Abstract
Due to its potential use in the production of new functional resins, bio-plastics, food additives, agrochemicals, and pharmaceuticals, muconic acid (MA), a high value-added bio-product with reactive dicarboxylic groups and conjugated double bonds, has attracted growing interest. Adipic acid, terephthalic acid, and trimellitic acid are examples of bulk compounds that can be produced using MA that are of high commercial importance. The development of biotechnological approaches for MA production has advanced greatly recently. The current analysis offers a thorough and organized summary of recent developments and difficulties in the extraction of MA. A variety of extractants are presented, along with any limitations and potential solutions. Finally, the possibilities for this field in light of its state, difficulties, and tendencies are explored.
1. Introduction
Muconic acid (MA), 2,4-hexadienedioic acid, is an important ingredient in the manufacturing of adipic acid, which serves as a starting point for the synthesis of many other polymers, including bio-plastics, coatings, pharmaceuticals, new resins, agrochemicals, nylons, and food additives [1,2,3]. Based on the geometry around the double bonds (positions 2 and 4), three isomers of MA are known: cis,cis-MA, cis,trans-MA, and trans,trans-MA, presented in Figure 1 [4].
Figure 1.
Representation of muconic acid stereoisomers.
Cis,cis-muconic acid is a well-known platform chemical derived from the catechol catabolic pathway that can be produced from aromatic molecules derived from lignin, carbohydrates, and waste plastics [5]. It can be obtained through chemical synthesis, starting from pricey catechol as raw material, but this method requires environmentally sensitive, non-renewable petroleum-based feedstock and large concentrations of heavy metal catalysts, and the final product is a mixture of two isomers (cis,cis-MA and cis,trans-MA), [1]. Numerous attempts have been made to develop a biotechnological technique for the synthesis of muconic acid that is economical, environmentally benign, and sustainable [1,6]. Studies using the strains of E. coli [3], Saccharomyces cerevisiae [7,8,9,10], Pseudomonas [5,11], and Pichia occidentalis [1] have been reported on MA production from different kinds of carbon sources. Phosphoenolpyruvate and erythrose 4-phosphate, precursors of MA biosynthesis through the shikimate pathway, were produced in greater quantities by one of the earliest characterized E. coli strains (final titer of 36.8 g/L in the fed-batch fermentation) [5]. Although it has low productivity and needs further development, more research has been carried out regarding the production of MA through an alternative pathway, from chorismate to anthranilate [10].
In industrial biotechnology, recovery techniques are just as crucial as fermentation (the development of microorganisms that create target chemicals), as they guarantee both efficiency and profitability (downstream processing is responsible for more than half of the expense of generating carboxylic acids through fermentation) of such a process [12]. For the recovery of carboxylic acids from aqueous solutions, a variety of separation techniques are used, including membrane separation, precipitation, adsorption, electrodialysis, liquid–liquid extraction, ion exchange, and reverse osmosis [13]. Each of these approaches has distinct drawbacks, such as low efficiency, high complexity, high expense, high energy consumption, and the production of wastewater and by-products [14].
The reactive extraction approach has recently drawn more attention as a viable and efficient way to remove carboxylic acids from the fermentation broth and is frequently carried out utilizing a combination of extractants and solvents [13,14,15,16,17,18,19]. The classic systems, which include amines or organophosphorus extractants dissolved in organic solvents, have been improved in a substantial number of research articles over the past few decades in terms of sustainability and efficiency [20,21,22,23,24,25,26].
The development of alternative production methods based on the use of biomass is necessary to support the present transition from an economy based on fossil fuels to one that is more sustainable and biobased. Because it can be converted into chemicals with broad industrial applications, MA is a desirable platform chemical for the bio-based economy. However, its current production through biosynthesis (using second-generation abundant and inexpensive substrates) requires an effective downstream process. The current analysis offers a thorough and organized summary of recent developments and difficulties in the extraction of MA. A variety of solvents and extractants are presented, along with any limitations and potential solutions. Finally, the possibilities for this field in light of its state, difficulties, and tendencies are explored.
2. Muconic Acid Properties
Organic acids are a series of widespread and frequently used compounds due to the important characteristics they possess: high solubility, hygroscopicity, biodegradability, and biocompatibility [27]. From the point of view of the importance of applications, fumaric acid, citric acid, itaconic acid, adipic acid, and muconic acid are short-chain organic acids containing one or more carboxylic groups, with a wide range of applications industrial and high market demand [27].
Unsaturated dicarboxylic acids are of high industrial importance due to the presence of two double bonds and two carboxyl groups, which allow polymerization reactions to be carried out for the production of synthetic resins and biodegradable polymers [28]. Muconic acid is an unsaturated dicarboxylic acid, and its IUPAC name is 2,4-hexadienedioic acid [28], which, due to its chemical structure, presents itself in the form of three isomers (Figure 1). The three isomers differ in their chemical characteristics and physical properties, as well as their applications [29]. The physical properties of muconic acid are highlighted in Table 1.
Table 1.
Physical properties of muconic acid.
