Effect of an Organic Rectorite on the Properties of a Waste Engine Oil-Modified Asphalt
Abstract
:1. Introduction
2. Experimental Section
2.1. Experimental Raw Materials
2.2. OREC + WEO Composite-Modified Asphalt
2.3. Testing Methods
3. Results and Discussion
3.1. Chemical Structure
3.2. Storage Stability
3.3. High-Temperature Rheological Properties
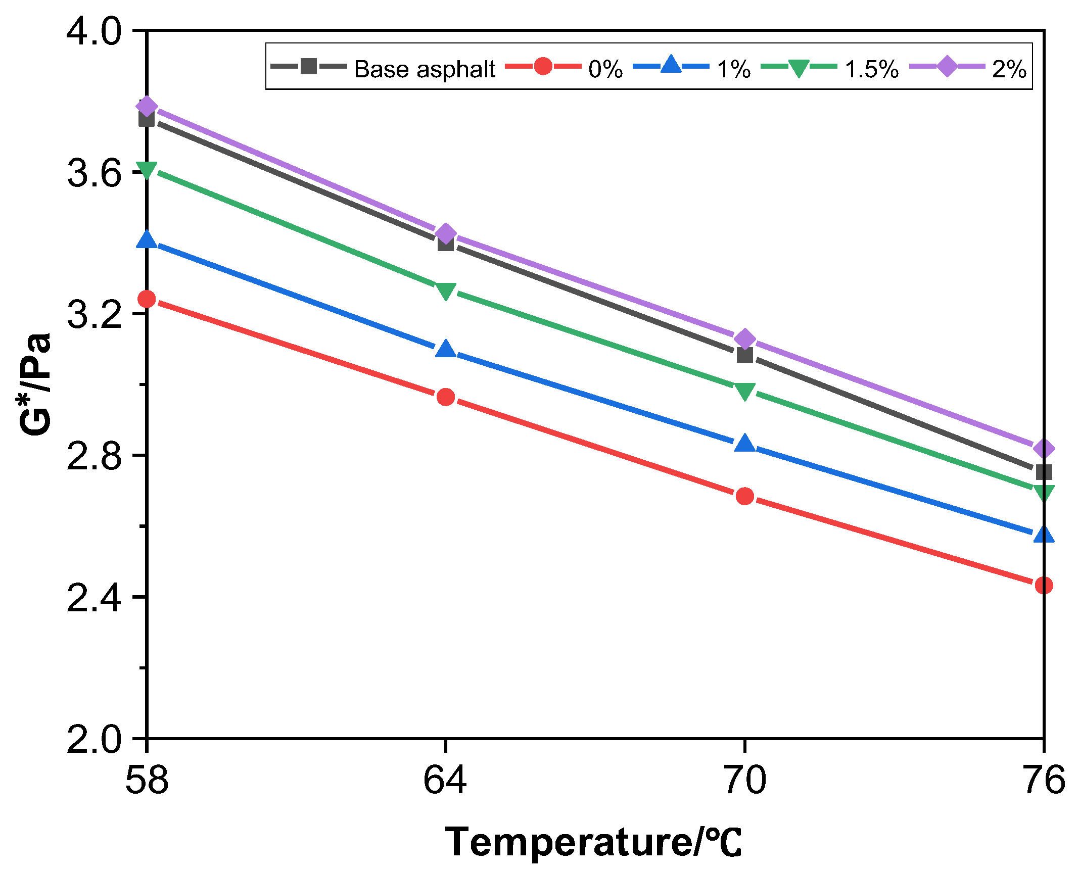
3.3.1. Complex Modulus
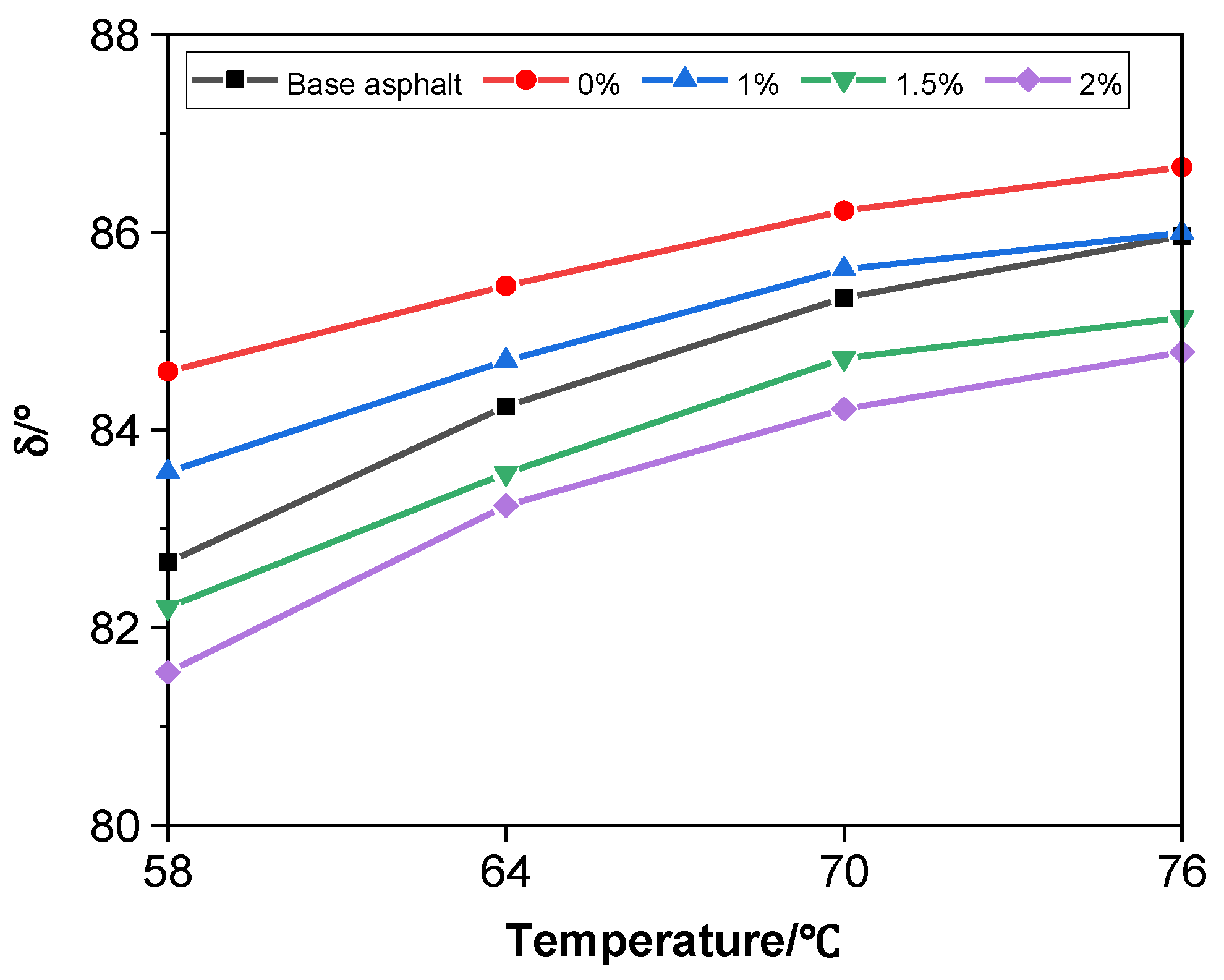
3.3.2. Phase Angle
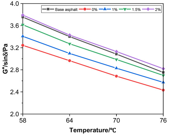
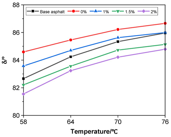
3.3.3. Rutting Factor
3.4. Low-Temperature Rheological Properties
3.4.1. Creep Stiffness
3.4.2. Creep Rate
3.5. Self-Healing Property
4. Conclusions
- (1)
- Compared to WEO-modified asphalt, OREC + WEO composite-modified asphalt did not show any new peaks related to chemical reactions, indicating that OREC and WEO-modified asphalt are only physically mixed. Therefore, the influence of OREC on the macroscopic properties of WEO-modified asphalt mainly manifests in the physical form.
