Next Article in Journal
Macro–Meso Mechanical Behavior of Loose Sand under Multi-Directional Cyclic Simple Shear Tests
Previous Article in Journal
GCARe: Mitigating Subgroup Unfairness in Graph Condensation through Adversarial Regularization
Previous Article in Special Issue
A Machine Learning-Based Model for Epidemic Forecasting and Faster Drug Discovery
 
 
Font Type:
Arial Georgia Verdana
Font Size:
Aa Aa Aa
Line Spacing:
Column Width:
Background:
Review

IoT-Based Big Data Secure Transmission and Management over Cloud System: A Healthcare Digital Twin Scenario

by
Christos L. Stergiou
*,
Maria P. Koidou
and
Konstantinos E. Psannis
*
Department of Applied Informatics, University of Macedonia, 54636 Thessaloniki, Greece
*
Authors to whom correspondence should be addressed.
Appl. Sci. 2023, 13(16), 9165; https://doi.org/10.3390/app13169165
Submission received: 14 March 2023 / Revised: 5 August 2023 / Accepted: 8 August 2023 / Published: 11 August 2023
(This article belongs to the Special Issue Application of Data Analytics in Smart Healthcare)

Abstract

The Internet of Things (IoT) was introduced as a recently developed technology in the telecommunications field. It is a network made up of real-world objects, things, and gadgets that are enabled by sensors and software that can communicate data with one another. Systems for monitoring gather, exchange, and process video and image data captured by sensors and cameras across a network. Furthermore, the novel concept of Digital Twin offers new opportunities so that new proposed systems can work virtually, but without differing in operation from a “real” system. This paper is a meticulous survey of the IoT and monitoring systems to illustrate how their combination will improve certain types of the Monitoring systems of Healthcare–IoT in the Cloud. To achieve this goal, we discuss the characteristics of the IoT that improve the use of the types of monitoring systems over a Multimedia Transmission System in the Cloud. The paper also discusses some technical challenges of Multimedia in IoT, based on Healthcare data. Finally, it shows how the Mobile Cloud Computing (MCC) technology, settled as base technology, enhances the functionality of the IoT and has an impact on various types of monitoring technology, and also it proposes an algorithm approach to transmitting and processing video/image data through a Cloud-based Monitoring system. To gather pertinent data about the validity of our proposal in a more safe and useful way, we have implemented our proposal in a Digital Twin scenario of a Smart Healthcare system. The operation of the suggested scenario as a Digital Twin scenario offers a more sustainable and energy-efficient system and experimental findings ultimately demonstrate that the proposed system is more reliable and secure. Experimental results show the impact of our proposed model depicts the efficiency of the usage of a Cloud Management System operated over a Digital Twin scenario, using real-time large-scale data produced from the connected IoT system. Through these scenarios, we can observe that our proposal remains the best choice regardless of the time difference or energy load.

1. Introduction

A definition of monitoring might be “the careful observation of behavior and activities”. Most of the time, people employ monitoring to manage, direct, influence, or defend themselves. Because they carry out the monitoring, sensors, cameras, and other appropriate devices are essential to the monitoring process. With the aid of technology, it is possible to observe someone from a distance using electronic devices or to steal electronically transmitted information using straightforward, useful technology techniques [1,2,3,4].
The implementation of monitoring over wireless sensor networks (WSNs) is another application of video monitoring. This has been widely incorporated into numerous cyber-physical systems, including traffic analysis, public safety, environment, and healthcare monitoring. The unwired node connection facility in WSNs is what causes the majority of common data transfer issues. Therefore, it is still challenging for monitoring applications to process and transmit large amounts of video data at each wireless node [2,3,5,6,7,8].
Networks for communications may be utilized by monitoring technology. Considering that they transmit videos or data generated by monitoring equipment, a device must be connected to the network for the information to be transferred. Using a method known as multi-alteration, the geographic location of a mobile device can be more easily determined, even when the phone is in standby mode. In other words, tracing an inactive device can be performed by comparing the lengths of time required for a signal to go from one mobile phone to any nearby cell tower [1,2,3,5,9].
A recent development in communications technology is called the Internet of Things (IoT). The IoT is “the system of physical objects and devices with sensors and network connectivity that enables these objects to collect and share data” [1,2,3,5,6,10].
The next big development is IoT technology, which will fundamentally alter how businesses operate. In the approaching years, it is anticipated that there will be a sizable and quickly expanding number of connected devices, installed sites, and operations that would carry out [3,5]. Also, the Internet of Medical Things (IoMT) is a new era of this technology representing Healthcare–IoT systems and data [6,10,11,12].
Additionally, in places such as offices, and homes, an array of sensors may monitor utility networks, and provide early prior notice of falling electricity, water leakage, and overload of the electricity network. The information gathered will be used to improve performance, pinpoint particular needs, and establish particular requirements.
The optimization of monitoring technology through the use of the Internet of Things’ technology requires the combination of these two technologies to fully benefit from them.
Additionally, another technique, known as Mobile Cloud Computing (MCC), emerged and was enhanced by recent advances in the “cloud computing” (CC) industry. By eliminating the requirement for physical equipment, the latter attempts to provide access to data and information at any time and from any location [6,10,11,13]. MCC is defined as the integration of cloud and mobile computing, which makes mobile devices more capable. Additionally, it represents a modern strategy for businesses and organizations seeking creative services. Both the Internet of Things and video monitoring systems can benefit from using CC as a base, which will improve how they work [14,15,16].
At last, to verify the operation of our proposal and to evaluate our proposed algorithm, we used a Digital Twin scenario. Our simulation method is based on novel software such as CloudSim 3.0.3 and Cooja Contiki. The purpose of the Digital Twin scenario is to simulate the operation of a Smart Hospital, hosting a Cloud Server, through which IoT Healthcare data is transferred, managed, and processed. Digital Twin offers more reliable results for our proposal. By creating a virtual model that faithfully replicates a physical product, we employ the Digital Twin concept in our proposal to better forecast how well it will perform. After that, we were able to extract useful information about the reliability of our proposal, as well as the degree of improvement of the existing situation [17]. Thus, regarding a Smart Healthcare system [18], the concept of a Digital Twin scenario would be suitable due to sensitive medical data needing to be used.
Moreover, the major goal of this work is initially to survey emerging technologies and systems of the telecommunications field, such as IoT, Monitoring, Big Data, and Cloud Computing, and then to find the open gaps in their integration model. This offered us the opportunity to discover novel ways to combine the aforementioned technologies in the era of achieving a better system. In addition to this, we have tried to achieve a better way of transmitting and processing video/image data through a Cloud-based Monitoring system by proposing a novel algorithm. Furthermore, to produce an algorithm for better transmission and management of IoT Big Data over a Cloud environment through a Digital Twin scenario, simulating virtual Cloud-Servers and a Smart Hospital installation in which data produced from a monitoring system is transferred, managed, and processed, we have tried to produce an algorithm combining all the different models of encryption algorithms. Finally, we can present the key contributions of our work as a result of the presentation of the fundamental theoretical data of the research topic of this work. This work’s key contributions are:
  • Combine the Internet of Things (IoT) with Monitoring systems to achieve better use, and additionally meet the needs of future monitoring system requirements.
  • Introduce IoT as a recently developed technology in the telecommunications field, which processes video/image data.
  • Survey the technology and monitoring systems of the IoT to illustrate how their combination will improve certain types of Healthcare–IoT Monitoring systems.
  • Discuss the characteristics of the IoT that will improve the use of the types of monitoring systems.
  • Discusses some technical challenges of Multimedia in the IoT, based on Healthcare data, through a Cloud-based system.
  • Show how the Mobile Cloud Computing (MCC) technology, as a base technology, enhances the Healthcare performance of the IoT and has an impact on different sorts of monitoring systems.
  • Propose an algorithm approach for transmitting and processing video/image data through a Cloud-based Monitoring system.
The rest of the work is structured as follows. In Section 2 there is a review of related research dealing with the technology of IoT and the fields of Monitoring. Section 3 presents and analyzes the Monitoring technique, and its different uses and functionality. Then, the technology of the Internet of Things and some of its fundamental features are covered in detail in Section 4. Section 5 illustrates the contribution of the Internet of Things technology in Monitoring, and also an algorithm approach introduced. The conclusions of the current paper are presented in Section 6, which also suggests some fresh directions for the growth of future research.

