Abstract
Solitary-like surface waves that originate from the spatio-temporal evolution of falling liquid films have been the subject of theoretical and experimental research due to their unique properties that are not readily observed in other physical systems. Here we investigate, experimentally and theoretically, the dynamics of solitary-like surface waves in a liquid layer on an inclined plane that is subjected to a harmonic low-frequency vibration in a range from 30 to 50 Hz. We employ a standard boundary layer model, which describes large-amplitude deformations of the film surface, assuming that it has a self-similar parabolic longitudinal flow velocity profile, to confirm the experimental results and to explain the interplay between the short-wavelength Faraday instability and long-wavelength gravitational instability. In particular, we demonstrate that the vibration results in a decrease in the average and peak amplitude of the long solitary-like surface waves. However, the speed of these waves remains largely unaffected by the vibration, implying that they may propagate over large distances almost without changing their amplitude, thus rendering them suitable for a number of practical applications, where the immunity of pulses that carry information to external vibrations is required.
1. Introduction
Solitary waves—physical waves that maintain their shape and move with a constant velocity due to a cancellation of nonlinear effects and dispersive processes in the medium [1]—have been a long-term subject of fundamental and applied research studies in the fields of optics [2], fluid dynamics [3], magnetism [4], acoustics [5], electronics [6], and biology [7,8]. However, despite a good understanding of the physical properties of solitary waves of different kinds, their experimental studies often involve expensive and difficult-to-operate equipment, such as intense laser beams and nonlinear-optical materials in the field of optics [2] and sources of high-power microwave radiation in the field of magnetism [4]. Yet, in some systems, such as biological nerve fibres [7,8], the observation of solitary-like waves requires significant preparatory works and is possible mostly when a number of specific experimental conditions are satisfied. Such technical challenges complicate both fundamental studies and the verification of numerous theoretical works predicting that solitary waves could be used in communication [9,10], sensing [11], and data-processing [12] devices and systems.
There also exists a class of material solitary-like surface waves that originate from spatio-temporal evolution of falling liquid films [13,14]. Since the equipment needed to create falling liquid films is, in general, simpler than that used in experiments in the fields of optics and magnetism, the waves of this kind have attracted the attention of many scientists [15,16,17,18,19,20,21,22,23,24,25,26,27,28] following the pioneering experiments conducted by the Kapitzas [29]. In fact, while such solitary-like surface waves share many physical features with the other known types of solitary waves, they can exhibit unique physical properties not observed in other systems [24,30,31]. For instance, they can merge instead of passing through each other without significant change, with the latter being the case of two solitary waves governed by the well-known KdV equation [3,32]. The analysis of solitary-like surface waves in flowing liquid films is also important because liquid films, as well as similar physical systems [33,34,35], are often encountered in the fields of earth and planetary sciences [36,37] and in technological processes [38], where the liquids of interest can also experience temperature gradients [14,28] and vibrations [39,40,41]. Given this, the effect of vibrations on the wave dynamics of film flows has become an independent subject of fundamental and applied research [42,43,44,45,46]. In particular, it has been shown that vibrations can suppress certain waves on the surface of flowing liquid films [42] but in a relevant experiment [47] it has been demonstrated that vibrations can promote unusual regimes of spontaneous drop movement. Speaking broadly, the study of the effect of vibrations should also help develop communication, sensing and data processing systems that are immune to undesirable mechanical impacts on devices that use liquids as a medium and provide the critical functionality (see, e.g., [48,49,50]).
Although, traditionally, greater attention has been paid to the wave dynamics on free-falling vertical liquid films [13,14], studies of surface waves on liquid films flowing over slightly inclined planes have also been conducted, given them having essentially the same physics as in the case of vertical systems [24,42]. However, reports on experimental results involving the effect of vibrations are rather scarce and scattered in the literature sources [39,40,45]. In particular, in [39] it was shown that the vibration of a horizontal tube with a liquid thin film flowing over it results in the appearance of ripple waves at the vibration frequency. The amplitude of the so-created waves depends on the vibration amplitude and can reach the amplitude of periodic waves existing on the film surface without vibration. Subsequently, high-amplitude vibrations result in an increase in the film thickness and a concomitant increase in the speed of the waves. However, the opposite conclusions were drawn in [40], which is, most likely, a result of the differences in the system (a liquid film under two-phase flow conditions) investigated in that paper. It is also well-known that in horizontal liquid layers a harmonic vibration excites two different types of standing surface waves: harmonic waves that oscillate at the vibration frequency and subharmonic waves that oscillate at half of the vibration frequency [51]. However, the presence of a mean flow across the layer changes the response frequency of the excited waves [42,43,44]. Surface waves excited by harmonic vibration in a liquid film flowing over a vertical plane were investigated experimentally in [45] and the results obtained in that work validated the linear theory developed in [42,43,44].
Thus, the experimental work [45] mostly represents an attempt to systematically study the physics of wave motion on a vibrated plane. However, in general, building a setup involving liquids flowing down a vibrated vertical surface requires non-standard equipment built according to demanding technical specifications. In particular, the liquid should be supplied to the inlet located at the upper part of the plane so that the flow rate is not affected by the vibration. This is because the thickness of the liquid film is known to be very sensitive to external disturbances, including vibrations caused by the pump used to deliver the liquid from a reservoir to the inlet [22]. Moreover, the shaker producing the vibration should be connected to the vertically positioned surface via a vibration transmission structure. Some of the engineering challenges of creating such a structure are the need to move a considerable total mass of the supporting structure and liquid with high precision, and to ensure that the amplitude of the vibration across the plane area is uniform [45]. To resolve the problem of non-uniform vibration amplitude, in [45] it is was suggested that qualitatively similar results could be obtained vibrating just one side of the plane, i.e., vibrating just a portion of the liquid, thus also significantly reducing the total mass that needs to be moved by the shaker.
In this paper, we present and discuss a technically simple and compact experimental setup for the investigation of solitary-like surface waves on a slightly inclined plane positioned on top of a vibrating table and equipped with an auxiliary channel that recycles the liquid used in the experiment, thus decreasing the chance of spills of the liquid and its unwanted contact with the measurement and imaging equipment, and also decreasing the total mass that needs to be moved by the shaker. We employ this setup to demonstrate that the instabilities of the thin liquid film caused by the vibrations result in a decrease in the peak amplitude of the solitary-like surface waves. We conclude that, despite these changes, the speed of the solitary-like waves does not appreciably change due to vibration. As a result, these waves can propagate for long distances without changing their shape and, therefore, can be used in the practical applications discussed in this work. We also demonstrate the advantage of using frequency-wavevector dispersion maps for the analysis of the properties of rolling waves, thus extending the toolbox of researchers working on this class of wave motion phenomena. Our experimental results are validated using the Shkadov model [52,53]: a boundary-layer hydrodynamic model derived from the Navier–Stokes equation under the assumption of self-similar parabolic longitudinal velocity flow field across the layer.
