Warranty Cost Analysis for Multi-State Products Protected by Lemon Laws
Abstract
1. Introduction
1.1. Motivation
1.2. Literature Review
2. Assumptions and Cost Analysis of {τ, N} Model
2.1. General Assumptions
2.2. Assumptions of Model
- (1)
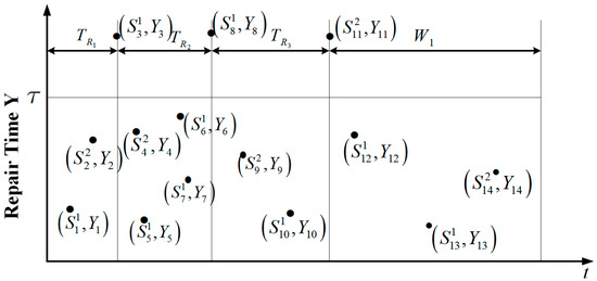
- Consider a repairable product sold with a warranty period and the warranty is renewed according to the mechanism. That is, it will be replaced with a new and identical one, and warranty terms are renewed at no charge to customers if the repair time for a failure (regardless of the failure type) is more than or the number of visits to the failure states set over the warranty period exceeds . Suppose that the times for visiting the operating states set are independent random variables having finite expectations and they are also independent of the times for repair actions.
- (2)
- Let be the sequence of repair times. Suppose that are independent and identically distributed random variables with a probability distribution and finite expectation.
- (3)
- At the expiration of the renewable warranty terms, if a repair is in progress, it will be continued at no charge to the customer. Repair times are not included in the warranty period ([13]). Repair times, unless otherwise specified, are not part of the time that the product goes through in this paper.
2.3. Probability Analysis of Model
2.3.1. Renewable Warranty Service Analysis of Model
2.3.2. Nonrenewable Warranty Service Analysis of Model
2.4. Cost Analysis of Model
3. Assumptions and Probability Analysis of {τ, N1, 1} Model
3.1. Assumptions of Model
3.2. Probability Analysis of Model
3.2.1. Renewable Warranty Analysis of Model
3.2.2. Nonrenewable Warranty Service Analysis of Model
3.3. Cost Analysis of Model
4. Numerical Example
4.1. Numerical Example for Model
4.2. Numerical Example for Model
5. Conclusions
Author Contributions
Funding
Institutional Review Board Statement
Informed Consent Statement
Data Availability Statement
Conflicts of Interest
References
- Kegley, M.; Hiller, J. Emerging lemon car laws. Am. Bus. Law J. 1986, 24, 87–103. [Google Scholar] [CrossRef]
- Husniah, H.; Pasaribu, U.; Iskandar, B. Warranty cost analysis for a multi- component product protected by lemon laws. IOP Conf. Ser. Mater. Sci. Eng. 2020, 1003, 012110. [Google Scholar] [CrossRef]
- Guo, M. Introduction of Lemon Laws in American States (1). World Car 2002, 9, 27–28. (In Chinese) [Google Scholar]
- Guo, M. Introduction of Lemon Laws in American States (2). World Car 2002, 10, 27–28+41. (In Chinese) [Google Scholar]
- Wang, X.; He, K.; He, Z.; Li, L.; Xie, M. Cost analysis of a piece-wise renewing free replacement warranty policy. Comput. Ind. Eng. 2019, 135, 1047–1062. [Google Scholar] [CrossRef]
- Wang, L.; Song, Y.; Pei, Z. Optimal condition-based warranty policy for multi-state products with three guarantees service. Qual. Technol. Quant. Manag. 2022, 19, 473–489. [Google Scholar] [CrossRef]
- Husniah, H.; Wangsaputra, R.; Iskandar, B. Cost analysis of lemon law warranties for used equipments. Int. J. Artif. Intell. 2020, 18, 86–96. [Google Scholar]
- Park, M.; Jung, K.; Park, D. Optimal post-warranty policy with repair time threshold for minimal repair. Reliab. Eng. Syst. Saf. 2013, 111, 147–153. [Google Scholar] [CrossRef]
- Park, M.; Jung, K.; Park, D. Optimization of periodic preventive maintenance policy following the expiration of two-dimensional warranty. Reliab. Eng. Syst. Saf. 2018, 170, 233–245. [Google Scholar] [CrossRef]
- Wang, L.; Pei, Z.; Zhu, H.; Lie, B. Optimising extended warranty policies following the two-dimensional warranty with repair time threshold. Eksploat. I Niezawodn. Maint. Reliab. 2018, 20, 523–530. [Google Scholar] [CrossRef]
- Park, M.; Park, D. Two-dimensional Warranty Policy for Items with Refund Based on Korean Lemon Law. J. Appl. Reliab. 2018, 18, 349–355. [Google Scholar] [CrossRef]
- Hooti, F.; Ahmadi, J.; Longobardi, M. Optimal extended warranty length with limited number of repairs in the warranty period. Reliab. Eng. Syst. Saf. 2020, 203, 107111. [Google Scholar] [CrossRef]
- Liu, P.; Wang, G.; Su, P. Optimal maintenance strategies for warranty products with limited repair time and limited repair number. Reliab. Eng. Syst. Saf. 2021, 210, 107554. [Google Scholar] [CrossRef]