2. Background & Current Research

For this paper, we studied and analyzed the existing literature on the fields of monitoring and the IoT. We realized that the usage of monitoring in general and its combination, specifically with the IoT, became more vital over the years. Thus, the rising number of studies suggests that more study is needed in this field. Figure 1 illustrates the explosive growth of papers addressing monitoring and concerns regarding the IoT. As we can see, compared to the prior decade, scholars’ interest has significantly expanded over the past seven years. As we can observe in the first step of the diagram, the interest of the papers engaged in this field was very low, and on the other hand, after ten years of research and the advancement of technology, we realized that both investigations and interest increased significantly. However, the rapid development of the IoT, as it is perceived by its use in industry, has contributed to this.
The following paragraphs present the papers that we filtered out and contributed significantly to our study.
To begin with, we initially present the major research that were conducted during the period 2000–2010. R. T. Collins et al. [19] presented research challenges for both technologies and applications of the IoT. In addition to this, this work presents a summary of the major problems affecting the development of technology and services of the IoT. C. Clavel et al. [20] presented how multimedia surveillance applications could detect audio events in noisy environments. This work concentrates especially on the robustness of the detection against the variable, malign conditions, and the decrease of the false rejection rate. All these are minutely significant in surveillance applications. Also, a consumer camera that conceives a whippy framework for semantic analysis of the behavior of humans from a monocular Video Surveillance (VS) is studied and proposed by W. Lao et al. [21]. The proposed framework, which consists of four processing levels, was evaluated, and showed its good quality and efficacy as it achieved a close real-time prosecution. In addition, R. H. Weber [22] addressed measures supporting the usage of methods regarding the IoT, as well as laws governing IT security. Also, in this work, there is a discussion of the need to establish a task force focusing on the legal issues of IoT.
The next period we present is between 2011 and 2019. One major work in this field presents an application called Monitorix, which is a video-based traffic surveillance multi-agent system described by B. Abreu et al. [23]. The Monitorix agents are summarized in four stages, depending on the type of data processing they implement: sensors and performer stages, the aim description shuttle, the application assistant shuttle, and the user assistant shuttle. M. T. Dlamini et al. [24] presented several scenarios in which a botnet by stoves may impact an electrical network and future threats to the life of health systems, as well as how a distributed denial of service could be utilized to vanquish the competition and amplify its revenues of Telcos. In an eHealth scenario, concerning the development of an intelligent medical environment and providing omnipresent services, P. Chatterjee et al. [25] offered a model that takes an all-encompassing approach to the Internet of Things. In addition, an elaborate framework for storing privacy data in VS as a watermark was proposed by W. Zhang et al. [26]. The simulation results of this work showed that the proposed algorithm can incorporate all protected data on a video without compromising the visual quality. Consequently, the proposed video surveillance system is capable of monitoring unauthorized persons in a confined environment, defending the secrecy of the authorized persons but, simultaneously, permitting sheltered information to be revealed safely and reliably. Additionally, A. J. Lipton et al. [27] outlined a step-by-step procedure for introducing moving targets via real-time video streaming, classifying them into specified groups based on image-based characteristics, and then successfully tracking them. The resulting system defines the objects of interest, rejects the state of the background, and constantly observes the long distances and periods, despite obstructions. It also notes any changes in appearance and dismissal of the moving target. Moreover, a method for Internet-of-Things-aware Process Modelling, which utilizes UML use cases and an existing BPMN-based notation that is IoT-aware, was presented by R. Petrasch and R. Hentschke [28]. Moreover, alternative approaches to consolidating WSNs into the Internet, and a summary of possible challenges that should be addressed soon, were evaluated by Md. S. Mahmud et al. [29]. This work unveiled that the denouements currently developed on the Internet are not appropriate for the resources of the narrow sensor node, and therefore, new mechanisms should be produced to conform to the potentialities and restrictions of WSNs. Integrated research on connectivity and energy-saving aspects and solutions of the IoT in the use of various wireless radio access technologies was presented by A. Javed et al. [30]. It also discusses the possible issues of the future use of IoT. Furthermore, a human vital sign monitoring system that comprises the measurement of body temperature and pulse rate of patients from remote locations was presented by P. Hu et al. [31]. This system occupies certain features, such as minor intrusiveness to the users, and helps both caretakers and physicians by providing them with leisure in taking care of patients.
In more recent work in the field, between 2018 and 2020, initially, for advanced scalable Media-based smart Big Data on Intelligent Cloud Computing systems, K. Psannis et al. [32] suggested an effective algorithm (3D, Ultra HD). Performance evaluations show that their suggested approach outperforms the traditional HEVC standard. According to the authors, this suggested solution might be utilized and integrated into HEVC as Smart Big Data without breaking the standard. Moreover, P. Chandrakar et al. [33] developed a cloud-based authentication protocol for e-health care monitoring systems, which provides a secure platform for patients. With this proposed system, the patients–users can obtain the best medical facilities and treatment from doctors through their mobile phones without physically visiting the hospitals. Additionally, the authors study the security aspects of their proposal by using a popular automated pro-verify tool. Furthermore, M. S. Hossain et al. [34] put forth a B5G architecture that makes use of the low-latency, high-bandwidth capabilities of the 5G network to identify COVID-19 using chest X-ray or CT scan images and created a mass surveillance system to track social distance, mask use, and body temperature. In addition, to study the security aspect of their proposal, they used blockchain technology to ensure the security of healthcare data. In another work, for applications involving health monitoring, I. S. Binti Md Isa et al. [35] proposed a brand-new fog computing architecture built on a gigabit passive optical network (GPON) access network. For their proposal, they developed an Energy-Efficient Fog Computing (EEFC) model by using Mixed Integer Linear Programming (MILP) to optimize the number and location of fog devices at the network edge to process and analyze health data for energy-efficient fog computing. N. Mani et al.’s [36] research focused on healthcare using the IoT in real-time notification with the use of fog computing, which handles all the computing and aids clinicians in fully comprehending the patient’s disease. The tools assist those who have trouble understanding their condition and what they should do. A new computer paradigm, called fog computing, has developed since it first came into usage. It aims to close the gap between computations and data sources from medical facilities. Furthermore, the novel computing platform established on the fog computing paradigm can aid in reducing latency while sending and communicating signals with faraway servers, which might speed up medical services in the spatial and temporal dimensions.
Finally, the last and more recent works we have studied are between 2021 and 2023. Using the Digital Twin paradigm, H. Elayan et al. [37] suggested and put into practice an intelligent, context-aware healthcare system. This framework is a useful addition to digital healthcare and will enhance operational efficiency in the healthcare industry. In order to diagnose heart disease and identify cardiac issues, a classifier model for ECG heart rhythms was created using machine learning. The built models accurately and reliably predicted a specific heart condition using several strategies. The application of machine learning and artificial intelligence with various human body parameters for continuous monitoring and abnormality detection was also inspired by the implementation of an ECG classifier that recognizes cardiac problems. Furthermore, Digital twin research and application are the main topics covered by D. Yang et al. [38]. Additionally, they examined current digital twin breakthroughs before summarizing the theory behind the technology and concluding with concrete advancements in several digital twin application fields. Moreover, R. Rajavel et al. [39] introduced the Cloud-based Object Tracking and Behavior Identification System (COTBIS), which can incorporate the edge computing capability framework at the gateway level. This research is an emerging research area of the IoT that can bring robustness and intelligence to distributed video surveillance systems by minimizing network bandwidth and response time between wireless cameras and cloud servers. Also, the proposal of an IoT-based smart healthcare video surveillance system uses edge computing to reduce the network bandwidth and response time and maximize the fall behavior prediction accuracy significantly compared to existing cloud-based video surveillance systems. On this basis, X. Li et al.’s [40] research aims to do Big Data Analysis on the huge amounts of data generated by the Internet of Things (IoT) in smart cities, causing the smart city to shift in the direction of good governance and effective and secure data processing. This study introduces the Deep Learning method utilizing Big Data Analysis and advances the distributed parallelism technique of Convolutional Neural Network with a focus on the multi-source data gathered in the smart city. X. Li et al.’s research led them to the conclusion that enhancing the IoT-Big Data Analysis system of smart cities can reduce data transmission delay, improve data forecasting accuracy, and offer actual efficacy, providing experimental references for the future digital development of smart cities. Furthermore, through their research, S. P. Ramu et al. [41] have focused on the integration of these two promising technologies for use in real-time and life-critical scenarios, as well as for simplicity in governance in applications based on smart cities. The authors also present a thorough overview of the numerous Federated Learning model applications in Digital Twin s based on smart cities. This study’s key finding is that there are some significant obstacles to overcome and promising approaches moving forward for better Federated Learning-Digital Twin integration in applications. At last, Z. Lv et al. [42] anticipate exploring the Digital Twins of a Smart City’s Building Information Modeling (BIM) Big Data (BD) processing approach in order to hasten the development of a Smart City and enhance the precision of data processing. Building Information Modeling, which optimizes diverse resources and building configurations, creates the keel and structure of the building. To process the multi-dimensional and complicated Big Data based on the compositive rough set concept, they also proposed the Multi-Graphics Processing Unit (GPU): a complex data fusion and effective learning technique. A brand-new architecture for healthcare monitoring based on fog computing was put forth by F. Alanazi et al. [43] to manage real-time notification. This proposed system uses machine learning algorithms to monitor a patient’s body temperature, heart rate, and blood pressure values obtained from sensors built into a wearable device. It alerts doctors or caregivers in real time if any deviations from the normal threshold value occur. Patients can also be set up to receive notifications to remind them to take their regular medications or follow a healthy diet. The cloud layer keeps the large amounts of data there for use by researchers and hospitals in the future. Additionally, through their research, N. El Imane Zeghib et al. [44] suggest a multi-route plan that attempts to find a different path in order to guarantee the availability of time-sensitive medical treatments. Different scenarios were created in order to assess the effectiveness of their suggested technique. Furthermore, when compared to the most recent relevant work, the experimental findings of this study show that their approach is superior in terms of latency, energy consumption, and network usage. With their chapter, M. Thakkar et al. [45] seek to obtain a better understanding and perspective of the most cutting-edge IoT-based applications, such as Cloud Computing and Fog Computing, and their implementations in the healthcare industry. A few research articles from after 2015 were included in this chapter based on the inclusion and exclusion criteria established for the study. The conclusions from these articles indicate that IoT-based fog computing and cloud computing expand patient access to high-quality healthcare services. Additionally, the authors draw the conclusion from their work that edge computing could be used to dramatically increase the availability of health services at home.
Table 1 demonstrates, in ascending, chronological order, the most important and representative findings of the background research that represent the mapping problems against solutions. Counting on the findings delivered from Table 1, we can conclude that this field gathers too much attention from researchers who tried to overcome many issues that arise. Moreover, the research findings and the solutions to problems that arose shaped how we were able to achieve our goal, in the design and implementation of the proposed system.

3. Video Monitoring & Internet of Things

3.1. Video Monitoring

The term Monitoring includes various types of observation devices. These are: (1) Computer, (2) Telephones, (3) Cameras, (4) Social network analysis, (5) Biometric, (6) Aerial, (7) Data mining, (8) Corporate, (9) Human operatives, (10) Satellite imagery, (11) Identification and credentials, (12) RFID devices, (13) Human Microchips, (14) Devices, (15) Portal services, (16) Stakeout. In this paper, we single out and deal with specific types of Video Monitoring, which are listed below [1,2,3,5,6,46,47,48,49].

3.1.1. Computer

Computer supervision is the observation of computer activity and the data stored on the hard disk of this computer. If someone can establish software on a computer system, they could easily acquire unauthorized admission to that computer system, and consequently, its data. This software could be installed remotely or directly [50].

3.1.2. Telephones

Phone surveillance is defined as “the act of executing phone surveillance, location tracking, and phone data monitoring” [51].

3.1.3. Cameras

Cameras are frequently associated with a recording device or an IP network, which could be monitored by a security guard [52].

3.1.4. Biometric

The Biometrics type of monitoring refers to measurements related to human features. Also, it is used to identify individuals in groups that are under monitoring [53,54].

3.1.5. Data Mining

Data mining could be defined as “an interdisciplinary subfield of computer science” [55]. Data mining is the implementation of statistical techniques and programming algorithms that dig out the previous unobserved affinities between data [15,54]. Data profiling may be a very strong tool for psychological and social network analysis [56].

3.1.6. RFID Devices

Electro-magnetic fields are used by radio-frequency identification (RFID) to automatically identify and track tags affixed to items. These tags include data that are electronically stored. The passive tags acquire energy from an RFID reader placed close to the radio signals being questioned. The active tags have a local energy source (e.g., a battery) [57].

3.2. Internet of Things

The Internet of Things (IoT) is a network of various gadgets that share and transmit information from the real world to offer services to people, businesses, and society [12,58].

Advantages of the Data

One major question relevant to the IoT is how it could influence our daily life. Continuous feeds are sent and received by every sort of sensor to track and automate operations [59]. Intending to bring about bold change or enhance current services, there are various possibilities where the streaming data could open up new markets. Several examples of fields that constitute the heart of this progress are listed below [60]: IoT-(a) Smart solutions in the bucket of transport, IoT-(b) Smart power grids incorporating more renewable, IoT-(c) Remote monitoring of patients, IoT-(d) Sensors in homes and airports, IoT-(e) Engine monitoring sensors that detect and predict maintenance issues.

