Abstract
A tuned mass damper with variable stiffness can achieve vibration reduction without changing the resonant frequency, but the large mass limits its engineering applications. To overcome this drawback, a novel tuned mass damper is proposed with the stiffness adjusted by a PI controller and the mass block replaced by an inerter. The tuned mass damper is attached to a two-degrees-of-freedom primary structure, and the dynamic equations are established. The frequency responses are obtained from a harmonic balance method and verified by numerical simulations. With the mass block of the tuned mass damper replaced by an inerter, the additional weight is reduced by 99%, and the vibration reduction performances are improved, especially in large excitation conditions. The vibration reduction rate increases with larger negative stiffness ratio and larger inertance ratio, while unstable responses appear with the parameters exceeding the thresholds. The optimum negative stiffness ratio and inertance ratio are searched by a frequency change indicator, and the maximum vibration reduction rate can reach 87.09%. The impulse response analysis shows that the proposed tuned mass damper improves the energy absorption rate. The primary structure and the vibration absorber engage in 1:1, 1:2, and 1:3 internal resonance with different impulse amplitudes. This paper aims to promote and broaden the engineering applications of the variable stiffness system and the inerter.
1. Introduction
In mechanical engineering, civil engineering, and space engineering, vibrations often lead to a decrease in the efficiency of machines and electronic components [1]. To overcome this limitation, the tuned mass damper (TMD) consisting of a stiffness component, a damping component, and a mass was proposed to reduce the vibration from external excitations [2]. The TMD has the advantages of high stability, low cost, and large damping [3]. It has been successfully applied in a wide range of engineering fields [4,5,6,7,8,9,10,11]. Kamgar et al. [11] performed a parameter optimization design to improve the vibration reduction performance of steel structures in earthquakes. Kleingesinds et al. [12] investigated the multiple TMD for tall buildings and conducted an optimization analysis on the vibration absorber. Qiu et al. [13] proposed a radial magnetic pendulum TMD for a rotor-bearing system of flywheel energy storage, which can improve low-frequency vibration reduction. Yin et al. [14] designed a multiple pounding TMD to reduce the vibration of a bridge and performed numerical simulations of traffic. However, the traditional TMD has inherent limitations, with good damping effect only near the resonant frequency of the primary system.
When external excitation is not in this range, the vibration reduction effect of the traditional TMD are limited. Therefore, broadening the frequency band of the traditional TMD and enabling it to adapt to more complex external excitation has become an important focus for researchers [15]. In recent years, many new types of TMD have been studied. Jing et al. [16] designed a bio-inspired X-shaped TMD to enhance the vibration reduction performance of the traditional TMD. Vibration reduction performance can be improved by introducing nonlinearities into the structure [17,18], especially variable nonlinear stiffness. Many scholars have proposed the passive variable stiffness TMD to improve the vibration reduction performance with different excitations [19,20,21]. Wang et al. [22] investigated a magnetorheological elastomer variable stiffness TMD to reduce wind-induced vibration from a long-span bridge and building. Schleiter et al. [23] proposed a variable stiffness TMD with a nonlinear system identification method and developed a variable stiffness control method based on the decay of the potential energy of the system. When the stiffness of the vibration absorber is adjustable in real time, it has better vibration reduction performance. Compared with the passive variable stiffness TMD, the active variable stiffness TMD can be used to reconfigure the device by external dynamic signals [24,25,26]. Inspired by Refs. [27,28], Zhang et al. [29] proposed a time-varying stiffness TMD and applied the vibration absorber to a lattice sandwich structure for vibration reduction, which can achieve an assembly capable of fast dynamic stiffness control. These recent investigations have indicated that the active variable stiffness TMD has become a promising vibration reduction device.
When the additional mass of the vibration absorber is smaller, it can be conducive to the engineering applications of the vibration absorber. Smith [30] investigated a new type of mechanical device called the inerter based on the mathematical model of the capacitance. The inerter connects two terminals. Chen et al. [31] proposed the ballscrew inerter and applied it to reduce automobile vibration. Moreover, the inertance provided by the inerter can be much larger than its own mass. The ballscrew inerter can transform hundreds of kilograms of inertia mass into a flywheel with a mass of a few hundred grams through a force amplification mechanism. Many scholars have replaced the traditional mass block with the inerter to reduce the mass of the vibration absorber, and they have applied the vibration absorber in practical engineering [32,33,34,35,36,37,38]. Gonzalez et al. [39] investigated a tuned inerter damper (TID) for a primary system. Compared with the traditional TMD, the TID has a smaller added mass and achieves a high performance in vibration reduction. Barredo et al. [40] studied a negative-stiffness TID to broaden the effective operating bandwidth and presented an optimal design for the negative-stiffness TID. Zhang et al. [41] proposed a novel nonlinear energy sink with an inerter. The inerter was used to replace the mass of the traditional nonlinear energy sink. These investigations revealed that compared with the mass block, the inerter not only has better performance in vibration reduction but also has less added mass.
