Methane, Ethylene, and Ethane Detection by Differential Helmholtz Resonance Spectroscopy Using a 3345 nm Mid-Infrared Tunable Diode Laser Source
Abstract
1. Introduction
2. Selection of Spectral Range
3. Construction of the DHR Sensor
4. Optimization of Measurement Parameters
4.1. Frequency and Depth of Laser Modulation
4.2. Demodulation Method
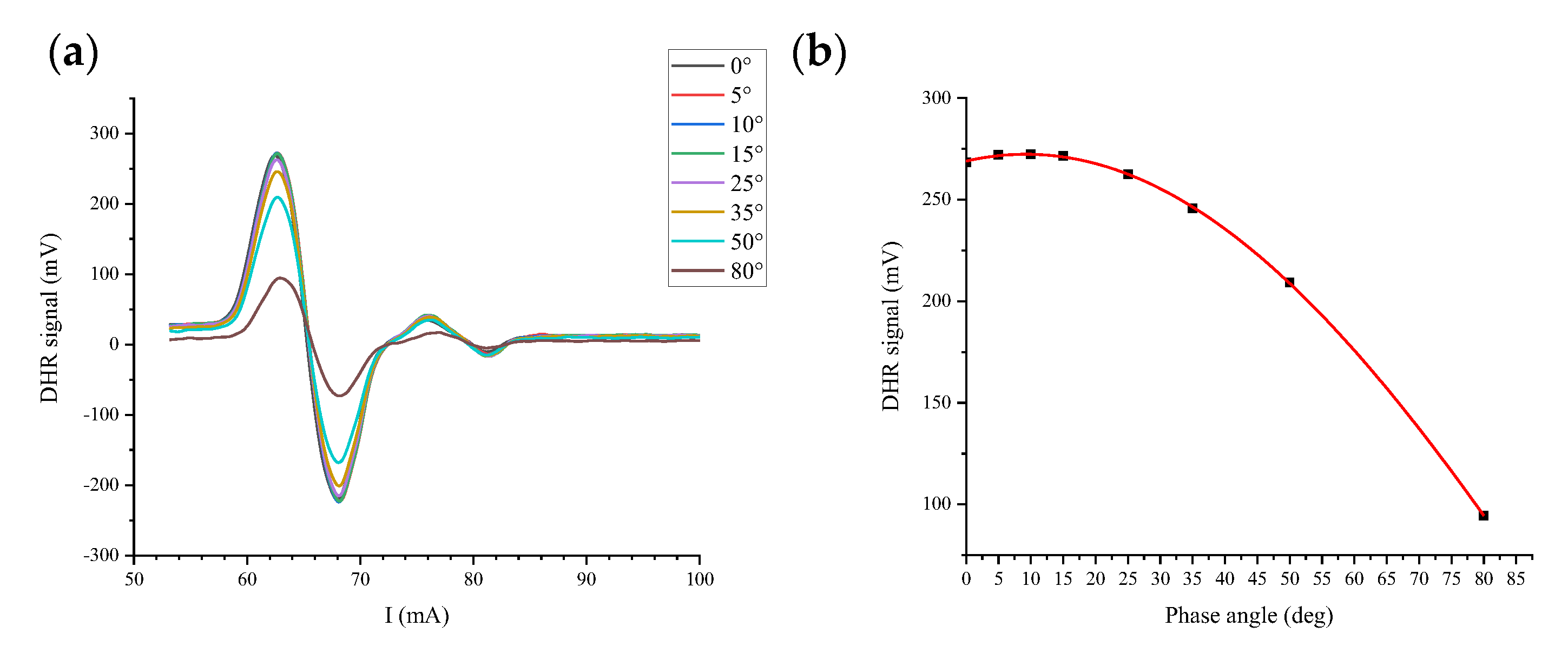
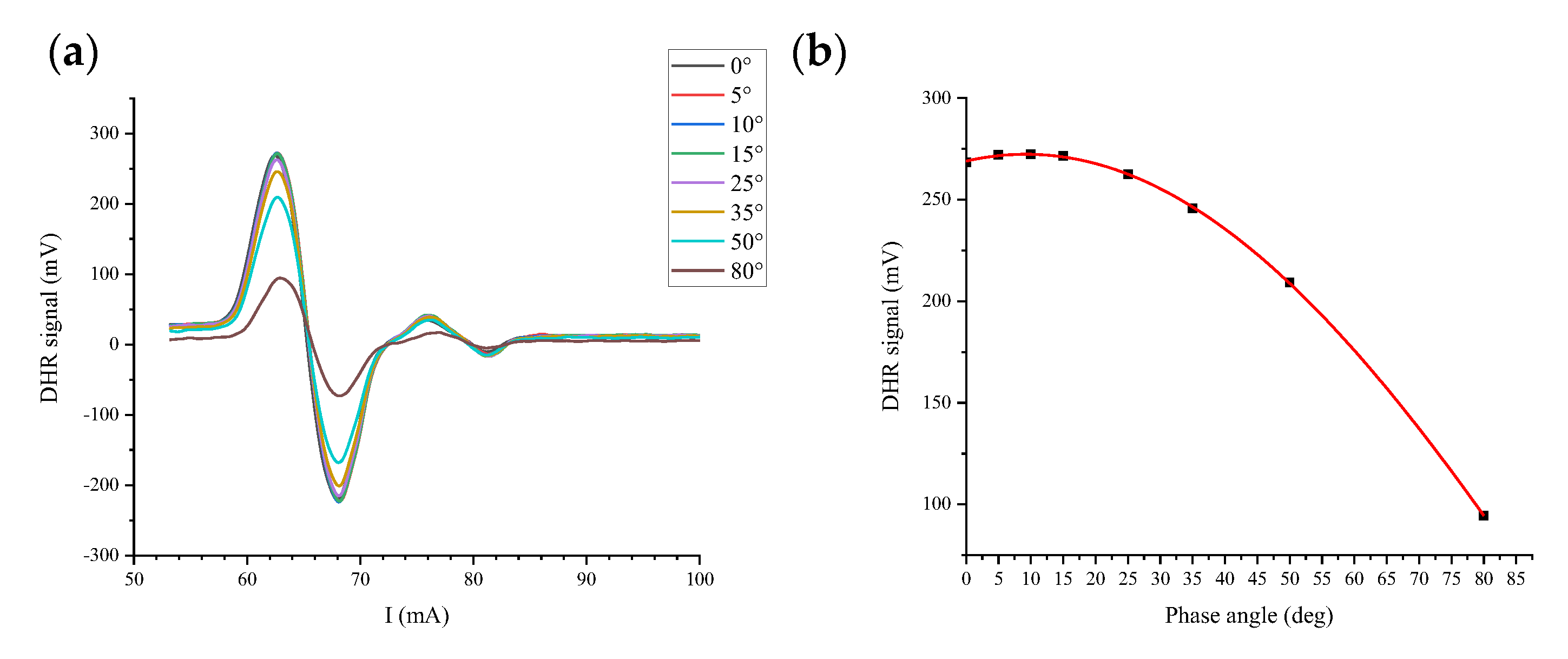
4.3. Phase Angle
5. Detection of Pure Methane, Ethylene, and Ethane
6. Multi-Gas Analysis
7. Conclusions
Supplementary Materials
Author Contributions
Funding
Institutional Review Board Statement
Informed Consent Statement
Data Availability Statement
Acknowledgments
Conflicts of Interest
References
- Bozóki, Z.; Pogány, A.; Szabó, G. Photoacoustic Instruments for Practical Applications: Present, Potentials, and Future Challenges. Appl. Spectrosc. Rev. 2011, 46, 1–37. [Google Scholar] [CrossRef]
- Wilcken, K.; Kauppinen, J. Optimization of a Microphone for Photoacoustic Spectroscopy. Appl. Spectrosc. 2003, 57, 1087–1092. [Google Scholar] [CrossRef] [PubMed]
- Liu, Q.; Sun, Y.; Qiu, X.; Guo, G.; Li, L.; Gong, T.; Li, C. Resonant photoacoustic spectrometer enhanced by multipass absorption for detecting atmospheric CH4 at the ppb-level. Front. Chem. 2022, 10, 1021145. [Google Scholar] [CrossRef] [PubMed]
- Jin, Y.; Yin, Y.; Li, C.; Liu, H.; Shi, J. Non-Invasive Monitoring of Human Health by Photoacoustic Spectroscopy. Sensors 2022, 22, 1155. [Google Scholar] [CrossRef] [PubMed]
- Hernández-Aguilar, C.; Domínguez-Pacheco, A.; Cruz-Orea, A.; Ivanov, R. Photoacoustic Spectroscopy in the Optical Characterization of Foodstuff: A Review. J. Spectrosc. 2019, 2019, 1–34. [Google Scholar] [CrossRef]
- Liu, L.; Mandelis, A.; Melnikov, A.; Michaelian, K.; Huan, H.; Haisch, C. Step-Scan T-Cell Fourier Transform Infrared Photoacoustic Spectroscopy (FTIR-PAS) for Monitoring Environmental Air Pollutants. Int. J. Thermophys. 2016, 37, 64. [Google Scholar] [CrossRef]
