Adaptive Fuzzy Command Filtered Tracking Control for Flexible Robotic Arm with Input Dead-Zone
Abstract
:1. Introduction
2. Preliminaries
2.1. System
2.2. Fuzzy Logic System
3. Fuzzy Adaptive Observer
4. Design of Fuzzy Adaptive Controller and Stability Analysis
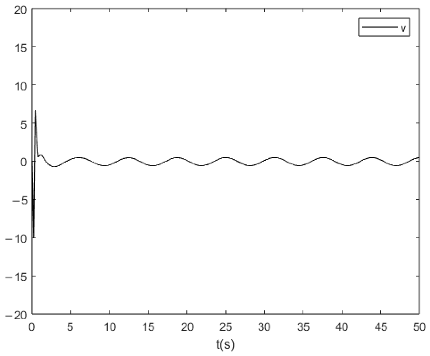
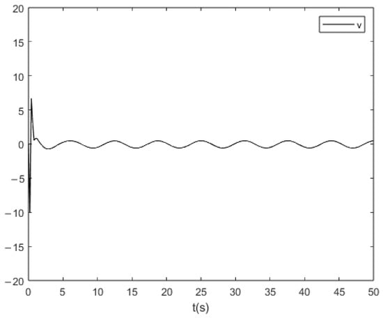
5. Simulation
6. Conclusions
Author Contributions
Funding
Institutional Review Board Statement
Informed Consent Statement
Data Availability Statement
Acknowledgments
Conflicts of Interest
References
- Cho, J.; Kong, K. The Analysis of Mechanical Structure of a Robotic Leg in Running for Impact Mitigation. Appl. Sci. 2020, 10, 1365. [Google Scholar] [CrossRef]
- Mourtzis, D.; Angelopoulos, J.; Panopoulos, N. Closed-Loop Robotic Arm Manipulation Based on Mixed Reality. Appl. Sci. 2022, 12, 2972. [Google Scholar] [CrossRef]
- Wang, Y.; Lu, S.; Gao, S.; Ren, Y.; Zhang, R. A Study of the Vibration Characteristics of Flexible Mechanical Arms for Pipe String Transportation in Oilfields. Energies 2022, 15, 2030. [Google Scholar] [CrossRef]
- Shi, M.; Cheng, Y.; Rong, B.; Zhao, W.; Yao, Z.; Yu, C. Research on Vibration Suppression and Trajectory Tracking Control Strategy of a Flexible Link Manipulator. Appl. Math. Modell. 2022, 110, 78–98. [Google Scholar] [CrossRef]
- Zhang, Y.; Zhang, M.; Fan, C.; Li, F. A Finite-Time Trajectory-Tracking Method for State-Constrained Flexible Manipulators Based on Improved Back-Stepping Control. Actuators 2022, 11, 139. [Google Scholar] [CrossRef]
- Zhao, W.; Liu, Y.; Yao, X. Adaptive Fuzzy Containment and Vibration Control for Multiple Flexible Manipulators with Model Uncertainties. IEEE Trans. Fuzzy Syst. 2022, 31, 1315–1326. [Google Scholar] [CrossRef]
- Liang, X.; Yao, Z.; Deng, W. Adaptive Control of N-Link Hydraulic Manipulators with Gravity and Friction Identification. Nonlinear Dyn. 2023, 2023, 1–17. [Google Scholar] [CrossRef]
- Montanaro, U.; Martini, S.; Hao, Z.; Gao, Y.; Sorniotti, A. Multi-Input Enhanced Model Reference Adaptive Control Strategies and Their Application to Space Robotic Manipulators. Int. J. Robust Nonlinear Control 2023, 33, 5246–5272. [Google Scholar] [CrossRef]
- Patterson, Z.J.; Sabelhaus, A.P.; Majidi, C. Robust Control of a Multi-Axis Shape Memory Alloy-Driven Soft Manipulator. Robotics 2022, 7, 2210–2217. [Google Scholar] [CrossRef]
- Sanchez, M.; Cruz-Ortiz, D.; Ballesteros, M.; Salgado, I.; Chairez, I. Output Feedback Robust Control for Teleoperated Manipulator Robots with Different Workspace. Expert Syst. Appl. 2022, 206, 117838. [Google Scholar] [CrossRef]
- Van, M.; Sam Ge, S.; Ceglarek, D. Global Finite-Time Cooperative Control for Multiple Manipulators Using Integral Sliding Mode Control. Asian J. Control 2022, 24, 2862–2876. [Google Scholar] [CrossRef]
- Bao, C.; Guo, Y.; Luo, L.; Su, G. Design of a Fixed-Wing UAV Controller Based on Adaptive Backstepping Sliding Mode Control Method. IEEE Access 2021, 9, 157825–157841. [Google Scholar] [CrossRef]
- Vu, M.-T.; Hsia, K.-H.; El-Sousy, F.F.M.; Rojsiraphisal, T.; Rahmani, R.; Mobayen, S. Adaptive Fuzzy Control of a Cable-Driven Parallel Robot. Mathematics 2022, 10, 3826. [Google Scholar] [CrossRef]
- Rodriguez Ramirez, J.E.; Minami, Y. Design of Neural Network Quantizers for Networked Control Systems. Electronics 2019, 8, 318. [Google Scholar] [CrossRef]
- Chang, C.W.; Hsu, C.F.; Lee, T.T. Backstepping-Based Finite-Time Adaptive Fuzzy Control of Unknown Nonlinear Systems. Int. J. Fuzzy Syst. 2018, 20, 2545–2555. [Google Scholar] [CrossRef]