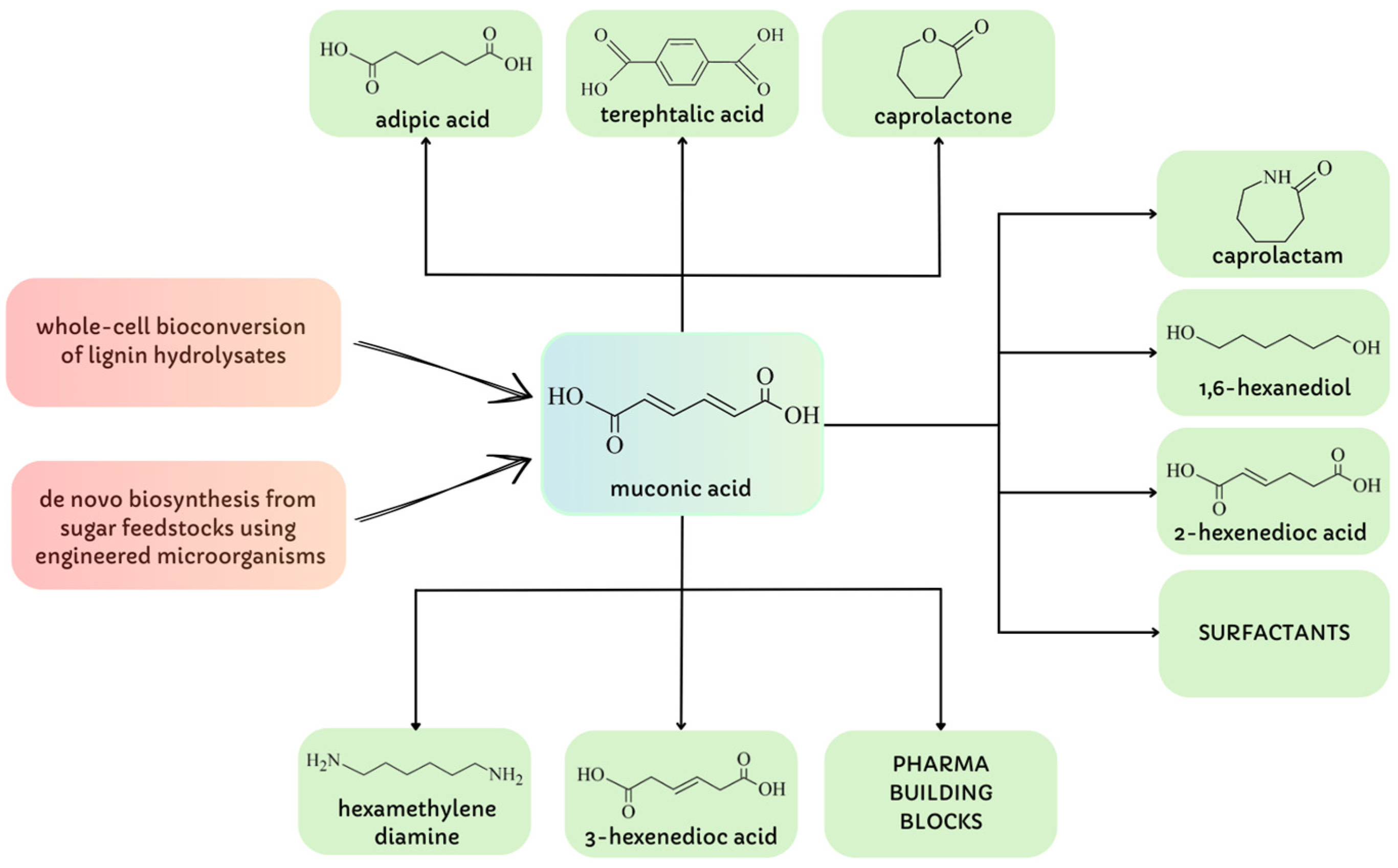
The stereospecific configuration, reactive functional groups, and conjugated double bonds allow muconic acid to participate in a variety of chemical reactions yielding commercially important products (Figure 2) such as adipic acid [28] and terephthalic acid [28], caprolactone [32], caprolactam [32], 3-hexenedioic acid [32], important monomers for obtaining nylon-6,6, polytrimethylene terephthalate, dimethyl terephthalate, polyethylene terephthalate, trimellitic anhydride, resins, polyesters, polyols, as well as other products used in food, pharmaceutical, cosmetic [28], and agrochemical industries [33].
Figure 2.
Commercial products obtained from muconic acid.
The current market price of muconic acid is USD 1.5/kg, and the global market size (worldwide production of 79,000 t/year) is expected to be over USD 110 million in 2024 [33].
3. Reactive Extraction
Extraction represents the operation of separating the components of a liquid or solid mixture based on their solubility difference in one or more solvents. If the extraction takes place only through the physical phenomena of solubilization and diffusion, the extraction is physical, and if, during the process, a complex is formed between the extractant and the carboxylic acid, the extraction is reactive [12]. Both methods can be applied in the case of direct extraction without biomass separation or by recirculating part of the fermentation broth [34].
Since 1960, due to the advantages compared to classical separation techniques, studies on reactive extraction have been developed especially for important organic compounds obtained through chemical or biochemical synthesis: carboxylic acids, amino acids, antibiotics, etc. Reactive extraction was developed in order to obtain an efficient separation [35] and requires the presence of an extractant which can be dissolved in the organic phase but has some solubility in the aqueous phase. However, it is essential that the product of the reaction between the solute and the extractant be hydrophobic [36].
The efficiency of reactive extraction depends on the physical and chemical characteristics of the solute: hydrophobicity and acid-base properties; on the properties of the extractant: reactivity, the ability to form hydrophobic compounds with the solute, and on separation conditions: pH, mixing intensity, concentration level, etc. Due to these conditions, the interaction mechanism between solute and extractant, the optimal extraction conditions in correlation with the separation factors, and the extraction mechanism are the main directions of study in reactive extraction [37,38,39]. The mechanism of reactive extraction presents particularities specific to each extraction system, the general case being presented in Figure 3 [12].
Figure 3.
Representation of reactive extraction mechanism.
The mechanism presented assumes the fact that the solubility of the system components in the other phase is zero, and separation is achieved by the following stages [40]:
- diffusion of the extractant at the separation interface between the two phases;
- diffusion of the solute at the separation interface between the two phases;
- interfacial reaction between solute and extractant;
- diffusion of the acid–extractant complex resulting from the interfacial reaction in the organic phase.
In certain cases, depending on the solubility of the components of the extraction system in the other phase, the site of the reaction between the solute and the extractant can be located either in the vicinity of the interface or in the aqueous phase.
Taking into account the steps involved in the reactive extraction, the determinant of the speed of the global process can be diffusion or complex formation, the process being diffusional and kineticly limited. The relative importance of the two types of resistance is established by studying the effect of the intensification of the mixing of the phases on the degree of extraction or on the solute rate of mass transfer. The diffusional domain consists of global process rate limitation by the diffusion of the system components and corresponds to the continuous increase in the extraction degree or mass transfer rate with the mixing intensity of the phases (represented by rotation, the Reynolds criteria). Reaching a constant level of variation in the monitored parameter indicates the transition into the kinetic domain of reactive extraction, in which the process is controlled by the complex formation [41,42]. This step, complex formation, is a reversible process, with the extractant being recovered from the complex by raising the temperature or adding sodium hydroxide once separation is accomplished.
To achieve the separation of a compound by liquid–liquid extraction, one or more solvents are used. The choice of the solvent for the extraction operation is a complex problem, and it requires taking several factors into account with reference to the mixture subjected to separation and to the performance of the extraction operation, the efficiency of the operation being mostly determined by the choice of solvent. The following properties of a potential solvent must be considered before its use in a liquid–liquid extraction process [12,40,41]:
- distribution coefficient;
- separation factor;
- extraction capacity;
- solvent selectivity;
- density;
- surface tension;
- vapor pressure;
- mutual solubility with the mixture to be separated;
- degree of flammability;
- toxicity;
- price.
The distribution coefficient (Equation (1)) represents the ratio between the concentration of the solute in the extract, [MA]org, and its concentration in the raffinate, [MA]aq, at equilibrium. The choice of a solvent based on this criterion is established with the help of equilibrium diagrams [43].
