Abstract
Bored piles comprise an advanced pile foundation technology that has the advantages of high bearing capacity, fast construction speed, stable construction technology, and no noise or mud pollution. To study the applicability of bored piles to collapsible loess sites, the compaction effect and load-bearing characteristics of bored piles before and after immersion were studied via a full-scale field test combined with the theory of hole expansion. The results indicate that when the pile spacing is 1.0, 1.25, and 1.5 m, the average dry density of the soil between piles increases by 23.8%, 18.5%, and 3.1%, respectively, compared with that of untreated foundation soil. When bored piles are used to treat deep collapsible loess foundations, the reasonable pile spacing to eliminate the collapsibility of the loess foundation is 2.5 times the pile diameter. It is feasible to estimate the effective compaction range using the pore expansion theory, and the effective compaction coefficients of similar sites are given. The positive friction of bored piles in the collapsible loess area is more than 95.5 kPa, which increases by more than 48.5% compared with that of non-extruded piles. Therefore, the bearing capacity of a single pile is significantly improved, and it is an effective treatment method for collapsible loess areas. Under immersion, the pile side negative friction did not change significantly with a pile diameter of approximately 27 kPa, and the increase was approximately 14% compared with that of non-extruded piles. Consequently, to avoid the adverse effects of negative friction resistance on the bearing capacity of pile foundations and to fully utilize the technical advantages of bored piles, it is necessary to eliminate or partially eliminate site collapsibility before applying bored piles. The results can provide experimental support and theoretical guidance for the popularization and application of screw–squeeze piles in deep, collapsible loess areas.
1. Introduction
Recently, with the establishment of the regional economy and growth in urbanization, land for urban construction has become increasingly scarce, and developing and utilizing higher terrace, ridge, and hill areas around cities has become an important way to alleviate this issue, leading to increased foundation depth and difficulty in loess areas [1]. Raising the level of science and technology in professional domains via theoretical research and constructing a high-quality infrastructure with the aid of science and technology are currently key challenges for engineers and technicians. The deep foundation of a large collapsible loess foundation consists primarily of a pile foundation, particularly bored piles. However, at the pile–soil interface, a layer of paste-like soil mud is created due to the influence of construction technology, which reduces the pile side friction. Additionally, the presence of sediment at the pile’s base reduces pile end resistance, and the bearing capacity of a single pile is limited [2]. However, at collapsible loess sites, pile foundations must penetrate the collapsible soil layer and are typically extremely long. Under normal loading conditions, most of the bearing capacity of pile foundations is supported by the pile’s side friction resistance. Consequently, increasing the side friction resistance is an excellent method for enhancing the bearing capacity of pile foundations in collapsible loess foundations [3,4,5].
A bored pile is a completely extruded type of pile. It drives a bidirectional thread-closed extruded drill bit with a high-torque drill, extrudes all soil in the pile hole into the soil surrounding the pile, and then pours concrete into the pile hole through the hollow pipe of the drill tool to produce a totally extruded cylindrical pile. By utilizing the extrusion and expansion action of the drill bit and the positive compaction effect during pile formation, the soil density around the pile is enhanced, and the compactness of the surrounding soil and friction resistance of the pile are substantially increased [6,7,8,9,10,11]. Compared to continuous flight auger piles (CFAs), the bearing capacity of pile foundations can be significantly enhanced, and pile side mud and pile bottom silt are not produced, leading to distinct technical and economic benefits [4]. After the 1990s, bored piles became popular in dozens of nations, including Europe, the United States, and Australia.
Meng et al. used bored piles to treat soft soil foundations and discovered that soil displacement was primarily focused on a circular area six times the pile diameter [8]. Basu et al. used bored piles and CFA piles to treat Australian railway roadbeds and discovered that compared to CFA piles with the same bearing capacity, bored piles had a smaller pile diameter and could avoid the problem of soil disposal, resulting in better technical and economic benefits [9]. Liu et al. used bored piles to treat sandy soil and silty soil foundations and discovered that bored piles could enhance the density of the soil around the pile and boost the side friction resistance and ultimate bearing capacity of the pile via the squeezing effect that occurs during pile formation [10,11,12]. Cock and Brown et al. discovered that, in comparison to non-extruded piles, bored piles have a greater bearing capacity and lower compressibility, and their construction technology is dependable, noiseless, and vibration free [13,14]. Through field experiments, Albuquerque et al. determined that the bearing capacity of bored piles in porous red soil foundations is double that of bored piles of the same diameter [15]. Larisch et al. investigated the impact of drilling settings on the compaction effect during bored pile development [16]. Tests conducted by Brettmann and Marinucci et al. revealed that bored piles exhibit excellent bearing performance in soft-to-hard clay and loose-to-medium-dense sandy soil foundations [17,18]. Misra et al. analyzed the probability of load settlement and the design parameters of bored piles using the t-z approach [19].
