Abstract
Loose sand samples under different complex shear paths and directions of consolidation shear stress were simulated using bi-directional simple shear DEM models. Liquefaction characteristics and corresponding meso-mechanisms were analyzed, and the following conclusions were drawn. Bi-directional cyclic shear stress accelerated the drop in vertical stress, especially in the first and last cycles. Compared to uni-directional cyclic simple shear tests, the contact force between particles decreased faster in bi-directional cyclic simple shear tests. With an increased θ, the skeleton of the sample became unstable, and more particles were in a floating state, making the sample easier to liquefy. The mechanical coordination number decreased rapidly at the beginning and the end of shearing, and was relatively stable in the middle; it was around 4.2 when samples were liquefied. The magnitude of the anisotropy tensor gradually increased during shearing. Under bi-directional shear paths, the sample’s skeleton structure was subjected to a greater disturbance during the initial shear stage, caused damage to the particle skeleton and faster liquefaction. With an increased θ, the amplitude and peak value of the anisotropy tensor increased.
1. Introduction
During the liquefaction of saturated soils, the pore water pressure is rapidly built up and the bearing capacity of soils is dramatically decreased, resulting in many instances of catastrophic damage such as the uneven settlement of foundations and the collapse of marine structures. Therefore, understanding the mechanics of sand liquefaction and taking reasonable measures are of great significance to preventing liquefaction-related disasters. In most scenarios, the greenfield condition is too ideal; the existing structure and even a seabed slope could create a rather complex stress state for sand. As a result, research on sand liquefaction must consider the complex shear state of sand; however, due to the limitations of experimental instruments, most studies have not systematically considered this significant factor.
With the continuous iteration of geotechnical experimental instruments, a dynamic simple shear apparatus is capable of applying multi-directional and multi-stage shears, which helps to study the liquefaction mechanism of a complex initial stress state [1,2]. A multi-directional dynamic simple shear device has two perpendicular loading motors located on the horizontal plane, and the combined action of the two motors can generate shear stress in any direction and complex shear paths (such as circular, elliptical, figure-8-shaped, etc.) on the horizontal plane.
With the ability to apply bi-directional shear stress, Ishihara and Yamazaki [1] first performed a series of undrained bi-directional cyclic simple shear tests on saturated medium-dense sand, and the testing involved oval and “alternating cycle” (two perpendicular circles)-shaped cyclic shear paths. The authors found that the second shear direction lowered the liquefaction resistance at different levels. At a shear strain of 5%, frequently recorded bi-directional cyclic shear stresses are 30% smaller than uni-directional cyclic shear stress. However, a follow-up study reported severe rocking motion problems in the device, which may cause inaccurate measurements. Its tendency to rock is mainly due to the lack of complementary shear stresses [3].
To evaluate the effect of initial driving shear stress, Boulanger et al. conducted a series of cyclic simple shear tests with an initial driving shear stress parallel or perpendicular to cyclic loading [4,5,6]. Results showed that in parallel conditions, stress reversal increases the liquefaction resistance (except loose sand), while in perpendicular conditions, the initial driving shear stress can decrease the liquefaction resistance due to additionally introduced large permanent strain.
Follow-up tests were performed by Kammerer [7] on medium-dense and dense sand, in which linear, circle, oval, and figure-8-shaped shear paths were used. Results showed that without an initial driving shear stress, the pore water pressure generation and strain development under bi-directional cyclic shear stresses were generally faster than those in the uni-directional condition, and the bi-directional cyclic shear stresses generally decreased the liquefaction resistance at different levels, in which the figure-8-shaped cyclic shear tests had a rapid accumulation of permanent strains and the lowest liquefaction resistance. Similar results have been reported by different researchers using different materials, which are mainly dense sand and clay [8,9,10,11,12,13,14,15].
In addition, Wang et al. [11] conducted a series of bi-directional cyclic simple shear tests to study the effect of different directions of consolidation shear stress on the liquefaction characteristics of sand. It was found that the direction of consolidation shear stress had a significant impact on the stiffness of the sample. With the increase in the angle between consolidation shear stress (also known as initial driving shear stress) and dynamic shear stress, the stiffness decreased, and the sample liquefied faster.
Although bi-directional simple shear tests are useful in studying the effect of static shear stress and shear path on liquefaction resistance, limited by the testing device, the horizontal stress of the specimen is hard to determine. As a result, it is difficult to analyze the stress state of the specimen and failure mechanics. With the aid of computational simulation, it is possible to study the particle movement and soil fabric changes during liquefaction, and better understand the mechanics of liquefaction [16].
DEM simulations showed that the liquefaction of a specimen under a bi-directional shear path took fewer cycle numbers to liquefy. With the increase in the angle between the consolidation shear stress and the cyclic shear stress, the liquefaction resistance decreased [17]. The liquefaction resistance of samples under the figure-8-shaped shear path and the circular shear path was significantly lower than that under the uni-directional shear path [18,19]. From a meso-mechanical aspect, Yang et al. [20] found that the liquefaction resistance of samples under bi-directional shear paths is generally lower than that of samples under uni-directional shear paths, and it concluded that fabric anisotropy plays an important role in bi-directional cyclic simple shear tests. Wei et al. [21] found that samples under uni-directional shear and bi-directional shear have similar meso-structures, but the samples are more prone to liquefaction under bi-directional shear.