- Wan, M.; Liu, Q. Adaptive Fuzzy Backstepping Control for Uncertain Nonlinear Systems with Tracking Error Constraints. Adv. Mech. Eng. 2019, 11, 1687814019851309. [Google Scholar] [CrossRef]
- Ha, S.; Liu, H.; Li, S.; Liu, A. Backstepping-Based Adaptive Fuzzy Synchronization Control for a Class of Fractional-Order Chaotic Systems with Input Saturation. Int. J. Fuzzy Syst. 2019, 21, 1571–1584. [Google Scholar] [CrossRef]
- Zhou, J.; Liu, E.; Tian, X.; Li, Z. Adaptive fuzzy backstepping control based on dynamic surface control for uncertain robotic manipulator. IEEE Access 2022, 10, 23333–23341. [Google Scholar] [CrossRef]
- Nie, S.; Qian, L.; Chen, G.; Fan, R.; Li, Y. Tracking Error Constraint-Based Adaptive Dynamic Surface Control of Electro-Hydraulic Manipulator System. J. Braz. Soc. Mech. Sci. Eng. 2022, 44, 405. [Google Scholar] [CrossRef]
- Zheng, K.; Zhang, Q.; Zeng, S. Trajectory Control and Vibration Suppression of Rigid-Flexible Parallel Robot Based on Singular Perturbation Method. Asian J. Control. 2022, 24, 3006–3021. [Google Scholar] [CrossRef]
- Chen, M.; Li, Y.; Wang, H.; Peng, K.; Wu, L. Adaptive Fixed-Time Tracking Control for Nonlinear Systems Based on Finite-Time Command Filtered Backstepping. IEEE Trans. Fuzzy Syst. 2022, 31, 1604–1613. [Google Scholar] [CrossRef]
- Hou, D.; Cao, W.; Wang, W.; Li, Y.; Wang, C. Position Tracking of an Autonomous Underwater Glider Based on Adaptive Filtered Backstepping Control. Ocean Eng. 2023, 273, 113949. [Google Scholar] [CrossRef]
- Yao, Q. Adaptive fuzzy neural network control for a space manipulator in the presence of output constraints and input non-linearities. Adv. Space Res. 2021, 67, 1830–1843. [Google Scholar] [CrossRef]
- Wang, S. Adaptive fuzzy sliding mode and robust tracking control for manipulators with uncertain dynamics. Complexity 2020, 2020, 1492615. [Google Scholar] [CrossRef]
- Han, S.H.; Tran, M.S.; Tran, D.T. Adaptive Sliding Mode Control for a Robotic Manipulator with Unknown Friction and Unknown Control Direction. Appl. Sci. 2021, 11, 3919. [Google Scholar] [CrossRef]
- Li, L.; Liu, J. Neural-Network-Based Adaptive Fault-Tolerant Vibration Control of Single-Link Flexible Manipulator. Trans. Inst. Meas. Control 2020, 42, 430–438. [Google Scholar] [CrossRef]
- Liu, Y.; Yao, X.; Zhao, W. Distributed Neural-Based Fault-Tolerant Control of Multiple Flexible Manipulators with Input Saturations. Automatica 2023, 156, 111202. [Google Scholar] [CrossRef]
- Zhao, H.; Tao, B.; Ma, R.; Chen, B. Manipulator Trajectory Tracking Based on Adaptive Fuzzy Sliding Mode Control. Concurrency Computat. Pract. Exper. 2023, 35, e7620. [Google Scholar] [CrossRef]
- Sun, W.; Xia, J.; Wu, Y. Adaptive Tracking Control for Mobile Manipulators with Stochastic Disturbances. J. Syst. Sci. Complex. 2019, 32, 1393–1403. [Google Scholar] [CrossRef]
- Rao, P.; Roy, D.; Chakraverty, S. Vibration Analysis of Single-Link Flexible Manipulator in an Uncertain Environment. J. Vib. Eng. Technol. 2023, 1, 1–18. [Google Scholar] [CrossRef]
- Zhu, J.; Zhang, J.; Tang, X.; Pi, Y. Adaptive boundary control of a flexible-link flexible-joint manipulator under uncertainties and unknown disturbances. J. Vib. Control 2023, 29, 169–184. [Google Scholar] [CrossRef]
- Chen, Y.; Guo, B.; Liu, Y.; Zhang, K. Adaptive fault-tolerant control for mechanical manipulator systems with actuator fault. Int. J. Control Autom. Syst. 2022, 20, 2326–2339. [Google Scholar] [CrossRef]
- Wu, Y.; Niu, W.; Kong, L.; Yu, X.; He, W. Fixed-Time Neural Network Control of a Robotic Manipulator with Input Deadzone. ISA Trans. 2023, 135, 449–461. [Google Scholar] [CrossRef] [PubMed]