Through field experiments, the Australian company Vico-Pile determined that with silty clay, sandy, or clay silt (SPT = 5~23), and gravel soil (SPT > 35) as the underlying layer, the bearing and deformation characteristics of bored piles were significantly superior to those of long spiral grouting piles [9]. Bauer Company in Germany found, through field full-scale experiments, that in clay and sandy soil foundations, the ultimate bearing capacity of a bored pile is roughly double that of a long spiral grouting pile and that bored piles are suitable for sand, silt, clay, and other compressible soil layers with SPT < 30 and CPT < 10 MPa [10]. China introduced this technology in 2012; the Jingye Engineering Technology Company in China developed the bored piles construction method, special drilling tools, and drilling equipment, and through field full-scale testing, it was determined that the compaction range of bored piles in clay is four times the pile diameter, and the greater the compressibility of the soil, the greater the squeezing range [11].
The preceding engineering practice demonstrates that bored piles offer numerous benefits, including no noise, no vibration, no mud pollution, no muck transport, a broad range of appropriate strata, high economic benefits, and a large increase in bearing capacity [9,10,11,12,13,14,15,16,17,18]. However, their research and engineering applications in areas with collapsible loess have not been reported. Consequently, this study chose a typical collapsible loess site and conducted a field test to investigate the squeezing effect of bored piles in a collapsible loess site and the bearing characteristics before and after immersion to provide a design basis and technical reference for the application of bored piles in a collapsible loess area.
2. Testing Program
2.1. Test Site
As revealed in Table 1 and Table 2, the test site was situated in Lanzhou, Gansu Province, and is a typical self-weight collapsing loess site with a thick layer. The minimum self-weight collapsible depth is 38 m, and the collapsible grade is IV (the collapsible degree is very serious). There is no unfavorable geology at or around the test site, soil types are single and homogenous, and there is no groundwater in the exploration depth.
Table 1.
Soil layer division of the test site.
Table 2.
Physico-mechanical properties of loess soil.
2.2. Perimental Design of Bored Piles
A bored pile is a novel type of total squeeze pile. It employs the torque of the drill and vertical force to drive the short screw drill bit into the hole and extrude the soil into the hole around the pile. Subsequently, using the hollow pipe of the drilling tool, fluid concrete is constantly squeezed into the pile hole generated by extrusion, resulting in the formation of a cylindrical, fully extruded pile. By altering the original stress field surrounding the pile through the compaction effect, the soil density around the pile, side friction resistance, and other characteristics were significantly enhanced, and the bearing capacity of the bored piles was significantly enhanced.
- Test pile parameter design
The test area was divided into 1.0, 1.25, and 1.5 m zones based on the center distance of the pile, and 7 × 11 rows of piles, for a total of 231 heaps, were placed in a triangle in each zone. The diameter and length of the test bored piles are 0.5 and 20.0 m, respectively. A JZU180 drilling rig was used to create holes. The pile body of the test pile is made of C40 concrete with 8φ14 as the main reinforcement, φ10@100 as the stirrup in the depth range of 0~2.0 m, and φ10@200 as the stirrup below 2.0 m.
- 2.
