Enhancing Autonomous Vehicle Lateral Control: A Linear Complementarity Model-Predictive Control Approach
Abstract
:1. Introduction
- A comprehensive model of the vehicle’s steering system has been developed. This model, combined with a dynamic tire model, enables precise control of the motor torque used to adjust the steering angle. This well-crafted model enhances vehicle control accuracy.
- By integrating LCP solving techniques, this study enhances the efficiency of solving QP problems within the MPC framework.
- The vehicle has been experimentally analyzed under two challenging road conditions—high friction and low friction—and compared with PID and conventional QP solution methods. This empirical validation validates the reliability of the proposed algorithm.
2. Steering and Vehicle Systems Modeling
2.1. Dynamic Model of Steering System
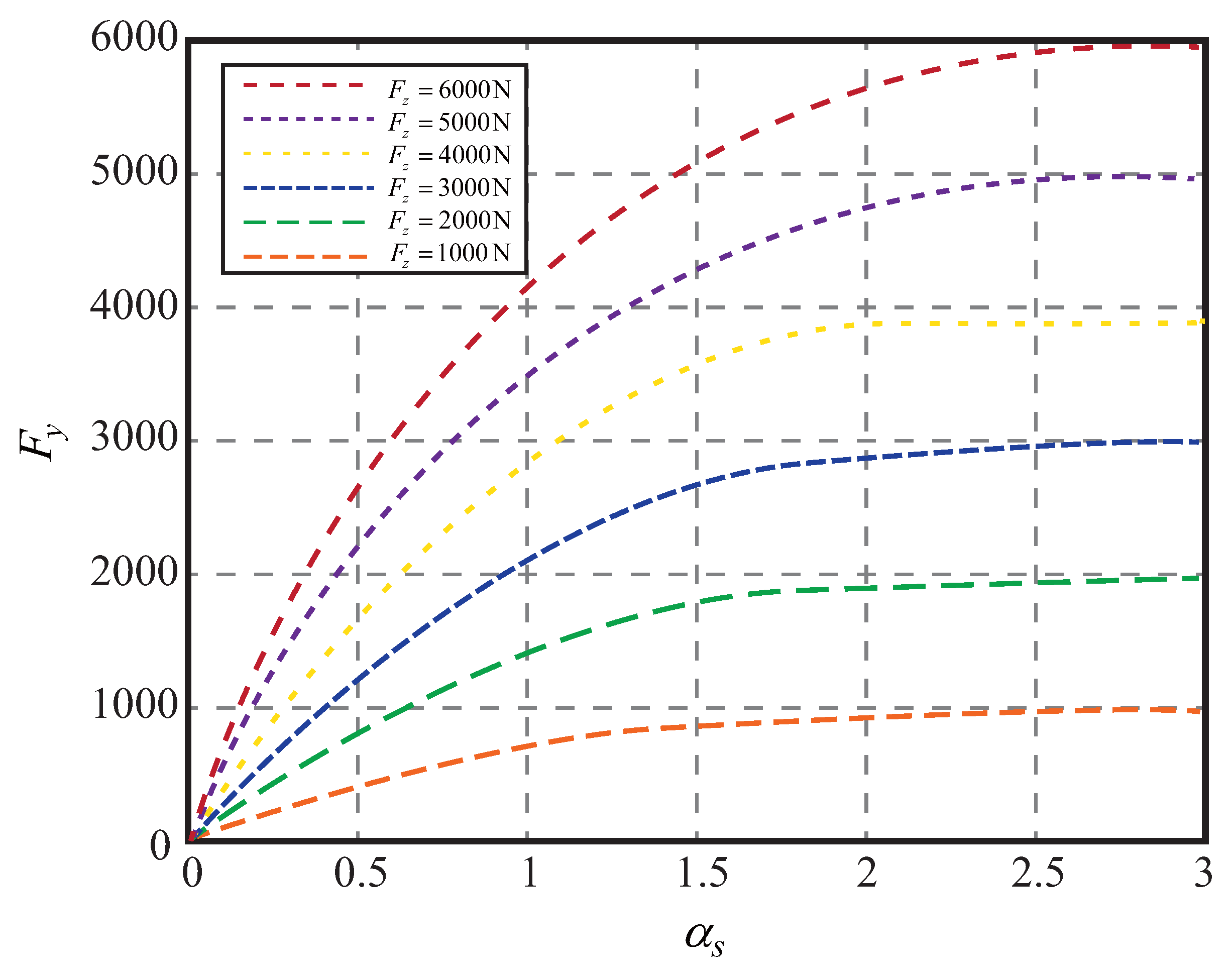
2.2. Dynamic Model of Vehicle Tires
2.3. Steering System and Tire Combination Model
3. Fast-MPC Algorithm Establishment
3.1. MPC Controller Design
3.2. QP Solver
3.3. LCP Solver
3.4. Stability Analysis of MPC
3.5. Fast-MPC Algorithm Process
| Algorithm 1: Fast-MPC Algorithm |
| 1. Initialize the system state and establish the actual vehicle system equation , under the influence of disturbances . |
| 2. For each time step k: |
| 3. Partition the actual system state into the system state . |
| 4. Obtain the nominal system state through the LCP solution, resulting in the control law by solving for . |
| 5. Employ the nominal control law . |
| 7. Move to the next time step . |
4. Simulation Analysis
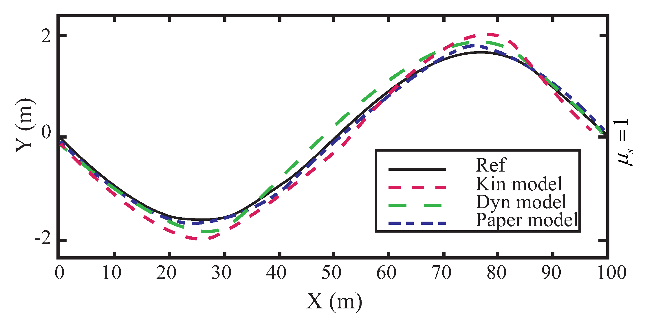
4.1. High Coefficient of Friction Road Test ()
4.2. Low Coefficient of Friction Road Test ()
5. Conclusions
Author Contributions
Funding
Institutional Review Board Statement
Informed Consent Statement
Data Availability Statement
Acknowledgments
Conflicts of Interest
Nomenclature
| Mathematical Symbols | |
| The set of real numbers | |
| Zero matrix of | |
| The identity matrix of dimension n | |
| ⊗ | Kronecker product |
| The dimension of state variable | |
| The dimension of control variable | |
| Vehicle Parameters | |
| / | Motion ratio |
| / | Moment of inertia/Damping coefficient of the motor |
| Steering motor torque | |
| Equivalent friction constant | |
| Steering resistance torque | |
| / | Inertia/friction of front wheel |
| / | Inertia/damping of lower steering column |
| / | Equivalent inertia/damping of the steering system |
| Radius of the pinion | |
| Rack damping coefficient | |
| Rack mass | |
| m | Vehicle mass |
| / | Steering wheel angle/angle rate |
| Tire lateral force | |
