You are currently viewing a new version of our website. To view the old version click .
Applied Sciences
  • Article
  • Open Access

17 August 2023

Theoretical Investigation of the Influence of Different Heavy Metal Oxides Modifiers on ZnO-Bi2O3-B2O3-SiO2’s Photon- and Neutron-Shielding Capabilities Using the Monte Carlo Method

Department of Physics, Faculty of Science, Imam Mohammad Ibn Saud Islamic University (IMSIU), Riyadh 11564, Saudi Arabia

Abstract

Radiation has become an essential part in medicine and researchers are constituently investigating radiation shielding materials that are suitable for different medical applications. Glass, due to its properties, has been considered an excellent radiation shield for such applications. One of the most common glasses used as a radiation shield is the ZnO-Bi2O3-B2O3-SiO2 anti-radiation glass. Heavy metal oxides have many desirable properties such as high density, transparency to visible light, stability in air and water, high interaction cross section, high infrared transparency, and good absorption of radiation, which make them desirable to be used as modifiers with anti-radiation glass. Research has been focusing on environmentally friendly shielding material which leads to non-lead modifiers such as Na2O, Al2O3, MgO, TiO2, SrO, Sb2O3, and BaO, which have become more desired than PbO. So far, ZnO-Bi2O3-B2O3-SiO2’s photon shielding properties have been studied experimentally with the addition of BaO at certain energies only. In this work, different heavy metal oxides are added as modifiers to ZnO-Bi2O3-B2O3-SiO2 glass in order to investigate theoretically their effects on the shielding properties of the glass at a wide range of photon and neutron energies. Simulation is cost- and time-effective when it comes to investigating different compositions of glass and different modifiers with different weight percentages at any energy range for any type of radiation. Simulation could be considered the first step in order to identify the best mixture with the best weight fractions prior to any experimental investigations of other desired properties based on the needed application. In this work, the photon- and neutron-shielding capabilities of the ZnO-Bi2O3-B2O3-SiO2 anti-radiation glass is investigated with different weight fractions of heavy metal oxides at wide photon and neutron energy ranges. Geant4, which is a Monte Carlo-based powerful toolkit, is used to find the mass attenuation coefficients (µm) of photons, as well as the effective removal cross sections (ΣR) of neutrons, of all the investigated samples in the studied energy range.

1. Introduction

Radiation is an essential part of life and despite all its benefits; it can cause damage to humans either directly or indirectly through deformation and inheritance to future generations because of its ability to penetrate human bodies [,,,]. This is the reason why researchers are focusing on finding suitable materials that have the ability to shield radiation in order to reduce its damage on humans. Radiation materials used in medical applications should be environmentally friendly, transparent, durable, and easy to shape and construct [,,,,,].
Researchers have been focusing on studies related to radiation shielding material, as radiation plays an essential part in medicine, for the sake of finding the most suitable materials for different applications. Glass has been considered an excellent radiation shield due to its properties [,,,,,,,,,,,,,,,,,,,]. Many studies focused on investigating the capabilities of glass to shield against different radiation for many industrial and medical applications [,,,,,,,,,,,,,,,,,,,]. Glass offers excellent shielding properties as well as good transparency to visible light which is important in many medical-related applications [,,,,,,,,,,,,,,,,,].
The ZnO-Bi2O3-B2O3-SiO2 anti-radiation glass is one of the most commonly used lead-free glasses in radiation protection []. Heavy metal oxide modifiers such as PbO enhance the shielding properties of glass when added at certain percentages [,,,,,,,]. However, research interest has shifted towards environmentally friendly materials such as Na2O, Al2O3, MgO, TiO2, SrO, Sb2O3, and BaO instead of PbO. Those modifiers influence many desirable properties such as high density, transparency to visible light, stability in air, and water, high interaction cross section, high infrared transparency, and good absorption of radiation [,,]. Glasses with heavy metal oxide modifiers can shield against both photons and neutrons since they are of high content of both heavy and light elements []. However, the neutron-induced damage to these heavy metal oxide modifiers due to the transfer of incident neutrons energy via elastic collision with the primary knock-on atoms, should be considered [,,,,,,,].
In this work, the photon- and neutron-shielding capabilities of the ZnO-Bi2O3-B2O3-SiO2 anti-radiation glass are investigated with different weight fractions of heavy metal oxides at wide photon and neutron energy ranges. Geant4, which is a Monte Carlo-based powerful toolkit, is used to find the mass attenuation coefficients (µm) of photons, as well as the effective removal cross sections (ΣR) of neutrons, of all the investigated samples in the studied energy range.

2. Materials

The samples investigated in this work are composed of (wt%) HMO (100—wt%) [0.3 ZnO 0.2 Bi2O3 0.2 B2O3 0.3 SiO2] (where wt% is 0%, 1%, 5%, 10%, 15%, and 20%) and the used heavy metal oxides are Na2O, Al2O3, MgO, TiO2, SrO, Sb2O3, and BaO.