- Compaction effect test of soil between piles
After 28 days of pile construction, as illustrated in Figure 1, three sample test heaps were selected at three separate test sites. The sampling of exploration wells has the advantages of accurate location and small disturbance to the soil sample; therefore, the method of sampling of exploration wells excavated by a power-driven Luoyang shovel was adopted in this test. Soil samples were taken at 1 m intervals along the depth and sent to the laboratory after wax sealing to test the physical and mechanical parameters, such as moisture content, dry density, compression modulus, internal friction angle, and cohesion. The natural density of the soil samples was determined using a ring cutter. The natural density of the soil sample was , where m2 is the total mass of the ring cutter and the soil sample, m1 is the mass of the soil sample, and V is the inner volume of the ring cutter. The moisture content of the samples was tested using the drying method. Samples (15~30 g) were placed in an aluminum box (mass m3) and baked at a constant temperature of 105 °C in an oven to a constant weight before being weighed. The moisture content of the sample is , where m5 is the total weight of the aluminum box and wet soil, and m4 is the total weight of the aluminum box and dry soil after drying. The dry density of the samples was .
Figure 1.
Schematic diagram of sampling points.
- 3.
- Vertical ultimate bearing capacity test of single pile
Two sets of static load tests were set up in 1.0 and 1.25 m test areas, respectively, to evaluate the vertical ultimate bearing capability of bored piles. According to the Code for Design of Building Foundation [20], the slow maintenance load method was employed.
- 4.
- Test of side friction under unsoaked conditions
To evaluate the side friction of the bored piles, two bored piles with empty bottoms were set in each of the 2D and 2.5D test areas, and static load tests were conducted on single piles according to the specifications [20]. As revealed in Figure 2, a steel plate with a thickness of 20 mm is welded to the bottom of the steel cage of the pile foundation, and the edge of the steel plate was sealed with woven bags when the steel cage was lowered to 1 m from the bottom of the hole. After attaching the steel cage to the beam, concrete was poured. The steel cage did not sink during the pouring process. Because the pile bottom is hollow and there is no pile end resistance, the pile top load is entirely supported by side friction, and its average value can be calculated.
Figure 2.
Bottom bored piles.
- 5.
- Test of side friction underwater immersion
The immersion pit was a circular pit with a 20 m circumference and a 0.5 m depth. The pit bottom was covered with 200 mm thick sand pebbles, as depicted in Figure 3, and a 300 mm water head height was maintained during the process of immersion. In the immersion test pit, there were four bored piles with diameters of 500 mm (DP1, DP3) and 800 mm (DP2, DP4), as well as two CFA piles with a diameter of 800 mm (NP1, NP2) and a length of 10 m. As illustrated in Figure 4, the test piles and anchor piles were installed in the test pit’s center. In the bearing layer, 12 anchor piles have a diameter of 800 mm, length of 39.5 m, and depth of 0.5 m.
Figure 3.
Site diagram of the immersion test area.
Figure 4.
Schematic diagram of the immersion test area.
As demonstrated in Figure 5, the negative friction of the pile side was tested using the suspension method, and the top of the bored piles was secured to the beam of the anchor pile to prevent the pile body from sinking during immersion. At the top of the pile, an oil pressure gauge and a force ring were utilized to measure the overall pull-down load of the pile foundation, which was the negative friction of the pile side in the collapsible soil layer.
Figure 5.
Test the negative friction of the pile side by the suspension method.
3. Analysis
3.1. Analysis of Dry Density Variation with Depth of Soil between Piles
At the three pile centroid locations, laboratory tests were conducted by excavating and sampling at 1 m intervals along the depth of the artificial exploration well (Table 3) to analyze the treatment effect of the bored piles. The changes in soil density are displayed in Table 3, where T1 is the soil dry density before treatment.
Table 3.
Dry density of soil between piles.
As displayed in Table 3, the dry density of natural ground ranges from 1.24 to 1.35 g/cm3, with an average of 1.30 g/cm3. When the center distance of the pile is 1.0 m, the soil dry density ranges from 1.51 to 1.75 g/cm3, and the average density is 1.61 g/cm3. When the center distance of the pile was 1.25 m, the soil dry density was 1.4 to 1.69 g/cm3, and the average density was 1.50 g/cm3. When the center distance of the pile was 1.5 m, the soil dry density ranged from 1.29 to 1.41 g/cm3, with an average of 1.34 g/cm3. The investigation demonstrated that the soil dry density increased dramatically as pile separation decreased. When the center distance of the pile was 1.0, 1.25, or 1.5 m, the average density in the depth range improved by 23.8%, 18.5%, and 3.1%, respectively. Compared to the natural foundation, when the center distance of the pile was less than or equal to 1.25 m, the average density increased significantly after the bored pile treatment. However, when the center distance of the pile was greater than 1.5 m, the average dry density of the soil did not increase substantially within the depth range, which was close to the natural foundation.