The above studies concluded that there is an influence of sand density and cyclic loading on sand liquefaction; however, the influence of consolidation shear stress direction and the cyclic shear path on loose sand is still not clear. Loose sand has a low shear strength, and even negligible changes in stress state can affect its liquefaction characteristics. Therefore, it is necessary to conduct systematic research on the liquefaction characteristics of loose sand. In this study, loose sand samples under different complex shear paths and directions of consolidation shear stress were simulated using bi-directional simple shear tests. Their liquefaction characteristics and their corresponding meso-mechanisms were analyzed. This study provides a theoretical basis for the development of the liquefaction constitutive model of sand.
2. Bi-Directional Cyclic Simple Shear Test and Its Simulation
2.1. Variable Direction Dynamic Cyclic Simple Shear Apparatus
This study used the Variable Direction Dynamic Cyclic Simple Shear (VDDCSS) system for simple shear tests, as shown in Figure 1a, which is capable of applying shear stresses in any direction on the horizontal plane by combining two perpendicular shear motors. In our experiments, a cylindrical sample with a diameter of 70 mm and a height of 17 mm (after consolidation) was used, which had a large diameter-to-height ratio (D/H = 4.12) and can reduce the non-uniformity of stress and strain in the specimen [6,15]. The VDDCSS used two drainage lines to control drainage conditions, and the radial constraint was composed of multiple Teflon coated rings, 1 mm high each, and their stiffness meet the requirement of a K0-consolidated condition, as shown in Figure 1b,c.
Figure 1.
Variable Direction Dynamic Cyclic Simple Shear system: (a) apparatus; (b) mold; and (c) sample during shearing.
In order to model the particle movements, it is necessary to let the radial boundary move freely. On the contrary, most numerical models for simple shear tests used radial constraints (parallel lines in 2D models and layered cylindrical walls in 3D models) to add shear stress and strain on specimens. The method added additional stresses on specimens and caused differences between tests and simulations. In this study, ring-shaped rigid clumps were used as radial constraints. Each clump was fixed at the height that same as corresponding rings in tests, as shown in Figure 2, and it was allowed to move freely in the horizontal plane. A clump ring was generated by 360 interconnected spheres, and 18 clump rings are sequentially generated at different heights on the radial boundary of a specimen. In order to reflect the low friction between the Teflon rings in the experiment, a small gap was left between each clump ring. Since no contact force was required within a clump ring, this model can provide accurate boundary conditions while ensuring accurate simulation results. Particle velocity distribution under new boundary conditions is shown in Figure 3, which shows the layered movement of soils without strong contacts on radial constraints.
Figure 2.
Radial constraints.
Figure 3.
Particle velocity distribution under new boundary conditions.
In undrained simple shear tests, specimens were sheared by horizontally moving the bottom plate while the top plate was fixed in all directions. In the DEM model, samples were sheared in the same fashion. In the experiment, in order to increase the friction between the bottom plate and particles, several circular ridges were used on the contact surfaces, as shown in Figure 4a. In order to model the ridges and large friction, this study used a clump plate, as shown in Figure 4b.
Figure 4.
Bottom boundary conditions: (a) laboratory test and (b) DEM model.
2.2. Testing Materials
The tested material was Leighton Buzzard (Fraction B) sand, with a diameter between 0.6 to 1.2 mm and a mean diameter of 0.82 mm, and its effective grain size was 0.65 mm. Its uniformity coefficient was 1.38 [22]; the particle grading curve is shown in Figure 5. The emax and emin of the sand used in the laboratory test were 0.79 and 0.46, respectively. The Leighton Buzzard sand consisted of sub-rounded sand particles, and had relatively smooth surfaces. It had a 3D sphericity mean value of 0.92, a 3D roundness mean value of 0.65, an elongation index of 0.80, and a flatness index of 0.78.
Figure 5.
Grading curve of Leighton Buzzard (Fraction B) sand.
The particle diameter in DEM was generated according to the above characteristics, including particle size, elongation index, and convexity. To simulate the shape of particles, a particle sample was constructed using a clump element, as shown in Figure 6. The shape was generated based on the elongation index and flatness index of the tested material, the measured 3D sphericity mean value was 0.85. The 3D roundness mean value was reflected via contact parameters. To simplify the simulation, all particles in DEM used the same particle sample.
Figure 6.
Different views of particles: (a) vertical view; (b) front view; and (c) left view.
2.3. Sample Preparation Method
Sample was prepared by the dry funnel method, its simplified procedure is shown in Figure 7a. A funnel with a bottom diameter of 5 mm was placed at the center of the mold, then a certain weight of sand was poured into the funnel. At the same time, the funnel was slowly raised along the symmetrical axis of the mold, while maintaining a falling height of 0. After all of the sand was poured into the mold, the top of the sample was leveled. The preparation method was accurately modeled in DEM as indicated in Figure 7b.
Figure 7.
Sample preparation process with dry funnel method: (a) laboratory test and (b) DEM model.
Compared with the radius expansion method, the dry funnel method can better replicate the initial stress state of testing samples, and is easier to generate DEM samples at the maximum porosity. The resulting DEM models consisted of 15,000 particles and measuring spheres were generated at the center of the sample for diminishing the inaccuracy caused by the boundary effect. The diameter of the measuring spheres was 1/3 of the sample height.