2. Background and Experimental Methods
When a single-layer liquid film flows down an inclined plane with a no-slip boundary, the resulting Nusselt flat film flow profile assumes a parabolic longitudinal velocity shape, having the largest velocity at the free surface [13,14,24]. In this flow regime, a long-wavelength surface instability develops when the average flow rate exceeds a certain critical value [15]. When the disturbances are excited naturally, in general four regimes of different wave behaviour can be observed in the downstream regions of the inclined plane [13]. The first regime is observed in a section of the plane that is adjacent to the inlet of the liquid, where small disturbances caused by the inlet structure are amplified while moving downstream and forming predominantly monochromatic waves. The second regime is observed in the following downstream region, where the monochromatic waves grow in amplitude and then develop higher-order frequency harmonics due to nonlinear effects. Then, as a result of complex nonlinear interactions, two-dimensional solitary-like waves are formed, and then they propagate further downstream exhibiting unique properties that, in part, coincide with those of other known solitary waves but, in general, are unique [24]. Finally, three-dimensional waves start to form due to transverse variations [13,14].
It is noteworthy that not all aforementioned regimes can necessarily be observed in practice [13]. Yet, it is well-known that when the initial natural disturbance at the inlet is nearly monochromatic, the waves emerging in the region located immediately after the inlet can first inherit the frequency of the disturbance and then evolve into a solitary-like wave far downstream [13,14,24]. However, when either the thickness of the liquid film or the fluid flow is periodically modulated at the inlet, solitary-like surface waves develop almost immediately after leaving the inlet area [14,24], which indicates that the nonlinear evolution of the flow over an inclined plane is dominated by solitary-like waves independently of whether their formation was deliberately forced or resulted naturally.
Figure 1 shows a sketch of the setup that enables observing the formation of both forced and natural (unforced) solitary-like surface waves. The setup is assembled on a vibrating table that is driven by a shaker (35 W, 20–80 Hz response, Dayton Audio, OH, USA). The electric signal applied to the shaker is produced using a digital signal generator that has the frequency tuning accuracy of μHz. The vibration amplitude is measured by an analog accelerometer (ADXL326, Analog Devices, OH, USA) that has the accuracy of g. The inclined plane, where the waves are observed, is a 5-cm-wide and 50-cm-long rigid aluminium plate. The surface of the plate was chemically treated to improve the formation of the liquid film. In general, the inclination angle must be relatively small to suppress the three-dimensional instabilities of the rolling waves that are known to develop at relatively large flow rates [54]. Subsequently, for the fluid parameters used in this work, we choose and experimentally verify that in the absence of vibration the observed two-dimensional rolling waves remain stable during the entire observation period. The inclined plate was mounted on top of wider open channel used to recycle the liquid by redirecting it to the main reservoir. A low-vibration DC voltage pump driven via a customised electronic circuit was used to supply water from the reservoir to the inlet. The electronic modulation of the pump flow rate enabled controlling the thickness of the liquid film and the creation of solitary-like waves. Based on the pump flow rate, the width of the channel and the average speed of the flow close to the inlet, the estimated thickness h of the liquid layer varies in the range mm.
Figure 1.
Sketch of the experimental setup used to observe the solitary-like surface waves. For the sake of clarity, only the main constructive features are shown, including the inclined plate, where the waves are observed, the pathway for recycling of the used liquid, and the vibrating table. The dimensions and relative positions of the components in this sketch are not to scale.
At the stage of preparation of the experiments, an organic fluorescent dye (Tintex, Australia) was added to tap water in the concentration of 1 g per litre, thus leading to the emission of bright green fluorescence light when the surface of the inclined plate was illuminated with UV-A light. All experiments were conducted in a darkened, acoustically isolated room with environmental humidity and temperature levels. An overhead digital camera, capable of recording videos in a slow motion regime, was used and the resulting videos were post-processed in FFmpeg and Octave software using customised computational procedures enabling the extraction of the wave amplitude from the intensity profile of the fluorescence images. In brief, FFmpeg software was used to extract every frame from the recorded videos. The pixel size of each resulting image was calibrated with the real dimensions of the inclined plate. Then, all so-obtained frame images were processed in Octave software using the following procedure: a linear averaging filter (function wiener2) was first applied to the input image and then function impixel was used to return the pixel values at the selected image coordinates, thus producing an intensity profile based on the pixel values from the RGB colour triples. The resulting data were stored as two-dimensional arrays. Plotted as an image, these two-dimensional arrays correspond to false-colour maps, where spatiotemporal traces of solitary-like waves can be seen, as discussed below. The application of a Hann window to both dimensions of these arrays and the use of the two-dimensional Fourier transformation function fft2 results in the dispersion maps of the solitary-like waves.
3. Experimental Results
Figure 2 shows the representative images of the solitary-like surface waves propagating over a downstream section of the inclined plate, when the vibration is turned off (Figure 2a) and when the plate is vibrated with the frequency of 48 Hz and the peak amplitude is 1 g (Figure 2b), g being the gravitational acceleration. The frequency of the forcing of the solitary-like waves is 2 Hz in both panels of Figure 2. The images were obtained from the selected individual fluorescence frames of the recorded videos of the propagating waves. Without vibration (Figure 2a), we can observe a train of downstream-propagating solitary pulses. A closer inspection also reveals the existence of periodic waves with an amplitude that is much smaller than that of solitary-like waves. When the plate is subjected to vibration (Figure 2b), we continue observing a train of solitary pulses with approximately the same pulse periodicity as in Figure 2a. However, the peak amplitude of the pulses is lower than in the case without vibration. Yet, in agreement with the relevant theory [42,44] and experiment on the vertical plane [45], we also observe the short wavelength ripples arising due to the onset of the Faraday instability.
Figure 2.
Instantaneous profiles of the surface waves in a liquid film flowing over the inclined plate. The profiles were obtained from the fluorescence images. The frequency of the flow forcing resulting in the formation of solitary-like waves is 2 Hz. (a) No vibration. (b) The inclined plate is vibrated with the frequency of 48 Hz and the peak vibration amplitude of 1 g.
Using our fluorescence intensity analysis software, we register the profiles of the waves at the points located on the centre line of the inclined plate along the downstream direction, and we plot the so-obtained data as a function of time. The resulting spatiotemporal false-colour maps are plotted in Figure 3 with the observation period of 2 s for the scenario of no vibration (Figure 3a) and with the 48 Hz vibration (Figure 3b). In those figures, we can see the traces of several solitary-like waves that propagate in the downstream direction. The traces are more distinguishable and have higher false-colour amplitudes in the case of no vibration than with the vibration, which confirms our observation of a decrease in the peak amplitude of the solitary pulses due to the vibration in Figure 2. The ripple waves caused by the vibration-induced Faraday instabilities can also be seen in Figure 3b. It is noteworthy that the separation between the traces and the relative position of the traces in the time-downstream coordinate space are very similar with and without the vibration. This indicates that, even though the peak amplitude of the solitary-like waves is affected by the vibration, in general the vibration does not change the shape of the soliton pulses.