3.3. Video Monitoring in Healthcare Sector

In a variety of contexts, including patient monitoring, eldercare, clinical settings, and telemedicine, video monitoring in healthcare was investigated and researched. Technologies for video surveillance have the potential to enhance patient care, increase safety, and simplify medical procedures. The following are some important conclusions and revelations from academic studies on video monitoring in healthcare: (1) Remote Patient Monitoring and Telemedicine: Without the need for in-person visits, video monitoring enables healthcare professionals to remotely monitor patients’ symptoms, have virtual consultations, and provide medical recommendations. According to research, telemedicine and video monitoring can enhance the management of chronic illnesses, decrease hospital readmission rates, and increase patient satisfaction. (2) Fall Detection and Elderly Care: In particular, in eldercare settings, video surveillance systems can be utilized to identify falls and offer quick assistance. According to studies, adopting video-based fall detection technology can speed up reaction times, lessen injuries, and improve senior patients’ overall safety and wellbeing. (3) Clinical Environment Monitoring: In healthcare settings, video surveillance can be used to increase staff training, patient safety, and workflow effectiveness. Video analytics, for instance, can be used to monitor patient compliance with hand cleanliness, identify anomalous patient behaviors, and improve patient flow in hospitals. (4) Privacy and Ethical Considerations: Maintaining patient privacy and upholding ethical standards provide a substantial problem in video monitoring healthcare situations. Research has shown how crucial it is to put in place strong security measures, obtain patients’ informed consent, and make sure that all pertinent data protection laws are followed. (5) Behavioral Analysis and Machine Learning: Machine learning algorithms can be applied to video surveillance systems to assess patient behavior, spot patterns, and spot anomalies. For the purpose of monitoring individuals with cognitive impairments or mental health issues, this technology can be especially helpful. (6) Real-Time Monitoring for Critical Care: When combined with other medical devices, video monitoring can provide real-time insights into a patient’s state, providing medical personnel with useful information for prompt decision-making in life-or-death circumstances. (7) Fall Risk Assessment and Prevention: Video monitoring combined with machine learning algorithms can aid in fall risk assessment and prevention. By analyzing gait patterns and identifying risk factors, healthcare providers can develop personalized fall prevention strategies for patients. (8) Surgical Training and Simulation: The use of video monitoring as a training and simulation tool for surgery was investigated. Surgery can be recorded and examined to assist aspiring surgeons to hone their abilities and absorb knowledge from more seasoned mentors. (9) Diagnostics and Telepathology: Telepathology can use video surveillance to assess tissue samples from a distance and help with diagnoses. This strategy can enhance access to professional perspectives in areas with constrained healthcare resources.
It is significant to emphasize that the use of video surveillance in healthcare also brings up issues related to patient privacy, data security, and the potential for improper usage of video. When implementing video monitoring solutions in healthcare settings, it is crucial to put in place the necessary precautions and make sure that they adhere to ethical norms and healthcare legislation.

3.4. Internet of Things Big Data in Healthcare Sector

IoT-based Big Data have received a great deal of attention in the healthcare industry and hold great promise for enhancing patient care, illness management, and operational efficiency. The following are some significant themes and conclusions from various scientific studies on IoT-based Big Data in healthcare: (1) Remote Patient Monitoring and Wearable Devices: Smartwatches and fitness trackers are two examples of wearables with capabilities of the IoT that are being employed for remote patient monitoring. Vital signs, activity levels, and other health-related data can be continuously collected by these devices and sent to healthcare professionals in real-time. According to research, remote patient monitoring with IoT Big Data can help with early disease identification, better chronic disease management, and patient engagement. (2) Real-Time Healthcare Analytics: Real-time monitoring and decision-making are made possible by IoT-generated data in the healthcare sector and Big Data analytics. For instance, IoT sensors built into hospital equipment can deliver real-time information on environmental conditions, patient vital signs, and equipment status. Real-time data analysis can result in shorter response times, device predictive maintenance, and better patient outcomes. (3) Healthcare Asset and Inventory Management: In order to improve asset and inventory management in healthcare institutions, IoT and Big Data are used. Using IoT sensors to track medical supplies, drug inventories, and other necessities can improve operational efficiency overall, optimize resource use, and reduce waste. (4) Healthcare Supply Chain Optimization: The healthcare supply chain is also being optimized using IoT and Big Data technology. Healthcare providers can more effectively manage inventories, cut costs, and guarantee timely delivery of essential commodities by collecting and analyzing data on the movement of medical supplies and drugs. (5) IoT-Enabled Smart Hospitals: Big Data analytics combined with IoT technologies can build smart hospitals with interconnected systems. The seamless data interchange between medical equipment, electronic medical records, and patient information systems is made possible by this interconnectedness. Improved patient care, increased patient safety, and resource allocation are all goals of smart hospitals. (6) Health Behavior Monitoring and Predictive Modeling: IoT devices have the ability to gather information about patients’ everyday routines, habits, and lifestyle decisions. This information can be utilized to build predictive models for health outcomes and interventions when paired with Big Data analytics. For instance, information from smartwatches can be used to track changes in physical activity levels or forecast sleep disorders. (7) Healthcare Data Privacy and Security: It is crucial to protect data privacy and security when IoT devices collect and send critical patient data. In order to safeguard patient information from unwanted access or cyberattacks, recent research has concentrated on creating secure IoT architectures, encryption methods, and access control systems. (8) Chronic Disease Management: By offering real-time insights on patients’ health problems, IoT Big Data has the potential to completely transform the management of chronic diseases. Chronic diseases like diabetes and hypertension can benefit from ongoing monitoring, since it allows for more individualized treatment approaches and improved disease management. (9) IoT-Based Telemedicine and Virtual Care: The development of telemedicine and virtual care services is greatly aided by IoT devices and Big Data analytics. Patients can obtain medical guidance and treatment from the comfort of their homes thanks to remote consultations and virtual health platforms.
The use of IoT-based Big Data in healthcare is a topic that is constantly changing, and new study findings are frequently released. I suggest running searches on respected academic databases and journals linked to healthcare informatics and IoT technology to obtain the most recent research articles and developments in this field.

4. IoT Contribution to Monitoring Systems

According to our research in the Background and Current Research Section, we developed the following conclusions.
The event identification problem in noisy surroundings for a multimedia monitoring application is the core challenge of the Internet of Things and monitoring technology. This issue is resolved with the detection of the anomaly in sequential audio recordings of public spaces [20,40]. The Internet of Things (IoT) is also crucial for solving issues with eHealth systems, since connected patient data will enable more effective and thorough treatment. An all-encompassing Internet of Things model in an eHealth scenario, which focuses on creating an intelligent medical environment and offering ubiquitous services at its best, resolves this problem [25]. Finally, a condensed domain video watermarking solution based on perceptual models resolves the significant payload issue in monitoring systems [26].
Table 2 lists the characteristics of the technology of the Internet of Things, concerning the commodity it provides. Additionally, it illustrates some of the varieties of monitoring that, from our perspective, are more closely related to the Internet of Things. The purpose of Table 2 is to illustrate how certain properties of the IoT relate to and benefit particular types of monitoring. As we can see, the forms of monitoring that are most affected by characteristics of the IoT are cameras and RFID devices. Contrarily, the Biometric form of monitoring is the one that is least impacted by features of the IoT.
The transmission of data through video recording equipment and how those devices should be configured to have a better remote control are two additional key problems with monitoring technologies. The challenges were examined concerning several related publications that surveyed and suggested architectures that integrate monitoring and the IoT: (1) event detection problems in noisy environments for a multimedia monitoring application and (2) transmission of data through the video recorder devices, and how those devices should be set up for better remote usage.
More specifically, Figure 2 explicitly displays the contribution of six articles that suggested monitoring architectures based on CC and IoT technology. The selected and related work papers proposed novel paradigms, which we distinguished from the set of the whole related research papers we have studied. Each column represents a piece of paper, and each color represents a characteristic of the IoT (Data Privacy, Quality of Communication, Transmission Speed, Easy Installation, Security, Efficiency) [6,10,61,62,63,64]. Also, Figure 2 shows that the majority of architecture proposals address the quality of communication. It also becomes clear that little research was conducted in the area of data security and privacy. Therefore, these are the fields that present the chance for further research. Moreover, we have to state the choice of the specific six works instead because they were considered the most relevant and closest to our research and the part that we are studying in this particular work. Also, the specific six works have several citations and a great impact on the specific field we studied in this work.
Furthermore, Table 3 presents some technical characteristics of the systems proposed in the six papers, which were studied for this work. The technical characteristics represented in Table 3 are: (1) Surveillance environment, (2) Network topology, (3) Number of cameras, (4) Camera control properties, (5) Video delivery system, (6) Video quality, and (7) Extensibility. In addition, Figure 3 represents the Network Topologies proposed by the works.
Additionally, Table 3 summarizes the discussion of the role played by the Internet of Things’ features in the basic categories of monitoring technology. The latter outlines the specific properties of the IoT that are relevant to and help with various types of monitoring. As we can see, the forms of monitoring that are most affected by characteristics of the IoT are cameras and RFID devices. In contravention, the Biometric video kind is the one that is least impacted by the properties of the IoT. However, it is clear from Table 2 and Table 3 that the monitoring types most affected by the characteristics of the IoT are cameras and RFID devices. The Biometric form of monitoring, in comparison, is less impacted by elements of the IoT.

4.1. Multimedia-Centric Internet of Things (MM-IoT) for Monitoring

According to Dlamini et al. [24] “The linking of precisely identifiable embedded computing devices within the current Internet infrastructure” is how the Internet of Things is formally described. IoT is typically expected to deliver universal connectivity of the systems, services, and devices that enable machine-to-machine (M2M) communications across a variety of protocols, applications, and domains.
There are a variety of fields and technical challenges of Multimedia in the sector of IoT. Some of these are: (1) Experiment measurement of multimedia communication in the IoT, (2) Distributed/Centralized multimedia coding in the IoT, (3) Scalable and low delay source coding in the IoT, (4) Distributed multimedia compression in the IoT, (5) Communication and cooperation through multimedia in the IoT, (6) Scalable multimedia big data management in the IoT, (7) Social multimedia interactions in the IoT, (8) Multimedia Data Acquisition techniques on IoT devices, (9) Protocol and standards for multimedia communication in the IoT, (10) Multimedia content analysis and event detection in the IoT, (11) Multimedia security and forensics in the IoT, (12) Multimedia processing and storage in the IoT, (13) Applications of multimedia communications in the IoT.
Table 4 and Table 5 list the characteristics of the technologies attributed to the Internet of Things, regarding the commodity they offer. Additionally, they discuss a few of the Technical Challenges of Multimedia in the IoT, which in our opinion, are more relevant to the Internet of Things. To begin with, Table 4′s purpose is to illustrate which of the IoT’s distinctive traits correspond to the appropriate category, as well as to disperse the many technical obstacles associated with multimedia communication in the IoT. Subsequently, the scope of Table 5 is to show which of the characteristics of the IoT belong to and distribute the particular fields of the Technical challenges of Multimedia Applications in the IoT. As we can observe, Multimedia Data Acquisition techniques on IoT devices are the Technical challenges of Multimedia Applications in the IoT field, which are influenced more by the characteristics of the IoT. However, Multimedia processing and storage in the IoT, Distributed/Centralized multimedia coding in the IoT, and Scalable and low delay source coding in the IoT is the field of technical challenges of Multimedia Applications in the IoT that is affected less by the characteristics of the IoT. Summarizing, Table 4 and Table 5 outline the traits of the Internet of Things concerning the good it delivers. Moreover, they present some of the fields of technical challenges of Multimedia in the IoT, based on Healthcare data, which pertain more to the Internet of Things.

4.2. System’s Components Comparative Analysis

Regarding Figure 2 and the major components of the relative network system architectures, we try to illustrate and compare those with our proposed system.
Figure 4 presents the major characteristics of the IoT (Data Privacy, Quality of Communication, Transmission Speed, Easy Installation, Security, and Efficiency), represented by different colors. Also, each column represents the relative system architectures proposed previously and our proposed system architecture. Through Figure 4, we can observe that our proposed system contributes all the major characteristics of the IoT, which could be included as a component of a monitoring network system framework instead of the relative previous proposed systems. In addition to this, our proposed system also excels over the others, in the fact that, in fields of Data Privacy, Security and Efficiency, ours contributes more compared to the previous ones. Our goal is to create a more secure and efficient environment through our proposal, which, as shown in Figure 4, is achieved.