- Chen, Z.; Zhang, X.; Cheng, H.; Zhang, Y.; Yang, T.; Zhang, Y. Study on Photoacoustic Spectroscopy Detection of CO in Gas Insulation Equipment. IEEE Trans. Dielectr. Electr. Insul. 2022, 29, 1498–1505. [Google Scholar] [CrossRef]
- Chen, K.; An, R.; Li, C.; Kang, Y.; Ma, F.; Zhao, X.; Guo, M.; Qi, H.; Zhao, J. Detection of ultra-low concentration acetylene gas dissolved in oil based on fiber-optic photoacoustic sensing. Opt. Laser Technol. 2022, 154, 108299. [Google Scholar] [CrossRef]
- Gong, Z.; Chen, K.; Yang, Y.; Zhou, X.; Yu, Q. Photoacoustic spectroscopy based multi-gas detection using high-sensitivity fiber-optic low-frequency acoustic sensor. Sens. Actuators B Chem. 2018, 260, 357–363. [Google Scholar] [CrossRef]
- Chen, K.; Zhang, B.; Guo, M.; Chen, Y.; Deng, H.; Yang, B.; Liu, S.; Ma, F.; Zhu, F.; Gong, Z.; et al. Photoacoustic trace gas detection of ethylene in high-concentration methane background based on dual light sources and fiber-optic microphone. Sens. Actuators B Chem. 2020, 310, 127825. [Google Scholar] [CrossRef]
- Kuusela, T.; Peura, J.; Matveev, B.A.; Remennyy, M.A.; Stus, N.M. Photoacoustic gas detection using a cantilever microphone and III–V mid-IR LEDs. Vib. Spectrosc. 2009, 51, 289–293. [Google Scholar] [CrossRef]
- Liu, K.; Mei, J.; Zhang, W.; Chen, W.; Gao, X. Multi-resonator photoacoustic spectroscopy. Sens. Actuators B Chem. 2017, 251, 632–636. [Google Scholar] [CrossRef]
- Wu, H.; Yin, X.; Dong, L.; Pei, K.; Sampaolo, A.; Patimisco, P.; Zheng, H.; Ma, W.; Zhang, L.; Yin, W.; et al. Simultaneous dual-gas QEPAS detection based on a fundamental and overtone combined vibration of quartz tuning fork. Appl. Phys. Lett. 2017, 110, 121104. [Google Scholar] [CrossRef]
- Huang, Q.; Wei, Y.; Li, J. Simultaneous detection of multiple gases using multi-resonance photoacoustic spectroscopy. Sens. Actuators B Chem. 2022, 369, 132234. [Google Scholar] [CrossRef]
- Jiang, Y.; Zhang, T.; Wang, G.; He, S. A Dual-Gas Sensor Using Photoacoustic Spectroscopy Based on a Single Acoustic Resonator. Appl. Sci. 2021, 11, 5224. [Google Scholar] [CrossRef]
