounding environment. The temperature dependence of IPLI can be fitted by the following equation [36]:
where I0 is the IPLI at low temperature, Ea is the activation energy, and kB is the Boltzmann constant. Activation energies fitted with Equation (1) are 400.4, 29.6 and 29.6 meV for Alq3 (pure), Alq3 (Ag NPs) and Alq3 (Ag NWs), respectively. Compared to Alq3 (pure), the activation energy of nanostructure-embedded composites shows a dramatic reduction, demonstrating an accelerated thermal exchange between the composites and the surrounding environment. The IPLI enhancement ratio against the temperature plotted in the inset of Figure 6b embodies a similar trend for Alq3 (Ag NPs) and Alq3 (Ag NWs). At temperatures below ~340 K, the IPLI enhancement ratio exhibits a decreasing behavior, but when the temperature is further increased, it shows an increasing behavior. Generally speaking, the increase in PL enhancement ratio with temperature is due to the increase of plasmonic density of states (DOS) [31,37,38]. Therefore, the above phenomenon demonstrates that the DOS decreases first and then increases with increasing temperature. The ratio of Alq3 (Ag NPs) decreases from 1.21 to 0.64 and then increases to 1.46, and that of Alq3 (Ag NWs) decreases from 1.57 to 0.57 and then increases to 1.24. It is worth noting that in the temperature range of about 310–380 K, the introduction of Ag nanostructures leads to PL quenching, which may be due to the non-radiative energy transfer from Alq3 molecules to Ag nanostructures [23], and only in the lower and higher temperature ranges will PL be enhanced. Compared with Ag NPs, Ag NWs can lead to more intense PL enhancement or quenching. More importantly, at the usual operating temperature (below 40 °C), the DOS increases with the decrease in temperature, which is the main reason for the enhanced SPs coupling.
Figure 6.
(a) Temperature-dependent IPLI of Alq3 (pure), Alq3 (Ag NPs) and Alq3 (Ag NWs); (b) IPLI enhancement ratio as a function of temperature.
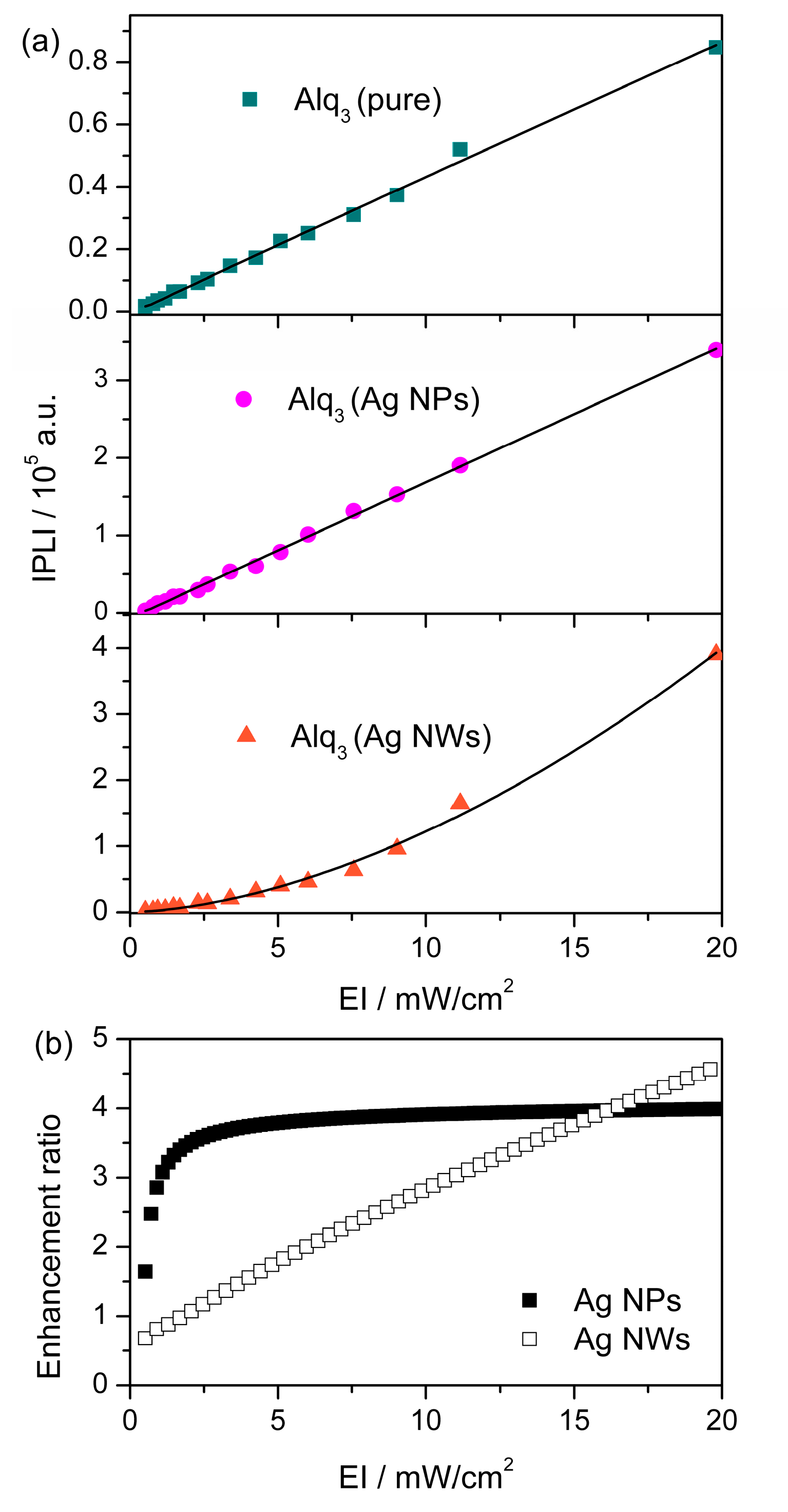