4.3. Mobile Cloud Computing Inside IoT and Monitoring

Breakthrough technology with the potential to make data and information available at all times and from any location emerged based on the concept of CC. This type of service acts without the limitation of hardware equipment [39,65,66]. The fault tolerance and low-performance issues that typically prevent the use of huge amounts of data could be addressed by modifying the CC resources and methodologies [66]. Also, one of the challenges in the field of IoT is the combination with CC.
The necessity to maintain expensive computing gear and software is removed by CC technology [67]. To address the recurring fault tolerance issues and subpar performance that cause bottlenecks while employing enormous volumes of data, the CC techniques and resources could be modified [68]. Also, one of the challenges in the field of the IoT is the combination with CC. Given this, CC offers a good way for things to become connected and allow users to access various things on the internet [69,70,71].
In particular, a definition of MCC could be the consummation of CC with mobile devices and services to render the mobile devices well off in various terms such as storage and computational power. MCC is the result of multidisciplinary approaches, blending mobile computing and CC. CC also offers services, storage, computing, and applications over the Internet. So, this multidisciplinary domain is moreover referred to as MCC [39,65,66].
The following are some of the primary MCC characteristics that pertain to both the Internet of Things and Monitoring features: MCC-(a) Storage over the Internet, MCC-(b) Service over the Internet, MCC-(c) Applications over the Internet, MCC-(d) Energy efficiency, and MCC-(e) Computationally capable. Table 6, Table 7 and Table 8 list the characteristics of MCC relating to the commodity this technology offers when integrated with the features of the IoT, regarding all its extensions including Multimedia-IoT, and Video Monitoring in a Smart Healthcare system.

4.4. Security Aspects of Data for IoT-Based Big Data Transmission & Management over the Cloud

The safety and security of the data generated by IoT-based systems, which mostly refers to Big Data, which is transferred and managed over a Cloud-based system, is a key concern for this research. Multiple aspects of data security and privacy are involved in IoT-based Big Data secure transmission and administration through a cloud system. Below is an overview of the main methods and safeguards employed to guarantee the privacy and security of data in this situation.
Encryption: A crucial method for preserving data secrecy during transmission and storage is encryption. For secure communication channels with cloud services, IoT devices can use encryption protocols like Transport Layer Security (TLS) or Secure Sockets Layer (SSL). As a result, information sent between IoT devices and the cloud is encrypted and kept out of the hands of unauthorized parties [3,5,10,11].
Access Control: Access control technologies are essential for limiting illegal access to cloud-based IoT data. To implement data access limitations based on user roles, privileges, or particular attributes, role-based access control (RBAC) and attribute-based access control (ABAC) are frequently utilized. Mechanisms for access control help prevent unwanted data alteration or leaking [3,5,10,11].
Data Integrity: For IoT data to be accurate and reliable, maintaining data integrity is essential. Data integrity can be checked during transmission and storage using methods such as message authentication codes (MACs) and digital signatures. These methods aid in the detection of unapproved data alterations [3,5,10,11].
Secure Protocols and Standards: It is crucial to adhere to secure communication methods and standards. IoT device-specific protocols with security features, like authentication and encryption, include MQTT (Message Queuing Telemetry Transport) and CoAP (Constrained Application Protocol). Data transmission over the cloud is secure when certain procedures are followed [3,5,10,11].
Privacy Preservation: When working with sensitive IoT data, maintaining user privacy is essential. A useful analysis of the aggregated data can still be performed while masking or obscuring personally identifying information (PII), using methods such as data anonymization, aggregation, and differential privacy. While allowing useful insights from IoT big data, privacy-enhancing solutions help protect user privacy [3,5,10,11].
Data Lifecycle Management: The security and privacy of IoT data are supported by a thorough approach to data lifecycle management. This includes regular backups to guard against data loss and secure data deletion when it is no longer required. Data lifecycle management requires the implementation of data retention regulations and secure data disposal procedures [3,5,10,11].
Intrusion Detection and Prevention: Network traffic can be monitored by intrusion detection and prevention systems (IDPS), which can then identify any unusual or malicious activity. To identify potential security breaches or assaults on IoT devices or cloud infrastructure, advanced anomaly detection algorithms and machine learning approaches can be deployed. Real-time response to security incidents is made possible by these tools [3,5,10,11].
Regular Security Updates and Patches: The most recent security patches and upgrades should be applied to IoT devices, cloud systems, and related software to maintain a secure environment. This lessens the chance of exploitation and addresses any known vulnerabilities [3,5,10,11].
Based on the aforementioned factors, effort was conducted in the first stage to build an algorithm that would harmonize the logic and operation of the most popular encryption algorithms. The technique that shows how to combine encryption algorithms for secure data management and transmission is described below.
The encryption and decryption operations of the first encryption algorithm are denoted in Algorithm 1 by the functions encryptWithAlgorithm1() and decryptWithAlgorithm1(), respectively. The encryption and decryption functions of the second encryption algorithm are represented, respectively, by the functions encryptWithAlgorithm2() and decryptWithAlgorithm2(). The actual encryption and decryption methods we want to employ each time, such as AES, RSA, or any other encryption algorithms of our choice, can be substituted for the aforementioned function names in the suggested scenario. The input of Algorithm 1 obtains the transmitted data of video/image before encryption and the output is the transmitted data of video/image after encryption and ready to be transmitted. Also, in the reverse procedure, Algorithm 1 obtains the encrypted transmitted data of video/image and the output is the decrypted transmitted data of video/image ready to be used.
Algorithm 1: Encryption/Decryption procedure of transmitted data of video/image
1. Initialize variables:
    - plaintext: the original data to be transmitted
    - key1: encryption key for the first encryption algorithm
    - key2: encryption key for the second encryption algorithm
    - ciphertext: the encrypted data
2. Encrypt the data using the first encryption algorithm:
    encryptedData1 = encryptWithAlgorithm1(plaintext, key1)
3. Encrypt the output of the first encryption using the second encryption algorithm:
    encryptedData2 = encryptWithAlgorithm2(encryptedData1, key2)
4. Transmit the encrypted data (encryptedData2) over the network.
5. On the receiving end, receive the encrypted data.
6. Decrypt the encrypted data using the second encryption algorithm:
    decryptedData1 = decryptWithAlgorithm2(encryptedData2, key2)
7. Decrypt the output of the second encryption using the first encryption algorithm:
    decryptedData2 = decryptWithAlgorithm1(decryptedData1, key1)
8. The original plaintext data is now recovered and stored in decryptedData2.
9. Perform further processing or utilize the decrypted data as needed.

4.5. Video/Image Transmission and Processing Algorithm

Additionally, to the discussion about the contributions of MCC, IoT, and Monitoring, in this subsection, we will try to correlate the available connections that provide the possibilities for accessing video/images that are transmitted and processed through a Cloud-based Monitoring system. Based on the related review and all the contributions that progressed previously, we sum up to the conclusion that the better way to contact video/images that are transmitted and processed through a Cloud-based Monitoring system will be through a new algorithm approach.
Relying on the previous works of Psannis et al. [32] and Balasubramanian et al. [72], and the whole related works we studied, we can approach the video/image transmission and processing with the following equation:
b k + 1 n e x t = b k f i r s t [ x ( f ( T k + + T k 1 ) + g ( P L k , P L k 1 ) + h ( S k + + S k 1 ) ) ] + b k 1 f i r s t 1
In the above Equation (1) x represents a stable that highlights the significance of each component, f, g, and h are three functions that compare the modifications in each factor’s value to the first time window. Additionally, PL represents the value of the packet loss rate, T represents the value of the Round Trip Time, S represents the value of the signal-to-interference and noise ratio, and k represents the value of the sequence number of the current time window. In the end, b k f i r s t represents the value of the bandwidth of the first time window, b k 1 f i r s t 1 represents the value of the bandwidth of the first time window-1, and b k + 1 n e x t represents the value of the bandwidth of the next time window, which is the time we need.
Counting on Equation (1) that we ended up with in our proposal, we can determine an algorithm that implements Equation (1). Another term that we combine with our Equation (1) to achieve the proposed algorithm is TW, which represents the value of the Time Window. Moreover, we will also use LoK and LoA, which represent the value of the Layer of Keystone and the value of the Layer of Absorption, respectively. The proposed algorithm is presented in (Algorithm 2).
Specifically, Algorithm 2 represents the whole procedure implemented by our proposed Equation (1), consisting of our study on previous works [6,10,11,66,73]. As a result, in Algorithm 2, we compare the data from the First Time Window to the functions that depict the change in the value of each component of Equation (1). The suggested algorithm “calls” the value of the Packet Loss Rate, Round Trip Time, Signal to Interface, and Noise Ratio of each loop in a limited number of loops while the time is “paused”, all from the client that transmits and/or analyzes the video/image. Continuously, counting on Equation (1), the algorithm calculates a better way to transmit and/or process the video/image by choosing a calculation scenario relying on the type of the transmitted and/or processed video/image. Inside a loop function, which is repeated until the value of bLoA is greater or equal than the value of b k + 1 n e x t , the calculation takes as many times as the random variable x is greater or equal to the value k, which is the sequence number of the particular transmission/procession. When the loop function ends, the particular video/image starts to be transmitted/processed to the client. Due to the requirement for a rapid response to the client’s request, the proposed algorithm’s process is predicted to take less than one minute. The input of Algorithm 2 is based on three values that are necessary for the operation of the algorithm; first, the value of the packet loss rate (PL) count on the sequence number (k) of each round; second, the value of the round trip time count on the sequence number (k) of each round; and third, the value of the signal-to-interference and noise ratio count on the sequence number (k) of each round. Additionally, as an input, Algorithm 2 obtains any additional information added from each user of the system. On the other hand, the output of Algorithm 2 extracts the transmission data of the video/image transmitted each time through the system.
The proposed algorithm is evaluated through a Digital Twin scenario, simulating virtual Cloud-Servers and a Smart Hospital installation in which data produced from a monitoring system is transferred, managed, and processed [73,74,75,76]. For the Digital Twin scenario, we used CloudSim and Cooja Contiki to simulate our proposed system and algorithm.
We tested several scenarios on CloudSim to see how computationally complex the suggested approach is. The amount of time and data used in each situation varies. As we could see from the experimental findings in the next Section, our concept was evaluated for a various period of time and for a variety of energy consumption situations that employed and generated data.
Algorithm 2: Digital Twin scenario of video/images transmitted & processed through a Cloud-based Monitoring system
1  k = 0
2  b1 transmitted
3   b 1 f i r s t processed
4  Loop function
5     pause TW
6     get PLk, Tk, Sk,
7     get additionally client’s information
8     produce b k + 1 n e x t
9     x = 0
10     bLoA = 0
11     Loop function
12      x = x + 1
13      if x greater or equal k
14          return
15          bLoA = bLoA x + bLoKx
16     until bLoA greater or equal  b k + 1 n e x t
17     bk transmitted
18      L o A k + 1 1 , , L o A k + 1 x 1  transmitted
19      b k + 1 f i r s t processed
20     k = k + 1
21  until video/image is fully transmitted/processed