During consolidation, drainages were kept open, and an initial vertical stress of 200 kPa was applied on samples. After their initial consolidation, consolidation shear stresses with different magnitudes (0 and 20 kPa) and directions (0°, 45°, and 90°) were added to consolidated specimens. The ratio of the consolidation shear stress to the initial vertical stress was the consolidation stress ratio (CSR), which was 0 and 0.1 in this study. The relative density (Dr) after consolidation was controlled at 30%. Tests and simulations followed the same procedure.
2.4. Contact Parameter Calibration
Four-step calibration was used in contact parameter calibration: (1) effective modulus calibration, which mainly controlled the slope stress–strain curve; (2) friction coefficient calibration, which mainly controlled the peak shear value of shear stress; (3) rolling resistance coefficient calibration, which also controlled the peak value of shear stress; (4) minor adjustment of friction coefficient and rolling resistance coefficient, which were used to obtain a better fitting of stress–strain relation curve. To validate the calibrated parameters, the relative density after consolidation was first checked, then, the correlation between the simulated and tested stress–strain behavior of a monotonic simple shear test was checked, as shown in Figure 8. The friction coefficients between different contacts and the final calibration results are shown in Figure 9, and the mesoscopic contact parameters used in DEM simulations are shown in Table 1.
Figure 8.
Comparison of stress–strain relationships.
Figure 9.
Friction coefficients between different contact types.
Table 1.
Contact parameter of the calibrated model.
2.5. Bi-Directional Cyclic Simple Shear Test Simulation
The directions of consolidation shear stresses are shown in Figure 10a, following the named directions of the apparatus. The length of the gray arrows represents the magnitude of the CSR. After consolidation, undrained cyclic shear stresses were applied in different directions and shear paths until liquefaction, as shown in Figure 10b. The cyclic shear paths include straight line (SL), oval (OVAL), and figure-8-shaped (FIG8), as shown in Figure 10b; their maximum shear strain in the x-direction was the same. The shear frequency was 0.1 Hz, which is lower than previous cyclic simple shear tests [1,6] and assures better data acquisition. Each test was named in the form of “shear path-CSR-the direction of the consolidation shear stress (θ)”. Table 2 summarizes the simulation conditions of undrained cyclic simple shear tests.
Figure 10.
Details of bi-directional cyclic simple test shear on the horizontal plane: (a) consolidation shear stress and (b) cyclic shear paths.
Table 2.
Simulation conditions of undrained cyclic simple shear tests.
Previous studies have shown that in undrained simple shear tests on dry specimens, the decrease in vertical stress equals to the generated pore water pressure (PWP) in saturated specimens [23]. The DEM model in this study does not involve water simulation, the decrease in vertical stress of the sample was taken as the increase in pore water pressure. When the vertical stress decreased to 10% of the initial vertical stress, the test is terminated, and the sample was considered liquefied.
3. Simulation Results
Figure 11 shows the number of cycles at liquefaction (Nf) of performed cyclic simple shear tests. When CSR = 0, samples under three different shear paths, SL-0, OVAL-0, and FIG8-0, liquefied at the 31st, 23rd, and 11th cycle, respectively. It showed that bi-directional cyclic shear stress accelerated the liquefaction, and the FIG8-0 shear path led to a faster liquefaction than the OVAL-0 shear path. It should be noted that in each cycle, the FIG8-0 tests experienced four loading–unloading changes in the y-direction, while OVAL tests changed only twice, as shown in Figure 10b.
Figure 11.
Number of cycles at liquefaction.
When CSR = 0.1, SL-0.1-0, SL-0.1-45, and SL-0.1-90 liquefied at the 25th, 11th, and 8th cycle, respectively; OVAL-0.1-0, OVAL-0.1-45, and OVAL-0.1-90 liquefied at the seventeenth, ninth, and seventh cycle, respectively; FIG8-0.1-0, FIG8-0.1-45, and FIG8-0.1-90 liquefied at the ninth, eighth, and third cycle, respectively. It can be seen that as θ increases, samples were easier to liquefy.
3.1. Stress Path
Figure 12 showed the stress path of cyclic simple shear tests, where Figure 12a showed the stress path of samples under three shear paths with CSR = 0, and Figure 12b–d represented the stress paths of samples with different directions of consolidation shear stresses. The horizontal and vertical axes of figures are normalized shear stress and normalized vertical stress, respectively.
Figure 12.
Stress path of different series: (a) CSR = 0; (b) SL; (c) OVAL; and (d) FIG8.
When comparing the stress paths of tests with their corresponding monotonic simple shear tests, an envelope relationship can be found. When the stress path of a cyclic simple shear test approached the stress path of its corresponding monotonic tests, its vertical stress decreased dramatically during the next unloading and loading processes.
When CSR = 0, compared to the SL series, in each cycle, the OVAL and FIG8 series had a greater drop in vertical stress, especially in the first and last cycle. When CSR and shear paths were fixed, as θ increased, shear stress amplitude increased, and the drop in vertical stress increased dramatically, especially in the first and last cycles.