3.2. Analysis of Collapse Coefficient Variation with Depth of Soil between Piles
The variations in the collapsibility coefficient and self-weight collapsibility coefficient with pile spacing are listed in Table 4 and Table 5, respectively. T2 and T3 are the collapsibility and self-weight collapsibility coefficients of the site soil before treatment, respectively. When the center distance of the pile was 1.0, 1.25, and 1.5 m, the average self-weight collapse coefficient was 0.002, 0.003, and 0.035, and the average collapse coefficient was 0.004, 0.007, and 0.062, respectively. It can be observed that the collapse coefficient and self-weight collapse coefficient increase with the increasing the center distance of the pile, and when the center distance of the pile reached 1.5 m, the collapsibility coefficient of the soil was nearer to that of the natural foundation soil, indicating that when the center distance of the pile was more than 1.5 m, the strengthening effect of bored piles was poor. Consequently, a center distance of 1.5 m (2.5D) is required to prevent the collapse of a loess foundation with a considerable thickness when spiral compaction is employed.
Table 4.
Collapsibility coefficient of soil between piles.
Table 5.
Self-weight collapsibility coefficient of soil between piles.
3.3. Calculation of Single Pile Effective Compaction Range
The theory of cylindrical cavity expansion can be used to examine the squeezing impact of compacted piles. Assuming that the geometric shape, constraint, and load of the soil are symmetrical with respect to the central axis of the pile, the compaction range of the soil can be determined by applying cylindrical cavity expansion theory to the plane axis symmetry problem. The soil stress balance equation and the Mohr–Coulomb failure condition are shown in Equations (1) and (2):
From the stress balance Equation (1) and the Mohr–Coulomb failure condition (2), the differential equation is as follows:
Before bored pile construction, it is assumed that the soil within the depth range possesses isotropic effective stress q. Based on the radial displacement of the Lame solution and boundary conditions, the volume strain in the plastic zone is introduced to produce Rp [21]:
The compaction effect of the bored piles increased dramatically as the center distance of the pile decreased. When the soil density between piles reaches a particular threshold, the possibility of collapse is eliminated. The effective compaction range of a bored pile is defined as the range in which the soil collapsibility between the heaps is completely eliminated. An effective compaction coefficient was introduced to determine the effective compaction range of bored piles.
where Es is the pile side soil compression modulus, c is the cohesion of soil close to the pile side, φ is the pile side soil internal friction angle, Ir is the pile side soil stiffness coefficient, γ represents the pile side soil bulk density, Irr is the pile side soil corrected stiffness coefficient, Ru is the diameter of the pile hole after compaction treatment, Rp is the pile side soil radius of the plastic zone, and RY is the effective compaction range. E = Es × (1 − 2μ2/(1 − μ)); μ is the pile side soil Poisson’s ratio; Δ = (e1 − e2)/(1 + e1), e1 and e2 are weighted average values of the pore ratio of the soil around the pile before and after compaction treatment.
According to the geological prospecting data, the characteristics of soil in the treatment depth range are essentially identical. By putting the average values of measured foundation soil parameters in the depth range into Equation (7), the average plastic radius of foundation soil RY is evaluated to be 2.9D. Wang et al. performed field tests and theoretical calculations on the compaction range of a single pile when the bored piles treated the large thickness collapsible loess site and discovered that the soil deformation caused by compaction was primarily plastic deformation, and the influence range of the bored piles on the loess foundation was 3D [21]. Using Equation (7), the average plastic radius is determined to be 2.9D. This demonstrates that the plastic zone of the soil determined by Equation (7) is adequate for estimating the compaction range of the soil around the pile. Based on obtaining the compaction range of the soil around the pile, the effective compaction radius of the soil around the pile can be calculated using Equation (8), providing theoretical support for selecting a reasonable center distance of the pile when bored piles are used to treat collapsible loess.