5. Experimental Results & Analysis

This section presents the experimental analysis and the discussion of the experimental results of our Digital Twin scenario. To verify the better use of our proposal and to test its performance, we made a variety of measurements so that we could assess our level of effort. With the following experiments, we can show the importance of the Digital Twin scenario for such systems that use large-scale data streamed through the network.
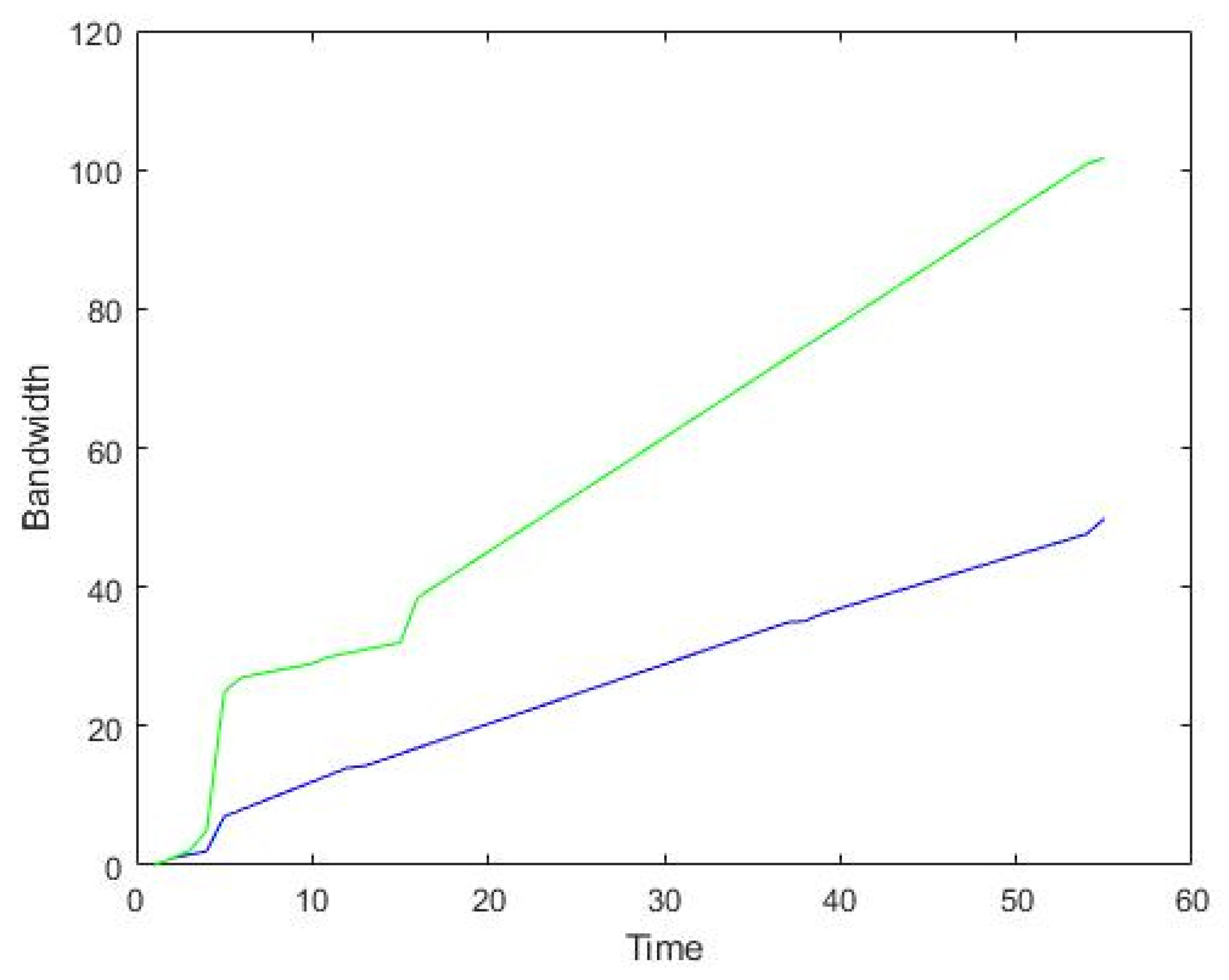
Figure 5 illustrates the data produced and transmitted through the procedure using the proposed algorithm and a conventional algorithm. The blue line represents the results of the conventional algorithm and the green line represents the results of the proposed algorithm. As we can observe, our proposal could be more efficient because it could produce and transmit more data sets at the same time compared with the conventional algorithm. The impact of our proposed model depicts the efficiency of the usage of a Cloud Management System operated over a Digital Twin scenario, using real-time large-scale data produced from the connected IoT system.
The Digital Twins concept is most frequently used to better “predict” functionality through a virtual model designed to accurately reflect a physical object. Through such a system, useful information could be extracted about its reliability and its usage, as well as the degree of improvement of the existing system/object [73,76].
Figure 6 describes the better Energy Efficiency offered by the Digital Twin scenario that implements our proposal. As we can see, our suggested scenario consumes less energy over time than the other examined frameworks. A more sustainable and ecologically friendly framework can be provided, as well as a better solution for energy use. The need of using a more environmentally friendly system, due to less energy consumption, is a major goal that we try to overcome and achieve. Thus, Energy Efficiency is a major goal of our system implementation based on modern needs. Additionally, with the use of the Digital Twin scenario, we could achieve a more economical system by using less physical hardware. Moreover, through the experiments, we can prove that the successfully created a system uses less energy than other related systems. Additionally, with less energy consumption, we could achieve a more reliable and secure system for monitoring.
Figure 7, Figure 8, Figure 9 and Figure 10 demonstrate four different experimental scenarios that consider the better Energy Efficiency offered by the Digital Twin scenario that implements our proposal of different measurements in time. Through these scenarios, we can observe that our proposal remains the best choice regardless of the time difference or energy load. The computational complexity of our proposed algorithm can be easily revealed through these images, as scenarios were studied that vary both in terms of time and data volume. In all scenarios, we can observe that our suggested scenario consumes less energy over time than the other examined frameworks.

6. Conclusions

To benefit from features of the IoT and improve the usage of video monitoring and technology of the Internet of Things, these have been combined concerning the use of the monitoring and the future requirements for this technology. The major IoT features shown and presented in this research were based on the findings of our literature review research. These features led us to try to find out a better secure and more efficient novel system that could be established and operated on buildings where more IoT big data is produced, transmitted, and managed. In addition to this, our proposal counts on the improvement of major features of the IoT because, in the healthcare sector, these specific features are of major importance and must be taken into account to achieve a properly structured system. Finally, we proposed an algorithm approach to transmitting and processing video/image data through a Cloud-based Monitoring system.
Through our findings, we concluded that our proposal operates more efficiently due to the Digital Twin scenario that uses, and additionally, the proposed algorithm provides a more secure production and transmission of the data used in an IoT-based Healthcare Monitoring system. By the figures of the experimental results section, we can observe that the algorithm proposed in our work offers a more secure transmission of the data through time, and offers larger amounts of data used and transmitted in the communication channel. With this, we can have a more reliable and secure IoT-based Healthcare Monitoring system in the Cloud, which uses all the advantages of the involved technologies to the maximum. Furthermore, we can observe that the operation of the proposed scenario as a Digital Twin scenario offers a more sustainable and energy-efficient system.
To attain the best outcomes in its utilization, we advise combining the Internet of Things with video monitoring technologies in future investigations. Additionally, as a result of this research, we would further examine the types of monitoring that could benefit from the Internet of Things contribution to technology. Since MCC serves as the foundation for both IoT and monitoring, we can assert that the former enhances IoT functionality and has an impact on different types of monitoring technologies. Finally, as we can deduct from Figure 2 and Figure 4 that a huge and vital issue for future study is the data security of video monitoring through Cloud and IoT environments. Thus, there is a strong need of further research in this area and, due to this, we are planning to overcome all the difficulties to establish a system like the one proposed for buildings, such as small hospitals or small schools, in order to examine the operation of our proposed scenario.

Author Contributions

Conceptualization, C.L.S.; methodology, C.L.S.; software, C.L.S.; validation, C.L.S. and M.P.K.; formal analysis, C.L.S. and K.E.P.; investigation, C.L.S.; resources, C.L.S.; data curation, C.L.S.; writing—original draft preparation, C.L.S.; writing—review and editing, C.L.S.; visualization, M.P.K.; supervision, K.E.P.; project administration, K.E.P.; funding acquisition, K.E.P. All authors have read and agreed to the published version of the manuscript.

Funding

This research received no external funding.

Institutional Review Board Statement

Not applicable.

Informed Consent Statement

Not applicable.

Data Availability Statement

Not applicable.

Conflicts of Interest

The authors declare no conflict of interest.