Although there have been diverse types of variable stiffness TMDs, the large additional mass is still the main constraint for engineering applications. In this work, a novel TMD is proposed with the stiffness adjusted by a PI controller and the mass block replaced by an inerter. It is expected to reduce the additional mass and enhance the vibration reduction performance at the same time. Furthermore, the proposed TMD exhibits a strong nonlinearity. In order to reveal the diverse nonlinear phenomena of the dynamic system, a harmonic balance method is adopted to obtain both stable and unstable frequency responses. The parameters are analyzed and optimized. The impulse response of the system is also investigated, and internal resonances are revealed through wavelet transform spectra.
The remainder of this paper is organized as follows. In Section 2, an equivalent model of the primary structure with the VS-TMD-I is established. In Section 3, the harmonic balance method is applied to analyze the frequency responses. In Section 4, the performance of the vibration reduction and the dynamic behavior of the VS-TMD-I are analyzed. In Section 5, the conclusions are presented.
2. Modeling
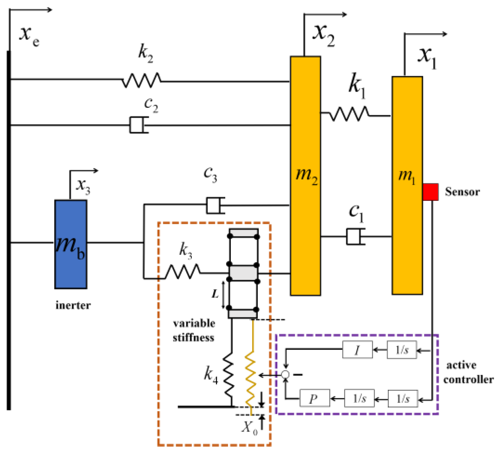
A primary structure with a variable stiffness tuned mass damper and an inerter (VS-TMD-I) is shown in Figure 1. The primary structure is a whole-spacecraft system consisting of a satellite and an adaptor. It is simplified as a two degrees of freedom (DOF) model that has been verified in the previous experiments [42]. The satellite is simplified as mass m1, linear stiffness k1, and damping c1, and the adaptor is simplified as mass m2, linear stiffness k2, and damping c2. The proposed TMD is composed of a positive stiffness spring k3, a flexion steel plate exhibiting nonlinear stiffness k4, a damper c4, and an inerter. The mass and the inertance of the inerter are mb and b, respectively. Generally, the inertance of an inerter is 60–240 times its mass [31]. In this work, the ratio is selected as 100, namely b = 100 mb. The nonlinear stiffness of the flexion steel plate is induced from the buckling effect and thus can be negative. The stiffness can be adjusted by changing the length of the plate. A piezoelectric actuator is adopted to press the plate and change its length. The piezoelectric actuator has the advantages of large driving force and fast response. It is regarded as a strain-induced actuator, and the relation between the output strain and the input voltage is assumed to be linear. A PI controller is selected to control the actuator. The displacement of the satellite (m1) is detected by a sensor, as the input signal of the controller. Voltage is computed by the controller and sent to the actuator. Displacement excitations are applied on the base, denoted by xe. The whole-spacecraft mainly experiences harmonic excitations induced by the structural vibration and impulse excitations during launch. Thus, the displacement responses of the satellite (x1) and the adaptor (x2) are investigated under harmonic and impulse excitations.
Figure 1.
Equivalent model of the primary structure with VS-TMD-I.
The governing equations of the equivalent model with the VS-TMD-I can be written as:
where x1, x2, and x3 express the displacements of m1, m2, and mb, respectively. X0 is the output displacement of the piezoelectric actuator. The output displacement is assumed to be linear to the input voltage U, and thus
where kT is the linear coefficient dependent from the piezoelectric material. The input voltage is decided by the PI controller, namely . P and I are the coefficients of the controller. The displacement excitation can be expressed as xe and
where t is the time. fe and ω are the amplitude and the frequency of the displacement excitation, respectively. The dimensionless parameters are introduced as:
where l0 is the static deformation of the linear structural spring k1 per unit excitation. The equations can be rewritten as:
3. Method
The frequency responses of the primary structure with the VS-TMD-I are calculated by the harmonic balance method. The solution responses consider odd-order and even-order harmonics. The dimensionless responses with the different harmonics can be written as
where aij and bij (i = 1, 2, 3…n; j = 1, 2, 3) are coefficients of the harmonic polynomial. Substituting Equation (6) into Equation (5), the equations of the equivalent model with the VS-TMD-I can be expressed as:
Equation (7) is calculated by a pseudo-arclength continuation algorithm. The root-mean-square (RMS) of the amplitude-frequency response u1 can be expressed as:
The dimensionless parameters of the equivalent model and the VS-TMD-I calculated according to Equation (4) are listed in Table 1.
Table 1.
Dimensionless parameters of the equivalent model and the VS-TMD-I.