3. Theory

3.1. Photon Attenuation

When photons enter a material with a certain intensity (I0), it attenuates and its intensity after passing through a mass per unit area (x) layer of material is reduced to (I). The photon mass attenuation coefficient (μm) depends on the material and can be calculated using Equation (1) []:
I = I 0 e μ m x
The influence of different modifiers on the mass attenuation coefficients of the investigated glass is evaluated in this work.

3.2. Neutron Attenuation

The probability of neutron reactions with any material is expressed by the neutron removing cross section (ΣR), and is given by Equation (2) []:
Σ R = i ρ i Σ R / ρ i
where (ρR) is the partial density, and (ΣR) is the mass removal cross section, which can be calculated using Equation (3) for any compound []:
Σ R ρ = 0.206 A 1 3 Z 0.294
where (A) is the atomic weight, and (Z) is the atomic number.
The influence of different modifiers on the effective removal cross sections of the investigated glass is evaluated in this work.

4. Methods

In this work, the powerful Monte Carlo-based toolkit, Geant4.11.02, which is utilized in nuclear physics, nuclear engineering, and medical physics, was used to evaluate the photon- and neutron-shielding properties of the investigated samples []. Geant4 is very reliable and has been used in many shielding assessment studies, has been compared to experimental results and other software, and has shown excellent agreement. Root (6.10/04) software was used to plot figures presented in this work [].

5. Effect of Na2O Modifier

Na2O is one of the most commonly used materials in medical applications, when added to glass it decreases the crystallization rates, lowers the melting temperatures, and enhances the performance in the glass-forming zone []. Table 1 summarizes the mass attenuation coefficients of the studied glass with different fractions of Na2O at a wide photon energy range from 10 keV to 20 MeV. On the other hand, Table 2 summarizes the neutron effective removal cross sections of the studied glass with different fractions of Na2O. It can be seen that the photon-shielding capabilities of glass have decreased with the addition of the Na2O modifier while the neutron-shielding capabilities are enhanced.
Table 1. The photon mass attenuation coefficients of the studied glass with Na2O modifier.
Table 2. The neutron effective removal cross sections of the studied glass with Na2O modifier.

6. Effect of Al2O3 Modifier

Al2O3 enhances the long-time stability, chemical durability, melting properties, and opacity of glass and yet it is of low cost []. Table 3 summarizes the mass attenuation coefficients of the studied glass with different fractions of Al2O3 at a wide photon energy range from 10 keV to 20 MeV. On the other hand, Table 4 summarizes the neutron effective removal cross sections of the studied glass with different fractions of Al2O3. The photon-shielding capabilities of glass have decreased with the addition of the Al2O3 modifier while the neutron-shielding capabilities are enhanced.
Table 3. The photon mass attenuation coefficients of the studied glass with Al2O3 modifier.
Table 4. The neutron effective removal cross sections of the studied glass with Al2O3 modifier.

7. Effect of MgO Modifier

MgO is one of the most commonly used materials in medical applications, when added to glass it decreases the crystallization rates, lowers the melting temperatures, and enhances the performance in the glass-forming zone []. Table 5 summarizes the mass attenuation coefficients of the studied glass with different fractions of MgO at a wide photon energy range from 10 keV to 20 MeV. On the other hand, Table 6 summarizes the neutron effective removal cross sections of the studied glass with different fractions of MgO. MgO decreased the photon-shielding capabilities of glass while it enhanced the neutron-shielding capabilities.
Table 5. The photon mass attenuation coefficients of the studied glass with MgO modifier.
Table 6. The neutron effective removal cross sections of the studied glass with MgO modifier.

8. Effect of TiO2 Modifier

TiO2 when added to glass protects its optical efficiency []. Table 7 summarizes the mass attenuation coefficients of the studied glass with different fractions of TiO2 at a wide photon energy range from 10 keV to 20 MeV. On the other hand, Table 8 summarizes the neutron effective removal cross sections of the studied glass with different fractions of TiO2. It can be seen that the photon-shielding capabilities of glass have decreased with the addition of the TiO2 modifier while the neutron-shielding capabilities are enhanced.
Table 7. The photon mass attenuation coefficients of the studied glass with TiO2 modifier.
Table 8. The neutron effective removal cross sections of the studied glass with TiO2 modifier.

9. Effect of SrO Modifier

SrO raises the characteristic temperature of glasses and resistance to crystallization []. Table 9 summarizes the mass attenuation coefficients of the studied glass with different fractions of SrO at a wide photon energy range from 10 keV to 20 MeV. On the other hand, Table 10 summarizes the neutron effective removal cross sections of the studied glass with different fractions of SrO. The photon-shielding capabilities of glass have been enhanced with the addition of the SrO modifier while the neutron-shielding capabilities are decreased.
Table 9. The photon mass attenuation coefficients of the studied glass with SrO modifier.
Table 10. The neutron effective removal cross sections of the studied glass with SrO modifier.