Figure 3.
False-colour maps showing the spatiotemporal traces of solitary-like waves forced at the frequency of 2 Hz. (a) No vibration. (b) The inclined plate is vibrated with the frequency of 48 Hz and the peak vibration amplitude of 1 g.
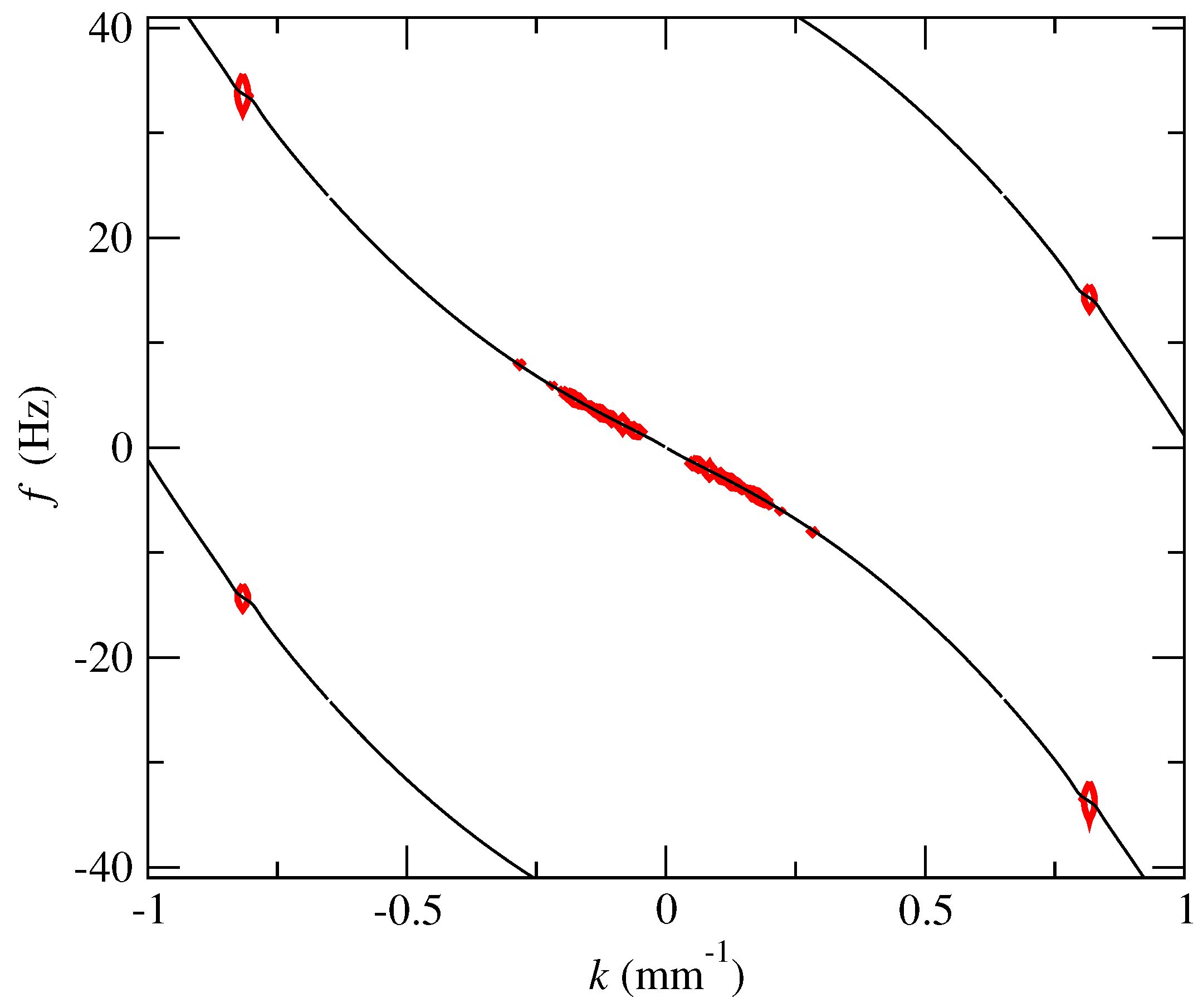
Then, we apply a two-dimensional Fourier transformation to the spatiotemporal data to obtain the dispersion maps as a function of frequency f and wavevector k. Since the speed of a wave is given by , using the resulting dispersion maps we can identify the bands of constant ratio that correspond to waves travelling along the incline plate at a constant speed. However, we apply the standard f-k filtering procedures to remove noise from the dispersion characteristics [55]. Figure 4 shows the dispersion maps for the case of no vibration (Figure 4a) and with the 48 Hz vibration (Figure 4b). While the negative frequency regions of the dispersion maps originate from the mathematical properties of the Fourier transformation, the sign of the wavevector has the physical meaning as it determines the direction of the wave propagation.
Figure 4.
Dispersion maps of the solitary-like waves forced at the frequency of 2 Hz. (a) No vibration. (b) The inclined plate is vibrated with the frequency of 48 Hz and the peak vibration amplitude of 1 g. The plots are slightly oversaturated for the sake of a better visual presentation.
We first analyse the dispersion map in Figure 4a and its magnified image presented in Figure 5a, where we can see a set of high-magnitude discrete bands that are superimposed on a broader continuum band of a lower magnitude. The frequencies of the discrete bands correspond to the forcing frequency of the solitary-like waves of 2 Hz and its higher-order harmonics of 4, 6 and 8 Hz and so forth. The origin of the harmonics is due to the nonlinear effects, as discussed below. The spectrum of the discrete bands changes as the frequency of forcing of the solitary-like waves is changed. When the modulation of the pump flow was turned off, i.e., with no wave forcing, the discrete bands completely disappeared. However, a continuum band was always observed independently of whether the forcing was turned on or off. Subsequently, we associate the continuum band with natural periodic rolling waves propagating on the surface of the liquid film flowing over the inclined surface. According to the frequency–wavevector spectral analysis theory [55], a fit of the observed bands with a straight line produces the velocity of the solitary-like wave of m/s.
Figure 5.
Close-ups of the dispersion maps presented in Figure 4. The linear fits of the dispersion bands and the corresponding wave velocities are shown (a,b).
When the plate is vibrated (Figure 4b), in addition to the dispersion bands discussed in Figure 4a we observe two new isolated bands that can be associated with the Faraday instability. Moreover, the close-up of the dispersion map (Figure 5b) shows that the magnitude of the discrete modes decreased due to the vibration, which is an observation that is consistent with our conclusions made earlier in the text. Yet, the bands in Figure 5b can also be fitted with a straight line that corresponds to the wave velocity of m/s.