Extraction efficiency (E%) is defined as the ratio of the concentration of MA in the extract ([MA]org) to the initial MA concentration in the aqueous phase [MA]in and is provided by Equation (2):
The extraction capacity is a measure of the volume of solvent required for the effective separation of a solute. Density is also a very important property: a large density difference between the solvent and the solution to be separated creates conditions for good dispersion of the phases and their rapid separation. High surface tension causes rapid coalescence and generally requires strong mechanical agitation to change into droplets. A low surface tension allows the formation of droplets at low agitation intensities but leads to low coalescence rates. Surface tension usually decreases with increasing solute concentration and solubility [41,42].
For the reactive extraction of carboxylic acids, three different extracting agents (extractants) have been studied: high molecular weight aliphatic amines and amine salts, phosphorous bonded oxygen bearing extractants (more affordable and efficient at forming compounds with carboxylic acids), and oxygen-bearing hydrocarbon extractants (very unspecific and thus not applicable for a selective recovery) [24]. Tertiary amines (TOA, tri-octylamine, and Alamine 336, a commercial mixture of trialkyl amines) have been the state-of-the-art extractants for carboxylic acids for a long time, but the processes’ economic viability has been restricted by the relatively low acid concentrations in the fermentation broth [24].
4. Muconic Acid Extraction
The downstream process can be seen as the bottleneck toward MA industrial production, whereas upstream processing for its synthesis without the use of fossil fuels is currently very effective. The main difficulties are represented by the complexity of the fermentation broth but also by the acid’s hydrophilic character and its low concentration. According to a multistep separation method proposed by Yoshikawa et al., MA can be produced with a purity of 95% and a yield of 90% by filtration, adsorption/desorption, precipitation, ion exchange chromatography, and sedimentation [44], but with very high costs. In P. putida fermentation, catechol [45] and p-coumaric acid [46] were used as the substrates for the bioconversion of MA (cis-cis) and the applied recovery and purification steps [45,46] were as follows:
- treatment of the fermentation broth with activated carbon to remove color and protocatechuic acid;
- MA precipitation at low pH (2) and low temperature (5 °C);
- spray drying [45].
The recovery yield was 74% overall, and the resultant MA was >97% pure [46].
For yeast (genetically modified S. cerevisiae)-based MA biosynthesis, treatment with activated carbon to remove the contaminant and recover the acid by precipitation at 4 °C and pH below 2 was proposed by Wang (2022) [47]. Reverse osmosis and precipitation were used twice to recover the MA adsorbed on the activated carbon in order to enhance the yield from 50% to 66.3%, obtaining MA with an overall purity of 95.4% [47].
4.1. Solvent Screening
Several researchers have investigated muconic acid extraction using different organic systems (Table 2). According to Sprakel et al. (2019) [24], for carboxylic acid extraction, two main types of solvents can be used: physical and reactive (that interacts with the acids to form complexes). A mixture of these two will generate a composite solvent. The use of conventional organic solvents (hexane, methyl isobutyl ketone) generates a number of drawbacks, including toxicity, environmental contamination, low process safety, problematic solvent regeneration, and detrimental effects on microorganism activity, which makes direct extraction difficult. To address these problems and to respect the requirements of Green Chemistry, more sustainable solvents have been proposed and developed during the past three decades: canola oil or ionic liquids (organic salts with a melting point lower than 100 °C). Due to their particular features (low vapor pressure, low combustibility, wide liquid range, and good thermal stability), ILs are used in ionic-liquid-based extraction as diluents and/or extractants for solvent extraction [48]. From the data presented in Table 2, very high K can be observed in ionic liquids (Cyphos and Cytop IL) while analyzing classic solvents, butanol was the most effective. In general, there are two types of diluents: active and inactive. Due to the presence of functional groups, the active diluents (ketone, alcohol) are often polar in character and serve as effective solvating media for ion pairs. Because they are non-polar, inactive diluents like hexane have very poor acid distribution (Table 2) and poor polar complex solvation. These diluents are helpful in the stripping of acid because they prevent the third phase from forming at greater acid concentrations in the organic phase. Tertiary amines and ionic liquids have strong extractability, but because they are viscous and corrosive, they must always be utilized with a diluent that also influences the organic phase’s physical characteristics, including density, viscosity, and surface tension.
Table 2.
Muconic acid single system extraction [24,49,50,51,52].
Over a temperature range of 25 to 75 °C, the solubility data of muconic acid (cis-cis) in polar solvents such as water, ethanol, 2-propanol, and acetic acid have been calculated by Scelfo et al. [53]. The results proved an exothermic process, increased solubility with rising temperature for the investigated domain, and the following order for solvent efficiency: water < acetic acid < 2-propanol < ethanol. Gorden et al. analyzed water soluble amines for extraction, propylamine and tri-n-propylamine, and proved not to be applicable for MA reactive extraction (extraction yield < 1%) [52].
The ion interactions between the solvent and the carboxylic acid molecules are extremely important for the formation of weak physical bonds between them. Since the intermolecular hydrogen bonds formed by acid molecules are substantially weaker than those observed between acid and water molecules, carboxylic acids typically remain as monomers in the aqueous phase. The presence of two carboxylic groups in the structure of dicarboxylic acids (as MA) makes them more likely to form dimers than monocarboxylic acids, particularly in non-polar or moderately polar liquids [49].
4.2. Reactive Extraction Systems Used for MA Separation
Due to the low extraction efficiency obtained in physical extraction for classical solvents and the very high cost and viscosity for reactive solvents, the use of a mixture between physical and reactive solvents (extractants) was analyzed for improving the separation performance, obtaining composite solvents (includes an extractant that interacts with the acid and a diluent to enable the complexation of the acid). Diluents are used to change the basicity of the extractant, which affects the formation of a third phase (a stable emulsion usually formed at the aqueous-organic interface composed of aggregates of the extractant and the complex), the stability of the acid–extractant complex, and extractant loading (the ratio between acid concentration and extractant concentration in the organic phase). Different extractants (Table 3) dissolved in organic solvents were considered for muconic acid separation: hydrophobic amines, ionic liquids, and organophosphorus compounds [49,50,51,52].
Table 3.
Muconic acid reactive extraction system [49,50,51,52].
Comparing the results from Table 2 and Table 3, it is evident that the extractant addition in the organic phase strongly increased the MA distribution coefficient. This is especially obvious for hexane: K increased from 0.636 to 5.868 when TBP was added and 11.264 for TOPO, leading to the conclusion that organophosphorus compounds can effectively be used in MA reactive extraction. Comparing extraction efficiency achieved for amines to those for organophosphorus compounds, superior values may be observed. Additionally, as the amine’s alkyl chain length increased (from six to eight carbon atoms), the process yield improved (from 76.07% to 94.08%). An interesting fact was noted: for the same alkyl chain length, the process efficiency was higher for secondary amine (DOA) compared to the tertiary one (TOA), from 94.08% to 96.13%, due to less steric hindrance in the complex formation. The distribution coefficient for ionic liquids decreased once the diluent was added to the organic phase (from 510 for Cyphos IL101 to 51.3 for Cyphos IL101+ canola oil), but its values were still well above the distribution coefficients for all other reactive extraction systems (Table 3).