10. Effect of Sb2O3 Modifier

Sb2O3 when added to glass enhances its structural, thermal, and optical properties []. Table 11 summarizes the mass attenuation coefficients of the studied glass with different fractions of Sb2O3 at a wide photon energy range from 10 keV to 20 MeV. On the other hand, Table 12 summarizes the neutron effective removal cross sections of the studied glass with different fractions of Sb2O3. The photon-shielding capabilities of glass have been enhanced with the addition of the Sb2O3 modifier while the neutron-shielding capabilities are decreased.
Table 11. The photon mass attenuation coefficients of the studied glass with Sb2O3 modifier.
Table 12. The neutron effective removal cross sections of the studied glass with Sb2O3 modifier.

11. Effect of BaO Modifier

BaO when added to glass improves its density and stability []. Table 13 summarizes the mass attenuation coefficients of the studied glass with different fractions of BaO at a wide photon energy range from 10 keV to 20 MeV. On the other hand, Table 14 summarizes the neutron effective removal cross sections of the studied glass with different fractions of BaO. The photon-shielding capabilities of glass have been enhanced with the addition of the Sb2O3 modifier while the neutron-shielding capabilities are decreased.
Table 13. The photon mass attenuation coefficients of the studied glass with BaO modifier.
Table 14. The neutron effective removal cross sections of the studied glass with BaO modifier.