References

  1. Puvvadi, U.L.N.; Di Benedetto, K.; Patil, A.; Kang, K.-D.; Park, Y. Cost-Effective Security Support in Real-Time Video Surveillance. IEEE Trans. Ind. Inform. 2015, 11, 1457–1465. [Google Scholar] [CrossRef]
  2. Wahyono; Filonenko, A.; Jo, K.-H. Unattended Object Identification for Intelligent Surveillance Systems Using Sequence of Dual Background Difference. IEEE Trans. Ind. Inform. 2016, 12, 2247–2255. [Google Scholar] [CrossRef]
  3. Kim, B.; Psannis, K.E.; Bhaskar, H. Special section on emerging multimedia technology for smart surveillance system with IoT environment. J. Supercomput. 2017, 73, 923–925. [Google Scholar] [CrossRef]
  4. Lin, Z.; Han, G.D.J.; Wang, J. Cross-View Retrieval via Probability-Based Semantics-Preserving Hashing. IEEE Trans. Cybern. 2016, 47, 4342–4355. [Google Scholar] [CrossRef] [PubMed]
  5. Kokkonis, G.; Psannis, K.E.; Roumeliotis, M.; Schonfeld, D. Real-time wireless multisensory smart surveillance with 3D-HEVC streams for internet-of-things (IoT). J. Supercomput. 2017, 73, 1044–1062. [Google Scholar] [CrossRef]
  6. Stergiou, C.; Psannis, K.E.; Plageras, A.P.; Kokkonis, G.; Ishibashi, Y. Architecture for security monitoring in IoT environments. In Proceedings of the IEEE 26th International Symposium on Industrial Electronics, Edinburgh, UK, 19–21 June 2017. [Google Scholar]
  7. Stergiou, K.D.; Minopoulos, G.M.; Memos, V.A.; Stergiou, C.L.; Koidou, M.P.; Psannis, K.E. A Machine Learning-based Model for Epidemic Forecasting and Faster Drug Discovery. Appl. Sci. 2022, 12, 10766. [Google Scholar] [CrossRef]
  8. Kim, I.-C.; Kim, Y.-J.; Chin, S.-Y. Sound Localization Framework for Construction Site Monitoring. Appl. Sci. 2022, 12, 10783. [Google Scholar] [CrossRef]
  9. Yang, X.; Qian, X.; Mei, T. Learning salient visual word for scalable mobile image retrieval. J. Pattern Recognit. 2015, 48, 3093–3101. [Google Scholar] [CrossRef]
  10. Plageras, A.P.; Psannis, K.E.; Ishibashi, Y.; Kim, B.-G. IoT-based Surveillance System for Ubiquitous Healthcare. In Proceedings of the IEEE/IECON 2016—42nd Annual Conference of the IEEE Industrial Electronics Society, Florence, Italy, 24–27 October 2016. [Google Scholar]
  11. Stergiou, C.; Psannis, K.E.; Kim, B.-G.; Gupta, B. Secure integration of IoT and Cloud Computing. Future Gener. Comput. Syst. 2018, 78, 964–975. [Google Scholar] [CrossRef]
  12. Xu, L.D.; He, W.; Li, S. Internet of Things in Industriew: A Survey. IEEE Trans. Ind. Inform. 2014, 10, 2233–2243. [Google Scholar] [CrossRef]
  13. Li, J.; Huang, L.; Zhou, Y.; He, S.; Ming, Z. Computation partitioning for mobile cloud computing in big data environment. IEEE Trans. Ind. Inform. 2017, 11, 2009–2018. [Google Scholar] [CrossRef]
  14. Yu, R.; Huang, X.; Kang, J.; Ding, J.; Maharjan, S.; Gjessing, S.; Zhang, Y. Cooperative Resource Management in Cloud-Enabled Vehicular Networks. IEEE Trans. Ind. Inform. 2015, 62, 7938–7951. [Google Scholar] [CrossRef]
  15. Madrid-Márquez, L.; Rubio-Escudero, C.; Pontes, B.; González-Pérez, A.; Riquelme, J.C.; Sáez, M.E. MOMIC: A Multi-Omics Pipeline for Data Analysis, Integration and Interpretation. Appl. Sci. 2022, 12, 3987. [Google Scholar] [CrossRef]
  16. Ali, A.M.M.; Ahmad, N.M.; Amin, A.H.M. Cloudlet-based cyber foraging framework for distributed video surveillance provisioning. In Proceedings of the Information and Communication Technologies (WICT), 2014 Fourth World Congress, Bandar Hilir, Malaysia, 8–11 December 2014. [Google Scholar]
  17. Stergiou, C.L.; Bompoli, E.; Psannis, K.E. Security & privacy issues in IoT-based Big Data Cloud systems in a Digital Twin scenario. Appl. Sci. 2023, 13, 758. [Google Scholar] [CrossRef]
  18. Minopoulos, G.M.; Memos, V.A.; Stergiou, C.L.; Stergiou, K.D.; Plageras, A.P.; Koidou, M.P.; Psannis, K.E. Exploitation of Emerging Technologies and Advanced Networks for a Smart Healthcare System. Appl. Sci. 2022, 12, 5859. [Google Scholar] [CrossRef]
  19. Collins, R.T.; Lipton, A.J.; Kanade, T. Introduction to the Special Section on Video Surveillance. IEEE Trans. Pattern Anal. Mach. Intell. 2000, 22, 745–746. [Google Scholar] [CrossRef]
  20. Clavel, C.; Ehrette, T.; Richard, G. Events Detection for an Audio-Based Surveillance System. In Proceedings of the IEEE ICME International Conference on Multimedia and Expo, Amsterdam, The Netherlands, 6–9 July 2005; pp. 1306–1309. [Google Scholar]
  21. Lao, W.; Han, J.; De With, P.H.N. Automatic video-based human motion analyzer for consumer surveillance system. IEEE Trans. Consum. Electron. 2009, 55, 591–598. [Google Scholar] [CrossRef]
  22. Weber, R.H. Internet of Things—New security and privacy challenges. Comput. Law Secur. Rev. 2010, 26, 23–30. [Google Scholar] [CrossRef]
  23. Abreu, B.; Cavallaro, L.B.A.; Ebrahimi, T.; Figiueiredo, P.; Macq, B.; Mory, B.; Nunes, L.; Trigueiros, J.O.M.J.; Violante, A. Video-Based Multi-Agent Traffic Surveillance System. In Proceedings of the 2000 Intelligent Vehicles Conference, Dearborn, MI, USA, 3–5 October 2000. [Google Scholar]
  24. Dlamini, M.T.; Eloff, M.M.; Eloff, J.H.P. Internet of Things: Emerging and Future Scenarios from an Information Security Perspective; Information and Computer Security Architectures Research Group: Pretoria, South Africa, 2015. [Google Scholar]
  25. Chatterjee, P.; Armentano, R. Internet of Things for a Smart and Ubiquitous eHealth System. In Proceedings of the IEEE Computational Intelligence and Communication Networks (CICN), Jabalpur, India, 12–14 December 2015. [Google Scholar]
  26. Zhang, W.; Cheung, S.S.; Chen, M. Hiding Privacy Information in Video Surveillance System. In Proceedings of the IEEE ICIP International Conference on Image Processing, Genova, Italy, 14 September 2005. [Google Scholar]
  27. Lipton, A.J.; Fujiyoshi, H.; Patil, S. Moving Target Classification and Tracking from Real-time Video. In Proceedings of the Fourth IEEE Workshop WACV ‘98 Applications of Computer Vision, Princeton, NJ, USA, 19–21 October 1998. [Google Scholar]
  28. Petrasch, R.; Hentschke, R. Towards an Internet-of-Things-aware Process Modeling Method—An Example for a House Surveillance System Process Model. In Proceedings of the 2nd Management Innovation Technology International Conference (MITiCON2015), Bangkok, Thailand, 16–18 November 2015. [Google Scholar]
  29. Mahmud, M.S.; Wang, H.; Esfar-Alam, A.M.; Fang, H. A Wireless Health Monitoring System Using Mobile Phone Accessories. IEEE Internet Things J. 2017, 4, 2009–2018. [Google Scholar] [CrossRef]
  30. Javed, A.; Larijani, H.; Ahmadinia, A.; Gibson, D. Smart Random Neural Network Controller for HVAC Using Cloud Computing Technology. IEEE Trans. Ind. Inform. 2017, 13, 351–360. [Google Scholar] [CrossRef]
  31. Hu, P.; Ning, H.; Qiu, T.; Song, H.; Wang, Y.; Yao, X. Security and Privacy Preservation Scheme of Face Identification and Resolution Framework Using Fog Computing in Internet of Things. IEEE Internet Things J. 2017, 4, 1143–1155. [Google Scholar] [CrossRef]
  32. Psannis, K.E.; Stergiou, C.; Gupta, B.B. Advanced Media-based Smart Big Data on Intelligent Cloud Systems. IEEE Trans. Sustain. Comput. 2019, 4, 77–87. [Google Scholar] [CrossRef]
  33. Chandrakar, P.; Sinha, S.; Ali, R. Cloud-based authenticated protocol for healthcare monitoring system. J. Ambient Intell. Humaniz. Comput. 2020, 11, 3431–3447. [Google Scholar] [CrossRef]
  34. Hossain, M.S.; Muhammad, G.; Guizani, N. Explainable AI and Mass Surveillance System-Based Healthcare Framework to Combat COVID-I9 Like Pandemics. IEEE Netw. 2020, 34, 126–132. [Google Scholar] [CrossRef]
  35. Isa, I.S.B.M.; El-Gorashi, T.E.H.; Musa, M.O.I.; Elmirghani, J.M.H. Energy Efficient Fog-Based Healthcare Monitoring Infrastructure. IEEE Access 2020, 8, 197828–197852. [Google Scholar] [CrossRef]
  36. Mani, N.; Singh, A.; Nimmagadda, S.L. An IoT Guided Healthcare Monitoring System for Managing Real-Time Notifications by Fog Computing Services. Procedia Comput. Sci. 2020, 167, 850–859. [Google Scholar] [CrossRef]
  37. Elayan, H.; Aloqaily, M.; Guizani, M. Digital Twin for Intelligent Context-Aware IoT Healthcare Systems. IEEE Internet Things J. 2021, 8, 16749–16757. [Google Scholar] [CrossRef]
  38. Yang, D.; Karimi, H.R.; Kaynak, O.; Yin, S. Developments of digital twin technologies in industrial, smart city and healthcare sectors: A survey. Complex Eng. Syst. 2021, 1, 3. [Google Scholar] [CrossRef]
  39. Rajavel, R.; Ravichandran, S.K.; Harimoorthy, K.; Nagappan, P.; Gobichettipalayam, K.R. IoT-based smart healthcare video surveillance system using edge computing. J. Ambient. Intell. Humaniz. Comput. 2022, 13, 3195–3207. [Google Scholar] [CrossRef]
  40. Li, X.; Liu, H.; Wang, W.; Zheng, Y.; Lv, H.; Lv, Z. Big data analysis of the Internet of Things in the digital twins of smart city based on deep learning. Future Gener. Comput. Syst. 2022, 128, 167–177. [Google Scholar] [CrossRef]
  41. Ramu, S.P.; Boopalan, P.; Pham, Q.-V.; Maddikunta, P.K.R.; Huynh-The, T.; Alazab, M.; Nguyen, T.T.; Gadekally, T.R. Federated learning enabled digital twins for smart cities: Concepts, recent advances, and future directions. Sustain. Cities Soc. 2022, 79, 103663. [Google Scholar] [CrossRef]
  42. Lv, Z.; Chen, D.; Lv, H. Smart City Construction and Management by Digital Twins and BIM Big Data in COVID-19 Scenario. ACM Trans. Multimed. Comput. Commun. Appl. 2022, 18, 1–21. [Google Scholar] [CrossRef]
  43. Alanazi, F.; Taloba, A.I.; Abozeid, A. Fog Computing Service in the Healthcare Monitoring System for Managing the Real-Time Notification. J. Healthc. Eng. 2022, 2022, 5337733. [Google Scholar] [CrossRef]
  44. El Imane Zeghib, N.; Alwan, A.A.; Abualkishik, A.Z.; Gulzar, Y. Multi-Route Plan for Reliable Services in Fog-Based Healthcare Monitoring Systems. IGI Glob. Int. J. Grid High Perform. Comput. 2022, 14, 1–20. [Google Scholar] [CrossRef]
  45. Thakkar, M.; Shah, J.; Verma, J.P.; Tiwari, R. Smart Healthcare Systems: An IoT with Fog Computing based Solution for Healthcared. In Image Based Computing for Food and Health Analytics: Requirements, Challenges, Solutions and Practices; Springer: Cham, Switzerland, 2023; Volume 79, pp. 63–82. [Google Scholar]
  46. Li, X.; Wang, Z.; Lu, X. Surveillance Video Synopsis via Scaling Down Objects. IEEE Trans. Image Process. 2016, 25, 740–755. [Google Scholar] [CrossRef] [PubMed]
  47. Zhang, D.; Han, J.; Jiang, L.; Ye, S.; Chang, X. Revealing Event Saliency in Unconstrained Video Collection. IEEE Trans. Image Process. 2017, 26, 1746–1758. [Google Scholar] [CrossRef] [PubMed]
  48. Lu, X.; Zheng, X.; Li, X. Latent Semantic Minimal Hashing for Image Retrieval. IEEE Trans. Image Process. 2016, 26, 355–368. [Google Scholar] [CrossRef]
  49. Diffie, W.; Landau, S. Internet Eavesdropping: A Brave New World of Wiretapping. Sci. Am. Mag. 2008, 299, 56–63. [Google Scholar] [CrossRef]
  50. Poulsen, K. Wired. 18 July 2007. Available online: http://archive.wired.com/politics/law/news/2007/07/fbi_spyware?currentPage=all (accessed on 3 March 2020).
  51. Cucchiara, R.; Grana, C.; Piccardi, M.; Prati, A. Detecting moving objects, ghosts, and shadows in video streams. IEEE Trans. Pattern Anal. Mach. Intell. 2003, 25, 1337–1342. [Google Scholar] [CrossRef]
  52. Hildebrandt, M. Profiling and the Identity of the European Citizen. In Profiling the European Citizen: Cross-Disciplinary Perspectives; Hildebrandt, M., Gutwirth, S., Eds.; Springer: Dordrecht, The Netherlands, 2008; pp. 303–344. [Google Scholar]
  53. Ross, A.; Jain, A.K. Multimodal Biometrics: An Overview. In Proceedings of the 12th European Signal Processing Conference IEEE EUSIPCO, Vienna, Austria, 6–10 September 2004. [Google Scholar]
  54. Liu, Y.-F.; Guo, J.-M.; Liu, P.-H.; Lee, J.-D.; Yao, C.-C. Panoramic Face Recognition. IEEE Trans. Circuits Syst. Video Technol. 2017, 28, 1864–1874. [Google Scholar] [CrossRef]
  55. Hastie, T.; Tibshirani, R.; Friedman, J. The Elements of Statistical Learning: Data Mining, Inference, and Prediction, 2nd ed.; Springer: Stanford, CA, USA, 2009. [Google Scholar]
  56. Miorandi, D.; Sicari, S.; De Pellegrini, F.; Chlamtac, I. Internet of things: Vision, applications and research challenges. Ad Hoc Netw. 2012, 10, 1497–1516. [Google Scholar] [CrossRef]
  57. Want, R. An Introduction to RFID Technology. Pervasive Comput. 2005, 5, 25–33. [Google Scholar] [CrossRef]
  58. Brundu, F.G.; Patti, E.; Osello, A.; Del Giudice, M.; Rapetti, N.; Krylovskiy, A.; Juan, M.; Verda, V.; Guelpa, E.; Rietto, L.; et al. IoT Software Infrastructure for Energy Management and Simulation in Smart Cities. IEEE Trans. Ind. Inform. 2017, 13, 832–840. [Google Scholar] [CrossRef]
  59. Niggemann, O.; Kinnebrew, J.S.; Khorasgani, H.; Volgmann, S.; Bunte, A.; Biswas, G. Data-Driven Monitoring of Cyber-Physical Systems Leveraging on Big Data and the Internet-of-Things for Diagnosis and Control. In Proceedings of the International Workshop on the Principles of Diagnosis (DX), Paris, France, 31 August–3 September 2015; pp. 185–192. [Google Scholar]
  60. Batalla, J.M. Advanced multimedia service provisioning based on efficient interoperability of adaptive streaming protocol and high efficient video coding. J. Real-Time Image Process. 2015, 12, 443–454. [Google Scholar] [CrossRef][Green Version]
  61. Ajiboye, S.O.; Birch, P.; Chatwin, C.; Young, R. Hierarchical Video Surveillance Architecture—A Chassis for Video Big Data Analytics and Exploration. In Proceedings of the SPIE—The International Society for Optical Engineering, Falmer-Brighton, UK, 8–12 February 2015. [Google Scholar]
  62. Licandro, F.; Schembra, G. WirelessMesh Networks to Support Video Surveillance: Architecture, Protocol, and Implementation Issues. EURASIP J. Wirel. Commun. Netw. 2007, 2007, 31976. [Google Scholar] [CrossRef]
  63. Dutt, S.; Kalra, A. A Scalable and Robust Framework for Intelligent Real-time Video Surveillance; Department of Electronics Engineering, Indian Institute of Technology (BHU): Varanasi, India, 2016. [Google Scholar]
  64. Detmold, H.; van den Hengel, A.; Dick, A.; Cichowski, A.; Hill, R.; Kocadag, E.; Falkner, K.; Munro, D.S. Topology Estimation for Thousand-Camera Surveillance Networks. In Proceedings of the First ACM/IEEE International Conference on Distributed Smart Cameras, ICDSC ‘07, Adelaide, Australia, 25–28 September 2007. [Google Scholar]
  65. Caviglioney, L.; Podolski, M.; Mazurczyk, W.; Ianigro, M. Covert Channels in Personal Cloud Storage Services: The case of Dropbox. IEEE Trans. Ind. Inform. 2016, 13, 1921–1931. [Google Scholar] [CrossRef]
  66. Stergiou, C.; Psannis, K.E. Recent advances delivered by Mobile Cloud Computing and Internet of Things for Big Data applications: A survey. Int. J. Netw. Manag. 2016, 27, e1930. [Google Scholar] [CrossRef]
  67. Hashem, I.A.T.; Yaqoob, I.; Anuar, N.B.; Mokhtar, S.; Gani, A.; Khan, S.U. The rise of ‘Big Data’ on cloud computing: Review and open research issues. Inf. Syst. 2015, 47, 98–115. [Google Scholar] [CrossRef]
  68. Pasquier, T.; Singh, J.; Eyers, D.; Bacon, J. CamFlow: Managed Data-sharing for Cloud Services. IEEE Trans. Cloud Comput. 2017, 5, 472–484. [Google Scholar] [CrossRef]
  69. Rao, B.P.; Saluia, P.; Sharma, N.; Mittal, A.; Sharma, S.V. Cloud computing for Internet of Things & sensing based applications. In Proceedings of the 2012 Sixth International Conference on Sensing Technology (ICST), West Bangal, India, 18–21 December 2012; pp. 374–380. [Google Scholar]
  70. Fang, S.; Xu, L.; Pei, H.; Liu, Y. An integrated approach to snowmelt flood forecasting in water resource management. IEEE Trans. Ind. Inform. 2014, 10, 548–558. [Google Scholar] [CrossRef]
  71. Liu, Q.; Yan, Z.; Chen, C.W. Integrating Mobile Display Energy Saving into Cloud-based Video Streaming via Rate-Distortion-Display Energy Profiling. IEEE Trans. Cloud Comput. 2017, 8, 1250–1263. [Google Scholar] [CrossRef]
  72. Balasubramanian, A.; Mahajan, R.; Venkataramani, A. Augmenting Mobile 3G Using WiFi: Measurement, System Design, and Implementation. In Proceedings of the ACM MobiSys ‘10, San Francisco, CA, USA, 15–18 June 2010. [Google Scholar]
  73. Stergiou, C.L.; Psannis, K.E. Digital Twin Intelligent System for Industrial Internet of Things-based Big Data Management and Analysis in Cloud Environments. Virtual Real. Intell. Hardw. 2022, in press. [Google Scholar] [CrossRef]
  74. Khan, M.A.; Paplinski, A.; Khan, A.M.; Murshed, M.; Buyya, R. Dynamic Virtual Machine Consolidation Algorithms for Energy-Efficient Cloud Resource Management: A Review; Sustainable Cloud and Energy Services; Springer: Cham, Switzerland, 2017; pp. 135–165. [Google Scholar] [CrossRef]
  75. Liu, Q.; Leng, J.; Yan, D.; Zhang, D.; Wei, L.; Yu, A.; Zhao, R.; Zhang, H.; Chen, X. Digital twin-based designing of the configuration, motion, control, and optimization model of a flow-type smart manufacturing system. J. Manuf. Syst. 2021, 58, 52–64. [Google Scholar] [CrossRef]