Empirically, the presence of the discrete bands at the forcing frequency of 2 Hz and its higher-order harmonics can be explained using the well-established analogy between rolling waves and acoustic waves [56]. Indeed, the solitary-like surface waves in Figure 2 can be regarded as large-amplitude shock-like disturbances (in the sub-field of physically similar roll waves in open channel such a discontinuity is called the hydraulic jump [14,21,34]). Shock waves are also well-known in the field of nonlinear acoustics, where their formation is accompanied by strong nonlinear effects such as the generation of higher-order harmonic frequencies [50]. Considering longitudinal acoustic waves that can be described as alternating areas of compression and rarefaction in the medium, we can show that the points of the crests of an acoustic wave travel faster than the speed of sound in the medium, but the points of the wave troughs travel slower [50]. This physical process underpins the formation of an acoustic shock wave [56]. In turn, in the field of rolling waves, the crest of a large-amplitude solitary-like wave is connected to its trough by a discontinuity, where the flow regime abruptly changes from a supercritical condition and where the fluid moves faster than the wave, to a subcritical one, where the fluid moves slower [14,34]. As a result, the spectrum of the wave becomes enriched by the higher-order harmonic of the frequency of forcing.
Qualitatively similar results were obtained at the vibration frequencies in the range from 30 Hz to 50 Hz, and they were validated by our theoretical analysis, the results of which are presented in the following section. As a technical note, we established that in our measurements the resonance frequency of the mounted shaker was approximately 40 Hz and that the analysis of results obtained at this frequency and at the frequencies close to it required several additional post-processing signal filtering steps compared with the analysis of the results at the frequencies that are far from the resonance, including 48 Hz, the results for which have been discussed above.
4. Theory
The theoretical description of a non-steady flow in the presence of deformable interfaces, such as the flow in a thin liquid layer down a vibrated incline, is a notoriously difficult hydrodynamic problem. The exact analysis is only available in the linear case, i.e., when the deformation amplitude of the liquid-air interface is much smaller than the average film thickness [42]. In the general case, when a harmonic vibration is applied both in the perpendicular and parallel directions with respect to the inclined plate, the unperturbed base flow is given by a superposition of a steady Nusselt flow and of an additional harmonically oscillating flow parallel to the incline with a flat free surface [42]. The Navier–Stokes equation for an incompressible fluid can be linearised about the base flow and the Floquet theory-based stability analysis determines if the flow is stable or unstable. The linear stability of a flat film flowing down an incline under the combined action of the longitudinal and orthogonal vibration has been investigated in Ref. [43] using a theoretical approach based on the exact linearisation of the Navier–Stokes equation [42].
The full nonlinear problem with a large amplitude deformation of the film surface can only be studied approximately using simplified hydrodynamic models. Here we use the well-known Shkadov model [52,53], which can be derived from the Navier–Stokes equation by assuming a self-similar parabolic longitudinal velocity profile. The model developed by Shkadov was used earlier to study nonlinear solitary waves in falling liquid films in the absence of vibration [22,23] and to investigate the onset of Faraday waves in vertically vibrated isolated liquid drops [57].
Despite a long history of the boundary layer models and other simplified hydrodynamic models in thin liquid films dynamics, the nonlinear behaviour of the surface waves in a liquid film flowing down an incline in the presence of both the longitudinal and orthogonal vibrations remains largely unexplored. Indeed, earlier studies have mainly focused either on the nonlinear Faraday waves in liquid films on a horizontal plate subjected to horizontal and vertical vibrations [58] or on liquid films falling down a vertical plate with the vibration applied orthogonally to the plate surface [44,45]. In this work, we use the Shkadov model [52,53] to study linear stability and nonlinear dynamics of the surface waves in liquid layers on a slightly inclined plate mounted on a vertically vibrated table. In this situation, the driving force due to gravity is not as dominating as in falling liquid films and the inclination of the plate leads to a redistribution of the vibration into the longitudinal and orthogonal components. Our theoretical analysis presented below is used to validate the experimental results and to explain the nonlinear interaction between the long-wave gravitational instability mode and the short-wave Faraday mode.
Thus, we consider a liquid film with the local film thickness flowing down an inclined solid plate that makes an angle with the horizontal, as shown in Figure 1. In our model, the x-axis is chosen to be parallel to the plate with the positive direction pointing down the incline. To capture rolling waves, we use a one-dimensional version of the Shkadov model, which is formulated as a set of two coupled nonlinear equations for and the local flux across the layer , where is the longitudinal flow velocity and z-axis is perpendicular to the incline
where is the dynamic viscosity, is the liquid–air surface tension, and the time-dependent gravity acceleration due to vibration is . The inclination of the plate leads to a re-distribution of the vertical vibration into a longitudinal and an orthogonal components, respectively.
The base flow corresponds to a time-periodic spatially homogeneous flux and a flat film surface . From Equation (1) we obtain the following expression by setting :
where represents the length of the acoustic boundary layer.
In the absence of vibration, i.e., when , the base flow is the time-independent Nusselt flow, where the linear stability is well-known in the case of a falling film, i.e., at [22,23]. For an arbitrary inclination angle , the instability sets in when , where is the Reynolds number. To put this condition into perspective, for a water film on a incline, the flow is unstable when mm. The corresponding instability is called gravitational instability and it leads to the onset of long surface waves propagating downstream. The wavelength of unstable waves is longer than , where is the critical wavevector of the gravitational instability
Neutrally stable waves with the wavelength propagate downstream with a speed c, which is twice as large as the surface speed in the Nusselt flow, i.e., .
When the vibration is switched on, the Faraday instability mode develops and it competes with the gravitational instability mode. To study the stability of the base flow Equation (2) we use the standard plane-wave ansatz and , where k is the wavevector of the small-amplitude perturbation. By differentiating the second equation in Equation (1) with respect to time and the first equation with respect to x, the flux perturbation can be eliminated to yield a complex-valued Mathieu-like equation for the film thickness perturbation
with and .
According to the Floquet theory, the solution of Equation (4) is given by , where is some bounded periodic function with the period and is the Floquet exponent. The solution is stable when the real part of the largest Floquet exponent is negative, i.e., and it is unstable otherwise. The Floquet exponents are related to the monodromy matrix via , where is the eigenvalue of . The complex-valued monodromy matrix is given by the fundamental solution matrix that is obtained by writing Equation (4) as a system of two first-order equations and integrating it over one period T with the unit matrix as the initial condition.