- Wang, H.; Kang, S. Adaptive Neural Command Filtered Tracking Control for Flexible Robotic Manipulator with Input Dead-Zone. IEEE Access 2019, 7, 22675–22683. [Google Scholar] [CrossRef]
- Zhao, Z.; Tan, Z.; Liu, Z.; Efe M, Ö.; Ahn, C.K. Adaptive Inverse Compensation Fault-Tolerant Control for a Flexible Manipulator with Unknown Dead-zone and Actuator Faults. IEEE Trans. Ind. Electron. 2023, 70, 12698–12707. [Google Scholar] [CrossRef]
- Ma, Z.; Ma, H. Improved Adaptive Fuzzy Output-Feedback Dynamic Surface Control of Nonlinear Systems with Unknown Dead-Zone Output. IEEE Trans. Fuzzy Syst. 2020, 29, 2122–2131. [Google Scholar] [CrossRef]
- Chen, Z. Nussbaum Functions in Adaptive Control with Time-Varying Unknown Control Coefficients. Automatica 2019, 102, 72–79. [Google Scholar] [CrossRef]
- Bounemeur, A.; Chemachema, M. Adaptive Fuzzy Fault-Tolerant Control Using Nussbaum-Type Function with State-Dependent Actuator Failures. Neural Comput. Appl. 2021, 33, 191–208. [Google Scholar] [CrossRef]
- Xia, J.; Zhang, J.; Feng, J.; Wang, Z.; Zhuang, G. Command Filter-Based Adaptive Fuzzy Control for Nonlinear Systems with Unknown Control Directions. IEEE Trans. Syst. Man Cybern. Syst. 2019, 51, 1945–1953. [Google Scholar] [CrossRef]
- Wang, X.; Xu, B.; Guo, Y. Fuzzy Logic System-Based Robust Adaptive Control of AUV with Target Tracking. Int. J. Fuzzy Syst. 2023, 25, 338–346. [Google Scholar] [CrossRef]
- Wang, L.X. Adaptive Fuzzy Systems and Control; Prentice-Hall: Englewood Cliffs, NJ, USA, 1994. [Google Scholar]
- Sun, Y.; Liang, X.; Wan, Y. Tracking Control of Robot Manipulator with Friction Compensation Using Time-Delay Control and an Adaptive Fuzzy Logic System. Actuators 2023, 12, 184. [Google Scholar] [CrossRef]
- Yue, H.; Gong, C. Adaptive Tracking Control for a Class of Stochastic Nonlinearly Parameterized Systems with Time-Varying Input Delay Using Fuzzy Logic Systems. J. Low Freq. Noise Vib. Active Control 2022, 41, 1192–1213. [Google Scholar] [CrossRef]
- Chang, W.; Tong, S.; Li, Y. Adaptive Fuzzy Backstepping Output Constraint Control of Flexible Manipulator with Actuator Saturation. Neural Comput. Appl. 2017, 28, 1165–1175. [Google Scholar] [CrossRef]












| Parameters | Value |
|---|---|
Disclaimer/Publisher’s Note: The statements, opinions and data contained in all publications are solely those of the individual author(s) and contributor(s) and not of MDPI and/or the editor(s). MDPI and/or the editor(s) disclaim responsibility for any injury to people or property resulting from any ideas, methods, instructions or products referred to in the content. |
© 2023 by the authors. Licensee MDPI, Basel, Switzerland. This article is an open access article distributed under the terms and conditions of the Creative Commons Attribution (CC BY) license (https://creativecommons.org/licenses/by/4.0/).
Share and Cite
Zhao, Z.; Chang, H.; Wu, C. Adaptive Fuzzy Command Filtered Tracking Control for Flexible Robotic Arm with Input Dead-Zone. Appl. Sci. 2023, 13, 10812. https://doi.org/10.3390/app131910812
Zhao Z, Chang H, Wu C. Adaptive Fuzzy Command Filtered Tracking Control for Flexible Robotic Arm with Input Dead-Zone. Applied Sciences. 2023; 13(19):10812. https://doi.org/10.3390/app131910812
Chicago/Turabian StyleZhao, Zhike, Hao Chang, and Caizhang Wu. 2023. "Adaptive Fuzzy Command Filtered Tracking Control for Flexible Robotic Arm with Input Dead-Zone" Applied Sciences 13, no. 19: 10812. https://doi.org/10.3390/app131910812
APA StyleZhao, Z., Chang, H., & Wu, C. (2023). Adaptive Fuzzy Command Filtered Tracking Control for Flexible Robotic Arm with Input Dead-Zone. Applied Sciences, 13(19), 10812. https://doi.org/10.3390/app131910812