12. Comparison between the Influence of All Investigated Modifiers on the Shielding Properties of the Studied Glass

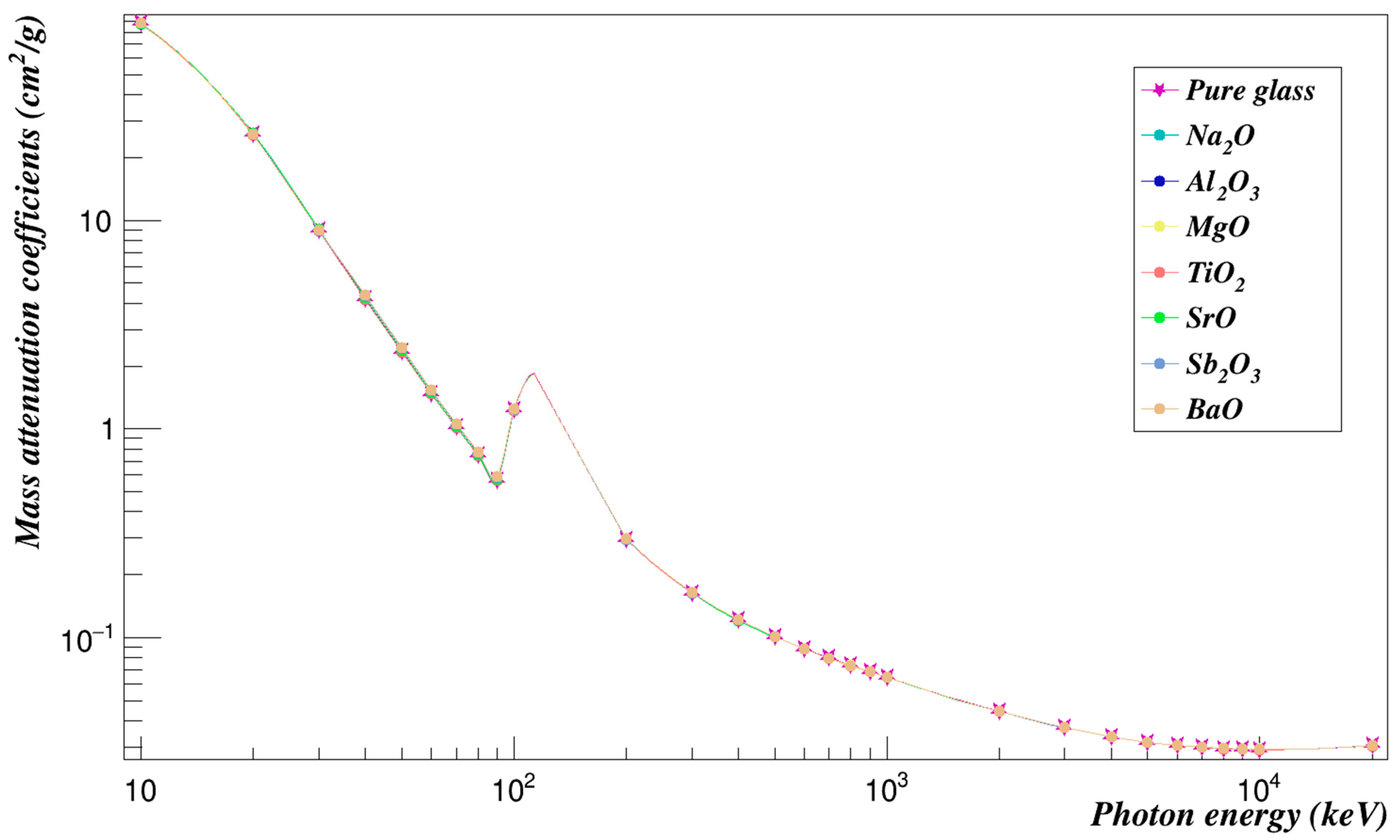
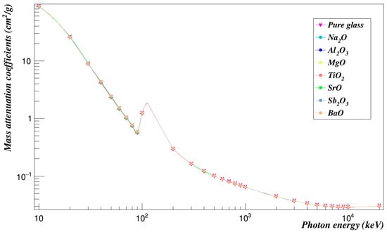
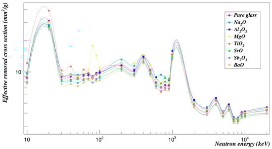
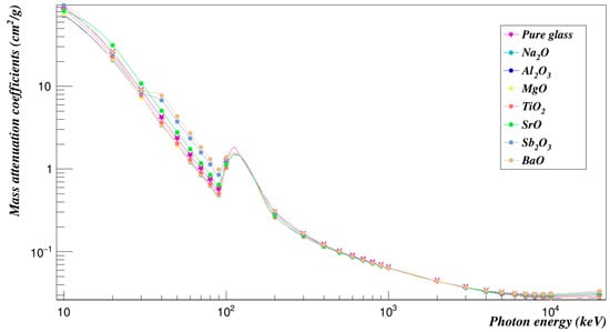
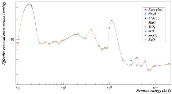
In order to clearly compare the influence of the investigated modifiers on the performance of the studied glass as a radiation shield, the photon attenuation coefficients and the neutron removal cross sections were plotted for the pure glass against the glass with 1% fraction of the different modifiers studied in this work as shown in Figure 1 and Figure 2. The glasses with 20% fraction of modifiers were compared and plotted as well in Figure 3 and Figure 4. The average percentage differences between the coefficients and cross sections in the case of glass with modifiers are tabulated in Table 15 for easier comparison among the effects of the different modifiers.
Figure 1. The effect of 1% of different modifiers on the photon mass attenuation coefficients of the studied glass.
Figure 2. The effect of 20% of different modifiers on the photon mass attenuation coefficients of the studied glass.
Figure 3. The effect of 1% of different modifiers on the neutron removal cross sections of the studied glass.
Figure 4. The effect of 20% of different modifiers on the neutron removal cross sections of the studied glass.
Table 15. Average percentage difference between the shielding abilities of the studies glass with different modifiers.
As can be seen from Figure 5 and Figure 6, the results show that BaO enhances the photon-shielding properties of ZnO-Bi2O3-B2O3-SiO2 the most among all compared metal oxides with an average between 0.95% and 18.94%, but on the other hand it decreases the neutron-shielding by an average ranging from −0.49% to −10.71%. The Sb2O3 performed nearly the same with average percentage differences between 0.61% and 12.16% for photon-shielding abilities and between −0.61% and −8.74% for neutron-shielding abilities. The SrO also increased the ability of glass to shield against photons and reduced its ability against neutrons. The MgO modifier, on the one hand, enhanced the neuron-shielding capabilities of the studied glass the most with average percentage differences ranging from 0.56% to 10.43%, while it decreased the photon-shielding properties by, on average, between −0.39% to −7.89%. The Na2O, Al2O3, and TiO2 increased the ability of the studied glass to shield against neutrons as well and reduced the ability to shield against photons. In general, the effects of modifiers on photon shielding-properties are higher than on neutron-shielding properties. From a practical point of view, the neutron activation of elements and the formation of point defects must be considered when choosing the best modifier and this can be evaluated experimentally, as some studies have reported [,,].
Figure 5. Comparison between the effects of all investigated modifiers on the photon-shielding abilities of the studied glass.
Figure 6. Comparison between the effects of all investigated modifiers on the neutron-shielding abilities of the studied glass.
It is essential to choose the right modifiers to be added to anti-radiation glasses based on the required applications while taking into account the effects on the physical and chemical properties.

13. Conclusions

The performance of ZnO-Bi2O3-B2O3-SiO2 anti-radiation glass as a photon and neutron shield was investigated at a wide energy range and the effect of some selected heavy metal oxides modifiers on the shielding properties were studied at chosen fractions. The results indicate that some modifiers enhance the photon-shielding ability of the studied glass but at the same time reduces its ability to shield against neutrons and vice versa. Choosing the preferable modifier should be influenced by the desired application and by the effects on the other chemical and physical properties of glass.
Future studies should focus on choosing the right modifier with the right percentage in order to fit a certain application and maybe even mixing different modifiers to get the right combination of features. Simulation is the most effective way to evaluate different mixtures without wasting time, money, and effort. However, future experimental detailed studies of the defect formation mechanism and the radiation-induced variation of optical and structural properties of the chosen glasses are important along with investigation of any defects, crystallization, or bubble formation which must be completed before using the best configuration for any desired application []. This is especially the case when considering the long-term use of such shields; lattice oxygen vacancy defects created by radiation and their effects on transparency and shielding effectiveness should be evaluated [,].

Funding

This research received no external funding.

Institutional Review Board Statement

Not applicable.

Data Availability Statement

Not applicable.