Figure 2a compares the RMS of u1 with different harmonic orders. It can be seen that the 2-order harmonic solution cannot reach the convergence requirement. The frequency response curves for the 4-order and the 6-order harmonics have good agreement. The analytical solution and the numerical solution are shown in Figure 2b. The solid red line expresses the 4-order harmonics. It can be seen that the numerical solution solved by the Runge–Kutta method is consistent with the analytical solution. It can be concluded that the 4-order harmonic balance analytical solution seems sufficiently precise. Therefore, the 4-order harmonic balance method will be applied.
Figure 2.
Comparison of the approximate analysis under fe = 0.1 mm: (a) with different harmonic orders; (b) with the Runge–Kutta.
4. Results and Discussion
4.1. Vibration Reduction Performance
The mass and the inertance of the inerter are not the same as the traditional mass block. Therefore, the ratio parameters of the traditional mass block and the inerter are expressed as
where mt is the mass parameter of the traditional mass block. The mass ratio λM is equal to the inertance ratio λm for the traditional mass block. λI and λb are the mass ratio and the inertance ratio of the inerter, respectively.
Figure 3 compares the vibration reduction effects of the traditional VS-TMD and the VS-TMD-I under different displacement excitation amplitudes fe = 0.2 mm, fe = 0.65 mm, and fe = 1 mm. The comparative study of the VS-TMD and VS-TMD-I is listed in Table 2. It can be seen from Figure 3a that the VS-TMD-I is much more effective than the traditional VS-TMD in vibration reduction with the same mass ratios. The VS-TMD-I and the traditional VS-TMD have almost the same vibration reduction performance with the same inertance ratio. However, the mass of the VS-TMD-I is much smaller than the traditional VS-TMD. Figure 3b shows the vibration reduction effects of the traditional VS-TMD and the VS-TMD-I under displacement excitation amplitude fe = 0.65 mm. It can be seen that the vibration reduction rates of the VSM-TMD-I and the traditional VS-TMD are 56.22% and 47.34% with the same inertance ratio. For the large excitation amplitude fe = 1 mm, the comparison is shown in Figure 3c. The advantages of the VS-TMD-I are even more pronounced. The vibration reduction rates of the VS-TMD-I is 12.27% higher than that of the traditional VS-TMD. Therefore, it can be concluded that the mass of the VS-TMD-I is much smaller than the traditional VS-TMD. The VS-TMD-I can significantly enhance the vibration damping performance of the traditional VS-TMD. Moreover, the VS-TMD-I reserves the characteristic of not changing the resonant frequency.
Figure 3.
Vibration reduction performance with different mass ratios and inertance ratios under different displacement excitations: (a) fe = 0.2 mm; (b) fe = 0.65 mm; (c) fe = 1 mm.
Table 2.
Dimensionless parameters of the primary structure and the VS-TMD-I.
4.2. Parameter Analysis
The RMS of u1 for different values of the negative stiffness ratio β4 are shown in Figure 4a. The displacement excitation amplitude fe = 0.3 mm. The response amplitude decreases when the negative stiffness ratio β4 increases from 0.0465 to 0.1862. When the negative stiffness ratio β4 = 0.4655, the primary structure exhibits an unstable branch. As the negative stiffness ratio β4 increases, the dynamic behavior of the primary structure becomes more complex, and the range of unstable band widens. It can be seen that the response amplitude significantly decreases with the increasing VS-TMD-I negative stiffness ratio β4. Figure 4b shows the influence of the VS-TMD-I for the RMS of u2 with the different negative stiffness ratio β4. When the negative stiffness ratio β4 = 0.4655, the primary structure exhibits an unstable branch that bends to the upper left. The negative stiffness ratio β4 increases to 2.3274, the range of unstable band widens, and the unstable branch bends to the upper right.
Figure 4.
The root-mean-square with the different negative stiffness ratio β4: (a) u1; (b) u2.