Tri-n-butyl phosphate, TBP—10 to 50% by volume, and tri-n-octylphosphine oxide, TOPO—4% to 16% by volume, in various solvents (alcohols, esters, ketones, and alkane) for MA concentration of 0.007 mol/kg (Table 3) [49] have shown extraction degrees between 70 and 93%. Tri-n-octyl amine, TOA, extracted MA with an efficiency of 95% when dissolved in ethyl oleate, but the formation of a third phase, located at the interface but within the organic phase, was observed for this system. In order to overcome this drawback, several phase modifiers were analyzed: ethanol, 1-butanol, 1-pentanol, 1-octanol, and 1-dodecanol, from which only ethanol was not able to prevent third-phase formation. The use of butanol allowed an extraction degree of 95.66% in the system with TOA and ethyl oleate [52].
4.2.1. Reactive Extraction Mechanism
At the interface between the organic and aqueous phases, the molecules of the extractant (phosphate/aminic groups) and acid (carboxylic group) interact with one another (Figure 3) and result in the development of an acid–extractant complex. The following equations could be used to depict the 1:1, 2:1, or n:1 complex that can result from the complexation reaction between MA and extractant (E), where n is the number of acid molecules, and the subscripts “aq” and “org” stand for the aqueous and organic phases, respectively:
- [MA]aq + [E]org→ [MA:E]org,
- [MA]aq + [MA:E]org→ [(MA)2: E]org,
- [MA]aq + [MAn-1:E]org→ [MAn:E]org.
For MA, Demir et al. (2021) [49] and Gorden et al. (2015) [52] analyzed the interfacial compound structure in systems with two types of extractants (organophosphorus—TBP, TOPO and amines—TOA and DOA), obtaining the results presented in Figure 4. Because MA and the extractant form the complex via an H-bond (Figure 4), aqueous-phase pH values below pKa are necessary to ensure efficient extraction. The key mechanisms that provide a framework for the translocation of the generated complex from the interface to the extract phase are solubilization and diffusion [49,52]. Complexes containing only one molecule of MA and extractant were proved for TBP, TOPO, and TOA. For di-octylamine, the complex formed contains two or more bound MA molecules to a single amine [52], a fact proved by the low extractant concentration required for MA high yield extraction at optimum aqueous phase pH of 2.6. The central nitrogen atom of the amine forms the H-bond with the acid’s hydroxyl group (Figure 5). The formation of this bond is facilitated by the central nitrogen atom’s higher negative polarization [50,51,52,53,54,55], affected by both the number of bond carbon chains (greatest impact) and the length of the carbon chains. For the di-octylamine, negative polarization and reduced steric hindrance toward the central nitrogen atom enable the formation of complexes involving two MA molecules with high yields at low amine concentrations.
Figure 4.
Representation of muconic acid–extractant complex (1:1, for TBP,TOPO and TOA and 2:1 for DOA) formed through H-bonding.
Figure 5.
pH influence on extraction efficiency.
4.2.2. Reactive Extraction Influencing Factors
The main factors investigated in the reactive extraction of muconic acid were pH, temperature, extractant concentration, and time [49,50,51,52]. It was demonstrated that the pH of the aqueous phase has a significant impact on carboxylic acid reactive extraction [15,16,17,18,19]. In reactive extraction, MA can interact with the extractant in one of two ways: (I) by hydrogen-bonding with the undissociated acid molecule, or (II) by the formation of ion pairs when MA is dissociated (pH > pKa), Figure 5.
The aqueous solution’s pH, the acid’s pKa, the concentrations of the extractant and the acid, and the extractant’s basicity with regard to the acid, all affect how the extract is extracted. The first mechanism (I) can be used to explain the extraction of carboxylic acid by phosphorous-based extractants (TBP, TOPO, etc.), and both mechanisms can be used to explain the extraction of amine-based extractants (TOA, Aliquat 336).
According to Carraher et al. (2017), pH has a significant impact on muconic acid’s reactivity in aqueous media: cis,cis-MA deprotonates to the corresponding muconate dianion in an alkaline environment (dianion does not isomerize and is stable over a long length of time). On the other hand, in acidic environments, cis,cis-muconic acid easily isomerizes to its cis,trans isomer. Moreover, the carboxylic group of the acid interacts with alkene functionalities, and prolonged heating initiates intramolecular cyclization [55]. This is extremely important as all the reactive extraction studies have been carried out on cis,cis-MA, and none took into account its conversion into a cis,trans-MA isomer [55].
Regarding the temperature influence on MA reactive extraction, Demir et al. [49] found a positive correlation between the temperature increase and the extraction efficiency until 35 °C (between 20–30 °C the extraction process is spontaneous); after this value, MA extraction using organophosphorus extractants (TBP and TOPO) was negatively impacted by the temperature increase (Table 4).
Table 4.
Temperature influence on MA (initial concentration 0.007 mol/kg) reactive extraction using organophosphorus extractants in hexane (diluent) [49].
Gorden et al. (2015) examined the effects of time in an interval between 1 min (shortest time required to achieve thorough mixing of both phases) and 24 h, on reactive extraction for three amines (DOA, THA, and TOA—amine concentrations in ethyl oleate: 0.5 mol/kg and 0.1 mol/kg). The authors could not observe any effect of this parameter on extraction efficiency. The maximum extraction efficiency for all systems was attained after 1 min and remained constant throughout the whole reaction time, showing an instantaneous process [52].
The amount of extractant in the organic phase has a significant impact on the distribution and extraction efficiency of the acid [18,19,56,57,58]; typically, more extractant in the organic phase improves extraction efficiency because there is more of one reaction participant present. However, various extractant characteristics, such as viscosity, surface characteristics, and cost, may make it difficult to use very high extractant concentrations. High yields are still possible with process optimization when all affecting factors are taken into account. Analyzing the extractant concentration in the system with organophosphorus extractants, using the same solvent (Table 5), the extraction yield increases with extractant concentration in both cases, but superior values are obtained for TOPO compared to TBP at much lower concentration, as a result of the extractant’s viscous nature and other surface characteristics [49]. For reactive extraction using amines, the maximum extraction efficiency was obtained [52] for extractant concentration above the stoichiometric ratio compared to MA (Table 5). From the data presented in Table 5, it can be seen that at low concentrations (below the stoichiometric ratio), the yield values were much higher for the secondary amine (DOA) compared to the tertiary one (TOA). In order to obtain maximum extraction efficiency, TOA amine concentration needs to be one magnitude higher compared to the secondary amine (DOA) [52].