- Yi, H.; Laurent, O.; Schilt, S.; Ramonet, M.; Gao, X.; Dong, L.; Chen, W. Simultaneous Monitoring of Atmospheric CH4, N2O, and H2O Using a Single Gas Sensor Based on Mid-IR Quartz-Enhanced Photoacoustic Spectroscopy. Anal. Chem. 2022, 94, 17522–17532. [Google Scholar] [CrossRef]
- Mitrayana, N.; Nikita, J.G.; Wasono, M.A.J.; Satriawan, M. CO2 laser photoacoustic spectrometer for measuring ethylene, acetone, and ammonia in the breath of patients with renal disease. Sens. Bio-Sens. Res. 2020, 30, 100387. [Google Scholar] [CrossRef]
- Popa, C.; Bratu, A.M.; Petrus, M. A comparative photoacoustic study of multi gases from human respiration: Mouth breathing vs. nasal breathing. Microchem. J. 2018, 139, 196–202. [Google Scholar] [CrossRef]
- Faist, J.; Capasso, F.; Sivco, D.L.; Sirtori, C.; Hutchinson, A.L.; Cho, A.Y. Quantum cascade laser. Science 1994, 264, 553–556. [Google Scholar] [CrossRef]
- Ma, Y.; Lewicki, R.; Razeghi, M.; Tittel, F.K. QEPAS based ppb-level detection of CO and N2O using a high power CW DFB-QCL. Opt. Express 2013, 21, 1008–1019. [Google Scholar] [CrossRef]
- Yang, R.Q. Infrared laser based on intersubband transitions in quantum wells. Superlattice. Microst. 1995, 17, 77–83. [Google Scholar] [CrossRef]
- Sampaolo, A.; Csutak, S.; Patimisco, P.; Giglio, M.; Menduni, G.; Passaro, V.; Tittel, F.K.; Deffenbaugh, M.; Spagnolo, V. Methane, ethane and propane detection using a compact quartz enhanced photoacoustic sensor and a single interband cascade laser. Sens. Actuators B Chem. 2019, 282, 952–960. [Google Scholar] [CrossRef]
- Petra, N.; Zweck, J.; Kosterev, A.A.; Minkoff, S.E.; Thomazy, D. Theoretical analysis of a quartz-enhanced photoacoustic spectroscopy sensor. Appl. Phys. B 2009, 94, 673–680. [Google Scholar] [CrossRef]
- Zheng, H.; Lin, H.; Dong, L.; Huang, Z.; Gu, X.; Tang, J.; Dong, L.; Zhu, W.; Yu, J.; Chen, Z. Quartz-Enhanced Photothermal-Acoustic Spectroscopy for Trace Gas Analysis. Appl. Sci. 2019, 9, 4021. [Google Scholar] [CrossRef]
- Koskinen, V.; Fonsen, J.; Roth, K.; Kauppinen, J. Progress in cantilever enhanced photoacoustic spectroscopy. Vib. Spectrosc. 2008, 48, 16–21. [Google Scholar] [CrossRef]