- (2)
- Adding OREC improves the storage stability of WEO-modified asphalt. Compared to WEO-modified asphalt, the 48-h softening point difference of the composite-modified asphalt with 2% OREC content decreased from 2.8 °C to 1.8 °C, meeting the requirements of “Technical Specifications for Highway Asphalt Pavement Construction” for polymer-modified asphalt storage stability (≤2.5 °C).
- (3)
- Adding OREC can enhance the stiffness, elasticity, and resistance to rutting of WEO-modified asphalt at high temperatures, but it has a negative impact on low-temperature crack resistance and the self-healing property. However, only when the OREC content reaches 2% does the corresponding composite-modified asphalt exhibit better high- and low-temperature performance and self-healing property than the base asphalt. Therefore, the introduction of OREC can fully compensate for the performance loss caused by WEO in asphalt, and the OREC content is recommended to be 2%.
- (4)
- The findings of this research shed light on the potential benefits of using an organic rectorite as an additive in waste engine oil-modified asphalt and could be valuable for paving material engineers and researchers seeking sustainable and high-performance asphalt solutions. However, it is essential to further evaluate the impact of OREC on the aging resistance of WEO-modified asphalt, and we note that further research and field tests may be required in order to validate the practical application and long-term performance of this modified asphalt mixture. Additionally, it is essential to compare the effects of OREC with other types of nanoclays on the performance of WEO-modified asphalt.
Author Contributions
Funding
Institutional Review Board Statement
Informed Consent Statement
Data Availability Statement
Conflicts of Interest
References
- Lu, Z.; Qiu, R.; Zhang, B.; Wang, L. The synergistic effect of waste engine oil and organic mont morillonite on properties of bitumen: Conventional, high-temperature rheological, and self-healing. Constr. Build. Mater. 2023, 364, 129946. [Google Scholar] [CrossRef]
- Yan, S.; Dong, Q.; Chen, X.; Zhou, C.; Dong, S.; Gu, X. Application of waste oil in asphalt rejuvenation and modification: A comprehensive review. Constr. Build. Mater. 2022, 340, 127784. [Google Scholar] [CrossRef]
- Wang, H.; Zhang, H.; Liu, X.; Apostolidis, P.; Erkens, S.; Skarpas, A.; Leng, Z.; Airey, G. Micromechanics-based viscoelasticity predictions of crumb rubber modified bitumen considering polymer network effects. Transp. Res. Rec. 2022, 2676, 73–88. [Google Scholar] [CrossRef]
- Gao, Y.; Zhang, Y.; Yang, Y.; Zhang, J.; Gu, F. Molecular dynamics investigation of interfacial adhesion between oxidised bitumen and mineral surfaces. Appl. Surf. Sci. 2019, 479, 449–462. [Google Scholar] [CrossRef]
- Li, H.; Ling, X.; Zhao, J.; Li, W.; Chen, Z. Interlayer temperature analysis of asphalt pavement based on grey correlation degree. J. Munic. Technol. 2022, 40, 55–61. [Google Scholar]
- Sha, A.; Liu, Z.; Jiang, W.; Qi, L.; Hu, L.; Jiao, W.; Barbieri, D.M. Advances and development trends in eco-friendly pavements. J. Road Eng. 2021, 1, 1–42. [Google Scholar] [CrossRef]
- Sudarsanan, N.; Kim, Y.R. A critical review of the fatigue life prediction of asphalt mixtures and pavements. J. Traffic Transp. Eng. Engl. Ed. 2022, 9, 808–835. [Google Scholar] [CrossRef]