3.2. Contact Force between Particles
Figure 13, Figure 14, Figure 15 and Figure 16 show the contact force chain of the CSR = 0 series, SL series, OVAL series, and FIG8 series under different directions of consolidation shear stress. To ensure uniform variables, all figures presented the contact force chains of the blocks from y = −0.002 m to y = 0.002 m (along the shearing direction) at the end of the first cycle, and areas with significant changes were marked.
Figure 13.
Contact force chain of CSR = 0 series: (a) SL-0; (b) OVAL-0; and (c) FIG8-0.
Figure 14.
Contact force chain of SL series: (a) SL-0.1-0; (b) SL-0.1-45; and (c) SL-0.1-90.
Figure 15.
Contact force chain of OVAL series: (a) OVAL-0.1-0; (b) OVAL-0.1-45; and (c) OVAL-0.1-90.
Figure 16.
Contact force chain of FIG8 series: (a) FIG8-0.1-0; (b) FIG8-0.1-45; and (c) FIG8-0.1-90.
As shown in Figure 13, Figure 14, Figure 15 and Figure 16, when CSR and θ were fixed, as the shear path became complex (varied from SL to FIG8), it showed that the number of force chains was reduced and their widths were narrowed, which indicated that the strength of contact was reduced. As shown in Figure 14, Figure 15 and Figure 16, when the shear path was fixed, as θ increased, the number of contacts between particles decreased, and thick lines in the force chain were significantly decreased. It showed that with an increased θ, the skeleton of the sample (indicated by thick lines) was unstable, and more particles were in a floating state (indicated by disappeared lines). The weakened contacts between skeleton particles led to a faster buildup of pore water pressure and a decreased effective vertical stress. As a result, samples were easier to liquefy.
Figure 17 showed the average contact force distribution of the CSR = 0 series during the zeroth and first cycles. In the figure, 0° represented the x-direction and 90° represented the z-direction. Each 5° azimuth angle was divided into a long strip, and the height of each strip was the magnitude of the contact force between the particles in that direction. The red solid and dashed arrows represented the symmetry axis of the contact force distribution for the zeroth and first cycles, respectively. By comparison, it can be seen that at the end of the first cycle, the maximum values of contact force between particles were different. SL-0 had the greatest value, followed by OVAL-0, CIR-0, and FIG8-0. Compared to uni-directional cyclic simple shear tests, the contact force between particles decreased faster in bi-directional cyclic simple shear tests. It is worth noting that at the end of the first cycle, the sample that was prone to failure had a larger deflection angle. This means that under the same test conditions, when the deflection angle of the strong contact force was greater, the structure of the sample was more unstable, which led to a faster liquefaction.
Figure 17.
Distribution of average contact force of CSR = 0 series: (a) After consolidation; (b) first cycle of SL-0; (c) first cycle of OVAL-0; and (d) first cycle of FIG8-0.
Compared to the initial vertical stress, the consolidation shear stress applied in this study was not significant, so the contact force had a limited change of direction at the end of the first cycle. To analyze the influence of the directions of consolidation shear stress on contact force between particles, the test results of the sample with CSR = 0.1 are summarized in Figure 18, which show the distribution of average contact force for SL-0.1-0, SL-0.1-45, and SL-0.1-90 at the end of the zeroth and first cycles.
Figure 18.
Distribution of average contact force of SL-0.1 series: (a) after consolidation of sample SL-0.1-0; (b) after consolidation of SL-0.1-45; (c) after consolidation of SL-0.1-90; (d) first cycle of SL-0.1-0; (e) first cycle of SL-0.1-45; and (f) first cycle of SL-0.1-90.
In Figure 18, at the zeroth cycle, the angles between the vertical direction and the symmetrical axis of the average contact force distribution for each sample were different, in which SL-0.1-0 was the largest, and the angle decreased with the increased θ. It can be seen that as θ increased, the symmetry axis of the average contact force distribution had a greater angular rotation in one cycle, and the sample was more affected by external forces, resulting in more significant changes in the particle structure. In addition, the contact force between particles varied slightly in the shearing direction but significantly in the vertical direction. At the end of the first cycle, the average contact force in the vertical direction of the SL-0.1-90 was smaller than that of the SL-0.1-0, indicating that with an increased θ, the vertical stress decreased faster during cyclic shearing, resulting in easier liquefaction.
3.3. Mechanical Coordination Number
Coordination number indicated the average contact number per particle, which quantified the meso-mechanical structure of the sample and reflected the density of particles of the sample. In previous studies [24,25], the coordination number Z was defined as:
where C is the contact number of in the sample, N is the number of particles in the sample.
However, the equation does not exclude particles with a contact number of 0 or 1, which have no effect on the mechanical structure during shearing and have limited influence on the shear behavior. Therefore, this study used the mechanical coordination number (MCN) modified by Thornton [26] to evaluate the average contact number per particle:
where NC is the total number of contacts, NP is the total number of particles, is the number of floating particles, and is the number of particles that have one contact.