| Sideslip angle | |
| Tire slip angle | |
| Cornering stiffness | |
| Vehicle vertical force | |
| Road friction coefficient | |
| Moment of inertia of the vehicle | |
| / | Longitudinal/lateral velocity of the vehicle |
| / | Lateral forces of the front/rear tires |
| / | Lateral slip angles of the front/rear tires |
| Heading angle |
References
- Hu, X.; Zheng, Z.; Chen, D.; Sun, J. Autonomous vehicle’s impact on traffic: Empirical evidence from Waymo Open Dataset and implications from modelling. IEEE Trans. Intell. Transp. Syst. 2023, 24, 6711–6724. [Google Scholar] [CrossRef]
- Araghi, F.M.; Rabinwoitz, A.; Ang, C.C.; Sharma, S.; Kadav, P.; Meyer, R.T.; Bradley, T.; Asher, Z.D. Identifying and assessing research gaps for energy efficient control of electrified autonomous vehicle Eco-Driving. In Machine Learning and Optimization Techniques for Automotive Cyber-Physical Systems; Springer: Cham, Switzerland, 2023; pp. 759–786. [Google Scholar]
- Óscar, S.G.; Rubén, C.P.; Esther, G.G.M.; Soledad, N.L. Environmental impacts of autonomous vehicles: A review of the scientific literature. Sci. Total Environ. 2022, 830, 154615. [Google Scholar]
- Cao, D.; Wang, X.; Li, L.; Lv, C.; Na, X.; Xing, Y.; Li, X.; Li, Y.; Chen, Y.; Wang, F.Y. Future directions of intelligent vehicles: Potentials, possibilities, and perspectives. IEEE Trans. Intell. Veh. 2022, 7, 7–10. [Google Scholar] [CrossRef]
- Bai, Y.; Zhang, B.; Xu, N.; Zhou, J.; Shi, J.; Diao, Z. Vision-based navigation and guidance for agricultural autonomous vehicles and robots: A review. Comput. Electron. Agric. 2023, 205, 107584. [Google Scholar] [CrossRef]
- Taghavifar, H.; Shojaei, K. Adaptive robust control algorithm for enhanced path-tracking performance of automated driving in critical scenarios. Soft Comput. 2023, 27, 8841–8854. [Google Scholar] [CrossRef]
- Coppola, A.; Lui, D.G.; Petrillo, A.; Santini, S. Cooperative driving of heterogeneous uncertain nonlinear connected and autonomous vehicles via distributed switching robust PID-like control. Inf. Sci. 2023, 625, 277–298. [Google Scholar] [CrossRef]
- Rico, A.M.; Enrique, S.G.J.; Matilde, S. Evolutive tuning optimization of a pid controller for autonomous path-following robot. In Proceedings of the 16th International Conference on Soft Computing Models in Industrial and Environmental Applications (SOCO 2021), Bilbao, Spain, 22–24 September 2021; Springer: Berlin/Heidelberg, Germany, 2022; pp. 451–460. [Google Scholar]
- Li, H.; Peiqing, L.; Likang, Y.; Jun, Z.; Qipeng, L. Safety research on stabilization of autonomous vehicles based on improved-LQR control. AIP Adv. 2022, 12, 015313. [Google Scholar] [CrossRef]