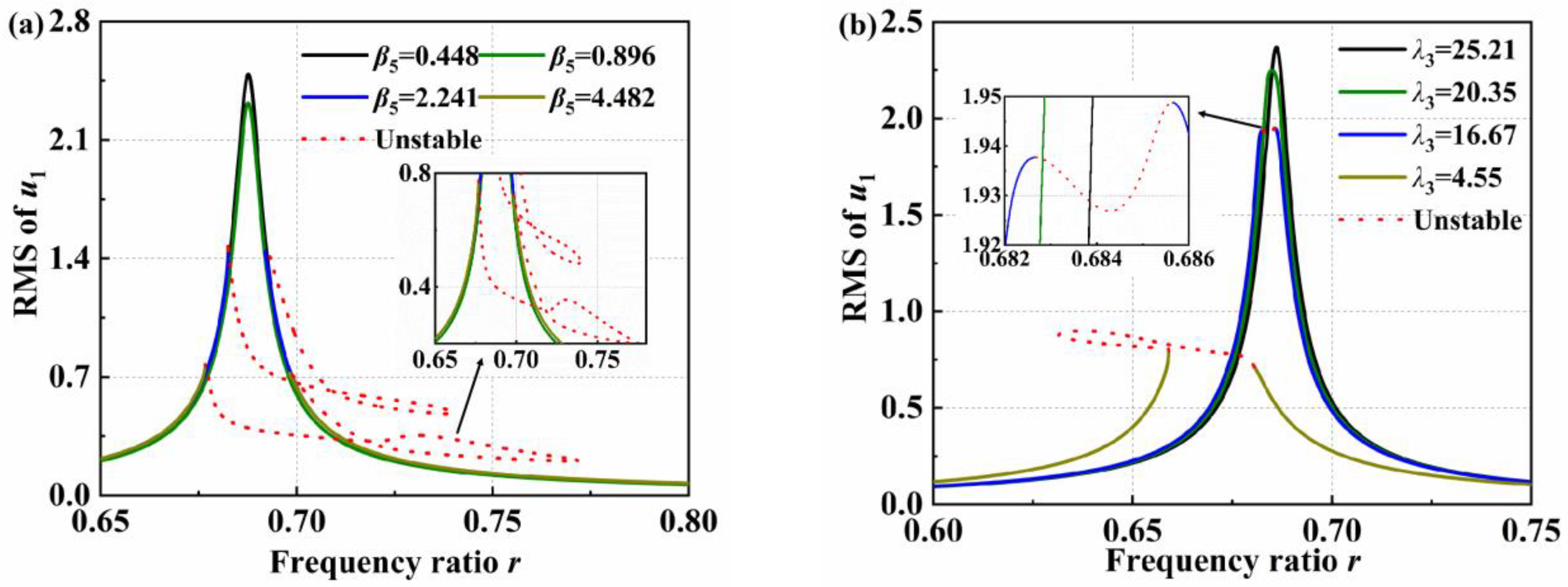
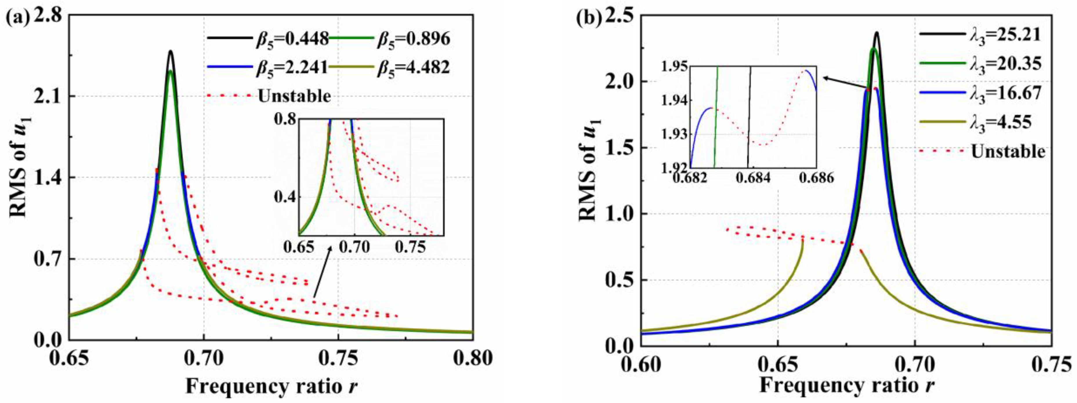
Figure 5a illustrates the effect of the negative stiffness ratio β5 of the VS-TMD-I for the primary structure. It can be shown that the response amplitude significantly decreases with the increasing VS-TMD-I negative stiffness ratio β5. The response amplitude decreases and the primary structure is not unstable when the negative stiffness ratio β5 increases from 0.448 to 0.896. It can be observed that when the negative stiffness ratio β5 = 2.241, the primary structure exhibits an unstable branch that bends to the lower right. The range of the unstable band of the primary structure widens as the negative stiffness ratio β5 increases. Figure 5b shows the influence of the VS-TMD-I for the primary structure with the different inertance ratio λ3. The response amplitude of u1 decreases and the primary structure is not unstable when the inertance ratio λ3 decreases from 25.21 to 20.35. When the inertance ratio λ3 = 16.67, the primary structure exhibits an unstable branch. The primary structure exhibits an unstable branch that bends to the upper left when the inertance ratio λ3 decreases to 4.55. It can be seen that the resonant frequency of the primary structure is shifted to the left with the decreasing inertance ratio λ3. The response amplitude decreases with the decreasing VS-TMD-I inertance ratio λ3.
Figure 5.
The root-mean-square of u1 with the different parameters of the VS-TMD-I: (a) negative stiffness ratio β5; (b) inertance ratio λ3.