- Liu, S.; Peng, A.; Wu, J.; Zhou, S.B. Waste engine oil influences on chemical and rheological properties of different asphalt binders. Constr. Build. Mater. 2018, 191, 1210–1220. [Google Scholar] [CrossRef]
- Liu, S.; Peng, A.; Zhou, S.; Wu, J.; Xuan, W.; Liu, W. Evaluation of the ageing behaviour of waste engine oil-modified asphalt binders. Constr. Build. Mater. 2019, 223, 394–408. [Google Scholar] [CrossRef]
- Wang, D.; Baliello, A.; Poulikakos, L.; Vasconcelos, K.; Kakar, M.R.; Giancontieri, G.; Pasquini, E.; Porot, L.; Tušar, M.; Riccardi, C. Rheological properties of asphalt binder modified with waste polyethylene: An interlaboratory research from the RILEM TC WMR. Resour. Conserv. Recycl. 2022, 186, 106564. [Google Scholar] [CrossRef]
- Ma, J.; Nivitha, M.R.; Hesp, S.A.; Krishnan, J.M. Validation of empirical changes to asphalt specifications based on phase angle and relaxation properties using data from a northern Ontario, Canada pavement trial. Constr. Build. Mater. 2023, 363, 129776. [Google Scholar] [CrossRef]
- Yan, S.; Zhou, C.; Zhang, J.; Li, G. Molecular dynamics simulation on the rejuvenation effects of waste cooking oil on aged asphalt binder. J. Traffic Transp. Eng. Engl. Ed. 2022, 9, 795–807. [Google Scholar] [CrossRef]
- Qurashi, I.A.; Swamy, A.K. Viscoelastic properties of recycled asphalt binder containing waste engine oil. J. Clean. Prod. 2018, 182, 992–1000. [Google Scholar] [CrossRef]
- Hoon Moon, K.; Cannone Falchetto, A.; Wang, D.; Wistuba, M.P.; Tebaldi, G. Low-temperature performance of recycled asphalt mixtures under static and oscillatory loading. Road Mater. Pavement Des. 2017, 18, 297–314. [Google Scholar] [CrossRef]
- Qiu, Y.; Ding, H.; Rahman, A.; Wang, W. Damage characteristics of waste engine oil bottom rejuvenated asphalt binder in the non-linear range and its microstructure. Constr. Build. Mater. 2018, 174, 202–209. [Google Scholar] [CrossRef]
- Cui, Y.N.; Du, C.X.; Guo, L.D. Study on rheological properties of waste oil recycled asphalt. J. Funct. Mater. 2022, 53, 10116–10121+29. [Google Scholar]
- Zhang, Z.; Jia, M.; Jiao, W.; Qi, B.; Liu, H. Physical properties and microstructures of organic rectorites and their modified asphalts. Constr. Build. Mater. 2018, 171, 33–43. [Google Scholar] [CrossRef]
- Lu, H.; Ye, F.; Yuan, J.; Yin, W. Properties comparison and mechanism analysis of naphthenic oil/SBS and nano-MMT/SBS modified asphalt. Constr. Build. Mater. 2018, 187, 1147–1157. [Google Scholar] [CrossRef]
- Jia, M.; Zhang, Z.; Liu, H.; Peng, B.; Zhang, H.; Lv, W.; Zhang, Q.; Mao, Z. The synergistic effect of organic montmorillonite and thermoplastic polyurethane on properties of asphalt binder. Constr. Build. Mater. 2019, 229, 116867. [Google Scholar] [CrossRef]
- Ke, Y.; Cao, J.; Xu, S.; Bian, C.; Zhang, C.; Jia, X. Storage stability and anti-aging performance of SEBS/ organ-montmorillonite modified asphalt. Constr. Build. Mater. 2022, 341, 127875. [Google Scholar] [CrossRef]
- Sha, A.; Jiang, W.; Shan, J.; Wu, W.; Li, Y.; Zhang, S. Pavement structure and materials design for sea-crossing bridges and tunnel: Case study of the Hong Kong–Zhuhai–Macau Bridge. J. Road Eng. 2022, 2, 99–113. [Google Scholar] [CrossRef]