Conflicts of Interest

The author declares no conflict of interest.

References

  1. Yin, S.; Wang, H.; Wang, S.; Zhang, J.; Zhu, Y. Effect of B2O3 on the radiation shielding performance of Telluride Lead Glass System. Crystals 2022, 12, 178. [Google Scholar] [CrossRef]
  2. Rammah, Y.S.; El-Agawany, F.I.; El Soad, A.M.A.; Yousef, E.; El-Mesady, I.A. Ionizing radiation attenuation competences of Gallium Germanate-tellurite glasses utilizing MCNP5 simulation code and PHY-X/PSD program. Ceram. Int. 2020, 46, 22766–22773. [Google Scholar] [CrossRef]
  3. Hamad, R.M.; Mhareb, M.H.A.; Alajerami, Y.S.; Sayyed, M.I.; Saleh, G.; Hamad, M.K.; Ziq, K.A. A comprehensive ionizing radiation shielding study of FEXSE0.5Te0.5 alloys with various iron concentrations. J. Alloys Compd. 2021, 858, 157636. [Google Scholar] [CrossRef]
  4. Olarinoye, I.O.; Alomairy, S.; Sriwunkum, C.; Al-Buriahi, M.S. Effect of ag2O/V2O5 substitution on the radiation shielding ability of tellurite glass system via XCOM approach and Fluka simulations. Phys. Scr. 2021, 96, 065308. [Google Scholar] [CrossRef]
  5. Boonin, K.; Yasaka, P.; Limkitjaroenporn, P.; Rajaramakrishna, R.; Askin, A.; Sayyed, M.I.; Kothan, S.; Kaewkhao, J. Effect of bao on lead free zinc barium tellurite glass for radiation shielding materials in nuclear application. J. Non-Cryst. Solids 2020, 550, 120386. [Google Scholar] [CrossRef]
  6. Sayyed, M.I.; Issa, S.A.M.; Büyükyıldız, M.; Dong, M. Determination of nuclear radiation shielding properties of some tellurite glasses using MCNP5 Code. Radiat. Phys. Chem. 2018, 150, 1–8. [Google Scholar] [CrossRef]
  7. Sayyed, M.I.; Dong, M.G.; Tekin, H.O.; Lakshminarayana, G.; Mahdi, M.A. Comparative investigations of Gamma and neutron radiation shielding parameters for different borate and tellurite glass systems using WINXCOM program and MCNPX Code. Mater. Chem. Phys. 2018, 215, 183–202. [Google Scholar] [CrossRef]
  8. Shamshad, L.; Rooh, G.; Limkitjaroenporn, P.; Srisittipokakun, N.; Chaiphaksa, W.; Kim, H.J.; Kaewkhao, J. A comparative study of gadolinium based oxide and oxyfluoride glasses as low energy radiation shielding materials. Prog. Nucl. Energy 2017, 97, 53–59. [Google Scholar] [CrossRef]
  9. Sayyed, M.I.; Qashou, S.I.; Khattari, Z.Y. Radiation shielding competence of newly developed TEO2-WO3 glasses. J. Alloys Compd. 2017, 696, 632–638. [Google Scholar] [CrossRef]
  10. Waly, E.-S.A.; Fusco, M.A.; Bourham, M.A. Gamma-ray mass attenuation coefficient and half value layer factor of some oxide glass shielding materials. Ann. Nucl. Energy 2016, 96, 26–30. [Google Scholar] [CrossRef]
  11. Aladailah, M.W.; Abdelmunem, E.M.; Marashdeh, M.W.; Tashlykov, O.L. Role of GEO2 on enhancing the shielding properties of phosphate and borate-phosphate glasses. Bull. Mater. Sci. 2023, 46, 39. [Google Scholar] [CrossRef]
  12. Kozlovskiy, A.; Shlimas, D.I.; Zdorovets, M.V.; Popova, E.; Elsts, E.; Popov, A.I. Investigation of the efficiency of shielding gamma and electron radiation using glasses based on Teo2-WO3-Bi2O3-Moo3-SIO to protect electronic circuits from the negative effects of ionizing radiation. Materials 2022, 15, 6071. [Google Scholar] [CrossRef] [PubMed]
  13. Aladailah, M.W.; Tashlykov, O.L.; Shirmanov, I.A.; Strugov, E.D.; Marashdeh, M.W.; Abdelmunem, E.M.; Eke, C. Photon absorption capabilities of SiO2–NA2O–P2O5–CAO–MgO Glasses. Radiat. Phys. Chem. 2022, 190, 109814. [Google Scholar] [CrossRef]
  14. Aladailah, M.W.; Tashlykov, O.L.; Shirmanov, I.A.; Strugov, E.D.; Sayyed, M.I.; Marashdeh, M.W.; Elsafi, M.; Al-Maaitah, A.F. Radiation attenuation properties of novel glass system using experimental and Geant4 Simulation. SSRN Electron. J. 2022, preprint. [Google Scholar] [CrossRef]