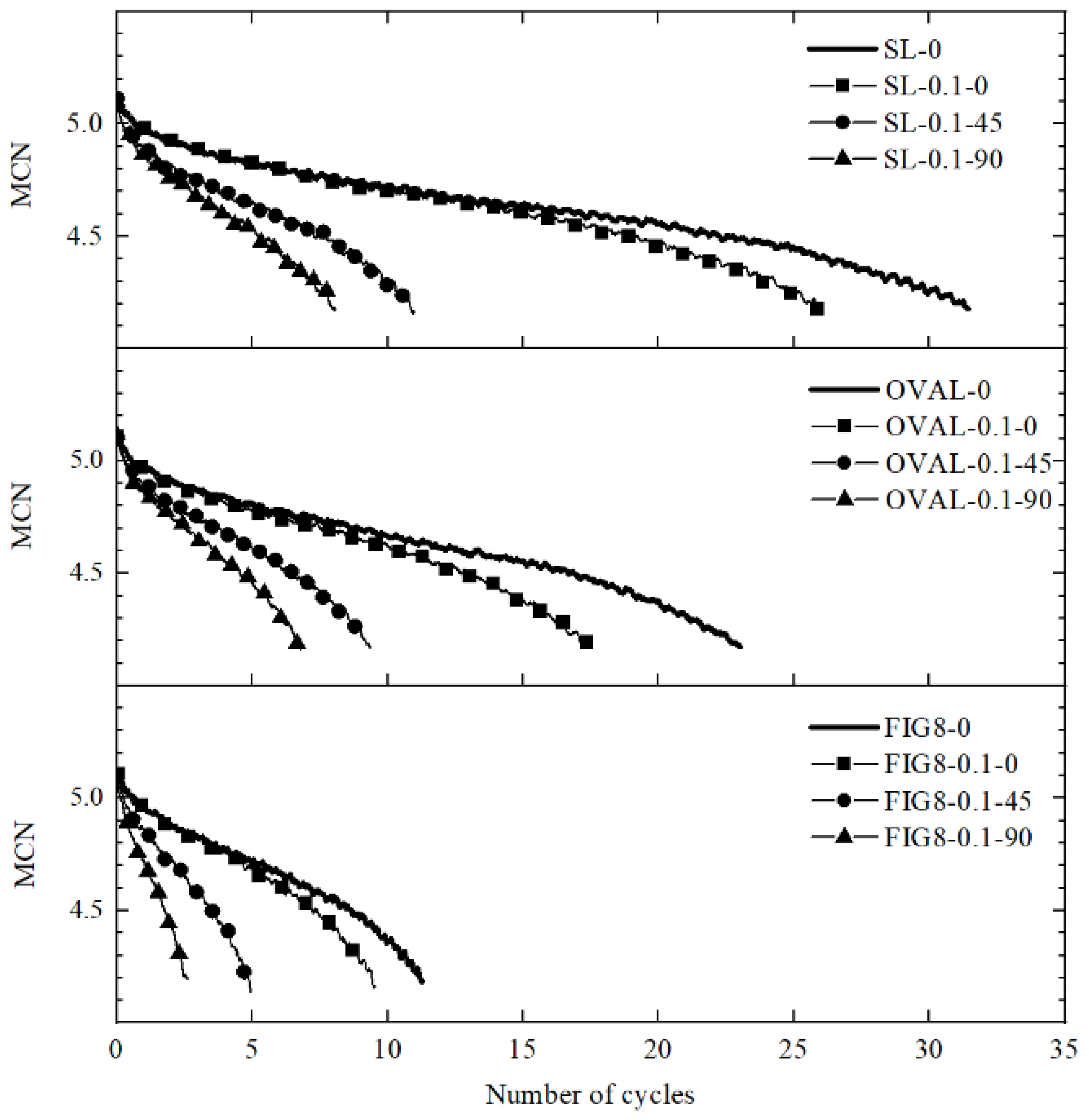
Figure 19 showed the evolution of the mechanical coordination number of cyclic simple shear tests. The MCN of all samples decreased rapidly at the beginning and the end of shearing, but the curve was relatively flat in the middle. The MCN was about 4.2 when samples were liquefied. In samples with different shear paths, the evolution of the MCN of the SL series and OVAL series was similar, while the MCN changed significantly in the FIG8 series. In the FIG8 series, the MCN decreased faster, resulting in fewer skeleton particles and faster liquefaction. When the shear path was the same, as θ increased, the number of contacts between each particle decreased, the number of floating particles increased, and the MCN dropping rate increased.
Figure 19.
Evolution of MCN in cyclic simple shear tests.
3.4. Fabric
The plastic flow deformation of sand under shearing will lead to the adjustment of particle position by sliding and rolling, which provides better support for external loads and leads to anisotropy in sand. In recent years, great progress has been made in experimental techniques for detecting particle size information, such as X-ray tomography and MRI imaging [27]. However, there is no effective and accurate method to quantify the anisotropic evolution in a shearing process on a meso-scale. Numerical simulation provides a meso-scale tool to study anisotropy. However, most studies used two-dimensional numerical models [28], or particle contact parameters without calibration. In this study, a three-dimensional DEM model was used to quantify the anisotropy of samples by analyzing the contact-based fabric tensor.
The contact-based fabric tensor is a mathematical statistic of the direction of each contact unit normal vector, which can quantify the structural anisotropy. In this study, the contact-based fabric tensor (Fij) proposed by Oda [29] and Satake [30] was used to quantify the direction of contact normal:
where ni is the i component of the contact normal, V is the representative elemental volume, and E(V) is the directional distribution function of contact normal [31], which is usually expressed by its second-order Fourier expansion:
where aij is the second-order anisotropic tensor. Substituting Equation (5) with Equation (3), the expression of the anisotropic tensor aij can be obtained:
where δij is the Kronecker constant [32]. If aij > 0, it means that the density of contact in the sample is higher than that in the isotropic sample.