- Ao, L.; Ziwang, L.; Runfeng, L.; Guangyu, T. Adaptive LQR Path Tracking Control for 4WS Electric Vehicles Based on Genetic Algorithm. In Proceedings of the 2022 6th CAA International Conference on Vehicular Control and Intelligence (CVCI), Nanjing, China, 28–30 October 2022; pp. 1–6. [Google Scholar]
- Zhikang, S.; Yuquan, D.; Wei, G.; Wentao, H.; Xiaochao, L.; Haiyan, C.; Fenjun, L.; Wenya, L.; Adrian, G. Refill friction stir spot welding Al alloy to copper via pure metallurgical joining mechanism. Chin. J. Mech. Eng. 2021, 34, 75. [Google Scholar]
- Zhou, X.; Wang, Z.; Wang, J. Popov-H∞ robust path-tracking control of autonomous ground vehicles with consideration of sector-bounded kinematic nonlinearity. J. Dyn. Syst. Meas. Control 2021, 143, 111004. [Google Scholar] [CrossRef]
- Rinaldi, G.; Menon, P.P.; Edwards, C. Suboptimal Sliding Mode-based Heading and Speed Guidance Scheme for Boundary Tracking with Autonomous Vehicle. In Proceedings of the 2021 American Control Conference (ACC), New Orleans, LA, USA, 25–28 May 2021; pp. 1–6. [Google Scholar]
- Chen, D.; Shihong, D.; Xinhua, W.; Keqi, M. Output feedback sliding mode control for path-tracking of autonomous agricultural vehicles. Nonlinear Dyn. 2022, 110, 2429–2445. [Google Scholar]
- Ardashir, M.; Hamid, T. A robust fuzzy control approach for path-following control of autonomous vehicles. Soft Comput. 2020, 24, 3223–3235. [Google Scholar]
- Lakhekar, G.V.; Waghmare, L.M. Robust self-organising fuzzy sliding mode-based path-following control for autonomous underwater vehicles. J. Mar. Eng. Technol. 2022, 22, 131–152. [Google Scholar] [CrossRef]
- Peng, Z.; Liu, E.; Pan, C.; Wang, H.; Wang, D.; Liu, L. Model-based deep reinforcement learning for data-driven motion control of an under-actuated unmanned surface vehicle: Path following and trajectory tracking. J. Frankl. Inst. 2023, 360, 4399–4426. [Google Scholar] [CrossRef]
- Chen, J.; Li, S.; Yang, K.; Wei, C.; Tang, X. Deep Reinforcement Learning-based Integrated Control of Hybrid Electric Vehicles Driven by Lane-Level High Definition Map. IEEE Trans. Transp. Electrif. 2023. [Google Scholar] [CrossRef]
- Hui, S.; Dayi, Q.; Haibing, G.; Kekun, Z.; Tao, W. Lane-Changing Trajectory Tracking and Simulation of Autonomous Vehicles Based on Model Predictive Control. Sustainability 2022, 14, 13272. [Google Scholar]
- Linhe, G.; Yang, Z.; Fangwu, M.; Konghui, G. Towards longitudinal and lateral coupling control of autonomous vehicles using offset free MPC. Control Eng. Pract. 2022, 121, 105074. [Google Scholar]