Table 5.
Extractant concentration influence on MA reactive extraction.
4.3. Direct Extraction Processes for MA Separation
A highly effective and biocompatible reactive extraction system (12.5% (v/v) CYTOP 503 in canola oil) for muconic acid from Saccharomyces cerevisiaeMDS130 fermentation broth (the MA strong inhibiting effect limits the product titers) was created by Tonjes et al. [51], providing the groundwork for the manufacture of MA sustainably. Biomass growth and the titer of muconic acid were boosted by 44% and 18%, respectively, by incorporating the reactive extraction into the fermentation at the shake flask level. With a final MA titer of 4.33 g/L and a maximum productivity of 0.053 g/L, the process was successfully converted to fed-batch fermentation in a 10 L bioreactor, highlighting the potential of this approach to improve difficult fermentation processes for industrial biochemicals.
Using 6% glucose and 4.5% xylose as carbon sources, Nicolaïi et al. (2021) [50] successfully developed a second-generation yeast cell factory for MA production while completely inhibiting ethanol production and minimizing protocatechuic acid (intermediate) production, with a maximum titer of 4.5 g/L (highest achieved in batch yeast fermentations). In this process, MA shows a significant product inhibitory effect at low pH, which inhibits biomass growth and has a significant impact on MA production. The authors developed a direct extraction process (ISPR—in situ product removal) using PPG (polypropylene glycol 4000) as solvent (1:2 ratio), but the concentration of MA was decreased (from 4030 to 1500 mg/L), even if the solvent (PPG) was effective in removing half of the biosynthesized MA from the fermentation broth [50].
4.4. Stripping Process for MA Recovery from Organic Phase
However, in addition to the MA reactive extraction, a vital but understudied step towards a useful downstream process is re-extraction (stripping) of the acid from the organic phase that produces pure acid in an aqueous phase for further processing. This second step consists of reversing the reaction to recover the acid and turn it into a product phase and an extractant that is free of acid and is, hence, reusable. Various regeneration techniques can be used to recover the acid from a loaded organic phase. These need the use of stoichiometric excesses of trimethyl amine, HCl, or NaOH/NaHCO3, or they can be achieved by temperature and diluent swing (using a fresh aqueous stream at the highest temperature).
Gorden et al. (2017) studied MA re-extraction from the organic phase consisting of ethyl oleate, tri-n-octylamine 0.015 mol/kg, and 1-decanol as phase modifier (weight fraction 0.1) using two methods for recovery [59]:
- A pH-shift, which implies the use of an aqueous solution (citrate buffer, with a pH interval of 3–7.8) as the re-extraction phase, results in a yield of 99% at a pH higher than 7 due to the dissociated form of MA at pH values higher than its pKa.
- The use of amines that are soluble in water as an extra reactive element (propylamine (M-C3), butylamine (M-C4), hexylamine (M-C6), and tri-n-propylamine (T-C3)). The acid is again extracted into an aqueous phase along with a complex of amines that are water-soluble. The efficiency of different concentrations of amines used for re-extraction was analyzed through the partition coefficient, KD. Using M-C3, after re-extraction, KD yields infinity, indicating the complete recovery of MA from the organic phase at high amine concentration in the organic phase. Additionally, similar results were obtained when using M-C4. These results indicated that the complex stoichiometry is a 2:1 ratio due to the binding of one molecule of M-C3 or M-C4 per MA carboxylic group [59].
- Analyzing these results, the use of water-soluble amines can be considered the best stripping strategy, as it provides 100% re-extraction efficiency.
5. Conclusions and Future Outlook
Studying, conducting, and applying the most appropriate separation techniques for biosynthetic products have represented a particularly important problem for bioengineering and biotechnology. The separation of the products obtained by fermentation is a complex step that most often determines their price. Due to the structure of the products or the particularities of the biochemical systems, achieving high purities is difficult, with the part of the separation stage in the total cost being between 20 and 60%, sometimes even 90% [60].
At an industrial level, for the separation of biosynthetic products, methods are used that involve a sequence of laborious stages with significant consumption of utilities. The technological difficulties of the separation-purification stages are amplified by the need to carry out each stage in a very short time due to their low stability. Reactive extraction can represent an efficient alternative for the separation of muconic acid. In addition to having a relatively high yield, this approach stands out from the competition by being straightforward and cost-effective. Research has proven that both long-chain amines and organophosphorus compounds can be effectively used for muconic acid reactive extraction. Solvents such as hexane, ethyl propionate, 1-decanol, or 1-butanol are offered, in combinations with the mentioned extractants, with very satisfactory yields (87–98%). From the analyzed data, amines (DOA and TOA) offer higher extraction efficiency (96.13% and 95.04%, respectively) compared to organophosphorus extractants (TBP—90.7% and TOPO—93.19%) but also enable the formation of a third phase (1-decanol addition can reduce this drawback). The addition of a phase modifier (1-dodecanol) allows us to obtain 98.66% extraction efficiency and inhibits the formation of the third phase. After reactive extraction, to improve the further downstream concept of MA, were developed different strategies for the re-extraction of the acid from an organic phase. The re-extraction methods include a pH shift with different citrate buffer solutions used as an aqueous re-extraction phase and the use of an additional reactive compound (water insoluble amines), the latest strategy assuring complete re-extraction.
The challenging downstream recovery of diluted acid concentrations is a barrier to the commercialization of the MA fermentation method. Reactive extraction is a successful technique that can be used for MA recovery in light of this. However, extraction is still a difficult process to use for the separation of carboxylic acids despite its potential. Particularly for muconic acid, the extraction from fermentation broth was not examined to determine selectivity towards PCA (the primary by-product). In order to obtain highly effective extractants for MA separation, novel extraction strategies must be investigated and developed as a solution to the aforementioned issues. To meet the needs of efficiently enriching low-concentration solutions, reducing reagent usage, and developing green extraction processes, new types of extractants and solvents must also be created.
MA (as a key platform chemical) separation still requires attention, which can be developed further in future studies. However, little attention has been given to the influence of the purification conditions on the isomeric purity of MA. The investigation of more environmentally friendly solvents is required for the sustainability of the process. It will be essential to analyze solvent reuse (MA stripping from the organic phase) and recycling in further studies, as well as to scale up the technology, which will enable representative techno-economic feasibility assessments for process industrialization.