Since the anisotropic tensor aij is a deviatoric tensor, in order to avoid the impact of changes in axis, its deviatoric invariant is usually used to quantify the degree of the anisotropy of samples [33]:
In this DEM simulation, the fabric tensor of a sample after consolidation was:
In Equation (8) Fxx, Fyy, and Fzz were close to 1/3, while the other fabric tensors were close to 0.
Figure 20 showed the evolution of components of fabric tensor in the SL-0 and FIG8-0. It can be observed that in uni-directional cyclic simple shear tests, the diagonal components Fxx, Fyy, and Fzz were close to 1/3, while the non-diagonal components Fxy, Fxz, and Fyz were close to 0. But Fxz and Fyz gradually increased during shearing, while the change in Fxy can be ignored.
Figure 20.
Evolution of fabric tensor: (a) SL-0 and (b) FIG8-0.
By integrating Equations (4), (7), and (8), one can obtain the deviatoric invariant of fabric anisotropy tensors, also called anisotropy invariant, which can quantify the anisotropy of the contact network, which is:
Figure 21 showed the evolution of Fxy, Fxz, and Fyz with the number of cycles in representative samples. It can be seen that Fxy was stable and close to 0 during shearing, while Fxz had the greatest fluctuation and accumulation. In addition, Fyz was more significant in bi-directional tests. It indicated that during shearing, the horizontal plane had a stable contact, the contact on the x–z plane and the y–z plane were affected when cyclic shear stress was added on the corresponding plane. The added consolidation shear stress with different directions had limited effect on the evolution of Fxy, Fxz, and Fyz during cyclic loading.
Figure 21.
Evolution of Fxy, Fxz and Fyz: (a) SL-0; (b) SL-0.1-0; (c) SL-0.1-90; (d) OVAL-0; and (e) FIG8-0.
Figure 22 shows the evolutions of the anisotropy invariant of samples under different shear paths with CSR = 0. Figure 23, Figure 24 and Figure 25 show the evolutions of the anisotropy invariant of the SL series, OVAL series, and FIG8 series with consolidation shear stress in different directions. In each figure, (a) represents the general evolution curve, and (b) represents the curve of the first cycle. The anisotropy invariant in the sample gradually increased during loading and decreased during unloading. In addition, the magnitude of the anisotropy invariant gradually increased during shearing. This is due to the fact that although the distribution of the contact force direction of the sample had limited changes during shearing, due to the rapid reduction in the average contact number between particles, the calculated anisotropy invariant gradually increased. By comparing the test results of samples with different shear paths, it can be found that compared with the SL samples, the anisotropy invariant amplitude of the OVAL and FIG8 samples was greater in the initial shear stage, and the maximum value appeared near liquefaction. This indicated that under bi-directional shear paths, the sample’s skeleton structure was subjected to a greater disturbance during the initial shear stage, which caused damage to the particle skeleton and resulted in easier liquefaction.
Figure 22.
Evolution of ac of CSR = 0: (a) whole process and (b) first cycle.
Figure 23.
Evolution of ac of SL-0.1: (a) whole process and (b) first cycle.
Figure 24.
Evolution of ac of OVAL-0.1: (a) whole process and (b) first cycle.
Figure 25.
Evolution of ac of FIG8-0.1: (a) whole process and (b) first cycle.
In Figure 23, Figure 24 and Figure 25, while CSR = 0.1 and θ > 0, the FIG8 specimen had three peaks in one cycle, while the SL and OVAL specimens had two peaks. That is, compared to the straight and circular shear paths, the anisotropy invariant of specimens under the figure-8-shaped shear path fluctuated more significantly in one cycle and the specimen was more prone to liquefaction. The difference was mainly caused by the different loading–unloading modes, in which FIG8 tests experienced four loading–unloading changes in the y direction, while SL and OVAL tests changed only twice, as shown in Figure 10b. The combined loading–unloading modes in the x direction and y direction further complicated the anisotropy invariant, and resulted in the peak differences. With an increased θ, the difference of multiple peaks of anisotropy invariant among one cycle gradually decreased. In addition, when comparing Figure 23, Figure 24 and Figure 25, it can be found that the anisotropy invariant of the SL and OVAL samples is more affected by the direction of consolidation shear stress. With an increased θ, the amplitude and peak value of the anisotropy invariant increased. It can be seen that at a large θ, the changes in the anisotropy invariant of samples under different shear paths were similar, showing an increased amplitude and faster liquefaction.
4. Conclusions
In this study, loose sand samples under different complex shear paths and directions of consolidation shear stress were simulated in bi-directional simple shear DEM models, liquefaction characteristics and corresponding meso-mechanisms were analyzed, and the following conclusions were drawn:
- Bi-directional cyclic shear stress accelerated the drop in vertical stress, especially in the first and last cycles, in which the FIG8 shear path led to a faster liquefaction than the OVAL and SL shear paths. In addition, as the θ increased, samples were easier to liquefy.