- Kai, Z.; Yingfeng, C.; Long, C.; Xiaoqiang, S. Event-triggered nonlinear model predictive control for trajectory tracking of unmanned vehicles. Proc. Inst. Mech. Eng. Part D J. Automob. Eng. 2021, 237, 2474–2483. [Google Scholar]
- Jingwei, C.; Chuanxue, S.; Silun, P.; Shixin, S.; Xu, Z.; Feng, X. Trajectory tracking control algorithm for autonomous vehicle considering cornering characteristics. IEEE Access 2020, 8, 59470–59484. [Google Scholar]
- Zhi, L.; Peng, S.; Cheng-Chew, L.; Xin, Y. Fuzzy-model-based lateral control for networked autonomous vehicle systems under hybrid cyber-attacks. IEEE Trans. Cybern. 2022, 53, 2600–2609. [Google Scholar]
- Baoshuai, L.; Hui, L.; Ziyong, H.; Yechen, Q.; Lijin, H.; Xiaolei, R. Motion control framework for unmanned wheel-legged hybrid vehicle considering uncertain disturbances based robust model predictive control. J. Vib. Control 2023. [Google Scholar] [CrossRef]
- Ying, T.; Qiangqiang, Y.; Peng, H.; Shengyuan, W. A Gain-Scheduled Robust Controller for Autonomous Vehicles Path Tracking Based on LPV System with MPC and H. IEEE Trans. Veh. Technol. 2022, 71, 9350–9362. [Google Scholar]
- Mollajafari, M.; Shojaeefard, M.H. TC3PoP: A time-cost compromised workflow scheduling heuristic customized for cloud environments. Clust. Comput. 2021, 24, 2639–2656. [Google Scholar] [CrossRef]
- Negahban, M.; Ardalani, M.V.; Mollajafari, M.; Akbari, E.; Talebi, M.; Pouresmaeil, E. A novel control strategy based on an adaptive fuzzy model predictive control for frequency regulation of a microgrid with Uncertain and time-varying parameters. IEEE Access 2022, 10, 57514–57524. [Google Scholar] [CrossRef]
- Yang, K.; Liu, Y.; Liu, Y.; He, X.; Ji, X. A linear time-varying MPC method for vehicle path-following assistance based on steering torque. In Proceedings of the IECON 2017—43rd Annual Conference of the IEEE Industrial Electronics Society, Beijing, China, 29 October–1 November 2017; pp. 4559–4564. [Google Scholar]
- Wang, H.; Kong, H.; Man, Z.; Cao, Z.; Shen, W. Sliding mode control for steer-by-wire systems with AC motors in road vehicles. IEEE Trans. Ind. Electron. 2013, 61, 1596–1611. [Google Scholar] [CrossRef]
- Leanza, A.; Mantriota, G.; Reina, G. On the vehicle dynamics prediction via model-based observation. Veh. Syst. Dyn. 2023, 1–22. [Google Scholar] [CrossRef]
- Okawa, I.; Nonaka, K. Linear complementarity model predictive control with limited iterations for box-constrained problems. Automatica 2021, 125, 109429. [Google Scholar] [CrossRef]
- Gao, H.; Kan, Z.; Li, K. Robust lateral trajectory following control of unmanned vehicle based on model predictive control. IEEE ASME Trans. Mechatron. 2021, 27, 1278–1287. [Google Scholar] [CrossRef]






