Author Contributions
Conceptualization, A.C.B.; resources, D.G.G.; writing—original draft preparation, D.G.G. and A.C.B.; writing—review and editing, D.G.G. and A.T.; project administration, A.C.B.; funding acquisition, A.C.B. All authors have read and agreed to the published version of the manuscript.
Funding
This work was supported by a grant from the Ministry of Research, Innovation, and Digitization, CNCS-UEFISCDI, project number PN-III-P1-1.1-TE-2021-0153, within PNCDI III.
Institutional Review Board Statement
Not applicable.
Informed Consent Statement
Not applicable.
Data Availability Statement
Not applicable.
Conflicts of Interest
The authors declare no conflict of interest.
References
- He, J.; Jiang, Y.; Ding, B.; Wang, Y.; Qiu, H.; Dai, S.; Zhao, X.; Hou, Z. Zirconium phosphate supported copper catalyst for selective oxidation of phenol to cis, cis-muconic acid. Appl. Catal. A Gen. 2023, 664, 119351. [Google Scholar] [CrossRef]
- Dehghani, F.; Omidi, F.; Heravizadeh, O.; Yousefinejad, S. Solidified floating organic droplet microextraction coupled with HPLC for rapid determination of trans, trans muconic acid in benzene biomonitoring. Sci. Rep. 2021, 11, 15751. [Google Scholar] [CrossRef] [PubMed]
- Han, L.; Liu, P.; Sun, J.; Wu, Y.; Zhang, Y.; Chen, W.; Lin, J.; Wang, Q.; Ma, Y. Engineering catechol 1, 2-dioxygenase by design for improving the performance of thecis, cis-muconic acid synthetic pathway in Escherichia coli. Sci. Rep. 2015, 5, 13435. [Google Scholar] [CrossRef] [PubMed]
- Almqvist, H.; Veras, H.; Li, K.; Garcia Hidalgo, J.; Hulteberg, C.; Gorwa-Grauslund, M.; Skorupa Parachin, N.; Carlquist, M. Muconic acid production using engineered Pseudomonas putida KT2440 and a guaiacol-rich fraction derived from kraft lignin. ACS Sustain. Chem. Eng. 2021, 9, 8097–8106. [Google Scholar] [CrossRef]
- Ling, C.; Peabody, G.L.; Salvachúa, D.; Kim, Y.M.; Kneucker, C.M.; Calvey, C.H.; Monninger, M.A.; Munoz, N.M.; Poirier, B.C.; Ramirez, K.J.; et al. Muconic acid production from glucose and xylose in Pseudomonas putida via evolution and metabolic engineering. Nat. Commun. 2022, 13, 4925. [Google Scholar] [CrossRef]
- Lee, H.N.; Shin, W.S.; Seo, S.Y.; Choi, S.S.; Song, J.S.; Kim, J.Y.; Park, J.H.; Lee, D.; Sang, Y.K.; Lee, S.J.; et al. Corynebacterium Cell Factory Design and Culture Process Optimization for Muconic Acid Biosynthesis. Sci. Rep. 2018, 8, 18041. [Google Scholar] [CrossRef]
- Wang, G.; Øzmerih, S.; Guerreiro, R.; Meireles, A.C.; Carolas, A.; Milne, N.; Jensen, M.K.; Ferreira, B.S.; Borodina, I. Improvement of cis,cis-Muconic Acid Production in Saccharomyces cerevisiae through Biosensor-Aided Genome Engineering. ACS Synth. Biol. 2020, 9, 634–646. [Google Scholar] [CrossRef]
- Kakko, N.; Rantasalo, A.; Koponen, T.; Vidgren, V.; Kannisto, M.; Maiorova, N.; Nygren, H.; Mojzita, D.; Penttilä, M.; Jouhten, P. Inducible Synthetic Growth Regulation Using the ClpXP Proteasome Enhances cis,cis-Muconic Acid and Glycolic Acid Yields in Saccharomyces cerevisiae. ACS Synth. Biol. 2023, 12, 1021–1033. [Google Scholar] [CrossRef]
- Pyne, M.E.; Bagley, J.A.; Narcross, L.; Kevvai, K.; Exley, K.; Davies, M.; Wang, Q.; Whiteway, M.; Martin, V.J.J. Screening non-conventional yeasts for acid tolerance and engineering Pichia occidentalis for production of muconic acid. Nat. Commun. 2023, 14, 5294. [Google Scholar] [CrossRef]
- Choi, S.; Lee, H.N.; Park, E.; Lee, S.J.; Kim, E.S. Recent Advances in Microbial Production of cis,cis-Muconic Acid. Biomolecules 2020, 10, 1238. [Google Scholar] [CrossRef]
- He, S.; Wang, W.; Wang, W.; Hu, H.; Xu, P.; Tang, H. Microbial production of cis,cis-muconic acid from aromatic compounds in engineered Pseudomonas. Syn. Syst. Biotechno. 2023, 8, 536–545. [Google Scholar] [CrossRef] [PubMed]
- Djas, M.; Henczka, M. Reactive extraction of carboxylic acids using organic solvents and supercritical fluids: A review. Sep. Purif. Technol. 2018, 201, 106–119. [Google Scholar] [CrossRef]
- Inyang, V.; Lokhat, D. Reactive Extraction of Malic Acid using Trioctylamine in 1–Decanol: Equilibrium Studies by Response Surface Methodology Using Box Behnken Optimization Technique. Sci. Rep. 2020, 10, 2400. [Google Scholar] [CrossRef]
- Eda, S.; Borra, A.; Parthasarathy, R.; Bankupalli, S.; Bhargava, S.; Thella, P.K. Recovery of levulinic acid by reactive extraction using tri-n-octylamine in methyl isobutyl ketone: Equilibrium and thermodynamic studies and optimization using Taguchi multivariate approach. Sep. Purif. Technol. 2018, 197, 314–324. [Google Scholar] [CrossRef]
- Blaga, A.C.; Dragoi, E.N.; Tucaliuc, A.; Kloetzer, L.; Cascaval, D. Folic Acid Ionic-Liquids-Based Separation: Extraction and Modelling. Molecules 2023, 28, 3339. [Google Scholar] [CrossRef] [PubMed]
- Blaga, A.C.; Dragoi, E.N.; Munteanu, R.E.; Cascaval, D.; Galaction, A.I. Gallic Acid Reactive Extraction with and without 1-Octanol as Phase Modifier: Experimental and Modeling. Fermentation 2022, 8, 633. [Google Scholar] [CrossRef]
- Blaga, A.C.; Tucaliuc, A.; Kloetzer, L. Applications of Ionic Liquids in Carboxylic Acids Separation. Membranes 2022, 12, 771. [Google Scholar] [CrossRef]