- Compared to uni-directional cyclic simple shear tests, complex shear paths and an increased θ weakened the contact force chain, and led to unstable skeleton particles and floating particles. As a result, effective vertical stress decreased faster, and samples were easier to liquefy.
- The mechanical coordination number decreased rapidly at the beginning and the end of shearing, and was relatively stable in the middle. The MCN was about 4.2 when samples were liquefied. Compared to uni-directional cyclic simple shear tests, the mechanical coordination number decreased faster in bi-directional cyclic simple shear tests. When θ was increased, the number of contacts between each particle decreased, the number of floating particles increased, and the mechanical coordination number dropped faster.
- The anisotropic tensor in samples gradually increased during loading and decreased during unloading. In addition, the magnitude of the anisotropy tensor gradually increased during shearing. Under bi-directional shear paths, the sample’s skeleton structure was subjected to a greater disturbance during the initial shearing stage, caused damage to the particle skeleton, and resulted in a faster liquefaction. With increased θ, the amplitude and peak value of the anisotropy tensor increased.
Author Contributions
Conceptualization and writing—original draft preparation, X.D. and Y.L.; methodology and supervision, Y.L.; software, J.L.; data curation, Z.W.; validation, Z.W.; writing—review and editing R.H. All authors have read and agreed to the published version of the manuscript.
Funding
This research was supported by the National Natural Science Foundation of China under grant No. 51708040, and the Zhejiang Provincial Natural Science Foundation of China under grant No. LY23E080004.
Institutional Review Board Statement
Not applicable.
Informed Consent Statement
Not applicable.
Data Availability Statement
Not applicable.
Conflicts of Interest
The authors declare no conflict of interest.
References
- Ishihara, K.; Yamazaki, F. Cyclic Simple Shear Tests on Saturated Sand in Multi-Directional Loading. Soils Found. 1980, 20, 45–59. [Google Scholar] [CrossRef]
- Boulanger, R.W.; Chan, C.; Seed, H.B.; Seed, R.B.; Sousa, J.B. A Low-Compliance Bi-Directional Cyclic Simple Shear Apparatus. Geotech. Test. J. 1993, 16, 36–45. [Google Scholar] [CrossRef]
- Ishihara, K.; Nagase, H. Multi-directional irregular loading tests on sand. Soil Dyn. Earthq. Eng. 1988, 7, 201–212. [Google Scholar] [CrossRef]
- Boulanger, R.; Seed, R.; Chan, C. Effects of Initial Static Driving Shear Stresses on the Liquefaction Behavior of Saturated Cohesionless Soils; Geotechnical Engineering Research Report UCB/GT/91-01; Department of Civil and Environmental Engineering, University of California: Berkeley, CA, USA, 1991. [Google Scholar]
- Boulanger, R.; Seed, R.; Chan, C.; Seed, H.; Sousa, J. Liquefaction Behaviour of Saturated Sands under Unidirectional and Bi-Directional Monotonic and Cyclic Simple Shear Loading; Geotechnical Engineering Report No. UCB/GT/91-08; University of California: Berkeley, CA, USA, 1991. [Google Scholar]
- Boulanger, R.W.; Seed, R.B. Liquefaction of Sand under Bidirectional Monotonic and Cyclic Loading. J. Geotech. Eng. 1995, 121, 870–878. [Google Scholar] [CrossRef]
- Kammerer, A.; Pestana, J.; Seed, R.B. Undrained Response of Monterey 0/30 Sand Under Multidirectional Cyclic Simple Shear Loading Conditions; Geotechnical Engineering Research Report UCB/GT/02-01; Department of Civil and Environmental Engineering, University of California: Berkeley, CA, USA, 2002. [Google Scholar]
- Matsuda, H.; Hendrawan, A.P.; Ishikura, R.; Kawahara, S. Effective Stress Change and Post-Earthquake Settlement Properties of Granular Materials Subjected to Multi-Directional Cyclic Simple Shear. Soils Found. 2011, 51, 873–884. [Google Scholar] [CrossRef]
- Sun, M.; Biscontin, G. Development of Pore Pressure and Shear Strain in Clean Hostun Sands Under Multi-directional Loading Paths. In Proceedings of the GeoShanghai 2018 International Conference: Fundamentals of Soil Behaviours, Singapore, 27–30 May 2018; Zhou, A., Tao, J., Gu, X., Hu, L., Eds.; Springer: Singapore, 2018; pp. 112–118. [Google Scholar]
- Jin, H.; Guo, L.; Sun, H.; Wu, T.; Shi, L.; Cai, Y. Energy-based evaluation of undrained cyclic behavior of marine soft clay under multidirectional simple shear stress paths. Acta Geotech. 2023, 18, 2883–2898. [Google Scholar] [CrossRef]
- Wang, J.; Luo, X.D.; Wang, J.; Yang, Y.; Yu, H.-S.; Yu, Q.; Li, X. Influence of Consolidation Shear Stress Magnitude and Orientation on Stress–Strain Behavior of Sand under Traffic Loading. Int. J. Geomech. 2023, 23, 04022285. [Google Scholar] [CrossRef]