- Zhang, X.; Liu, L.; Liu, Y.; Zhang, L.; Yin, X.; Huan, H.; Xi, T.; Shao, X. Detectors for gas-phase photoacoustic spectroscopy: A review. Microw. Opt. Techn. Let. 2022, 1–10. [Google Scholar] [CrossRef]
- Zéninari, V.; Parvitte, B.; Courtois, D.; Kapitanov, V.A.; Ponomarev, Y.N. Methane detection on the sub-ppm level with a near-infrared diode laser photoacoustic sensor. Infrared Phys. Technol. 2003, 44, 253–261. [Google Scholar] [CrossRef]
- Mattiello, M.; Niklès, M.; Schilt, S.; Thévenaz, L.; Salhi, A.; Barat, D.; Vicet, A.; Rouillard, Y.; Werner, R.; Koeth, J. Novel Helmholtz-based photoacoustic sensor for trace gas detection at ppm level using GaInAsSb/GaAlAsSb DFB lasers. Spectrochim. Acta Part A Mol. Biomol. Spectrosc. 2006, 63, 952–958. [Google Scholar] [CrossRef]
- Rouxel, J.; Coutard, J.; Gidon, S.; Lartigue, O.; Nicoletti, S.; Parvitte, B.; Vallon, R.; Zéninari, V.; Glière, A. Miniaturized differential Helmholtz resonators for photoacoustic trace gas detection. Sens. Actuators B Chem. 2016, 236, 1104–1110. [Google Scholar] [CrossRef]
- Giubileo, G. Laser-based assessment of lipid peroxidation in humans. Proc. SPIE-Int. Soc. Opt. Eng. 1998, 74, 1658–1676. [Google Scholar]
- Barbieri, S.; Pellaux, J.; Studemann, E.; Rosset, D. Gas detection with quantum cascade lasers: An adapted photoacoustic sensor based on Helmholtz resonance. Rev. Sci. Instrum. 2002, 73, 2458–2461. [Google Scholar] [CrossRef]
- Fernelius, N.C. Helmholtz resonance effect in photoacoustic cells. Appl. Optics 1979, 18, 1784–1787. [Google Scholar] [CrossRef] [PubMed]
- Starecki, T.; Geras, A. Differential Open Photoacoustic Helmholtz Cell. Int. J. Thermophys. 2014, 35, 2259–2268. [Google Scholar] [CrossRef]
- Li, Z.; Liu, J.; Si, G.; Ning, Z.; Fang, Y. Design of a high-sensitivity differential Helmholtz photoacoustic cell and its application in methane detection. Opt. Express 2022, 30, 28984. [Google Scholar] [CrossRef] [PubMed]