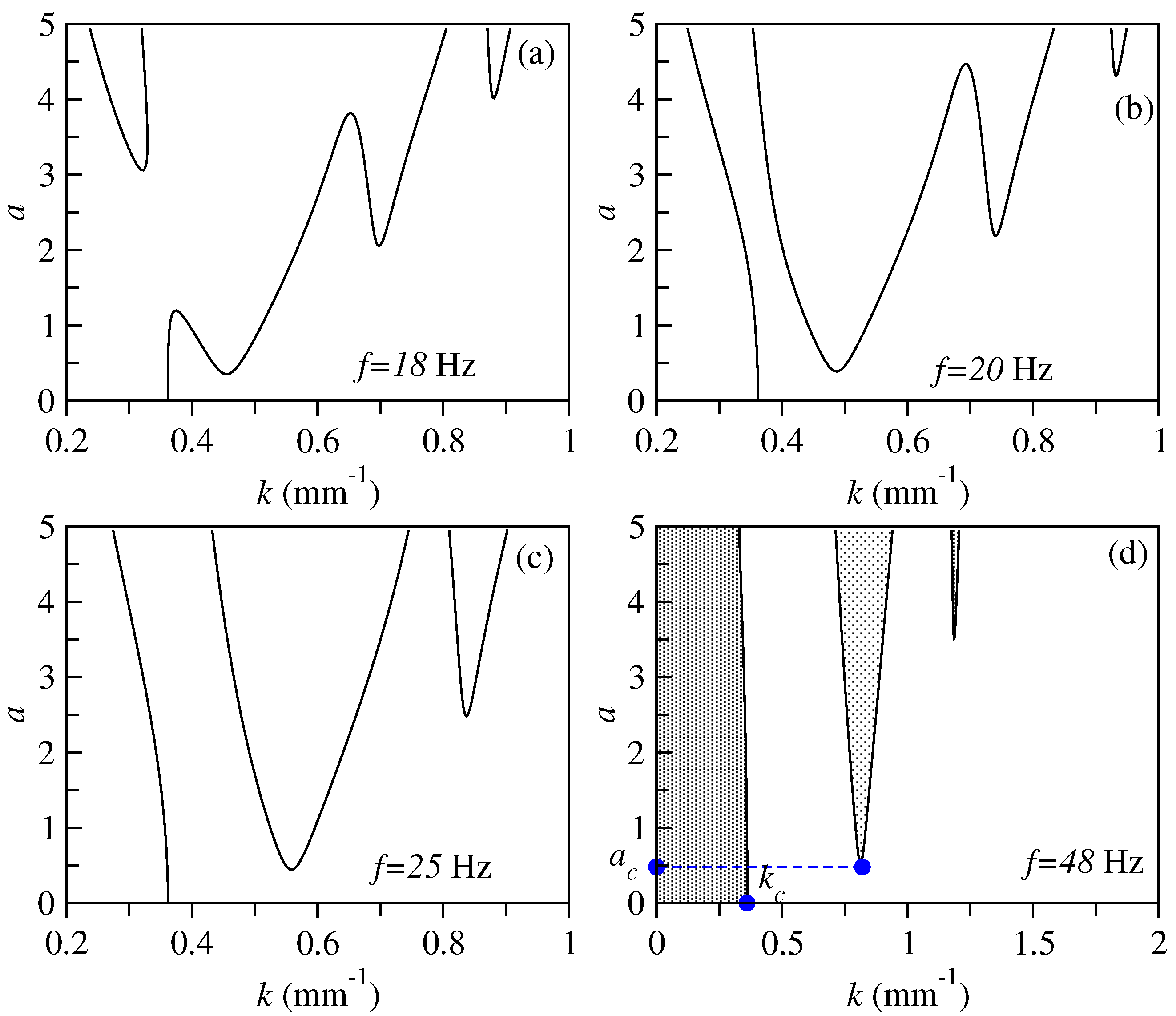
For the inclination angle , we choose the thickness of the water film mm, which is slightly above the critical value for the gravitational instability of mm. The corresponding Reynolds number in the absence of vibration is . The definition of the Froude number depends on the source and according to [23] is given by in the absence of vibration. When the vibration is switched on, the characteristic flow speed changes so that the Reynolds and Froude numbers must be redefined. Thus, according to [44], , when vibrated at Hz.
The marginal stability curves that correspond to are shown in Figure 6 for four different vibration frequencies Hz. The critical wavevector of the gravitational instability Equation (3) is marked by in Figure 6d and it remains unaffected by the vibration. The shaded regions in Figure 6d indicate the unstable areas. The Faraday instability sets in at the vibration amplitude that corresponds to the tip of the lowest Faraday tongue. The value of , as extracted from Figure 6, slightly increases with f, namely: for Hz, for Hz, for Hz and for Hz. This observation confirms the earlier statement that, for the range of frequencies between 30 Hz and 50 Hz, the surface waves are much more sensitive to the changes of the vibration amplitude a than to the changes of the vibration frequency f. Indeed, comparing Figure 6c,d we see only a marginal difference in the critical amplitude when the frequency is doubled. On the other hand, increasing the value of a from to will significantly broaden the band of unstable wavevectors of the Faraday instability, thus significantly changing the dynamics of the surface waves.
Figure 6.
Marginal stability curves of the base flow Equation (2) for a mm water film on a incline vibrated at (a) Hz, (b) Hz, (c) Hz and (d) Hz. The shaded regions in panel (d) highlight the unstable areas, indicates the critical wavevector of the gravitational long-wave instability Equation (3), and marks the critical vibration amplitude when the Faraday instability sets in.
To better understand the temporal signature of the surface waves in response to vibration, we compute the imaginary part of the Floquet exponent , where, as before, is the eigenvalue of the monodromy matrix and n is an arbitrary integer. Any neutrally stable wave, i.e., , can be represented in the form , where is a bounded -periodic function. Therefore, the temporal spectrum of such a neutrally stable wave contains delta peaks located at . The temporal spectrum of a growing wave with contains the same delta peaks that will appear slightly smeared.
At this stage, it is important to emphasise that the temporal response of the surface waves that develop on the surface of a liquid layer on a vibrated incline is not necessarily harmonic (frequencies ) or subharmonic (frequencies ). This feature is in stark contrast to the standard Faraday instability in horizontal liquid layers, when the neutrally stable waves are always harmonic or subharmonic standing waves [51]. In some special cases, however, such as that discussed in [45] for transversally vibrated falling liquid films, the magnitude of may be close to zero or , leading to an almost harmonic or subharmonic response. For the fluid parameters used in the present study, the frequency of the Faraday mode is significantly shifted from or , as shown in Figure 4b.
Next, we simulate the experimental conditions at which the results shown in Figure 4b were obtained to gain a better understanding of how the vibration changes the dynamics of the waves in the early stages of evolution. Thus, we numerically integrate Equation (1) over the time interval of 3 s in the system of length of 60 cm with periodic boundaries. The vibration amplitude is , and the other parameters are the same as in Figure 6d. As the initial conditions, we use zero flux and random initial perturbation of the flat film surface with the amplitude of mm. The dispersion map is obtained by taking the two-dimensional Fourier transformation of the solution . The contour lines of the dispersion map that correspond to the level of 3% of its maximum are shown by the thick lines in Figure 7. The thin solid lines in Figure 7 correspond to the dispersion curves , computed from Equation (4) for and Hz. It can be seen that the results of the direct simulation of the full system Equation (1) are in perfect agreement with the dispersion curves of the small-amplitude surface waves.