4.3. Parameter Optimization
When the negative stiffness ratio β4 and the inertance ratio λ3 of the VS-TMD-I change simultaneously, a series of contour plots can be obtained, as shown in Figure 6 and Figure 7. For different positive stiffness ratios β3, the maximum resonance peak of the displacement RMS of the primary structure are demonstrated in Figure 6. Figure 7 shows the resonant frequency change of the primary system. The positive and negative values are the frequency shifted to the right and left, respectively. In practical engineering, a vibration absorber should not change the resonant frequency of the primary system too much. A frequency change indicator used as a constraint for the optimal analysis can be expressed as . Therefore, for a certain positive stiffness ratio, an optimal range value for the negative stiffness ratio and the inertance ratio can be found. Based on different positive stiffness ratios β3 = 0.0027, 0.027, and 0.27, three sets of optimal cases are marked as case 1: β4 = 0.16, λ3 = 16; case 2: β4 = 0.06, λ3 = 15; and case 3: β4 = 0.12, λ3 = 10.

Figure 6.
The maximum displacement RMS of the primary structure as the negative stiffness ratio β4 and the inertance ratio λ3 under fe = 0.4 mm: (a) β3 = 0.0027; (b) β3 = 0.027; (c) β3 = 0.27.
Figure 7.
The resonant frequency change of the primary system as negative stiffness ratio β4 and inertance ratio λ3 under fe = 0.4 mm: (a) β3 = 0.0027; (b) β3 = 0.027; (c) β3 = 0.27.
Figure 8 and Figure 9 illustrate the maximum displacement RMS and the frequency change of the primary structure as the negative stiffness ratio β5 and inertance ratio λ3 with different positive stiffness ratios β3 under fe = 0.4 mm. Three sets of optimal cases are marked as case 1: β5 = 0.08, λ3 = 18; case 2: β5 = 0.02, λ3 = 15; and case 3: β5 = 0.09, λ3 = 9.
Figure 8.
The maximum displacement RMS of the primary structure as the negative stiffness ratio β5 and inertance ratio λ3 under fe = 0.4 mm: (a) β3 = 0.0027; (b) β3 = 0.027; (c) β3 = 0.27.

Figure 9.
The resonant frequency change of the primary system as negative stiffness ratio β5 and inertance ratio λ3 under fe = 0.4 mm: (a) β3 = 0.0027; (b) β3 = 0.027; (c) β3 = 0.27.
Figure 10a shows the RMS of u1 on account of the values of the parameters obtained in Figure 6 and Figure 7. The optimal parameters of the VS-TMD-I are β3 = 0.027, β4 = 0.06, and λ3 = 15, and the vibration reduction rate can reach 87.09%. The RMS of u1 with three sets of optimal parameters are shown in Figure 10b. It can be seen that the optimal parameters of the VS-TMD-I are β3 = 0.027, β5 = 0.02, and λ3 = 15, and the vibration reduction rate can reach 86.29%.
Figure 10.
The root-mean-square of u1 based on the values of the optimal parameter: (a) β4; (b) β5.
4.4. Impulse Response
Figure 11 illustrates the transient responses of u1 with different initial velocity values applied on the mass m1. The solid black line and the dashed red line express the response of the primary without the vibration reduction and with the VS-TMD-I. It can be shown that the VS-TMD-I can improve the energy absorption rate with different initial impulse values. Moreover, the VS-TMD-I can reduce the time for the primary structure to reach steady state. In addition, the VS-TMD-I is effective for an extremely small initial impulse X = 0.01.
Figure 11.
The transient responses of u1 with various initial impulses: (a) X = 0.01; (b) X = 0.05; (c) X = 0.2; (d) X = 0.5.
Figure 12a shows the response of the relative displacement u3-u2 between the VS-TMD-I and the primary structure with an initial impulse X = 0.01. The corresponding wavelet transform spectra is shown in Figure 12b. It can be seen that the 1:1 internal resonance occurs in the VS-TMD-I system. It should be noted that obvious multifrequency resonance captures appear in the VS-TMD-I system as the initial impulse increases. Figure 12d shows both 1:1 and 1:2 internal resonance exhibiting the transient dynamics process with the initial impulse X = 0.05. Initially, 1:1 and 1:2 internal resonances are excited in the VS-TMD-I system. After 150 s, the vibration energy dissipation is transferred to a lower level, and the VS-TMD-I system evolves to 1:1 internal resonance. It can be seen that the VS-TMD-I can absorb the vibration energy from multiple frequency ranges. As shown in Figure 13b, 1:3 internal resonances may appear in the VS-TMD-I system. The 1:1 and 1:3 internal resonances have always existed together in the transient dynamics process. Figure 13d shows low-frequency internal resonance exhibiting the transient dynamics process with the initial impulse X = 0. 5. Initially, low-frequency internal resonance is excited, and the VS-TMD-I quickly oscillates at a low frequency. After 100 s, the VS-TMD-I system evolves to 1:1 internal resonance. It can be concluded that the VS-TMD-I engages in 1:1 internal resonance, 1:2 internal resonance, 1:3 internal resonance, and low-frequency resonance and accelerates the dissipation of the vibration energy.