- Lazar, R.G.; Blaga, A.C.; Dragoi, E.N.; Galaction, A.I.; Cascaval, D. Mechanism, influencing factors exploration and modelling on the reactive extraction of 2-ketogluconic acid in presence of a phase modifier. Sep. Purif. Technol. 2021, 255, 117740. [Google Scholar] [CrossRef]
- Lazar, R.G.; Blaga, A.C.; Dragoi, E.N.; Galaction, A.I.; Cascaval, D. Application of reactive extraction for the separation of pseudomonic acids: Influencing factors, interfacial mechanism, and process modeling. Can. J. Chem. Eng. 2021, 100, S246–S257. [Google Scholar] [CrossRef]
- Aşçı, Y.S.; Lalikoglu, M. Development of new hydrophobic deep eutectic solvents based on trioctylphosphine oxide for reactive extraction of carboxylic acids. Ind. Eng. Chem. Res. 2021, 60, 1356–1365. [Google Scholar] [CrossRef]
- Kanzaki, R. Deep eutectic solvents for liquid–liquid extraction. Anal. Sci. 2023, 39, 1021–1022. [Google Scholar] [CrossRef]
- Antony, F.M.; Wasewar, K.L. Ionic liquids as green solvents in process industry for reaction and separation: Emphasizing on protocatechuic acid recovery. Chem. Eng. Commun. 2023, 210, 2138–2145. [Google Scholar] [CrossRef]
- Ayan, E.; Baylan, N.; Çehreli, S. Optimization of reactive extraction of propionic acid with ionic liquids using central composite design. Chem. Eng. Res. Des. 2020, 53, 666–676. [Google Scholar] [CrossRef]
- Sprakel, L.M.J.; Schuur, B. Solvent developments for liquid-liquid extraction of carboxylic acids in perspective. Sep. Purif. Technol. 2019, 211, 935–957. [Google Scholar] [CrossRef]
- Esen Marti, M.; Zeidan, H. Using eco-friendly alternatives for the recovery of pyruvic acid by reactive extraction. Sep. Purif. Technol. 2023, 312, 123309. [Google Scholar] [CrossRef]
- Demmelmayer, P.; Steiner, L.; Weber, H.; Kienberger, M. Thymol-menthol-based deep eutectic solvent as a modifier in reactive liquid–liquid extraction of carboxylic acids from pretreated sweet sorghum silage press juice. Sep. Purif. Technol. 2023, 310, 123060. [Google Scholar] [CrossRef]
- Liu, H.; Jin, Y.; Zhang, R.; Ning, Y.; Yu, Y.; Xu, P.; Deng, L.; Wang, F. Recent advances and perspectives on production of value-added organic acids through metabolic engineering. Biotechnol. Adv. 2023, 23, 108076. [Google Scholar] [CrossRef]
- Xie, N.Z.; Liang, H.; Huang, R.B.; Xu, P. Biotechnological production of muconic acid: Current status and future prospects. Biotechnol. Adv. 2014, 32, 615–622. [Google Scholar] [CrossRef]
- Khalil, I.; Quintens, G.; Junker, T.; Dusselier, M. Muconic acid isomers as platform chemicals and monomers in the biobased economy. Green Chem. 2020, 22, 1517–1541. [Google Scholar] [CrossRef]
- Fisher Scientific Company. Cis,Cis-Acid Muconic, MSDS Nr. AC297760000; Fisher Scientific Company: Hampton, NH, USA, 2023. [Google Scholar]
- Dell’Anna, M.N.; Laureano, M.; Bateni, H.; Matthiesen, J.E.; Zaza, L.; Zembrzuski, M.P.; Paskach, T.J.; Tessonnier, J.P. Electrochemical hydrogenation of bioprivileged cis,cis-muconic acid to trans-3-hexenedioic acid: From lab synthesis to bench-scale production and beyond. Green Chem. 2021, 23, 6456–6468. [Google Scholar] [CrossRef]
- Shanks, B.H.; Keelinga, P.L. Bioprivileged molecules: Creating value from biomass. Green Chem. 2017, 19, 3177–3185. [Google Scholar] [CrossRef]
- Liu, P.; Zheng, Y.; Yuan, Y.; Zhang, T.; Li, Q.; Liang, Q.; Su, T.; Qi, Q. Valorization of Polyethylene Terephthalate to Muconic Acid by Engineering Pseudomonas putida. Int. J. Mol. Sci. 2022, 23, 10997. [Google Scholar] [CrossRef] [PubMed]
- Antony, F.M.; Wasewar, K.L. The Sustainable Approach of Process Intensification in Biorefinery Through Reactive Extraction Coupled with Regeneration for Recovery of Protocatechuic Acid. Appl. Biochem. Biotechnol. 2023. [Google Scholar] [CrossRef] [PubMed]
- Wang, R.; Qin, H.; Song, Z.; Cheng, H.; Chen, L.; Qi, Z. Toward reactive extraction processes for synthesizing long-chain esters: A general approach by tuning bifunctional deep eutectic solvent. Chem. Eng. J. 2022, 445, 136664. [Google Scholar] [CrossRef]
- Sevindik, Y.E.; Gök, A.; Lalikoglu, M.; Gülgün, S.; Güven, E.Y.; Gürkaş-Aydın, Z.; Yağcı, M.Y.; Turna, Ö.C.; Aydın, M.A.; Aşçı, Y.S. Investigation of the effectiveness of edible oils as solvent in reactive extraction of some hydroxycarboxylic acids and modeling with multiple artificial intelligence models. Biomass Convers. Biorefin. 2023, 13, 13253–13265. [Google Scholar] [CrossRef]
- De, B.S.; Dixit, R.J.; Anand, A.; Dhongde, V.R.; Basu, S. Experimental, equilibrium modelling, and column design for the reactive separation of biomass-derived 2-furoic acid. Can. J. Chem. Eng. 2023, 101, 3167–3179. [Google Scholar] [CrossRef]
- Yıldız, E.; Lalikoglu, M.; Aşçı, Y.S.; Tarım, B.S. Investigation of reactive extraction of monocarboxylic acids with menthol-based hydrophobic deep eutectic solvent by response surface methodology. Sep. Sci. Technol. 2023, 58, 1450–1459. [Google Scholar] [CrossRef]
- Zhu, L.; Wang, L.; Yuan, P.; Xu, X.; Yang, J. Extraction of volatile fatty acids from aqueous solution by in situ formed deep eutectic solvent with methyltrioctylammonium chloride. Biomass Convers. Biorefin. 2023, 15. [Google Scholar] [CrossRef]
- Datta, D.; Kumar, S.; Uslu, H. Status of the Reactive Extraction as a Method of Separation. J. Chem. 2015, 2015, 853789. [Google Scholar] [CrossRef]