Figure 7.
Contour plot (thick lines) of the dispersion map of the solution of Equation (1) computed over the time interval of 3 s with a random initial perturbation of the flat film surface. The thickness of the water film is mm and the vibration parameters are and Hz, similarly to Figure 4b. The thin solid lines correspond to the imaginary part of the Floquet exponent of the most unstable mode.
The dispersion map in Figure 7 is dominated by the delta peaks located at and Hz, thus confirming that the primary response of the liquid film to a harmonic vibration is neither harmonic, nor subharmonic. Qualitatively, the shift of the response frequency away from the standard for the Faraday instability subharmonic mode can be explained as follows. In a horizontal layer vibrated at frequency , the Faraday instability sets in the form of a standing wave oscillating at the subharmonic frequency . Any standing wave can be represented as a superposition of two plane waves travelling at the phase speed of in the opposite directions, i.e., . When the layer is slightly inclined with the positive direction pointing downstream, it would be reasonable to assume that the plane wave propagating downstream will increase its phase speed by some amount , but the wave propagating upstream will decrease its phase speed by the same amount . Assuming that the wavevector remains unaffected by a small inclination angle, the resulting solution is represented by . Therefore, the temporal spectrum of will contain delta peaks located at and , in agreement with Figure 7.
Alongside the delta peaks, the dispersion map in Figure 7 also contains a band of linearly unstable plane waves with the wavevectors . These long waves are amplified as the result of the gravitational instability mode. It can be seen that the gravitational band falls perfectly on the central dispersion curve that passes through the origin. The central dispersion branch in Figure 7 is almost indistinguishable from the dispersion curve in the absence of vibration (not shown). This allows us to conclude that a relatively strong vibration (sufficiently strong to excite Faraday waves) has almost no effect on the phase speed of the long gravitational surface waves.
To study the interaction between the Faraday waves and gravitational surface waves in the nonlinear regime, we solve Equation (1) over the time interval of 15 s with and without vibration and compare the respective dispersion maps in Figure 8.
Figure 8.
(a) Dispersion map obtained from the solution of Equation (1) in the absence of vibration for a mm water film on a incline. (b) Dispersion map of the solution of Equation (1) when the inclined plane vibrated at Hz with the amplitude . The scaling for the vertical axis is in arbitrary logarithmic units.
5. Conclusions
In conclusion, our experiments with a sub-millimetre-thick water layer on a slightly inclined vertically vibrated plate demonstrate that low-frequency vibration in the range between 30 and 50 Hz suppresses the development of long rolling surface waves propagating downstream. These surface waves appear as the result of the long-scale gravitational instability of the base flow in the absence of vibration [15,16] and may also be excited by mechanically perturbing the flow at the inlet. A relatively small thickness of the water layer (under 1 mm) is required to suppress the three-dimensional instability of the rolling waves that is known to develop at large flow rates. Experimental findings are verified using a boundary-layer hydrodynamic model [52,53] obtained from the Navier–Stokes equation by assuming a self-similar parabolic longitudinal flow velocity. Linear stability and nonlinear dynamics of the surface waves obtained with the model qualitatively confirm the main experimental findings.
Without vibration, the Fourier content of surface waves is represented by a broad band of unstable wavevectors , where is a critical cut-off wavevector of the gravitational instability (see Equation (3)). As the instability unfolds, the wavelength of the dominant wave quickly increases until it develops into a solitary-like wave [24]. For fluids with a relatively small viscosity, such as water, the characteristic time required for solitary rolling waves to develop on a 3o incline is in the order of several seconds. In the nonlinear regime, the Fourier content of the surface waves is dominated by solitary-like waves characterised by a small wavevector with a background of smaller amplitude shorter waves, which is shown in Figure 4a and Figure 8a.
We observe that the properties of the surface waves change dramatically when the layer is vibrated. Thus, a relatively weak vibration (the vibration amplitude ) leads to the onset of the secondary Faraday instability in the form of short waves with a wavelength of mm when vibrated at Hz. In agreement with the earlier theoretical studies [42,43,44], the temporal frequency of the Faraday waves is shifted away from the harmonic (48 Hz) and subharmonic (24 Hz) response that is typical of Faraday instability in horizontal liquid layers. In fact, the inclination angle of the plate acts as a wave filter, splitting a standing Faraday wave into two plane waves: one propagating upstream and one propagating downstream. Similarly to the Doppler effect, the wave that propagates downstream increases its speed and, therefore, increases its temporal frequency, while the wave that propagates upstream decreases its speed and frequency. For water layers vibrated at 48 Hz, we observe the following shifts in frequency away from the subharmonic response: from 24 Hz to approximately 40 Hz for the downstream wave and from 24 Hz to approximately 8 Hz for the upstream wave.
In the nonlinear regime, the interaction between shorter Faraday waves and longer gravitational waves leads to the broadening of their respective bands in the f-k dispersion map. Most importantly, we find that the average and peak amplitudes of the long-scale gravitational waves are significantly reduced when vibration is applied. This result is rather intriguing since the total influx of energy is larger in the vibrated system when both gravity and vibration together drive the flow, unlike in the non-vibrated case, where the only source of energy is due to gravity. Yet, nonlinear wave interaction leads to an uneven re-distribution of energy amongst the Faraday and gravitational waves in favour of the former. The physical mechanism responsible for the suppression of gravitational waves remains an open question; however, it is plausible to assume that the fast-oscillating fluid flow in the form of circulation patterns [59] in pulsating Faraday waves may slow down the redistribution of fluid on the large scale, required for the growth and development of the gravitational waves.
Apart from a contribution of the fundamental knowledge, the results presented in this work may be used to better understand and further improve certain technological processes that rely on falling liquid films. Yet, the demonstrated immunity of the solitary-like waves to external vibration and their intriguing nonlinear dynamical behaviour will be of interest to researchers working on emergent technologies, where both solitary waves and fluid systems play an important role [7,8,12,48,60,61,62].
Author Contributions
Experiments, I.S.M.; theoretical analysis, A.P.; writing, I.S.M. and A.P. All authors have read and agreed to the published version of the manuscript.
Funding
This research received no external funding.
Institutional Review Board Statement
Not applicable.
Informed Consent Statement
Not applicable.
Data Availability Statement
Not applicable.
Conflicts of Interest
The authors declare no conflict of interest.