In conjunction with the variation law of dry density and the collapsibility coefficient of soil between piles, it can be observed that when the center distance of the pile is less than 2.5D, the soil density significantly increases, and the collapsibility is completely abolished. Therefore, the effective treatment range RY is 1.44D, which is the distance between the core positions of the three piles and the core of a single pile. Wang et al. [21] determined through field testing that the site’s compaction influence range is 3.0D. Using Equation (8), the effective compaction coefficient ∂ = 0.48 can be computed.
3.4. Analysis of Vertical Bearing Characteristics of Bored Piles
3.4.1. Test Analysis of Pile Side Friction
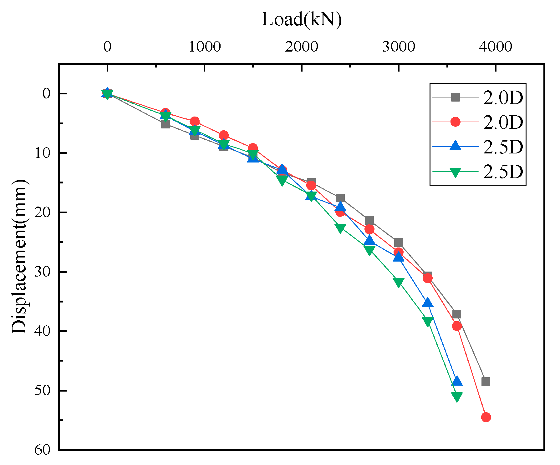
Figure 6 depicts the P-S curve of the static load test of bored piles with empty bottom piles with a varying center distance of the pile. According to the standard [3], the load value at the starting point of the steep drop section of the P-S curve is the vertical ultimate bearing capacity of a single pile. It is known that the P-S curve of an empty bored pile bottom pile with a varying center distance of pile contains a steep drop section that can be used to assess the ultimate bearing capacity of a single pile. When the center distance of the pile was 2.0D, the ultimate bearing capacity of the two test piles was 3300 kN, and the pile top settlement was 42.36 and 51.36 mm, respectively. Similarly, when the spacing between piles was 2.5D, the ultimate bearing capacity of a single pile was 3000 kN, and the total settlement of the pile top was 51.78 and 43.29 mm, respectively. Since there is no bottom resistance at the end of the empty bottom pile of the bored piles, the ultimate bearing capacity stated above is the total side friction of the pile. The average values of the ultimate positive side friction of the pile in zones 2D and 2.5D were 105.1 and 95.5 kPa, respectively. The final positive side friction of the bored piles decreased by 9.13% when the center distance of the pile was increased from 2D to 2.5D.
Figure 6.
P-S curve of static load test of bored piles empty bottom piles.
Using the same test procedure and the same criterion of ultimate bearing capacity. Huang et al. [3] determined the ultimate positive friction resistance of a non-squeezed pile on a loess base to be 64.3 kPa. When the center distance of the pile was 2D and 2.5D, the comparative study revealed that the squeezing effect increased the positive side friction of the pile by 48.5% and 63.5%, respectively. This is because the squeezing soil effect during the formation of the bored piles compacts the soil, increases the pile–soil interface stress, brings the pile–soil interface into closer contact, and significantly increases the positive-side friction of the pile. When the center distance of the pile decreased, the compaction effect became more pronounced, and the friction resistance increased.
3.4.2. Test Analysis of the Vertical Ultimate Bearing Capacity
To study the ultimate side friction of a bored pile in a deep collapsible loess site, an empty bottom pile was set in this experiment without considering the pile base resistance, and the total side friction of the pile was assumed to be the ultimate bearing capacity of the empty bottom pile. Figure 7 depicts the P-S curve of the static load test of bored piles with a varying center distance of the pile. When the center distance of the pile was 2.0D and 2.5D, the study revealed that the ultimate bearing capacity of a single pile was 3600 and 3300 kN, respectively. Since the ultimate bearing capacity of a single pile comprises the ultimate friction resistance and pile end resistance, the pile side friction test results indicate that when the center distance of the pile is 2 and 2.5D, the pile side’s ultimate positive friction resistance is 105.1 and 95.5 kPa, respectively. In this test set, the bottom resistance may be determined to be 1528.6 kPa when the center distance of the pile was 2D and 2.5D. Huang et al. [3] determined the bottom resistance of non-squeezed piles at comparable places to be 1550 kPa, demonstrating that the squeezing effect of bored piles did not influence the bottom resistance.