- Zhao, X.; Chai, X.; Sun, J.; Qiu, Q. Joint optimization of mission abort and protective device selection policies for multistate systems. Risk Anal. 2022. [Google Scholar] [CrossRef] [PubMed]
- Iscioglu, F. Dynamic performance evaluation of multi-state systems under non-homogeneous continuous time Markov process degradation using lifetimes in terms of order statistics. J. Risk Reliab. 2017, 231, 255–264. [Google Scholar] [CrossRef]
- Li, M.; Kang, J.; Sun, L.; Wang, M. Development of optimal maintenance policies for offshore wind turbine gearboxes based on the non-homogeneous continuous-time Markov Process. J. Mar. Sci. Appl. 2019, 18, 93–98. [Google Scholar] [CrossRef]
- Wang, L.; Jia, X.; Zhang, J. Reliability evaluation for multi-state Markov repairable systems with redundant dependencies. Qual. Technol. Quant. Manag. 2013, 10, 277–289. [Google Scholar] [CrossRef]
- Wang, L.; Zhang, J.; Chen, W.; Jia, X. Reliability evaluation of a load-sharing parallel system with failure dependence. Commun. Stat. Simul. Comput. 2016, 45, 3094–3113. [Google Scholar] [CrossRef]
- Du, S.; Zeng, Z.; Cui, L.; Kang, R. Reliability analysis of Markov history-dependent repairable systems with neglected failures. Reliab. Eng. Syst. Saf. 2017, 159, 134–142. [Google Scholar] [CrossRef]
- Dong, F.; Liu, Z. Research on monitoring and Early warning of Product Warranty Claim based on ACUSUM. Ind. Eng. Manag. 2017, 22, 135–143. [Google Scholar]
- Liao, H.; Cade, W.; Behdad, S. Markov chain optimization of repair and replacement decisions of medical equipment. Resour. Conserv. Recycl. 2021, 171, 105609. [Google Scholar] [CrossRef]
- Hokstad, P.; Langseth, H.; Lindqvist, B.; Vatn, J. Failure modeling and maintenance optimization for railway line. Int. J. Perform. Eng. 2005, 1, 51–64. [Google Scholar]
- Zhao, X.; Sun, J.; Qiu, Q.; Chen, K. Optimal inspection and mission abort policies for systems subject to degradation. Eur. J. Oper. Res. 2021, 292, 610–621. [Google Scholar] [CrossRef]
- Zhao, X.; Fan, Y.; Qiu, Q.; Chen, K. Multi-criteria mission abort policy for systems subject to two-stage degradation process. Eur. J. Oper. Res. 2021, 295, 233–245. [Google Scholar] [CrossRef]
- Qiu, Q.; Cui, L. Optimal mission abort policy for systems subject to random shocks based on virtual age process. Reliab. Eng. Syst. Saf. 2019, 189, 11–20. [Google Scholar] [CrossRef]
- Qiu, Q.; Maillart, L.; Prokopyev, O.; Cui, L. Optimal Condition-Based Mission Abort Decisions. IEEE Trans. Reliab. 2022. [Google Scholar] [CrossRef]
- Yang, L.; Chen, Y.; Qiu, Q.; Wang, J. Risk Control of Mission-Critical Systems: Abort Decision-Makings Integrating Health and Age Conditions. IEEE Trans. Ind. Inform. 2022, 18, 6887–6894. [Google Scholar] [CrossRef]
- Colquhoun, D.; Hawkes, A. On the stochastic properties of the bursts of a single ion channel opening and of clusters of bursts. Philos. Trans. R. Soc. Lond. 1982, 300, 1–59. [Google Scholar]


Disclaimer/Publisher’s Note: The statements, opinions and data contained in all publications are solely those of the individual author(s) and contributor(s) and not of MDPI and/or the editor(s). MDPI and/or the editor(s) disclaim responsibility for any injury to people or property resulting from any ideas, methods, instructions or products referred to in the content. |
© 2023 by the authors. Licensee MDPI, Basel, Switzerland. This article is an open access article distributed under the terms and conditions of the Creative Commons Attribution (CC BY) license (https://creativecommons.org/licenses/by/4.0/).
Share and Cite
Wang, L.; Song, Y.; Qiu, Q.; Yang, L. Warranty Cost Analysis for Multi-State Products Protected by Lemon Laws. Appl. Sci. 2023, 13, 1541. https://doi.org/10.3390/app13031541
Wang L, Song Y, Qiu Q, Yang L. Warranty Cost Analysis for Multi-State Products Protected by Lemon Laws. Applied Sciences. 2023; 13(3):1541. https://doi.org/10.3390/app13031541
Chicago/Turabian StyleWang, Liying, Yushuang Song, Qingan Qiu, and Li Yang. 2023. "Warranty Cost Analysis for Multi-State Products Protected by Lemon Laws" Applied Sciences 13, no. 3: 1541. https://doi.org/10.3390/app13031541
APA StyleWang, L., Song, Y., Qiu, Q., & Yang, L. (2023). Warranty Cost Analysis for Multi-State Products Protected by Lemon Laws. Applied Sciences, 13(3), 1541. https://doi.org/10.3390/app13031541