The variations of IPLI with EI are shown in Figure 7a. For all the samples, the IPLI increases monotonously as the EI rises from 0.5 to 19.8 mW/cm2. The IPLI of Alq3 (pure) under the highest EI is 49 times that under the lowest EI, indicating that Alq3 has a very sensitive response to EI. With the incorporation of Ag NPs and Ag NWs, the multiples become 120 and 186, respectively, which are 145% and 280% higher than their non-nanostructured counterparts. Therefore, the response-ability of Alq3 to EI is improved. To shed further light on the mechanism of PL performance improved by Ag nanostructures, the IPLI is given by:
where IE is the excitation intensity and β is a coefficient reflecting the coverage of curves with linear behavior. The β values, as extracted from a fit of experimental data with Equation (2), are 0.99, 1.00 and 1.73 for Alq3 (pure), Alq3 (Ag NPs) and Alq3 (Ag NWs), respectively. The Alq3 (pure) shows only slight sub-linearity due to the thermal accumulation effect caused by the continuous laser. Meanwhile, the Alq3 (Ag NPs) exhibits a perfect linear trend, indicating that Ag NPs effectively inhibited the thermal accumulation effect and EI-dependent PL sub-linear enhancement. This could also be attributed to the acceleration of the thermal exchange process caused by Ag nanostructures and is consistent with the decrease of Ea mentioned above. Remarkably, Alq3 (Ag NWs) exhibits super-linear characteristics, indicating the coexistence of radiative and non-radiative recombination [39]. The IPLI enhancement ratio is dependent on the EI, as seen in Figure 7b. When the EI is lower than 1.7 mW/cm2, the enhancement ratio of Alq3 (Ag NPs) shows a rapid increase trend upon the increase in EI, and then gradually slows down with the further increase of EI, and eventually reaches saturation. However, the enhancement ratio of Alq3 (Ag NWs) exhibits an approximately uniform growth behavior, which is almost independent of the EI value. In addition, it can be found that Ag NWs lead to PL quenching at EI values below 1.7 mW/cm2; when EI is higher, the PL begins to show enhancing behavior, while the incorporation of Ag NPs consistently exhibits PL enhancement.
IPL = k(IE)β
Figure 7.