  15. Abouhaswa, A.S.; Almurayshid, M.; Almasoud, F.; Sayyed, M.I.; Mahmoud, K.A. Examinations the optical, mechanical, and shielding properties of AG2O doped B2O3–bi2o3–SRF2–NA2O glasses for Gamma Ray Shield applications. Sci. Rep. 2022, 12, 3548. [Google Scholar] [CrossRef]
  16. Kaur, S.; Pandey, O.P.; Jayasankar, C.K.; Verma, N. Exploring thermal, optical, structural and luminescent properties of gamma irradiated Dy3+doped tellurite glasses: Photon shielding properties. Radiat. Phys. Chem. 2022, 199, 110375. [Google Scholar] [CrossRef]
  17. Hussein, K.I.; Alqahtani, M.S.; Meshawi, A.A.; Alzahrani, K.J.; Zahran, H.Y.; Alshehri, A.M.; Yahia, I.S.; Reben, M.; Yousef, E.S. Evaluation of the radiation shielding properties of a tellurite glass system modified with sodium oxide. Materials 2022, 15, 3172. [Google Scholar] [CrossRef]
  18. Yin, S.; Wang, H.; Li, A.; Ma, Z.; He, Y. Study on radiation shielding properties of new barium-doped zinc tellurite glass. Materials 2022, 15, 2117. [Google Scholar] [CrossRef]
  19. Mhareb, M.H.A.; Sayyed, M.I.; Flemban, T.; Dwaikat, N.; Ashiq, M.G.B.; Alajerami, Y.S.M. Experimental shielding properties for a novel glassy system. Appl. Radiat. Isot. 2022, 189, 110408. [Google Scholar] [CrossRef]
  20. Sayyed, M.I.; Issa, S.A.M.; Tekin, H.O.; Saddeek, Y.B. Comparative study of gamma-ray shielding and elastic properties of Bao–Bi2O3–B2O3 and zno–Bi2O3–B2O3 glass systems. Mater. Chem. Phys. 2018, 217, 11–22. [Google Scholar] [CrossRef]
  21. El-Mallawany, R. Radiation shielding properties of tellurite glasses. In Tellurite Glass Smart Materials; Springer: Cham, Switzerland, 2018; pp. 17–27. [Google Scholar] [CrossRef]
  22. Rajaramakrishna, R.; Lakshmikantha, R.; Anavekar, R.V. Elastic properties of Li+ doped lead zinc borate glasses. AIP Conf. Proc. 2014, 1591, 736–738. [Google Scholar] [CrossRef]
  23. Ruengsri, S. Radiation shielding properties comparison of PB-based silicate, borate, and phosphate glass matrices. Sci. Technol. Nucl. Install. 2014, 2014, 218041. [Google Scholar] [CrossRef]
  24. Sayyed, M.I. Bismuth modified shielding properties of zinc boro-tellurite glasses. J. Alloys Compd. 2016, 688, 111–117. [Google Scholar] [CrossRef]
  25. Kaur, P.; Singh, D.; Singh, T. Heavy metal oxide glasses as gamma rays shielding material. Nucl. Eng. Des. 2016, 307, 364–376. [Google Scholar] [CrossRef]
  26. Bagheri, R.; Khorrami Moghaddam, A.; Yousefnia, H. Gamma Ray shielding study of barium–bismuth–borosilicate glasses as transparent shielding materials using MCNP-4C code, XCOM program, and available experimental data. Nucl. Eng. Technol. 2017, 49, 216–223. [Google Scholar] [CrossRef]
  27. Lakshminarayana, G.; Baki, S.O.; Lira, A.; Sayyed, M.I.; Kityk, I.V.; Halimah, M.K.; Mahdi, M.A. X-ray photoelectron spectroscopy (XPS) and radiation shielding parameters investigations for zinc molybdenum borotellurite glasses containing different network modifiers. J. Mater. Sci. 2017, 52, 7394–7414. [Google Scholar] [CrossRef]
  28. Dyamant, I.; Itzhak, D.; Hormadaly, J. Thermal properties and glass formation in the SIO2–B2O3–Bi2O3–zno quaternary system. J. Non-Cryst. Solids 2005, 351, 3503–3507. [Google Scholar] [CrossRef]
  29. Kozlovskiy, A.L.; Shlimas, D.I.; Zdorovets, M.V.; Elsts, E.; Konuhova, M.; Popov, A.I. Investigation of the Effect of PbO Doping on Telluride Glass Ceramics as a Potential Material for Gamma Radiation Shielding. Materials 2023, 16, 2366. [Google Scholar] [CrossRef]
  30. Showahy, A.A.; Elsaman, R.; Issa, S.A.M.; El-Denglawey, A.; Saddeek, Y.B. Effect of PBO on the elastic and radiation shielding properties of B2O3–Bi2O3–Al2O3–cuo glasses. Radiat. Phys. Chem. 2022, 196, 110129. [Google Scholar] [CrossRef]
  31. Al-Hadeethi, Y.; Sayyed, M.I.; Raffah, B.M.; Kumar, A. Physical, structural and gamma ray shielding behaviour of PbO-Cuo-Cao-B2O3 glasses. Optik 2022, 258, 168881. [Google Scholar] [CrossRef]