Figure 7.
Q-S curve of static load test of bored piles.
3.4.3. Test Analysis of the Negative Friction on the Pile Side
The direction of the relative displacement between the pile and soil determines the direction of pile side friction resistance. When the pile displaces downward relative to the soil, the soil on the pile side exerts upward friction resistance on the pile, which is called positive friction. When the soil around the pile collapses and displaces downward relative to the pile, the pile side friction resistance is downward, which is called negative friction. To test the negative friction resistance value of the pile side when a deep collapsible loess site is immersed in water, the hanging technique is utilized to determine the downward weight of the soil surrounding the bored piles while it is submerged in water. The immersion test lasted 69 days, comprising 62 days of immersion observation and 7 days following water cessation, and the water level in the immersion test pit was maintained at 30 cm during the observation period. Generally speaking, the change law of the average negative friction of each pile with the immersion time is consistent. The variation in the negative friction of DP 1 bored piles with the immersion time is displayed in Figure 8.
Figure 8.
Curve of negative friction of pile No. 1 with time.
In the early stage of 0–10 days of water immersion, the negative friction increased steadily with an increase in the water infiltration depth. As the water penetration depth increased from 10 to 24 days, the soil surrounding the pile underwent considerable collapsible deformation, and the negative friction increased dramatically. At 24 days, the water reached the pile’s base, and the negative friction reached its initial high of 28.47 kPa. With continuous water infiltration from 24 to 28 days, the shear strength of the soil decreased, and a portion of the soil adhered to the pile wall slides, resulting in a modest decrease in the negative friction of the pile side. Negative friction was typically steady between 28 and 62 days. After the water stopped in 62 days, the soil around the pile was solidified by water loss, the ability of the soil attached to the side wall of the pile was again strengthened, and the weight of the soil attached to the pile increased slightly, resulting in a second peak value of negative friction of 29.43 kPa on the fourth day after the water stopped. The largest impact of negative friction on the pile foundation occurred during the steady phase of immersion and consolidation of the soil around the pile following water stoppage. Table 6 lists the highest negative friction for each test pile.
Table 6.
Statistical table of negative friction resistance of test piles.
In Table 6, BP is the bored pile, and NP is the non-squeezed soil pouring pile. As listed in Table 2, when the pile diameter was 500 mm, the average negative friction of the bored piles was 27.9 kPa. When the pile diameter was 800 mm, the average negative friction of the bored piles and non-extruded pouring piles were 26.43 and 23.15 kPa, respectively. The investigation indicates that the diameter of the pile did not affect the negative soil friction surrounding it. The average negative friction of bored piles with a pile diameter of 800 mm was 14% greater than that of a non-extruded pouring pile with the same pile diameter. Even though bored piles may compress the soil within a particular range of the pile and eradicate its collapsibility, the collapsibility of the soil outside the effective treatment range remains unknown. The outcome is an increase in the contact area of the collapsibility loess, as well as an increase in the pull-down load generated by the collapsibility loess. According to the distribution law of positive and negative friction, the bored piles can significantly increase the positive friction resistance and the bearing capacity of a single pile through the squeeze effect, thereby reducing the pile length and the number of piles in the actual engineering and thereby reducing the project cost by a substantial amount. However, in a large thickness and strong collapsible loess foundation, the negative friction resistance of the pile side during water immersion is substantial; thus, the technical benefits and economics of bored piles utilized directly in the large thickness collapsibility loess site will be significantly diminished. Therefore, it is essential to pre-treat the large thickness, collapsible loess site, and reduce or partially eradicate the collapsibility prior to installing bored piles.
4. Conclusions
- With a reduction in the center distance of the pile, the dry density of the soil between the piles increased dramatically, but the self-weight collapsing coefficient and collapsing coefficient decreased significantly. When the center distances of the pile were 1.0, 1.25, and 1.5 m, the average dry soil densities in the depth range raised by 23.8%, 18.5%, and 3.1%, respectively, compared to a natural foundation. When the center distance of the pile was smaller than or equal to 2.5D, there was no possibility of soil collapse between piles. When bored piles are used to treat a considerable thickness of the collapsing loess foundation, a center distance of a pile of 2.5D is recommended to eliminate collapse.