| Parameters | Definition | Value |
|---|---|---|
| m | Vehicle mass | 1370 kg |
| a | Horizontal distance from center of gravity to front tire | m |
| b | Horizontal distance from center of gravity to rear tire | m |
| Yaw inertia | 2125 kgm | |
| Front tire turning stiffness | 62,108 Nm/rad | |
| Rear tire turning stiffness | 46,505 Nm/rad | |
| Moment of inertia of the front wheels | kgm | |
| Viscous friction of front wheels | 13Nms/rad | |
| Moment of inertia of motor | kgm | |
| Motor damping coefficient | Nms/rad | |
| Moment of inertia of lower steering column | kgm | |
| Lower steering column damping coefficient | Nms/rad | |
| Rack damping coefficient | Ns/m | |
| Rack quality | kg | |
| Pinion radius | m |
| Tracking Error | ||||
|---|---|---|---|---|
| Method | Average | Max | Min | MSE |
| MPC (LCP) | 3.6% | 0.381 | −0.221 | 0.148 |
| MPC (QP) | 4.7% | 0.564 | −0.316 | 0.153 |
| PID | 6.6% | 0.861 | −0.523 | 0.311 |
| Tracking Error | ||||
|---|---|---|---|---|
| Method | Average | Max | Min | MSE |
| MPC (LCP) | 3.1% | 0.387 | −0.242 | 0.153 |
| MPC (QP) | 4.4% | 0.621 | −0.342 | 0.243 |
| PID | 6.5% | 0.887 | −0.476 | 0.356 |
Disclaimer/Publisher’s Note: The statements, opinions and data contained in all publications are solely those of the individual author(s) and contributor(s) and not of MDPI and/or the editor(s). MDPI and/or the editor(s) disclaim responsibility for any injury to people or property resulting from any ideas, methods, instructions or products referred to in the content. |
© 2023 by the authors. Licensee MDPI, Basel, Switzerland. This article is an open access article distributed under the terms and conditions of the Creative Commons Attribution (CC BY) license (https://creativecommons.org/licenses/by/4.0/).
Share and Cite
Ye, N.; Wang, D.; Dai, Y. Enhancing Autonomous Vehicle Lateral Control: A Linear Complementarity Model-Predictive Control Approach. Appl. Sci. 2023, 13, 10809. https://doi.org/10.3390/app131910809
Ye N, Wang D, Dai Y. Enhancing Autonomous Vehicle Lateral Control: A Linear Complementarity Model-Predictive Control Approach. Applied Sciences. 2023; 13(19):10809. https://doi.org/10.3390/app131910809
Chicago/Turabian StyleYe, Ning, Duo Wang, and Yong Dai. 2023. "Enhancing Autonomous Vehicle Lateral Control: A Linear Complementarity Model-Predictive Control Approach" Applied Sciences 13, no. 19: 10809. https://doi.org/10.3390/app131910809
APA StyleYe, N., Wang, D., & Dai, Y. (2023). Enhancing Autonomous Vehicle Lateral Control: A Linear Complementarity Model-Predictive Control Approach. Applied Sciences, 13(19), 10809. https://doi.org/10.3390/app131910809