(a) EI-dependent IPLI of Alq3 (pure), Alq3 (Ag NPs) and Alq3 (Ag NWs); (b) IPLI enhancement ratio as a function of EI.
In the asymmetric Alq3–Ag NWs structure studied here, the PSPs coupling is only possible through the scattering process [40]. In order to intuitively observe the scattering feature induced by Ag NWs, the distribution of detection angle-dependent PL peak intensity is plotted in Figure 8. The normal line of samples is along the horizontal direction, and the incident light and reflected light are located below and above the normal line, respectively. As the angle between the detection direction and the normal line changes in the range of −150° to 150° in steps of 15°, the PL intensity will also change. We found that on the upper side where the reflected light is located, the PL intensity is relatively large when the detection angle is 0°–45° and 120°–135°, while on the lower side where the incident light is located, the PL is generally very weak. In particular, the PL from the detection angle of 120° is over 37.6 times stronger than that from −90°.
Figure 8.
Detection angle-dependent PL peak intensity distribution of Alq3 (Ag NWs), with the angle between the detection direction and the normal line ranges from −150° to 150°, in steps of 15°.
4. Conclusions
In summary, we have systemically analyzed the plasmon–exciton coupling effect of Ag nanostructures on the optical properties of Alq3 by performing steady-state absorption and PL, temperature-dependent, EI-dependent and detection angle-dependent PL measurements. PL enhancement up to 430% is achieved due to the enhanced scattering effect of the PSPs mode in Ag NWs. Plenty of PL results reveal that Ag NPs and Ag NWs could significantly improve the absorption ability, narrow the FWHM, increase the brightness and suppress the thermal accumulation effect, especially in Ag NWs where the coexistence of LSPs and PSPs makes the PL performance more significantly improved. Detection angle-dependent PL measurement allows us to intuitively observe the scattering effect of Ag NWs. This investigation provides useful insight into the optimization of organic small-molecule luminescent materials and has potential applications in high-quality OLEDs.
Author Contributions
Conceptualization, T.-H.H. and T.-N.X.; methodology, T.-H.H. and T.-N.X.; validation, T.-H.H. and T.-N.X.; formal analysis, C.-Z.J.; investigation, T.-H.H. and T.-N.X.; resources, T.-N.X.; data curation, T.-H.H.; writing—original draft preparation, T.-H.H.; writing—review and editing, C.-Z.J.; visualization, Z.-Y.T.; project administration, T.-H.H.; funding acquisition, T.-H.H. All authors have read and agreed to the published version of the manuscript.
Funding
This research was funded by Zhejiang Provincial Natural Science Foundation of China, grant number LQ19F050004.
Institutional Review Board Statement
Not applicable.
Informed Consent Statement
Not applicable.
Data Availability Statement
Data sharing not applicable.
Acknowledgments
T.-H.H. and T.-N.X. acknowledge the Zhejiang Provincial Natural Science Foundation of China (Grant No. LQ19F050004) and the technical support from Zhen-Yu Tian.
Conflicts of Interest
The authors declare no conflict of interest.