  76. Plageras, A.P.; Psannis, K.E. Digital Twins and Multi-Access Edge Computing (MEC) for Industrial IoT. Virtual Real. Intell. Hardw. 2022, 4, 521–534. [Google Scholar] [CrossRef]
Figure 1. Major related researches have been made throughout time.
Figure 1. Major related researches have been made throughout time.
Applsci 13 09165 g001
Figure 2. Architectures Comparison & Contribution [6,10,61,62,63,64].
Figure 2. Architectures Comparison & Contribution [6,10,61,62,63,64].
Applsci 13 09165 g002
Figure 3. Monitoring Network Topologies. (a) [61]. (b) [6]. (c) [62]. (d) [10]. (e) [64]. (f) [63].
Figure 3. Monitoring Network Topologies. (a) [61]. (b) [6]. (c) [62]. (d) [10]. (e) [64]. (f) [63].
Applsci 13 09165 g003
Figure 4. Comparative analysis of major components of architecture comparison and contribution [6,10,61,62,63,64].
Figure 4. Comparative analysis of major components of architecture comparison and contribution [6,10,61,62,63,64].
Applsci 13 09165 g004
Figure 5. Algorithm’s Bandwidth Comparison.
Figure 5. Algorithm’s Bandwidth Comparison.
Applsci 13 09165 g005
Figure 6. Energy Consumption Comparison (Consumption in/Time in minutes) (scenario A) [6,10,61,62,63,64].
Figure 6. Energy Consumption Comparison (Consumption in/Time in minutes) (scenario A) [6,10,61,62,63,64].
Applsci 13 09165 g006
Figure 7. Energy Consumption Comparison (Consumption in/Time in seconds) (scenario B) [6,10,61,62,63,64].
Figure 7. Energy Consumption Comparison (Consumption in/Time in seconds) (scenario B) [6,10,61,62,63,64].
Applsci 13 09165 g007
Figure 8. Energy Consumption Comparison (Consumption in/Time in seconds) (scenario C) [6,10,61,62,63,64].
Figure 8. Energy Consumption Comparison (Consumption in/Time in seconds) (scenario C) [6,10,61,62,63,64].
Applsci 13 09165 g008
Figure 9. Energy Consumption Comparison (Consumption in/Time in minutes) (scenario D) [6,10,61,62,63,64].
Figure 9. Energy Consumption Comparison (Consumption in/Time in minutes) (scenario D) [6,10,61,62,63,64].
Applsci 13 09165 g009
Figure 10. Energy Consumption Comparison (Consumption in/Time in seconds) (scenario E) [6,10,61,62,63,64].
Figure 10. Energy Consumption Comparison (Consumption in/Time in seconds) (scenario E) [6,10,61,62,63,64].
Applsci 13 09165 g010
Table 1. Mapping Problems Against Referenced Solutions.
Table 1. Mapping Problems Against Referenced Solutions.
YearAuthorProblemsSolutions
2000R. T. Collins et al. [19]
  • Research challenges of IoT technologies in Surveillance Systems.
  • Research challenges of IoT applications in Surveillance Systems.
  • Key issues related to the development of IoT technologies offer a solution.
2005C. Clavel et al. [20]
  • Audio event detection in noisy environments.
  • Abnormal audio events in consecutive audio recordings of public places.
2009W. Lao et al. [21]
  • Video Surveillance contributes to the safety of people at home.
  • Video Surveillance contributes to ease of control of home entrance.
  • Video Surveillance contribution to equipment-usage functions.
  • A flexible framework for semantic analysis of human behavior.
2010R. H. Weber [22]
  • Security challenge.
  • Privacy challenge.
  • Establish the right to information, and requirements safeguarding or restricting the use of mechanisms of the IoT.
  • Regulations on IT-security-legislation, pre-arraignments supporting the use of the IoT, and the creation of a task force with a focus on the legal challenges of the IoT.
2014B. Abreu et al. [23]
  • To extract features from the video’s raw data, video analysis algorithms take an adaptive, data-driven, and application-independent approach.
  • Monitorix is a video-based traffic surveillance multi-agent system.
2015M. T. Dlamini et al. [24]
  • Type of threats faces in the future Internet of Things.
Scenarios of:
  • How a botnet of stoves can short-circuit a power grid and future life-threatening health systems?
  • How a distributed denial of service can be used to erase competition and increase the revenues of Telcos?
2015P. Chatterjee & R. L. Amrntano [25]
  • In the context of eHealth, the Internet of Things facilitates treatment with more efficiency and comprehensive knowledge.
  • The model uses an all-encompassing Internet of Things strategy in an eHealth scenario.
2015W. Zhang et al. [26]
  • The huge payload in the surveillance system.
  • Perceptual-model-based compressed domain video watermarking scheme.
2015A. J. Lipton et al. [27]
  • Using the pixel difference between successive image frames, moving targets are recognized.
  • End-to-end method for extracting moving targets classifying, and robustly tracking them.
2015R. Petrasch & R. Hentschke [28]Internet of Things applications need:
  • An appropriate modeling language to manage the complexity of the domain.
  • An analysis and modeling method which guides the business analysis process designer.
  • Method for Internet-of-Things-aware Process Modeling using UML use cases and an existing BPMN-based notation that is IoT-aware.
2017Md. S. Mahmud et al. [29]
  • Alternative approaches consolidate WSNs into the Internet.
  • The denouements developed on the Internet are not appropriate for the resources of the narrow sensor node.
  • New mechanisms should be produced to conform to the potentialities and restrictions of WSNs.
2017Javed et al. [30]
  • Connectivity and energy-saving aspects and solutions of the IoT in the use of various wireless radio access technologies.
  • Future research directions concerning energy-saving problems of wireless networks based on the IoT
2017P. Hu et al. [31]
  • The human vital sign monitoring system comprises the measurement of body temperature & pulse rate of patients from remote locations.
  • The framework consists of four processing levels.
  • Achieved a close real-time prosecution.
2019K. E. Psannis et al. [32]
  • Integrate HEVC with other relative technologies, as a Smart Big Data, without violating the standard.
  • Proposed Scalable HEVC algorithm that outperforms the conventional HEVC standard which is demonstrated by the performance evaluations.
2020P. Chandrakar et al. [33]
  • Patients can obtain the best medical facilities and treatment from doctors via mobile phones without physically visiting the hospitals.
  • Privacy of patients and the guarantee of the reliability of the system
  • Developed cloud-based authentication protocol for e-health care monitoring system which provides a secure platform to the patients.
  • Done an informal security analysis of the proposed protocol which validates that it is defending against various kinds of security threats.
2020M. S. Hossain et al. [34]
  • Many deep learning (DL) algorithms suffer from two crucial disadvantages: 1) training requires a large COVID-19 dataset consisting of various aspects, which will pose challenges for local councils, 2) to acknowledge the outcome, the findings of deep learning require ethical acceptance and clarification by the health care sector, as well as other contributors.
  • Propose a B5G framework that utilizes the 5G network’s low-latency, high-bandwidth functionality to detect COVID-19 using chest X-ray or CT scan images, and to develop a mass surveillance system to monitor social distancing, mask-wearing, and body temperature.
2020I. S. Binti Md Isa et al. [35]
  • Development of cloud-based real-time health monitoring systems.
  • The transfer of health-related data to the cloud contributes to the burden on the networking infrastructures, leading to high latency and increased power consumption.
  • Propose a new fog computing architecture for health monitoring applications based on a Gigabit Passive Optical Network (GPON) access network.
  • The EEFC model is developed using MILP to optimize the number and location of fog devices at the network edge to process and analyze the health data for energy-efficient fog computing.
  • Examined the energy efficiency improvements under different scenarios of device idle power consumption and traffic volume.
2020N. Mani et al. [36]
  • Data integration, when it needs connections with the existing healthcare systems.
  • Cybersecurity risks, implementation of IoT technology in poorly standardized security protocols.
  • IoT and their devices need constant upgrades, poorly managed inventories either patients or resources attached to healthcare industry, overlooking supply & demand, poor quality products & services.
  • Bring the computations close to data sources from healthcare centers.
  • New computing platform may help to ease latency while transmitting and communicating signals with remote servers, which can accelerate medical services in spatial-temporal dimensions.
2021H. Elayan et al. [37]
  • Emergence of Digital and smart Healthcare.
  • Issues on Digital Twin in Healthcare: Trust, Security & Privacy, Standardization, Diversity and Multi-sourcing.
  • Digital Twin expected to change the concept of Digital Healthcare and take this field to another level that has never seen before.
  • Intelligent context-aware healthcare system using the DT framework.
  • Neural-Network-based algorithms deal better with ECG data than traditional Machine Learning algorithms.
2021D. Yang et al. [38]
  • Analysis of the published work of Digital Twin concept.
  • Major research and application areas of digital twins.
  • Analyze the recent developments of digital twins.
  • Summarize the theoretical underpinnings of the technology.
  • Conclude with specific developments in various application areas of digital twins.
2022R. Rajavel et al. [39]
  • Managing distributed smart surveillance system.
  • Remote patient and elderly people monitoring requires a robust response and alarm alerts from surveillance systems within the available bandwidth.
  • Need for fast response and fast data analytics among connected devices deployed in a real-time cloud environment.
  • Introduce the Cloud-based Object Tracking and Behavior Identification System (COTBIS) that can incorporate the edge computing capability framework at the gateway level.
  • Bring robustness and intelligence to distributed video surveillance systems by minimizing network bandwidth and response time between wireless cameras and cloud servers.
  • The proposed system reduces the network bandwidth and response time and maximizes the fall behavior prediction accuracy significantly compared to existing cloud-based video surveillance systems
2022X. Li et al. [40]
  • Make smart city change to the direction of fine governance and efficient and safe data processing.
  • Multi-source data collected in the smart city.
  • Deep learning algorithm while using Big Data Analytics, and puts forward the distributed parallelism strategy of convolutional neural network.
  • Improving the smart city’s IoT-Big Data Analytics system using the Deep Learning approach can reduce data transmission delay, improve data forecasting accuracy, and offer actual efficacy, providing experimental references for the digital development of smart cities in the future.
2022S. P. Ramu et al. [41]
  • Digital Twin still at the early stage in smart city based applications.
  • Lack of trust and privacy issues in sharing sensitive data.
  • Federated Learning is a technology that could be integrated along with Digital Twin to ensure privacy preservation and trustworthiness.
  • Integration of Federated Learning & Digital Twin for adoption in real-time and life-critical scenarios, as well as for ease of governance in smart city based applications.
2022Z. Lv et al. [42]
  • Explore the building information modeling big data processing method of digital twins of Smart City.
  • Improve the accuracy of data processing.
  • Bayesian network solves the multi-label classification.
  • Structural learning approach is adopted to learn the label Bayesian network’s structure from data.
  • Building information modeling big data processing algorithm based on Bayesian Network Structural Learning helps decision-makers use complex data in smart cities efficiently.
2022F. Alanazi et al. [43]
  • Reduce latency when transmitting and communicating signals with faraway servers, allowing medical services to be delivered more quickly in both spatial and temporal dimensions.
  • Framework for healthcare monitoring for managing real-time notification based on fog computing.
  • Cloud layer stores the big data into the cloud for future references for the hospitals & the researchers.
2022N. El Imane Zeghib et al. [44]
  • Reduce data transmission on the cloud.
  • Ensure the services’ availability when fog node failure occurred.
  • Monitoring service interruption during fog node failure.
  • Multi-route plan that aims to identify an alternative route to ensure the availability of time-critical medical services.
2023M. Thakkar et al. [45]
  • Rise of the rate of morbidity & mortality among people, especially the old, aged patients.
  • Risk of picking up infections may increase at the time of visit that patients make to the hospitals.
  • Acquiring a better comprehension and perception into the most effective and new IoT based applications such as Cloud Computing & Fog Computing & their executions in the healthcare field.
  • Edge computing could be used to significantly boost the supplies of health services at home.
Table 2. Internet of Things Contributions to Monitoring Systems.
Table 2. Internet of Things Contributions to Monitoring Systems.
Video Monitoring TypesIoT-(a)IoT-(b)IoT-(c)IoT-(d)IoT-(e)
Computer XX X
Telephones X X
Cameras XXXX
Biometric XX
Data mining and profilingX X X
RFID and geolocation devicesX XXX
Table 3. Multimedia Communication Articles with IoT-Based Proposals.
Table 3. Multimedia Communication Articles with IoT-Based Proposals.
ArchitecturesStergiou et al., 2017 [6]Plageras et al., 2016 [10]Ajiboye et al., 2015 [61]Licandro & Schembra, 2007 [62]Dutt & Kalra, 2016 [63]Detmold et al., 2007 [64]
Monitoring environmentindoor/
outdoor
indoor/
outdoor
indoor/
outdoor
indoor/
outdoor
indoor/
outdoor
indoor/
outdoor
Network topologyring, starmeshfuzedmeshstormactivity
No. of camerasmultiplemultiplemultiplemultiplemultiplemultiple
Camera Controlfixed, PTZfixed, PTZfixed, PTZfixed, PTZfixedfixed, PTZ
Video deliverymulticastmulticastmulticastunicastunicastmulticast
Video qualityHD, HEVCHD, HEVCSDMPEG-4SDMPEG
ExtensibleYesYesYesYesYesYes
Table 4. Multimedia Communication’s Contributions to the Internet of Things.
Table 4. Multimedia Communication’s Contributions to the Internet of Things.
Technical Challenges of Multimedia Communication in the IoTIoT-(a)IoT-(b)IoT-(c)IoT-(d)IoT-(e)
Protocol and Standards for multimedia communication in the IoT X XX
Multimedia content analysis and event detection in the IoT XXX
Applications of multimedia communications in the IoTX X X
Experiment measurement of multimedia communication in the IoT XX X
Communication and Cooperation through Multimedia in the IoTX X
Table 5. Multimedia applications’ contributions to the Internet of Things.
Table 5. Multimedia applications’ contributions to the Internet of Things.
Technical Challenges of Multimedia Applications in the IoTIoT-(a)IoT-(b)IoT-(c)IoT-(d)IoT-(e)
Multimedia Data Acquisition Techniques on IoT DevicesXXXXX
Multimedia security and forensics in the IoT XXX
Multimedia Processing and Storage in the IoT X X
Scalable multimedia big data management in the IoT XX X
Social multimedia interactions in the IoT XXXX
Distributed/Centralized multimedia coding in the IoT X X
Scalable and low delay source coding in the IoTX X
Table 6. MCC Features Related to the IoT (with all extensions) and Monitoring in Smart Healthcare.
Table 6. MCC Features Related to the IoT (with all extensions) and Monitoring in Smart Healthcare.
(a) Storage over the Internet(d) Energy efficiency
(b) Service over the Internet(e) Computationally capable
(c) Applications over the internet
Table 7. Contributions of Mobile Cloud Computing in the Internet of Things.
Table 7. Contributions of Mobile Cloud Computing in the Internet of Things.
Internet of Things CharacteristicsMCC-(a)MCC-(b)MCC-(c)MCC-(d)MCC-(e)
Smart solution in the bucket of transportXXX X
Smart power grids incorporating more renewableXX XX
Remote monitoring of patients XX X
Sensors in homes and airportsXXXXX
Engine monitoring sensors that detect & predict maintenance issues XXXX
Table 8. Contributions of Mobile Cloud Computing in Monitoring.
Table 8. Contributions of Mobile Cloud Computing in Monitoring.
Video Monitoring CharacteristicsMCC-(a)MCC-(b)MCC-(c)MCC-(d)MCC-(e)
ComputerX XXX
TelephonesXXXXX
CamerasXXXXX
Biometric XX X
Data mining and profilingXXX X
RFID and geolocation devices XXXX
Disclaimer/Publisher’s Note: The statements, opinions and data contained in all publications are solely those of the individual author(s) and contributor(s) and not of MDPI and/or the editor(s). MDPI and/or the editor(s) disclaim responsibility for any injury to people or property resulting from any ideas, methods, instructions or products referred to in the content.