- Zeninari, V.; Kapitanov, V.A.; Courtois, D.; Ponomarev, Y.N. Design and characteristics of a differential Helmholtz resonant photoacoustic cell for infrared gas detection. Infrared Phys. Techn. 1999, 40, 1–23. [Google Scholar] [CrossRef]
- Rothman, L.S.; Gordon, I.E.; Babikov, Y.; Barbe, A.; Chris Benner, D.; Bernath, P.F.; Birk, M.; Bizzocchi, L.; Boudon, V.; Brown, L.R.; et al. The HITRAN2012 molecular spectroscopic database. J. Quant. Spectrosc. Radiat. Transf. 2013, 130, 4–50. [Google Scholar] [CrossRef]
- Miklós, A.; Hess, P.; Bozóki, Z. Application of acoustic resonators in photoacoustic trace gas analysis and metrology. Rev. Sci. Instrum. 2001, 72, 1937. [Google Scholar] [CrossRef]
- Ruxton, K.; Chakraborty, A.L.; Johnstone, W.; Lengden, M.; Stewart, G.; Duffin, K. Tunable diode laser spectroscopy with wavelength modulation: Elimination of residual amplitude modulation in a phasor decomposition approach. Sens. Actuators B Chem. 2010, 150, 367–375. [Google Scholar] [CrossRef]











| I1 (62.35 mA) | I2 (73.88 mA) | I3 (88.33 mA) | ||||
|---|---|---|---|---|---|---|
| Slope | R2 | Slope | R2 | Slope | R2 | |
| CH4 | 4.953 | 0.999 | −0.130 | 0.972 | −0.00622 | 0.822 |
| C2H4 | 0.232 | 0.999 | −1.778 | 0.999 | −0.125 | 0.953 |
| C2H6 | −0.038 | 0.964 | −0.355 | 0.999 | 13.780 | 0.999 |
| Mixture No. | Nominal CH4 Concentration [ppm] | Nominal C2H4 Concentration [ppm] | Nominal C2H6 Concentration [ppm] | Calculated CH4 Concentration [ppm] | Calculated C2H4 Concentration [ppm] | Calculated C2H6 Concentration [ppm] | |||
|---|---|---|---|---|---|---|---|---|---|
| SWLR Error | MWLR Error | SWLR Error | MWLR Error | SWLR Error | MWLR Error | ||||
| 1 | 6.11 | 6.37 | 6.37 | 5.25 | 6.27 | 5.32 | 6.09 | 6.99 | 6.62 |
| −14.1% | 2.6% | −16.5% | −4.4% | 9.7% | 3.9% | ||||
| 2 | 13 | 13 | 13 | 11.01 | 12.75 | 10.11 | 11.7 | 12.74 | 13.17 |
| −15.3% | −1.9% | −22.2% | −10.0% | −2.0% | 1.3% | ||||
| 3 | 29.9 | 30.0 | 30.1 | 27.66 | 29.79 | 32.37 | 32.75 | 29.64 | 28.98 |
| −7.5% | −0.4% | 7.9% | 9.2% | −1.5% | −3.7% | ||||
| 4 | 53.3 | 53.5 | 53.7 | 52.02 | 52.33 | 52.28 | 57.55 | 56.36 | 56.21 |