References
- Tang, C.W.; Van Slyke, S.A. Organic electroluminescent diodes. Appl. Phys. Lett. 1987, 51, 913–915. [Google Scholar] [CrossRef]
- Van Slyke, S.A.; Chen, C.H.; Tang, C.W. Organic electroluminescent devices with improved stability. Appl. Phys. Lett. 1996, 69, 2160–2162. [Google Scholar] [CrossRef]
- Naka, S.; Okada, H.; Onnagawa, H.; Yamaguchi, Y.; Tsutsui, T. Carrier transport properties of organic materials for EL device operation. Synth. Met. 2000, 111, 331–333. [Google Scholar] [CrossRef]
- Paydavosi, S.; Aidala, K.E.; Brown, P.R.; Hashemi, P.; Supran, G.J.; Osedach, T.P.; Hoyt, J.L.; Bulović, V. Detection of charge storage on molecular thin films of tris(8-hydroxyquinoline) aluminum (Alq3) by Kelvin force microscopy: A candidate system for high storage capacity memory cells. Nano Lett. 2012, 12, 1260–1264. [Google Scholar] [CrossRef] [PubMed]
- Krieg, U.; Lichtenstein, T.; Brand, C.; Tegenkamp, C.; Pfnür, H. Origin of metallicity in atomic Ag wires on Si(557). New J. Phys. 2015, 17, 043062. [Google Scholar] [CrossRef]
- Lichtenstein, T.; Mamiyev, Z.; Braun, C.; Sanna, S.; Schmidt, W.G.; Tegenkamp, C.; Pfnür, H. Probing quasi-one-dimensional band structures by plasmon spectroscopy. Phys. Rev. B 2018, 97, 165421. [Google Scholar] [CrossRef]
- Sanna, S.; Lichtenstein, T.; Mamiyev, Z.; Tegenkamp, C.; Pfnür, H. How one-dimensional are atomic gold chains on a substrate? J. Phys. Chem. C 2018, 122, 25580–25588. [Google Scholar] [CrossRef]
- Raether, H. Surface plasmons on smooth surfaces. In Surface Plasmons on Smooth and Rough Surfaces and on Gratings; Springer Tracts in Modern Physics; Springer: Berlin/Heidelberg, Germany, 1988; pp. 4–39. [Google Scholar]
- Garcia, R.F.; Zeng, L.; Khadir, S.; Chakaroun, M.; Fischer, A.P.A.; Boudrioua, A. Enhanced electroluminescence of an organic light-emitting diode by localized surface plasmon using Al periodic structure. J. Opt. Soc. Am. B 2016, 33, 246–252. [Google Scholar] [CrossRef]
- Munkhbat, B.; Pohl, H.; Denk, P.; Klar, T.A.; Scharber, M.C.; Hrelescu, C. Performance boost of organic light-emitting diodes with plasmonic nanostars. Adv. Opt. Mater. 2016, 4, 772–781. [Google Scholar] [CrossRef]
- Kim, D.H.; Kim, T.W. Enhancement of the current efficiency of organic light-emitting devices due to the surface plasmonic resonance effect of dodecanethilol-functionalized Au nanoparticles. Org. Electron. 2016, 34, 270–274. [Google Scholar] [CrossRef]
- Kumar, A.; Srivastava, R.; Mehta, D.S.; Kamalasanan, M.N. Sufcace plasmon enhanced blue organic light emitting diode with nearly 100% fluorescence efficiency. Org. Electron. 2012, 13, 1750–1755. [Google Scholar] [CrossRef]
- Lee, Y.H.; Kim, D.H.; Yoo, K.H.; Kim, T.W. Efficiency enhancement of organic light-emitting devices due to the localized surface plasmonic resonant effect of Au nanoparticles embedded in ZnO nanoparticles. Appl. Phys. Lett. 2014, 105, 183303. [Google Scholar] [CrossRef]
- Willets, K.A.; Van Duyne, R.P. Localized surface plasmon resonance spectroscopy and sensing. Annu. Rev. Phys. Chem. 2007, 58, 267–297. [Google Scholar] [CrossRef]
- Hutter, E.; Fendler, J.H. Exploitation of localized surface plasmon resonance. Adv. Mater. 2004, 16, 1685–1706. [Google Scholar] [CrossRef]