References
- Remoissenet, M. Waves Called Solitons: Concepts and Experiments; Springer: Berlin/Heidelberg, Germany, 1994. [Google Scholar]
- Kivshar, Y.S.; Agrawal, G.P. Optical Solitons: From Fibers to Photonic Crystals; Academic Press: New York, NY, USA, 2003. [Google Scholar]
- Korteweg, D.J.; De Vries, G. On the change of form of long waves advancing in a rectangular canal, and on a new type of long stationary waves. Philos. Mag. 1895, 39, 422–443. [Google Scholar] [CrossRef]
- Scott, M.M.; Kostylev, M.P.; Kalinikos, B.A.; Patton, C.E. Excitation of bright and dark envelope solitons for magnetostatic waves with attractive nonlinearity. Phys. Rev. B 2005, 71, 174440. [Google Scholar] [CrossRef]
- Péronne, E.; Chuecos, N.; Thevenard, L.; Perrin, B. Acoustic solitons: A robust tool to investigate the generation and detection of ultrafast acoustic waves. Phys. Rev. B 2017, 95, 064306. [Google Scholar] [CrossRef]
- Li, X.; Ricketts, D.; Ham, D. Solitons and Nonlinear Wave Electronics; CRC Press: Boca Raton, FL, USA, 2009. [Google Scholar]
- Heimburg, T.; Jackson, A.D. On soliton propagation in biomembranes and nerves. Proc. Natl. Acad. Sci. USA 2005, 102, 9790–9795. [Google Scholar] [CrossRef]
- Gonzalez-Perez, A.; Budvytyte, R.; Mosgaard, L.D.; Nissen, S.; Heimburg, T. Penetration of action potentials during collision in the median and lateral giant axons of invertebrate. Phys. Rev. X 2014, 4, 031047. [Google Scholar] [CrossRef]
- Haus, H.A.; Wong, W.S. Solitons in optical communications. Rev. Mod. Phys. 1996, 68, 423–444. [Google Scholar] [CrossRef]
- Corcoran, B.; Tan, M.; Xu, X.; Boes, A.; Wu, J.; Nguyen, T.G.; Chu, S.T.; Little, B.E.; Morandotti, R.; Mitchell, A.; et al. Ultra-dense optical data transmission over standard fibre with a single chip source. Nat. Commun. 2020, 11, 2568. [Google Scholar] [CrossRef]
- Kulikov, I.; Zak, M. Detection of moving targets using soliton resonance effect. Adv. Remote Sens. 2012, 1, 58–63. [Google Scholar] [CrossRef]
- Silva, N.A.; Ferreira, T.D.; Guerreiro, A. Reservoir computing with solitons. New J. Phys. 2021, 23, 023013. [Google Scholar] [CrossRef]
- Chang, H.C. Wave evolution of a falling film. Annu. Rev. Fluid Mech. 1994, 26, 103–136. [Google Scholar] [CrossRef]
- Kalliadasis, S.; Ruyer-Quil, C.; Scheid, B.; Velarde, M.G. Falling Liquid Films; Springer: London, UK, 2012. [Google Scholar]
- Yih, C. Stability of Liquid Flow down an Inclined Plane. Phys. Fluids 1963, 6, 321–334. [Google Scholar] [CrossRef]
- Benney, D.J. Long waves on liquid films. J. Math. Phys. 1966, 45, 150–155. [Google Scholar] [CrossRef]
- Esmail, M.; Shkadov, V. Nonlinear theory of waves in a viscous liquid layer. Fluid Dyn. 1971, 6, 599–603. [Google Scholar] [CrossRef]
- Portalski, S.; Clegg, A.J. An experimental study of wave inception on falling liquid films. Chem. Eng. Sci. 1972, 27, 1257–1265. [Google Scholar] [CrossRef]
- Nakaya, C. Long waves on a thin fluid layer flowing down an inclined plane. Phys. Fluids 1975, 18, 1407–1412. [Google Scholar] [CrossRef]
- Sivashinsky, G.I.; Michelson, D.M. On Irregular Wavy Flow of a Liquid Film Down a Vertical Plane. Prog. Theor. Phys. 1980, 63, 2112–2114. [Google Scholar] [CrossRef]
- Pumir, A.; Manneville, P.; Pomeau, Y. On solitary waves running down an inclined plane. J. Fluid Mech. 1983, 135, 27–50. [Google Scholar] [CrossRef]
- Alekseenko, S.V.; Nakoryakov, V.E.; Pokusaev, B.G. Wave formation on vertical falling liquid films. Int. J. Multiph. Flow 1985, 11, 607–627. [Google Scholar] [CrossRef]
- Trifonov, Y.Y.; Tsvelodub, O.Y. Nonlinear waves on the surface of a falling liquid film. Part 1. Waves of the first family and their stability. J. Fluid Mech. 1991, 229, 531–554. [Google Scholar] [CrossRef]
- Liu, J.; Gollub, J.P. Solitary wave dynamics of film flows. Phys. Fluids 1994, 6, 1702–1712. [Google Scholar] [CrossRef]
- Yu, L.; Wasden, F.K.; Dukler, A.E.; Balakotaiah, V. Nonlinear evolution of waves on falling films at high Reynolds numbers. Phys. Fluids 1995, 7, 1886–1902. [Google Scholar] [CrossRef]
- Oron, A.; Davis, S.H.; Bankoff, S.G. Long-scale evolution of thin liquid films. Rev. Mod. Phys. 1997, 69, 931–980. [Google Scholar] [CrossRef]
- Nguyen, L.T.; Balakotaiah, V. Modeling and experimental studies of wave evolution on free falling viscous films. Phys. Fluids 2000, 12, 2236–2256. [Google Scholar] [CrossRef]
- Thiele, U.; Knobloch, E. Thin liquid films on a slightly inclined heated plate. Phys. D Nonlinear Phenom. 2004, 190, 213–248. [Google Scholar] [CrossRef]
- Kapitza, P.L.; Kapitza, S.P. Wave flow of thin liquid layers of fluid. Zhurnal Eksperimentalnoi Teor. Fiz. 1949, 19, 105–120. [Google Scholar]
- Kerchman, V.I.; Frenkel, A.L. Interactions of coherent structures in a film flow: Simulations of a highly nonlinear evolution equation. Theoret. Comput. Fluid Dyn. 1994, 6, 235–254. [Google Scholar] [CrossRef]
- Vlachogiannis, M.; Bontozoglou, V. Observations of solitary wave dynamics of film flows. J. Fluid Mech. 2001, 435, 191–215. [Google Scholar] [CrossRef]
- Zabusky, N.J.; Kruskal, M.D. Interaction of “solitons” in a collisionless plasma and the recurrence of initial states. Phys. Rev. Lett. 1965, 15, 240–243. [Google Scholar] [CrossRef]
- Brock, R.R. Periodic permanent roll waves. J. Hydrol. Eng. 1970, 96, 2565–2580. [Google Scholar] [CrossRef]
- Balmforth, N.J.; Mandre, S. Dynamics of roll waves. J. Fluid Mech. 2004, 514, 1–33. [Google Scholar] [CrossRef]
- Liu, Q.Q.; Chen, L.; Li, J.C.; Singh, V.P. Roll waves in overland flow. J. Hydrol. Eng. 2005, 10, 110–117. [Google Scholar] [CrossRef]