- Vaid, Y.P.; Sivathayalan, S. Static and cyclic liquefaction potential of Fraser Delta sand in simple shear and triaxial tests. Can. Geotech. J. 1996, 33, 281–289. [Google Scholar] [CrossRef]
- DeGroot Don, J.; Ladd Charles, C.; Germaine John, T. Undrained Multidirectional Direct Simple Shear Behavior of Cohesive Soil. J. Geotech. Eng. 1996, 122, 91–98. [Google Scholar] [CrossRef]
- Biscontin, G. Modeling the Dynamic Behavior of Lightly Overconsolidated Soil Deposits on Submerged Slopes; Department of Civil and Environmental Engineering, University of California: Berkeley, CA, USA, 2001. [Google Scholar]
- Kim, Y.-S.; Kim, D.-M. Characteristics of Undrained Cyclic Shear Behavior of Nak-Dong River Sand by Silt Contents. J. Korean Geotech. Soc. 2008, 24, 79–89. [Google Scholar] [CrossRef]
- Asadzadeh, M.; Soroush, A. Macro-and micromechanical evaluation of cyclic simple shear test by discrete element method. Particuology 2017, 31, 129–139. [Google Scholar] [CrossRef]
- Zhang, L.; Evans, T.M. Investigation of Initial Static Shear Stress Effects on Liquefaction Resistance Using Discrete Element Method Simulations. Int. J. Geomech. 2020, 20, 04020087. [Google Scholar] [CrossRef]
- Wu, Q.X.; Yang, Z.X. Novel Undrained Servomechanism in Discrete-Element Modeling and Its Application in Multidirectional Cyclic Shearing Simulations. J. Eng. Mech. 2021, 147, 04020155. [Google Scholar] [CrossRef]
- Jiang, M.D.; Xu, M.Q.; Wu, Q.X.; Pan, K.; Yang, Z.X. Discrete-Element Simulation of Dense Sand under Uni- and Bidirectional Cyclic Simple Shear Considering Initial Static Shear Effect. Int. J. Geomech. 2022, 22, 04022226. [Google Scholar] [CrossRef]
- Yang, M.; Taiebat, M.; Mutabaruka, P.; Radjaï, F. Evolution of granular media under constant-volume multidirectional cyclic shearing. Acta Geotech. 2022, 17, 779–802. [Google Scholar] [CrossRef]
- Wei, J.; Huang, D.; Wang, G. Fabric evolution of granular soils under multidirectional cyclic loading. Acta Geotech. 2020, 15, 2529–2543. [Google Scholar] [CrossRef]
- Alsaydalani, M.; Clayton, C. Internal Fluidization in Granular Soils. J. Geotech. Geoenviron. Eng. ASCE 2013, 140, 04013024. [Google Scholar] [CrossRef]
- Dyvik, R.; Berre, T.; Lacasse, S.; Raadim, B. Comparison of truly undrained and constant volume direct simple shear tests. Géotechnique 1987, 37, 3–10. [Google Scholar] [CrossRef]
- Wei, J.; Zhang, Y. The relationship between contact-based and void-based fabrics of granular media. Comput. Geotech. 2020, 125, 103677. [Google Scholar] [CrossRef]
- Vijayan, A.; Gan, Y.; Annabattula, R.K. Evolution of fabric in spherical granular assemblies under the influence of various loading conditions through DEM. Granul. Matter 2020, 22, 34. [Google Scholar] [CrossRef]
- Thornton, C. Numerical simulations of deviatoric shear deformation of granular media. Geotechnique 2000, 50, 43–53. [Google Scholar] [CrossRef]
- Hasan, A.; Alshibli, K.A. Experimental assessment of 3D particle-to-particle interaction within sheared sand using synchrotron microtomography. Géotechnique 2010, 60, 369–379. [Google Scholar] [CrossRef]
- Li Xiang, S.; Dafalias Yannis, F. Anisotropic Critical State Theory: Role of Fabric. J. Eng. Mech. 2012, 138, 263–275. [Google Scholar] [CrossRef]
- Oda, M. Fabric Tensor for Discontinuous Geological Materials. Soils Found. 1982, 22, 96–108. [Google Scholar] [CrossRef] [PubMed]
- Satake, M. Fabric Tensor in Granular Materials; International Union of Theoretical and Applied Mechanics: Amsterdam, The Netherlands, 1982. [Google Scholar]
- Rothenburg, L.; Bathurst, R.J. Analytical study of induced anisotropy in idealized granular materials. Géotechnique 1989, 39, 601–614. [Google Scholar] [CrossRef]
- Ken-Ichi, K. Distribution of directional data and fabric tensors. Int. J. Eng. Sci. 1984, 22, 149–164. [Google Scholar] [CrossRef]
- Guo, N.; Zhao, J. The signature of shear-induced anisotropy in granular media. Comput. Geotech. 2013, 47, 1–15. [Google Scholar] [CrossRef]
Disclaimer/Publisher’s Note: The statements, opinions and data contained in all publications are solely those of the individual author(s) and contributor(s) and not of MDPI and/or the editor(s). MDPI and/or the editor(s) disclaim responsibility for any injury to people or property resulting from any ideas, methods, instructions or products referred to in the content. |
© 2023 by the authors. Licensee MDPI, Basel, Switzerland. This article is an open access article distributed under the terms and conditions of the Creative Commons Attribution (CC BY) license (https://creativecommons.org/licenses/by/4.0/).
