- Liu, F.; Rao, B.S.; Nunzi, J.-M. A dye functionalized silver-silica core-shell nanoparticle organic light emitting diode. Org. Electron. 2011, 12, 1279–1284. [Google Scholar] [CrossRef]
- Jung, J.S.; Lee, J.W.; Seo, M.R.; Lee, H.S.; Kim, J.; Lee, S.W.; Joo, J. Luminescence variation of organic Alq3 nanoparticles on surface of Au nanoparticles and graphene. Synth. Met. 2012, 162, 1852–1857. [Google Scholar] [CrossRef]
- Zou, S.-J.; Shen, Y.; Xie, F.-M.; Chen, J.-D.; Li, Y.-Q.; Tang, J.-X. Recent advances in organic light-emitting diodes: Toward smart lighting and displays. Mater. Chem. Front. 2020, 4, 788–820. [Google Scholar] [CrossRef]
- Ditlbacher, H.; Hohenau, A.; Wagner, D.; Kreibig, U.; Rogers, M.; Hofer, F.; Aussenegg, F.R.; Krenn, J.R. Silver nanowires as surface plasmon resonators. Phys. Rev. Lett. 2005, 95, 257403. [Google Scholar] [CrossRef]
- Huang, T.-H.; Zhang, L.; Jiang, C.-Z.; Xu, T.-N.; Cai, C.-F.; Zhang, J.-R.; Liu, H.-Y. Plasmon enhanced optical properties of Ag nanowire decorated conjugated polymer. Opt. Mater. 2022, 126, 112214. [Google Scholar] [CrossRef]
- Masui, K.; Kiba, T.; Sato, A.; Yanome, K.; Kawamura, M.; Abe, Y.; Kim, K.H.; Kim, H.D.; Takayama, J.; Murayama, A. Photoluminescence enhancement of tris(8-hydroxyquinolinato)aluminum thin film by plasmonic Ag nanotriangle array fabricated by nanosphere lithography. Thin Solid Films 2018, 660, 907–912. [Google Scholar]
- Salah, N.; Habib, S.S.; Khan, Z.H. Highly luminescent material based on Alq3:Ag nanoparticles. J. Fluoresc. 2013, 23, 1031–1037. [Google Scholar] [CrossRef] [PubMed]
- Khan, M.B.; Khan, Z.H. Ag-incorporated Alq3 nanowires: Promising material for organic luminescent devices. J. Lumin. 2017, 188, 418–422. [Google Scholar] [CrossRef]
- Kiba, T.; Iijima, N.; Yanome, K.; Kawamura, M.; Abe, Y.; Kim, K.H.; Takase, M.; Higo, A.; Takayama, J.; Hiura, S.; et al. Emission enhancement of tris(8-quinolinolato)aluminum with Al nanotriangle arrays fabricated by nanosphere lithography. Appl. Surf. Sci. 2019, 478, 49–53. [Google Scholar] [CrossRef]
- Kiba, T.; Masui, K.; Inomata, Y.; Furumoto, A.; Kawamura, M.; Abe, Y.; Kim, K.H. Control of localized surface plasmon resonance of Ag nanoparticles by changing its size and morphology. Vacuum 2021, 192, 110432. [Google Scholar] [CrossRef]
- Huang, T.-H.; Chi, X.-C.; Xu, T.-N.; Zhang, J.-R.; Xu, H.-Y.; Zhu, Z.-Y.; Yu, R.-B.; Wang, Y.-H.; Zhang, H.-Z. Effect of Ag nanoparticles on the photoluminescence of poly[2-methoxy-5-(2-ethylhexyloxy)-1,4-phenylene-vinylene]. J. Photochem. Photobiol. A 2018, 356, 334–339. [Google Scholar] [CrossRef]
- Zong, R.-L.; Zhou, J.; Li, Q.; Du, B.; Li, B.; Fu, M.; Qi, X.-W.; Li, L.-T.; Buddhudu, S. Synthesis and optical properties of silver nanowire arrays embedded in anodic alumina membrane. J. Phys. Chem. B 2004, 108, 16713–16716. [Google Scholar] [CrossRef]
- Dong, S.H.; Wang, W.L.; Yin, S.W.; Li, C.Y.; Lu, J. Theoretical studies on charge transport character and optional properties of Alq3 and its difluorinated derivatives. Synth. Met. 2009, 159, 385–390. [Google Scholar] [CrossRef]
- Hoshi, T.; Kumagai, K.; Inoue, K.; Enomoto, S.; Nobe, Y.; Kobayashi, M. Electronic absorption and emission spectra of Alq3 in solution with special attention to a delayed fluorescence. J. Lumin. 2008, 128, 1353–1358. [Google Scholar] [CrossRef]