- Woods, A.W.; Mason, R. The dynamics of two-layer gravity-driven flows in permeable rock. J. Fluid Mech. 2000, 421, 83–114. [Google Scholar] [CrossRef]
- Shah, K.S.; Pegler, S.S.; Minchew, B.M. Two-layer fluid flows on inclined surfaces. J. Fluid Mech. 2021, 917, A54. [Google Scholar] [CrossRef]
- Dutta, B.K. Principles of Mass Transfer and Separation Processes; Prentice-Hall of India: New Delhi, India, 2007. [Google Scholar]
- Gudushauri, E.G.; Medvedev, A.E.; Selifanov, I.V.; Berodze, M.I. Influence of vibration on the wave characteristics of a liquid film. Teplofiz. Vys. Temp. (High Temp. Engl. Transl.) 1988, 26, 115–119. [Google Scholar]
- Saha, S.; Tomarov, G.V.; Povarov, O.A. Experimental investigation into the flow of liquid film under saturated steam condition on a vibrating surface. Int. J. Heat Mass Transfer. 1995, 38, 593–597. [Google Scholar] [CrossRef]
- Behfar, A.; Shen, Z.; Lau, J.; Yu, Y. Heat and mass transfer enhancement potential on falling film absorbers for water-LiBr mixtures via a literature review. HVAC&R Res. 2014, 20, 570–580. [Google Scholar]
- Woods, D.R.; Lin, S.P. Instability of a liquid film flow over a vibrating inclined plane. J. Fluid Mech. 1995, 294, 391–407. [Google Scholar] [CrossRef]
- Burya, A.G.; Shkadov, V.Y. Stability of a liquid film flowing down an oscillating inclined surface. Fluid Dyn. 2001, 36, 671–681. [Google Scholar] [CrossRef]
- Garih, H.; Strzelecki, A.; Casalis, G.; Estivalezes, J.L. Detailed analysis of the vibration induced instability of a liquid film flow. Phys. Fluids 2013, 25, 014101. [Google Scholar] [CrossRef]
- Garih, H.; Julius, S.; Estivalezes, J.L.; Casalis, G. Vibration-induced instability of a fluid film flowing down a vertically inclined plane: Experimental and theoretical comparison. Phys. Fluids 2017, 29, 104103. [Google Scholar] [CrossRef]
- Zhang, H.; Gao, H.; Gao, X.; Yan, Y. Falling-film absorption model considering surface wave and vibration effects based on lattice Boltzmann method. Energies 2022, 15, 7925. [Google Scholar] [CrossRef]
- Brunet, P.; Eggers, J.; Deegan, R.D. Vibratfion-induced climbing of drops. Phys. Rev. Lett. 2007, 99, 144501. [Google Scholar] [CrossRef]
- Chemnitz, M.; Gebhardt, M.; Gaida, C.; Stutzki, F.; Kobelke, J.; Limpert, J.; Tünnermann, A.; Schmidt, M.A. Hybrid soliton dynamics in liquid-core fibres. Nat. Commun. 2017, 8, 42. [Google Scholar] [CrossRef] [PubMed]
- Maksymov, I.S.; Greentree, A.D. Synthesis of discrete phase-coherent optical spectra from nonlinear ultrasound. Opt. Express 2017, 25, 7496–7506. [Google Scholar] [CrossRef] [PubMed]
- Maksymov, I.S.; Greentree, A.D. Coupling light and sound: Giant nonlinearities from oscillating bubbles and droplets. Nanophotonics 2019, 8, 367–390. [Google Scholar] [CrossRef]
- Kumar, K. Linear theory of Faraday instability in viscous liquids. Proc. R. Soc. A Math. Phys. Eng. Sci. 1996, 452, 1113–1126. [Google Scholar]
- Shkadov, V.Y. Wave conditions in the flow of thin layer of a viscous liquid under the action of gravity. Izv. Akad. Nauk SSSR Mekh. Zhidk. Gaza 1967, 1, 43. [Google Scholar]
- Shkadov, V.Y. Theory of wave flows of a thin layer of a viscous liquid. Izv. Akad. Nauk SSSR Mekh. Zhidk. Gaza 1968, 2, 20. [Google Scholar] [CrossRef]
- Liu, J.; Schneider, J.B.; Gollub, J.P. Three-dimensional instabilities of film flows. Phys. Fluids 1995, 7, 55–67. [Google Scholar] [CrossRef]
- Wang, H.; Toksöz, M.N.; Fehler, M.C. Borehole Acoustic Logging—Theory and Methods; Springer: Berlin/Heidelberg, Germany, 2020. [Google Scholar]
- Hamilton, M.F.; Blackstock, D.T. Nonlinear Acoustics; Academic Press: Cambridge, MA, USA, 1998. [Google Scholar]
- Maksymov, I.S.; Pototsky, A. Harmonic and subharmonic waves on the surface of a vibrated liquid drop. Phys. Rev. E 2019, 100. [Google Scholar] [CrossRef]
- Bestehorn, M. Laterally extended thin liquid films with inertia under external vibrations. Phys. Fluids 2013, 25, 114106. [Google Scholar] [CrossRef]
- Périnet, N.; Gutiérrez, P.; Urra, H.; Mujica, N.; Gordillo, L. Streaming patterns in Faraday waves. J. Fluid Mech. 2017, 819, 285–310. [Google Scholar] [CrossRef]
- Tanaka, G.; Yamane, T.; Héroux, J.B.; Nakane, R.; Kanazawa, N.; Takeda, S.; Numata, H.; Nakano, D.; Hirose, A. Recent advances in physical reservoir computing: A review. Neural Netw. 2019, 115, 100–123. [Google Scholar] [CrossRef] [PubMed]
- Matsuo, T.; Sato, D.; Koh, S.G.; Shima, H.; Naitoh, Y.; Akinaga, H.; Itoh, T.; Nokami, T.; Kobayashi, M.; Kinoshita, K. Dynamic nonlinear behavior of ionic liquid-based reservoir computing devices. ACS Appl. Mater. Interfaces 2022, 14, 36890–36901. [Google Scholar] [CrossRef] [PubMed]
- Maksymov, I.S.; Pototsky, A.; Suslov, S.A. Neural echo state network using oscillations of gas bubbles in water. Phys. Rev. E 2022, 105, 044206. [Google Scholar] [CrossRef] [PubMed]
Disclaimer/Publisher’s Note: The statements, opinions and data contained in all publications are solely those of the individual author(s) and contributor(s) and not of MDPI and/or the editor(s). MDPI and/or the editor(s) disclaim responsibility for any injury to people or property resulting from any ideas, methods, instructions or products referred to in the content. |
© 2023 by the authors. Licensee MDPI, Basel, Switzerland. This article is an open access article distributed under the terms and conditions of the Creative Commons Attribution (CC BY) license (https://creativecommons.org/licenses/by/4.0/).