Figure 12.
Responses of the relative displacement u3-u2 and the corresponding wavelet transform spectra with various initial impulses: (a,b) X = 0.01; (c,d) X = 0.05.

Figure 13.
Responses of the relative displacement u3-u2 and the corresponding wavelet transform spectra with various initial impulses: (a,b) X = 0.2; (c,d) X = 0.5.
It can be seen from numerical simulations that the proposed VS-TMD-I can enhance vibration reduction performance under both harmonic and impulse excitations. With the introduction of the inerter, the additional mass is significantly reduced. Furthermore, the VS-TMD-I exhibits various nonlinear phenomena, such as unstable responses and inerter resonances. The main limitation of the proposed VS-TMD-I is the complicated structure; it requires more space for installation. Moreover, this work only considers a simple controller of PI control, and the performance of the system is expected to be further improved with a more complex control method.
5. Conclusions
In this paper, a novel tuned mass damper with variable stiffness and an inerter (VS-TMD-I) is proposed. The dynamic equations of the primary structure with the VS-TMD-I are established. The frequency responses are obtained from a harmonic balance method and verified by numerical simulations. The main conclusions are drawn as follows:
- (1)
- The performance of the vibration reduction of the VS-TMD-I is much better than the traditional VS-TMD with the same mass ratio. The VS-TMD-I and the traditional VS-TMD have almost the same vibration reduction performance with the same inertance ratio under a small external excitation. The enhancement performance is more obvious with the increase of external excitations. Moreover, the VS-TMD-I has less added mass. The natural frequency of the primary structure is only slightly changed by the VS-TMD-I.
- (2)
- The primary structure exhibits variable nonlinear dynamic phenomena and unstable response, and the range of unstable band widens as the negative stiffness ratios increase and inertia ratios decrease. Fortunately, the amplitude of the primary structure becomes lower.
- (3)
- A frequency change indicator is used as a constraint for the optimal parameter analysis. When the positive stiffness ratio is constant, the optimum negative stiffness ratio and inertance ratio of the VS-TMD-I are searched. The vibration reduction rate can reach 87.09% with the optimal parameters of the VS-TMD-I β3 = 0.027, β4 = 0.06, and λ3 = 15.
- (4)
- The VS-TMD-I can improve the energy absorption rate of the primary structure under different initial impulse values. The VS-TMD-I can reduce the time for the primary structure to reach steady state. The primary structure and the new vibration absorber engage in 1:1 internal resonance, 1:2 internal resonance, 1:3 internal resonance, and low-frequency resonance with different initial impulse values based on the wavelet transform spectra.
Author Contributions
K.-F.X.: Conceptualization, Methodology, Software, Writing–original draft, Visualization. Y.-W.Z.: Supervision, Funding acquisition. M.-Q.N.: Resources, Supervision, Funding acquisition. L.-Q.C.: Conceptualization, Supervision, Funding acquisition. All authors have read and agreed to the published version of the manuscript.
Funding
This work was supported by the National Natural Science Foundation of China (Project Nos. 62188101, 12272103, and 12022213) and Guangdong Basic and Applied Basic Research Foundation (2022A1515012054).
Institutional Review Board Statement
Not applicable.
Informed Consent Statement
Not applicable.
Data Availability Statement
The data presented in this study are available on request from the corresponding author.
Conflicts of Interest
The authors declare no conflict of interest.