  32. Al-Ghamdi, H.; Sayyed, M.I.; Kumar, A.; Yasmin, S.; Elbashir, B.O.; Almuqrin, A.H. Effect of PBO and B2O3 on the physical, structural, and radiation shielding properties of PBO-TEO2-mgo-NA2O-B2O3 glasses. Sustainability 2022, 14, 9695. [Google Scholar] [CrossRef]
  33. Alalawi, A. Optical features and nuclear radiation shielding efficiency of zno-B2O3-Ta2O5 glasses. Phys. Scr. 2020, 95, 105302. [Google Scholar] [CrossRef]
  34. Kumari, S.; Mohan, D.; Yadav, S. Effect of BI2O3 content on non linear optical properties of Teo2.Bi2O3.B2O3.zno Glass System. AIP Conf. Proc. 2019, 2093, 020049. [Google Scholar] [CrossRef]
  35. Kumar, A.; Sayyed, M.I.; Dong, M.; Xue, X. Effect of PBO on the shielding behavior of zno–P2O5 glass system using Monte Carlo Simulation. J. Non-Cryst. Solids 2018, 481, 604–607. [Google Scholar] [CrossRef]
  36. Ghazali, M.S.; Zaid, M.H.; Zakaria, A.; Aziz, S.H.; Matori, K.A. Effect of zno on the physical properties and optical band gap of soda lime silicate glass. Int. J. Mol. Sci. 2012, 13, 7550–7558. [Google Scholar] [CrossRef]
  37. Yasaka, P.; Pattanaboonmee, N.; Kim, H.J.; Limkitjaroenporn, P.; Kaewkhao, J. Gamma radiation shielding and optical properties measurements of zinc bismuth borate glasses. Ann. Nucl. Energy 2014, 68, 4–9. [Google Scholar] [CrossRef]
  38. Cheewasukhanont, W.; Limkitjaroenporn, P.; Kothan, S.; Kedkaew, C.; Kaewkhao, J. The effect of particle size on radiation shielding properties for bismuth borosilicate glass. Radiat. Phys. Chem. 2020, 172, 108791. [Google Scholar] [CrossRef]
  39. Dong, M.G.; Sayyed, M.I.; Lakshminarayana, G.; Ersundu, M.Ç.; Ersundu, A.E.; Nayar, P.; Mahdi, M.A. Investigation of gamma radiation shielding properties of lithium zinc bismuth borate glasses using XCOM program and MCNP5 Code. J. Non-Cryst. Solids 2017, 468, 12–16. [Google Scholar] [CrossRef]
  40. Gong, J.J.; Zhang, L.; Jia, M.C.; Xia, W.M.; Chen, J.J. Study on neutron and photon shielding properties of various concretes using MCNP code. IOP Conf. Ser. Earth Environ. Sci. 2018, 199, 032056. [Google Scholar] [CrossRef]
  41. Rafik, H.; Izerrouken, M. Radiation damage induced by reactor neutrons in nano-anatase tio2 thin film. Radiat. Phys. Chem. 2020, 177, 109114. [Google Scholar] [CrossRef]
  42. Lushchik, A.; Kuzovkov, V.N.; Kotomin, E.A.; Prieditis, G.; Seeman, V.; Shablonin, E.; Vasil’chenko, E.; Popov, A.I. Evidence for the formation of two types of oxygen interstitials in neutron-irradiated α-Al2O3 single crystals. Sci. Rep. 2021, 11, 20909. [Google Scholar] [CrossRef] [PubMed]
  43. Rasmidi, R.; Duinong, M.; Chee, F.P. Radiation damage effects on zinc oxide (zno) based semiconductor devices—A Review. Radiat. Phys. Chem. 2021, 184, 109455. [Google Scholar] [CrossRef]
  44. McGrady, J.; Yamashita, S.; Kimura, A.; Kano, S.; Yang, H.; Duan, Z.; Saito, T.; Abe, H. γ-radiation effects on metal oxide particles and their wetted surfaces. J. Nucl. Sci. Technol. 2019, 57, 463–471. [Google Scholar] [CrossRef]
  45. Schwank, J.R.; Shaneyfelt, M.R.; Fleetwood, D.M.; Felix, J.A.; Dodd, P.E.; Paillet, P.; Ferlet-Cavrois, Vé. Radiation effects in MOS oxides. IEEE Trans. Nucl. Sci. 2008, 55, 1833–1853. [Google Scholar] [CrossRef]
  46. Zhang, J.; Chen, X.; Wang, L.; Zheng, Z.S.; Zhu, H.P.; Li, B.; Gao, J.T.; Li, D.L.; Luo, J.J.; Han, Z.S.; et al. Studies of radiation effects in al2o3-based metal-oxide-semiconductor structures induced by SI heavy ions. J. Appl. Phys. 2019, 125, 115701. [Google Scholar] [CrossRef]
  47. Alabsy, M.T.; Elzaher, M.A. Radiation shielding performance of metal oxides/EPDM rubber composites using GEANT4 simulation and Computational Study. Sci. Rep. 2023, 13, 7744. [Google Scholar] [CrossRef]