| −2.4% | −1.8% | −2.3% | 7.6% | 5.0% | 4.7% | ||||
| 5 | 49 | 47.6 | 11.4 | 47.60 | 49.35 | 45.08 | 47.44 | 10.52 | 10.84 |
| −2.9% | 0.7% | −5.3% | −0.3% | −7.7% | −4.9% | ||||
| 6 | 11.9 | 47.5 | 34.3 | 10.65 | 10.85 | 41.97 | 47.76 | 35.66 | 35.11 |
| −10.5% | −8.8% | −11.6% | 0.5% | 4.0% | 2.4% | ||||
| 7 | 44.9 | 15.7 | 34.9 | 43.69 | 40.66 | 9.37 | 14.87 | 35.13 | 35.67 |
| −2.7% | −9.4% | −40.3% | −5.3% | 0.7% | 2.2% | ||||
Disclaimer/Publisher’s Note: The statements, opinions and data contained in all publications are solely those of the individual author(s) and contributor(s) and not of MDPI and/or the editor(s). MDPI and/or the editor(s) disclaim responsibility for any injury to people or property resulting from any ideas, methods, instructions or products referred to in the content. |
© 2023 by the authors. Licensee MDPI, Basel, Switzerland. This article is an open access article distributed under the terms and conditions of the Creative Commons Attribution (CC BY) license (https://creativecommons.org/licenses/by/4.0/).
Share and Cite
Wu, Z.; Shi, Y.; Han, Y. Methane, Ethylene, and Ethane Detection by Differential Helmholtz Resonance Spectroscopy Using a 3345 nm Mid-Infrared Tunable Diode Laser Source. Appl. Sci. 2023, 13, 3169. https://doi.org/10.3390/app13053169
Wu Z, Shi Y, Han Y. Methane, Ethylene, and Ethane Detection by Differential Helmholtz Resonance Spectroscopy Using a 3345 nm Mid-Infrared Tunable Diode Laser Source. Applied Sciences. 2023; 13(5):3169. https://doi.org/10.3390/app13053169
Chicago/Turabian StyleWu, Zhe, Yunxing Shi, and Yuwang Han. 2023. "Methane, Ethylene, and Ethane Detection by Differential Helmholtz Resonance Spectroscopy Using a 3345 nm Mid-Infrared Tunable Diode Laser Source" Applied Sciences 13, no. 5: 3169. https://doi.org/10.3390/app13053169
APA StyleWu, Z., Shi, Y., & Han, Y. (2023). Methane, Ethylene, and Ethane Detection by Differential Helmholtz Resonance Spectroscopy Using a 3345 nm Mid-Infrared Tunable Diode Laser Source. Applied Sciences, 13(5), 3169. https://doi.org/10.3390/app13053169