References
- Su, X.; Kang, H.; Guo, T. Modelling and energy transfer in the coupled nonlinear response of a 1:1 internally resonant cable system with a tuned mass damper. Mech. Syst. Signal Process. 2021, 162, 108058. [Google Scholar] [CrossRef]
- Yang, F.; Sedaghati, R.; Esmailzadeh, E. Vibration suppression of structures using tuned mass damper technology: A state-of-the-art review. J. Vib. Control. 2021, 28, 812–836. [Google Scholar] [CrossRef]
- Náprstek, J.; Fischer, C. Stable and unstable solutions in auto-parametric resonance zone of a non-holonomic system. Nonlinear Dyn. 2020, 99, 299–312. [Google Scholar] [CrossRef]
- Concha, A.; Thenozhi, S.; Betancourt, R.J.; Gadi, S. A tuning algorithm for a sliding mode controller of buildings with ATMD. Mech. Syst. Signal Process. 2021, 154, 107539. [Google Scholar] [CrossRef]
- Zhang, L.; Xue, S.; Zhang, R.; Xie, L.; Hao, L. Simplified multimode control of seismic response of high-rise chimneys using distributed tuned mass inerter systems (TMIS). Eng. Struct. 2020, 228, 111550. [Google Scholar] [CrossRef]
- Tehrania, G.G.; Dardel, M. Vibration mitigation of a flexible bladed rotor dynamic system with passive dynamic absorbers. Commun. Nonlinear Sci. Numer. Simul. 2019, 69, 1–30. [Google Scholar] [CrossRef]
- Kamgar, R.; Samea, P.; Khatibinia, M. Optimizing parameters of tuned mass damper subjected to critical earthquake. Struct. Des. Tall Spéc. Build. 2018, 27, e1460. [Google Scholar] [CrossRef]
- Kamgar, R.; Gholami, F.; Sanayei, H.R.Z.; Heidarzadeh, H. Modified Tuned Liquid Dampers for Seismic Protection of Buildings Considering Soil–Structure Interaction Effects. Iran. J. Sci. Technol. Trans. Civ. Eng. 2019, 44, 339–354. [Google Scholar] [CrossRef]
- Khatibinia, M.; Gholami, H.; Kamgar, R. Optimal design of tuned mass dampers subjected to continuous stationary critical excitation. Int. J. Dyn. Control. 2017, 6, 1094–1104. [Google Scholar] [CrossRef]
- Salimi, M.; Kamgar, R.; Heidarzadeh, H. An evaluation of the advantages of friction TMD over conventional TMD. Innov. Infrastruct. Solut. 2021, 6, 95. [Google Scholar] [CrossRef]
- Dadkhah, M.; Kamgar, R.; Heidarzadeh, H.; Jakubczyk-Gałczyńska, A.; Jankowski, R. Improvement of Performance Level of Steel Moment-Resisting Frames Using Tuned Mass Damper System. Appl. Sci. 2020, 10, 3403. [Google Scholar] [CrossRef]
- Kleingesinds, S.; Lavan, O. Gradient-based multi-hazard optimization of MTMDs for tall buildings. Comput. Struct. 2021, 249, 106503. [Google Scholar] [CrossRef]
- Qiu, Y.; Jiang, S. Suppression of low-frequency vibration for rotor-bearing system of flywheel energy storage system. Mech. Syst. Signal Process. 2019, 121, 496–508. [Google Scholar] [CrossRef]
- Yin, X.; Song, G.; Liu, Y. Vibration Suppression of Wind/Traffic/Bridge Coupled System Using Multiple Pounding Tuned Mass Dampers (MPTMD). Sensors 2019, 19, 1133. [Google Scholar] [CrossRef] [PubMed]
- Ma, R.; Bi, K.; Hao, H. A novel rotational inertia damper for amplifying fluid resistance: Experiment and mechanical model. Mech. Syst. Signal Process. 2021, 149, 107313. [Google Scholar] [CrossRef]
- Bian, J.; Jing, X. A nonlinear X-shaped structure based tuned mass damper with multi-variable optimization (X-absorber). Commun. Nonlinear Sci. Numer. Simul. 2021, 99, 105829. [Google Scholar] [CrossRef]
- Yan, B.; Yu, N.; Ma, H.; Wu, C. A theory for bistable vibration isolators. Mech. Syst. Signal Process. 2022, 167, 108507. [Google Scholar] [CrossRef]
- Ma, H.; Yan, B. Nonlinear damping and mass effects of electromagnetic shunt damping for enhanced nonlinear vibration isolation. Mech. Syst. Signal Process. 2021, 146, 107010. [Google Scholar] [CrossRef]
- Wang, M.; Sun, F.-F.; Yang, J.-Q.; Nagarajaiah, S. Seismic protection of SDOF systems with a negative stiffness amplifying damper. Eng. Struct. 2019, 190, 128–141. [Google Scholar] [CrossRef]
- Huang, D.; Li, R.; Yang, G. On the dynamic response regimes of a viscoelastic isolation system integrated with a nonlinear energy sink. Commun. Nonlinear Sci. Numer. Simul. 2019, 79, 104916. [Google Scholar] [CrossRef]
- Dekemele, K.; Habib, G.; Loccufier, M. The periodically extended stiffness nonlinear energy sink. Mech. Syst. Signal Process. 2022, 169, 108706. [Google Scholar] [CrossRef]
- Wang, Q.; Dong, X.; Li, L.; Yang, Q.; Ou, J. Wind-induced vibration control of a constructing bridge tower with MRE variable stiffness tuned mass damper. Smart Mater. Struct. 2020, 29, 045034. [Google Scholar] [CrossRef]