- Zhang, H.; Shi, C.; Han, J.; Yu, J. Effect of organic layered silicates on flame retardancy and aging properties of bitumen. Constr. Build. Mater. 2013, 40, 1151–1155. [Google Scholar] [CrossRef]
- Zhang, Z.P.; Jia, M. Evaluating the effect of organic reagents on short-term aging resistance of the organic rectorite asphalt by multi-indicators. Road Mater. Pavement Des. 2021, 22, 215–229. [Google Scholar] [CrossRef]
- Ren, Z.; Zhu, Y.; Wu, Q.; Zhu, M.; Guo, F.; Yu, H.; Yu, J. Enhanced storage stability of different polymer modified asphalt binders through nano-montmorillonite modification. Nanomaterials 2020, 10, 641. [Google Scholar] [CrossRef]
- Yu, R.; Fang, C.; Liu, P.; Liu, X.; Li, Y. Storage stability and rheological properties of asphalt modified with waste packaging polyethylene and organic montmorillonite. Appl. Clay Sci. 2015, 104, 1–7. [Google Scholar] [CrossRef]
- Cheng, P.; Yang, Z.; Zhang, Z.; Xu, J. Analysis of healing properties and microscopic mechanism of nano montmorillonite/SBS composite modified asphalt under heat aging. Mater. Rev. 2022, 36, 114–119. [Google Scholar]
- Jiang, W.; Yuan, D.; Shan, J.; Ye, W.; Lu, H.; Sha, A. Experimental study of the performance of porous ultra-thin asphalt overlay. Int. J. Pavement Eng. 2022, 23, 2049–2061. [Google Scholar] [CrossRef]
- Li, H.; Wang, J.; Han, X.; Song, X. Study on Application of Extremely Thin Cover of Low Temperature Modified Asphalt. J. Munic. Technol. 2022, 40, 14–16+120. [Google Scholar]
- Huang, Y.; Ma, X.; Liang, G.; Yan, Y.; Wang, S. Adsorption behavior of Cr(VI) on organic-modified rectorite. Chem. Eng. J. 2008, 138, 187–193. [Google Scholar] [CrossRef]
- Jia, M.; Zhang, Z.; Wei, L.; Li, J.; Yuan, D.; Wu, X.; Mao, Z. High- and Low-Temperature Properties of Layered Silicate-Modified Bitumens: View from the Nature of Pristine Layered Silicate. Appl. Sci. 2019, 9, 3563. [Google Scholar] [CrossRef]
- Jia, M.; Sha, A.; Jiang, W.; Li, X.; Jiao, W. Developing a solid–solid phase change heat storage asphalt pavement material and its application as functional filler for cooling asphalt pavement. Energy Build. 2023, 285, 112935. [Google Scholar] [CrossRef]
- Jiang, W.; Li, P.; Sha, A.; Li, Y.; Yuan, D.; Xiao, J.; Xing, C. Research on Pavement Traffic Load State Perception Based on the Piezoelectric Effect. IEEE Trans. Intell. Transp. Syst. 2023, 24, 8264–8278. [Google Scholar] [CrossRef]
- Yuan, D.; Jiang, W.; Sha, A.; Xiao, J.; Wu, W.; Wang, T. Technology method and functional characteristics of road thermoelectric generator system based on Seebeck effect. Appl. Energy 2023, 331, 120459. [Google Scholar] [CrossRef]
- Büchner, J.; Wistuba, M.P.; Remmler, T.; Wang, D. On low temperature binder testing using DSR 4 mm geometry. Mater. Struct. 2019, 52, 113. [Google Scholar] [CrossRef]
- Zhang, Z.; Zhang, S.; Zhao, Z.; Yan, L.; Wang, C.; Liu, H. HydroBIM—Digital design, intelligent construction, and smart operation. J. Intell. Constr. 2023, 1, 9180014. [Google Scholar] [CrossRef]
- Zhang, P.; Xu, N.; Xiao, P.; Zhao, T.; Gao, F.; Ding, X.; Li, B. Microseismic Source Location Based on Improved Artificial Bee Colony Algorithm: Performance Analysis and Case Study. J. Intell. Constr. 2023. [Google Scholar] [CrossRef]
- JTG E20-2011; Standard Test Methods of Bitumen and Bituminous Mixtures for Highway Engineering. 2011. Available online: https://www.codeofchina.com/standard/JTGE20-2011.html (accessed on 20 August 2023).