- Based on the hole expansion theory, a technique is presented for estimating the effective squeezing range of a single pile, which can offer theoretical support for selecting a suitable center distance of the pile when bored piles are used with a collapsible loess foundation.
- Bored piles utilize the extrusion and expansion effects of the drill bit and the positive compaction effect during pile formation, substantially increasing the pile–soil interface stress and side friction. The compaction impact and side friction increased with decreasing pile separation. The average ultimate friction resistance of the bored piles improved by 63.5% and 48.5% when the center distance of the pile was 2.0D and 2.5D, respectively, compared to that of a non-extruded pouring pile.
- With the extension of immersion time, the depth of water penetration and collapse deformation increased, and the negative friction of the pile side went through three stages: a gradual increase, a fast increase, and a steady fluctuation. In addition, the negative friction of the pile side exhibited two peaks during the steady phase of immersion and consolidation of the soil around the pile following immersion. When the pile diameters were 500 and 800 mm, the average negative friction of bored piles was 27.9 and 26.43 kPa, respectively. Compared with a non-extruded pouring pile, the average negative friction of bored piles with a pile diameter of 800 mm was 14% higher. Therefore, to maximize the technical benefits of bored piles in a loess foundation with large thicknesses and high collapsibility, the collapsibility of the loess foundation must be completely or partially eradicated beforehand.
Author Contributions
Conceptualization, X.W. (Xu Wang) and X.W. (Xingwei Wang); methodology, X.W. (Xingwei Wang); software, X.W. (Xingwei Wang); validation, D.L., Y.Z. and D.J.; formal analysis, X.W. (Xingwei Wang); investigation, D.J.; resources, X.W. (Xu Wang); data curation, D.L.; writing—original draft preparation, X.W. (Xingwei Wang); writing—review and editing, X.W. (Xu Wang) and J.L.; supervision, X.W. (Xu Wang); project administration, X.W. (Xu Wang); funding acquisition, J.L. All authors have read and agreed to the published version of the manuscript.
Funding
This research was funded by the National Natural Science Foundation of China (grant numbers 4236020077 and 52268058), a project supported by the Young Scholars Science Foundation of Lanzhou Jiaotong University (grant number 2022054), Gansu Province Youth Science and Technology Fund Program (grant number 22JR5RA369), and Gansu Province science and technology project support (grant number 21JR7RA306).
Institutional Review Board Statement
This study did not involve humans or animals.
Informed Consent Statement
This study did not involve humans.
Data Availability Statement
The data presented in this study are available in article.
Conflicts of Interest
The authors declare no conflict of interest.
References
- Huang, X.; Chen, Z.; Fang, X.; Zhang, J. Study on foundation treatment thickness and treatment method for collapse loess with large thickness. Rock Soil Mech. 2007, 26, 4332–4338. [Google Scholar]
- Chen, T.; Niu, M.; Xie, S. Design parameters of SDS-pile composite foundation in self-weight collapsible loess foundation. Ind. Constr. 2020, 50, 16–21. [Google Scholar]
- Huang, X.; Yang, X.; Liu, H.; Liu, Z.; Zhou, J. Study of relationship between maximum collapsing depth and neutral point position of pile foundation in collapsible loess ground. Rock Soil Mech. 2015, 36, 296–302. [Google Scholar] [CrossRef]
- Brown, D.A. Practical considerations in the selection and use of continuous flight auger and drilled displacement piles. Adv. Des. Test. Deep. Found. 2005, 251–261. [Google Scholar] [CrossRef]
- Shen, S.L.; Han, J.; Du, Y.J. Deep mixing induced property changes in surrounding sensitive marine clays. J. Geotech. Geoenviron. 2018, 134, 845–854. [Google Scholar] [CrossRef]