- Schügerl, K. Solvent Extraction in Biotechnology: Recovery of Primary and Secondary Metabolites; Springer: Berlin, Germany, 2013. [Google Scholar]
- Bart, H. Reactive Extraction, 1st ed.; Springer: Berlin, Germany, 2001. [Google Scholar]
- Kakku, S.; Gaikwad, S.M.; Gaikwad, S.; Taralkar, S.V.; Billa, S.B.; Chakinala, A.G.; Chakinala, N. Reactive extraction of gluconic acid using trioctylamine in different diluents. Chem. Eng. Technol. 2022, 45, 417–424. [Google Scholar] [CrossRef]
- Yoshikawa, N.; Mizuno, S.; Ohta, K.; Suzuki, M. Microbial production of cis, cis-muconic acid. J. Biotechnol. 1990, 14, 209–210. [Google Scholar] [CrossRef]
- Kohlstedt, M.; Starck, S.; Barton, N.; Stolzenberger, J.; Selzer, M.; Mehlmann, K.; Schneider, R.; Pleissner, D.; Rinkel, J.; Dickschat, J.S.; et al. From lignin to nylon: Cascaded chemical and biochemical conversion using metabolically engineered Pseudomonas putida. Metab. Eng. 2018, 47, 279–293. [Google Scholar] [CrossRef] [PubMed]
- Vardon, D.R.; Franden, M.A.; Johnson, C.W.; Karp, E.M.; Guarnieri, M.T.; Linger, J.G.; Salm, M.J.; Strathmann, T.J.; Beckham, G.T. Adipic acid production from lignin. Energy Environ. Sci. 2015, 8, 617–628. [Google Scholar] [CrossRef]
- Wang, G.; Tavares, A.; Schmitz, S.; França, L.; Almeida, H.; Cavalheiro, J.; Carolas, A.; Øzmerih, S.; Blank, L.M.; Ferreira, B.S.; et al. An integrated yeast-based process for cis,cis-muconic acid production. Biotechnol. Bioeng. 2022, 119, 376–387. [Google Scholar] [CrossRef]
- Traore, M.; Gong, A.J.; Wang, Y.W.; Qiu, L.N.; Bai, Y.Z.; Zhao, W.Y.; Liu, Y.; Chen, Y.; Liu, Y.; Wu, H.L.; et al. Research progress of rare earth separation methods and technologies. J. Rare Earths 2023, 41, 182–189. [Google Scholar] [CrossRef]
- Demir, Ö.; Gök, A.; Uslu, H.; Kırbaşlar, Ş.İ. Reactive extraction of cis,cis-muconic acid from aqueous solution using phosphorus-bonded extractants, tri-n-octylphosphineoxide and tri-n-butyl phosphate: Equilibrium and thermodynamic study. Sep. Purif. Technol. 2021, 272, 118899. [Google Scholar] [CrossRef]
- Nicolaï, T.; Deparis, Q.; Foulquié-Moreno, M.R.; Thevelein, J.M. In-situ muconic acid extraction reveals sugar consumption bottleneck in a xylose-utilizing Saccharomyces cerevisiae strain. Microb. Cell Factories 2021, 20, 114. [Google Scholar] [CrossRef]
- Tönjes, S.; Uitterhaegen, E.; De Brabander, P.; Verhoeven, E.; Delmulle, T.; De Winter, K.; Soetaert, W. In situ product recovery as a powerful tool to improve the fermentative production of muconic acid in Saccharomyces cerevisiae. Biochem. Eng. J. 2023, 190, 108746. [Google Scholar] [CrossRef]
- Gorden, J.; Zeiner, T.; Brandenbusch, C. Reactive extraction of cis,cis-muconic acid. Fluid Phase Equilibria 2015, 393, 78–84. [Google Scholar] [CrossRef]
- Scelfo, S.; Pirone, R.; Russo, N. Thermodynamics of cis,cis-muconic acid solubility in various polar solvents at low temperature range. J. Mol. Liq. 2016, 222, 823–827. [Google Scholar] [CrossRef]
- Eyal, A.M.; Canari, R. Effect of pH on dicarboxylic acids extraction by amine-based extractants. Ind. Eng. Chem. Re.s 1995, 34, 1789–1798. [Google Scholar] [CrossRef]
- Carraher, J.M.; Carter, P.; Rao, R.G.; Forrester, M.J.; Pfennig, T.; Shanks, B.H.; Cochran, E.W.; Tessonnier, J.P. Solvent-driven isomerization of cis,cis-muconic acid for the production of specialty and performance-advantaged cyclic biobased monomers. Green Chem. 2020, 22, 6444–6454. [Google Scholar] [CrossRef]
- Gadekar-Shinde, S.; Kumar, R.B.; Gaikwad, S. Reactive extraction of caproic acid using tri n-octylamine+2 octanol system. Mater. Today Proc. 2023, 72, 260–267. [Google Scholar] [CrossRef]
- Nolte, L.; Nowaczyk, M.; Brandenbusch, C. Monitoring and investigating reactive extraction of (di)carboxylic acids using online FTIR–Part I: Characterization of the complex formed between itaconic acid and tri-n-octylamine. J. Mol. Liq. 2022, 352, 118721. [Google Scholar] [CrossRef]
- Poştaru, M.; Bompa, A.S.; Galaction, A.I.; Blaga, A.C.; Caşcaval, D. Comparative study on pantothenic acid separation by reactive extraction with tri-n-octylamine and di-(2-ethylhexyl) phosphoric acid. Chem. Biochem. Eng. Q. 2016, 30, 81–92. [Google Scholar] [CrossRef]
- Gorden, J.; Zeiner, T.; Sadowski, G.; Brandenbusch, C. Recovery of cis,cis-muconic acid from organic phase after reactive extraction. Sep. Purif. Technol. 2016, 169, 1–8. [Google Scholar] [CrossRef]
- Straathof, A.J.J. The proportion of downstream costs in fermentative production processes. In Comprehensive Biotechnology, 2nd ed.; Moo-Young, M., Ed.; Elsevier: Toronto, ON, Canada, 2011; pp. 811–814. [Google Scholar]
Disclaimer/Publisher’s Note: The statements, opinions and data contained in all publications are solely those of the individual author(s) and contributor(s) and not of MDPI and/or the editor(s). MDPI and/or the editor(s) disclaim responsibility for any injury to people or property resulting from any ideas, methods, instructions or products referred to in the content. |
© 2023 by the authors. Licensee MDPI, Basel, Switzerland. This article is an open access article distributed under the terms and conditions of the Creative Commons Attribution (CC BY) license (https://creativecommons.org/licenses/by/4.0/).