- Yang, Y.Z.; Lin, X.F.; Qing, J.; Zhong, Z.F.; Ou, J.M.; Hu, C.L.; Chen, X.D.; Zhou, X.; Chen, Y.J. Enhancement of short-circuit current density in polymer bulk heterojunction solar cells comprising plasmonic silver nanowires. Appl. Phys. Lett. 2014, 104, 123302. [Google Scholar] [CrossRef]
- Zhang, W.K.; Chen, Y.J.; Gan, L.; Qing, J.; Zhou, X.; Huang, Y.Y.; Yang, Y.Z.; Zhang, Y.; Ou, J.M.; Chen, X.D.; et al. Localized surface plasmon resonance enhanced blue light-emission of polyfluorene copolymer. J. Phys. Chem. Solids 2014, 75, 1340–1346. [Google Scholar] [CrossRef]
- Wang, H.; Wang, H.-Y.; Gao, B.-R.; Jiang, Y.; Yang, Z.-Y.; Hao, Y.-W.; Chen, Q.-D.; Du, X.-B.; Sun, H.-B. Surface plasmon enhanced absorption dynamics of regioregular poly(3-hexylthiophene). Appl. Phys. Lett. 2011, 98, 251501. [Google Scholar] [CrossRef]
- Choudhury, A.K.R. Characteristics of light sources. In Principles of Colour Appearance and Measurement; Woodhead Publishing Series in Textiles; Woodhead Publishing Limited: Cambridge, UK, 2014; Volume 1, pp. 1–52. [Google Scholar]
- Zawadzka, A.; Płóciennik, P.; Strzelecki, J.; Łukasiak, Z.; Sahraoui, B. Photophysical properties of Alq3 thin films. Opt. Mater. 2014, 36, 91–97. [Google Scholar] [CrossRef]
- da Silva, M.A.T.; Dias, I.F.L.; Duarte, J.L.; Laureto, E.; Silvestre, I.; Cury, L.A.; Guimarães, P.S.S. Identification of the optically active vibrational modes in the photoluminescence of MEH-PPV films. J. Chem. Phys. 2008, 128, 094902. [Google Scholar] [CrossRef] [PubMed]
- Leroux, M.; Grandjean, N.; Beaumont, B.; Nataf, G.; Semond, F.; Massies, J.; Gibart, P. Temperature quenching of photoluminescence intensities in undoped and doped GaN. J. Appl. Phys. 1999, 86, 3721–3728. [Google Scholar] [CrossRef]
- Li, J.; Ong, H.C. Temperature dependence of surface plasmon mediated emission from metal-capped ZnO films. Appl. Phys. Lett. 2008, 92, 121107. [Google Scholar] [CrossRef]
- Wang, Y.J.; He, H.P.; Zhang, Y.L.; Sun, L.W.; Hu, L.; Wu, K.W.; Huang, J.Y.; Ye, Z.Z. Metal enhanced photoluminescence from Al-capped ZnMgO films: The roles of plasmonic coupling and non-radiative recombination. Appl. Phys. Lett. 2012, 100, 112103. [Google Scholar] [CrossRef]
- Zhou, X.B.; Jiang, M.M.; Wu, Y.T.; Ma, K.J.; Liu, Y.; Wan, P.; Kan, C.X.; Shi, D.N. Hybrid quadrupole plasmon induced spectrally pure ultraviolet emission from a single AgNPs@ZnO:Ga microwire based heterojunction diode. Nanoscale Adv. 2020, 2, 1340–1351. [Google Scholar] [CrossRef]
- Wedge, S.; Hooper, I.R.; Sage, I.; Barnes, W.L. Light emission through a corrugated metal film: The role of cross-coupled surface plasmon polaritons. Phys. Rev. B 2004, 69, 245418. [Google Scholar] [CrossRef]
Disclaimer/Publisher’s Note: The statements, opinions and data contained in all publications are solely those of the individual author(s) and contributor(s) and not of MDPI and/or the editor(s). MDPI and/or the editor(s) disclaim responsibility for any injury to people or property resulting from any ideas, methods, instructions or products referred to in the content. |
© 2023 by the authors. Licensee MDPI, Basel, Switzerland. This article is an open access article distributed under the terms and conditions of the Creative Commons Attribution (CC BY) license (https://creativecommons.org/licenses/by/4.0/).