- Brown, D.; Drew, C. Axial Capacity of Augered Displacement Piles at Auburn University; Proc, Ceo-Denver 2000; New Technological and Design Developments in Deep Foundations, ASCE: Reston, VA, USA, 2000; pp. 397–403. [Google Scholar] [CrossRef]
- Van Impe, W.F.; Peiffer, H. Influence of screw pile installation on the stress state in the soil. In Proceedings of the ERTC3 Seminar, Design of Axially LoadedPiles European Practice, Brussels, Belgium, 17–18 April 1997; pp. 3–19. [Google Scholar]
- Meng, Z.; Chen, J.J.; Zhang, L.; Wang, J.H.; Yao, J.M. Field tests to investigate the installation effects of drilled displacement piles with screw-shaped shaft in clay. J. Geotech. Geoenviron. 2016, 141, 06015010. [Google Scholar] [CrossRef]
- Basu, P.; Prezzi, M.; Salgado, R. Modeling of installation and quantification of shaft resistance of drilled-displacement piles in sand. Int. J. Geomech. 2014, 14, 214–229. [Google Scholar] [CrossRef]
- Liu, Z.; Lu, J.; Zhang, Y.; Li, Z.; Jia, Y. Model test study of load deformation behavior of soil displacement screw pile in sand. Chin. J. Rock Mech. Eng. 2011, 30, 616–624. [Google Scholar]
- Liu, Z.; Yang, S.; Lu, J.; Li, Z. Full scale field load tests on bearing capacity of SDS pile and CFA pile. Chin. J. Geotech. Eng. 2010, 32, 127–131. [Google Scholar]
- NeSmith, W.M. Design and Installation of Pressure-Grouted Drilled Displacement Piles. In Proceedings of the Ninth International Conference on Piling and Deep Foundations, Nice, France, 3–5 June 2002; Available online: https://www.semanticscholar.org/paper/Design-and-Installation-of-Pressure-Grouted%2C-Piles-NeSmith/f072dc13304bd5a582351e13c8c6a363e99d2853 (accessed on 4 January 2023).
- De cock, R.F. Atlas screw pile: A vibration-free, full displacement, cast-in-place pile. Transp. Res. Rec. 1994, 1447, 49–62. [Google Scholar]
- Brown, M.J.; Jeffrey, J.R.; Knappett, J.A.; Ball, J.D.; Caucis, K.; Suryasentana, S.K.; Lehane, B.M. CHD pile performance: Part I–physical modelling. Geotech. Eng. 2016, 169, 421–435. [Google Scholar] [CrossRef]
- Albuquerque, P.J.R.; de Freitas Neto, O.; Garcia, J.R. Behavior of instrumented omega pile in porous soil. Adv. Mater. Res. 2014, 1030–1032, 732–735. [Google Scholar] [CrossRef]
- Larisch, M.D. Behaviour of stiff, fine-grained soil during the installation of screw auger displacement piles. Auger Mech. 2014. [Google Scholar] [CrossRef]
- Brettmann, T.; Nesmith, W. Advances in auger pressure grouted piles: Design, construction and testing. Geo-Front. Congr. 2005, 12, 262–274. [Google Scholar] [CrossRef]
- Marinucci, A.; Wilson, S.E. Steel drilled displacement piles (M-Piles) overview and case history. In Proceedings of the GeoShanghai 2018 International Conference: Ground Improvement and Geosynthetics, Shanghai, China, 27–30 May 2018; pp. 48–58. [Google Scholar] [CrossRef]
- Misra, A.; Roberts, L.A.; Park, S. Design methodology for axially loaded auger cast-in-place and drilled displacement piles. J. Geotech. Geoenvironmental 2013, 139, 2231–2232. [Google Scholar] [CrossRef]
- GB50007-2011; Code for Design of Building Foundation. China Architecture and Building Press: Beijing, China, 2011.
- Wang, X.; Chen, T.; Wang, X.; Li, J.; Liu, D.; Zhang, Y.; Jiang, D. Performance of screw piles in thick collapsible loess. Case Stud. Constr. Mater. 2023, 19, e02263. [Google Scholar] [CrossRef]
Disclaimer/Publisher’s Note: The statements, opinions and data contained in all publications are solely those of the individual author(s) and contributor(s) and not of MDPI and/or the editor(s). MDPI and/or the editor(s) disclaim responsibility for any injury to people or property resulting from any ideas, methods, instructions or products referred to in the content. |
© 2023 by the authors. Licensee MDPI, Basel, Switzerland. This article is an open access article distributed under the terms and conditions of the Creative Commons Attribution (CC BY) license (https://creativecommons.org/licenses/by/4.0/).