Share and Cite

MDPI and ACS Style

Stergiou, C.L.; Koidou, M.P.; Psannis, K.E. IoT-Based Big Data Secure Transmission and Management over Cloud System: A Healthcare Digital Twin Scenario. Appl. Sci. 2023, 13, 9165. https://doi.org/10.3390/app13169165

AMA Style

Stergiou CL, Koidou MP, Psannis KE. IoT-Based Big Data Secure Transmission and Management over Cloud System: A Healthcare Digital Twin Scenario. Applied Sciences. 2023; 13(16):9165. https://doi.org/10.3390/app13169165

Chicago/Turabian Style

Stergiou, Christos L., Maria P. Koidou, and Konstantinos E. Psannis. 2023. "IoT-Based Big Data Secure Transmission and Management over Cloud System: A Healthcare Digital Twin Scenario" Applied Sciences 13, no. 16: 9165. https://doi.org/10.3390/app13169165

APA Style

Stergiou, C. L., Koidou, M. P., & Psannis, K. E. (2023). IoT-Based Big Data Secure Transmission and Management over Cloud System: A Healthcare Digital Twin Scenario. Applied Sciences, 13(16), 9165. https://doi.org/10.3390/app13169165

Note that from the first issue of 2016, this journal uses article numbers instead of page numbers. See further details here.

Article Metrics

Back to TopTop