- Zhao, Q.; Yin, W.; Long, C.; Jiang, Z.; Jiang, J.; Yang, H. Insights into the adsorption behaviour and mechanism of tetracycline on rectorite mineral: Influence of surface and structure evolution. Appl. Clay Sci. 2022, 229, 106698. [Google Scholar] [CrossRef]
- He, S.; Bai, F.; Liu, S.; Ma, H.; Hu, J.; Chen, L.; Lin, J.; Wei, G.; Du, X. Aging properties of styrene-butadiene rubber nanocomposites filled with carbon black and rectorite. Polym. Test 2017, 64, 92–100. [Google Scholar] [CrossRef]
- JTG F40-2004; Technical Specifications for Construction of Highway Asphalt Pavements. 2004. Available online: http://www.lancarver.com/En/bz_view.asp?id=65 (accessed on 20 August 2023).








| Properties | Test Results |
|---|---|
| Density/g/cm3 | 0.85 |
| Flash point/°C | 192 |
| Auto-ignition point/°C | 214 |
| Viscosity at 25 °C/MPa·s | 56.3 |
| Appearance | Brown liquid, no particulate precipitate |
| Properties | Test Results |
|---|---|
| Interlayer spacing/nm | 3.58 |
| Amine content/wt% | 14.4 |
| Moisture content/% | 0 |
| Particle size/μm | ≤45 μm |
| Appearance | Brown powder |
| Properties | Test Results | Technical Standards |
|---|---|---|
| Penetration at 25 °C/0.1 mm | 74.3 | 60~80 |
| Softening point/°C | 49.6 | ≥46 |
| Ductility at 15 °C/cm | >150 | ≥100 |
| Viscosity at 60 °C/Pa·s | 221 | ≥180 |
| Density/g/cm3 | 1.02 | - |
Disclaimer/Publisher’s Note: The statements, opinions and data contained in all publications are solely those of the individual author(s) and contributor(s) and not of MDPI and/or the editor(s). MDPI and/or the editor(s) disclaim responsibility for any injury to people or property resulting from any ideas, methods, instructions or products referred to in the content. |
© 2023 by the authors. Licensee MDPI, Basel, Switzerland. This article is an open access article distributed under the terms and conditions of the Creative Commons Attribution (CC BY) license (https://creativecommons.org/licenses/by/4.0/).
Share and Cite
Jia, M.; Ling, X.; Yao, S.; Wang, D.; Falchetto, A.C.; Yuan, D. Effect of an Organic Rectorite on the Properties of a Waste Engine Oil-Modified Asphalt. Appl. Sci. 2023, 13, 9856. https://doi.org/10.3390/app13179856
Jia M, Ling X, Yao S, Wang D, Falchetto AC, Yuan D. Effect of an Organic Rectorite on the Properties of a Waste Engine Oil-Modified Asphalt. Applied Sciences. 2023; 13(17):9856. https://doi.org/10.3390/app13179856
Chicago/Turabian StyleJia, Meng, Xianwu Ling, Shengbiao Yao, Di Wang, Augusto Cannone Falchetto, and Dongdong Yuan. 2023. "Effect of an Organic Rectorite on the Properties of a Waste Engine Oil-Modified Asphalt" Applied Sciences 13, no. 17: 9856. https://doi.org/10.3390/app13179856
APA StyleJia, M., Ling, X., Yao, S., Wang, D., Falchetto, A. C., & Yuan, D. (2023). Effect of an Organic Rectorite on the Properties of a Waste Engine Oil-Modified Asphalt. Applied Sciences, 13(17), 9856. https://doi.org/10.3390/app13179856