- Schleiter, S.; Altay, O. Identification and semi-active control of structures with abrupt stiffness degradations. Mech. Syst. Signal Process. 2021, 163, 108131. [Google Scholar] [CrossRef]
- Wang, F.; Sun, X.; Meng, H.; Xu, J. Time-Delayed Feedback Control Design and Its Application for Vibration Absorption. IEEE Trans. Ind. Electron. 2020, 68, 8593–8602. [Google Scholar] [CrossRef]
- Leng, D.; Yang, Y.; Xu, K.; Li, Y.; Liu, G.; Tian, X.; Xie, Y. Vibration control of offshore wind turbine under multiple hazards using single variable-stiffness tuned mass damper. Ocean Eng. 2021, 236, 109473. [Google Scholar] [CrossRef]
- Sun, C.; Nagarajaiah, S. Study of a novel adaptive passive stiffness device and its application for seismic protection. J. Sound Vib. 2019, 443, 559–575. [Google Scholar] [CrossRef]
- Churchill, C.B.; Shahan, D.W.; Smith, S.P.; Keefe, A.C.; McKnight, G.P. Dynamically variable negative stiffness structures. Sci. Adv. 2016, 2, e1500778. [Google Scholar] [CrossRef]
- Xu, K.; Zhang, Y.; Zhu, Y.; Zang, J.; Chen, L. Dynamics Analysis of Active Variable Stiffness Vibration Isolator for Whole-Spacecraft Systems Based on Nonlinear Output Frequency Response Functions. Acta Mech. Solida Sin. 2018, 33, 731–743. [Google Scholar] [CrossRef]
- Zhang, Y.; Li, Z.; Xu, K.; Zang, J. A lattice sandwich structure with the active variable stiffness device under aerodynamical condition. Aerosp. Sci. Technol. 2021, 116, 106849. [Google Scholar] [CrossRef]
- Smith, M. Synthesis of mechanical networks: The inerter. IEEE Trans. Autom. Control 2002, 47, 1648–1662. [Google Scholar] [CrossRef]
- Chen, M.Z.; Papageorgiou, C.; Scheibe, F.; Wang, F.-C.; Smith, M.C. The missing mechanical circuit element. IEEE Circuits Syst. Mag. 2009, 9, 10–26. [Google Scholar] [CrossRef]
- Baduidana, M.; Kenfack-Jiotsa, A. Optimum design for a novel inerter-based vibration absorber with an amplified inertance and grounded stiffness for enhanced vibration control. J. Vib. Control. 2021, 28, 2502–2518. [Google Scholar] [CrossRef]
- Pan, C.; Zhang, R.; Luo, H.; Li, C.; Shen, H. Demand-based optimal design of oscillator with parallel-layout viscous inerter damper. Struct. Control. Health Monit. 2017, 25, e2051. [Google Scholar] [CrossRef]
- Alotta, G.; Failla, G. Improved inerter-based vibration absorbers. Int. J. Mech. Sci. 2021, 192, 106087. [Google Scholar] [CrossRef]
- Zhang, Z.; Zhang, Y.-W.; Ding, H. Vibration control combining nonlinear isolation and nonlinear absorption. Nonlinear Dyn. 2020, 100, 2121–2139. [Google Scholar] [CrossRef]
- Brzeski, P.; Perlikowski, P. Effects of play and inerter nonlinearities on the performance of tuned mass damper. Nonlinear Dyn. 2017, 88, 1027–1041. [Google Scholar] [CrossRef]
- Yang, J.; Jiang, J.Z.; Neild, S.A. Dynamic analysis and performance evaluation of nonlinear inerter-based vibration isolators. Nonlinear Dyn. 2020, 99, 1823–1839. [Google Scholar] [CrossRef]
- Zhang, R.; Zhao, Z.; Dai, K. Seismic response mitigation of a wind turbine tower using a tuned parallel inerter mass system. Eng. Struct. 2019, 180, 29–39. [Google Scholar] [CrossRef]
- Gonzalez-Buelga, A.; Lazar, I.F.; Jiang, J.Z.; Neild, S.A.; Inman, D.J. Assessing the effect of nonlinearities on the performance of a tuned inerter damper. Struct. Control. Health Monit. 2016, 24, e1879. [Google Scholar] [CrossRef]
- Barredo, E.; Rojas, G.L.; Mayén, J.; Flores-Hernández, A. Innovative negative-stiffness inerter-based mechanical networks. Int. J. Mech. Sci. 2021, 205, 106597. [Google Scholar] [CrossRef]
- Zhang, Z.; Lu, Z.-Q.; Ding, H.; Chen, L.-Q. An inertial nonlinear energy sink. J. Sound Vib. 2019, 450, 199–213. [Google Scholar] [CrossRef]
- Xu, K.-F.; Zhang, Y.-W.; Zang, J.; Niu, M.-Q.; Chen, L.-Q. Integration of vibration control and energy harvesting for whole-spacecraft: Experiments and theory. Mech. Syst. Signal Process. 2021, 161, 107956. [Google Scholar] [CrossRef]
Disclaimer/Publisher’s Note: The statements, opinions and data contained in all publications are solely those of the individual author(s) and contributor(s) and not of MDPI and/or the editor(s). MDPI and/or the editor(s) disclaim responsibility for any injury to people or property resulting from any ideas, methods, instructions or products referred to in the content. |
© 2023 by the authors. Licensee MDPI, Basel, Switzerland. This article is an open access article distributed under the terms and conditions of the Creative Commons Attribution (CC BY) license (https://creativecommons.org/licenses/by/4.0/).