  48. Hongisto, M.; Veber, A.; Petit, Y.; Cardinal, T.; Danto, S.; Jubera, V.; Petit, L. Radiation-induced defects and effects in Germanate and tellurite glasses. Materials 2020, 13, 3846. [Google Scholar] [CrossRef]
  49. Hubbell, J. Photon mass attenuation and energy-absorption coefficients. Int. J. Appl. Radiat. Isot. 1982, 33, 1269–1290. [Google Scholar] [CrossRef]
  50. Olukotun, S.; Mann, K.S.; Gbenu, S.; Ibitoye, F.; Oladejo, O.; Joshi, A.; Tekin, H.; Sayyed, M.; Fasasi, M.; Balogun, F.; et al. Neutron-shielding behaviour investigations of some clay-materials. Nucl. Eng. Technol. 2019, 51, 1444–1450. [Google Scholar] [CrossRef]
  51. Singh Mann, K. Toolkit for Fast Neutron Removal Cross-Section. In Proceedings of the 3rd International Conference Advancements in Engineering and Technology, Kuantan, Malaysia, 18–19 August 2015; Bhai Gurdas Institute of Engineering and Technology: Punjab, India, 2015. [Google Scholar]
  52. Agostinelli, S.; Allison, J.; Amako, K.; Apostolakis, J.; Araujo, H.; Arce, P.; Asai, M.; Axen, D.; Banerjee, S.; Barrand, G.; et al. Geant4-A simulation toolkit. Nucl. Instrum. Methods Phys. Res. Sect. A Accel. Spectrometers Detect. Assoc. Equip. 2003, 506, 250–303. [Google Scholar] [CrossRef]
  53. Brun, R.; Rademakers, F. ROOT-An object oriented data analysis framework. Nucl. Instrum. Methods Phys. Res. Sect. A Accel. Spectrometers Detect. Assoc. Equip. 1997, 389, 81–86. [Google Scholar] [CrossRef]
  54. Hussein, K.I.; Alqahtani, M.S.; Alzahrani, K.J.; Alqahtani, F.F.; Zahran, H.Y.; Alshehri, A.M.; Yahia, I.S.; Reben, M.; Yousef, E.S. The effect of ZnO, MgO, Tio2, and Na2O modifiers on the physical, optical, and radiation shielding properties of a TeTaNb glass system. Materials 2022, 15, 1844. [Google Scholar] [CrossRef] [PubMed]
  55. Sayyed, M.I.; Hamad, M.K.; Abu Mhareb, M.H.; Naseer, K.A.; Mahmoud, K.A.; Khandaker, M.U.; Osman, H.; Elesawy, B.H. Impact of modifier oxides on mechanical and radiation shielding properties of B2O3-SRO-Teo2-Ro glasses (where Ro = Tio2, Zno, Bao, and PbO). Appl. Sci. 2021, 11, 10904. [Google Scholar] [CrossRef]
  56. Topalović, V.; Nikolić, J.; Matijašević, S.; Stojanović, J.; Karamanov, A.; Grujić, S.; Jevtić, S. The effect of SRO and La2O3 addition on the crystallization characteristics and sintering behavior of distinct polyphosphate glasses. J. Therm. Anal. Calorim. 2022, 148, 721–732. [Google Scholar] [CrossRef]
  57. Rao, V.H.; Prasad, P.S.; Rao, P.V.; Santos, L.F.; Veeraiah, N. Influence of SB2O3 on tellurite based glasses for photonic applications. J. Alloys Compd. 2016, 687, 898–905. [Google Scholar] [CrossRef]
  58. Higazy, A.A.; Hussein, A. Optical absorption studies of γirradiated magnesium phosphate glasses. Radiat. Eff. Defects Solids 1995, 133, 225–235. [Google Scholar] [CrossRef]
  59. Popov, A.I.; Kotomin, E.A.; Maier, J. Basic properties of the F-type centers in halides, oxides and perovskites. Nucl. Instrum. Methods Phys. Res. Sect. B Beam Interact. Mater. At. 2010, 268, 3084–3089. [Google Scholar] [CrossRef]
  60. Shablonin, E.; Popov, A.I.; Prieditis, G.; Vasil’chenko, E.; Lushchik, A. Thermal annealing and transformation of dimer f centers in neutron-irradiated Al2O3 single crystals. J. Nucl. Mater. 2021, 543, 152600. [Google Scholar] [CrossRef]
Disclaimer/Publisher’s Note: The statements, opinions and data contained in all publications are solely those of the individual author(s) and contributor(s) and not of MDPI and/or the editor(s). MDPI and/or the editor(s) disclaim responsibility for any injury to people or property resulting from any ideas, methods, instructions or products referred to in the content.

Article Metrics

Citations

Article Access Statistics

Multiple requests from the same IP address are counted as one view.