Abstract
The effects of joint geometry parameters, such as adherend thickness (1.76, 3.52 mm), joint width (10, 20, 30 mm), and overlap length (10, 20 mm), on the behavior of single-lap joints (SLJs) under tensile loading are investigated in this study. Peak force, joint stiffness, shear stress, and normal stress are the investigated properties. SLJs are manufactured with carbon fiber composite adherends and two different types of adhesives, polyurethane and epoxy, which present a flexible and rigid mechanical response. The results showed that increasing all 3 geometric parameters (L, W, T) leads to a significant increase in the load capacity of polyurethane joints (on average, 88.4, 101.5, and 16.9%, respectively). For epoxy joints, these increases were 47.7, 100, and 46%, respectively. According to these results, W is the parameter with the most influence on the load capacity of the joints. However, it was observed that an increase in joint width has no significant effect on adhesive shear and a substrate’s normal stresses. Epoxy SLJs behave approximately elastically until failure, while polyurethane SLJ load-displacement curves include an initial linear elastic part followed by a more ductile behavior before the failure. Joint stiffness is affected by all the parameters for both adhesive types, except for overlap length, which led to a negligible effect on epoxy joints. Moreover, the damage surfaces for both types of joints are analyzed and the internal stresses (shear and peel) are assessed by using the analytical model of Bigwood and Crocombe.
1. Introduction
Lightweight materials have been widely adopted in the transportation industry, resulting in lower fuel consumption and, as a result, lower vehicle emissions, which are increasingly controlled by governments [1]. An adopted strategy, used in the aerospace and automotive industries, is the use of composite materials and adhesive joining to reduce structural weight while maintaining mechanical performance. In this scenario, traditional joining techniques (e.g., bolts and screws) are rarely employed, since they can significantly modify the mechanical performance of these materials due to induced discontinuity. On the other hand, adhesives offer a better stress distribution in joints without requiring composite perforation [2,3,4,5]. In this sense, both polyurethane-based adhesives and epoxy-based adhesives have found use in a variety of sectors including the automobile industry. Polyurethane adhesives are well known for their damping ability, capacity to withstand larger deformations, and ability to attach components with comparatively wider clearances [6,7,8,9,10]. Epoxy adhesives are also widely used for structural applications because of their ability to efficiently transfer loads and join dissimilar materials, as well as their enhanced fatigue properties, and possession of high resistance against impact [11,12,13,14,15].
SLJs are the most extensively studied adhesively bonded joints [16,17,18,19]. The benefit of single-lap adhesive joints lies in their ability to offer improved structural performance, weight reduction, corrosion resistance, design flexibility, and enhanced aesthetics in a wide range of industrial applications. Their mechanical behavior, performance, and failure mechanisms have been the subject of numerous research studies and industrial applications. For instance, studies have focused on the mechanical performance and failure analysis of SLJs bonded with normal or smart epoxy adhesive [20,21,22]. Although there are international standards that define the geometry and testing conditions for various materials [23], different geometries and boundary conditions are used to take into account the effective working condition of the adhesive joints. These parameters include substrate materials, adhesive type [24], overlap length [25], adhesive thickness [26,27], joint width [18], fillets at the edges [28,29,30], and surface treatment [31,32], and play roles in a joint which are difficult to predict.
The most investigated parameters in SLJs are the joint length and adhesive thickness. In general, it has been established that increasing the overlap length and adhesive thickness causes the joint’s ultimate load to increase and decrease, respectively [31,33,34,35]. Cui et al. [31] found out that in SLJs with aluminum alloy substrates, larger adhesive thickness decreased the joint strength, except for an overlap length of 20mm, with which the strength increased, at first, and then decreased. Moreover, increasing overlap length increased the joint strength up to a limited value. Cui et al. introduced a parameter named ẟ (C/(L/2)) to discuss this result. C is the minimum length residual of adhesive on one adherend and L is the joint overlap length. They showed that when the overlap length was short (ẟ close to 1), the peak load could be increased by increasing the overlap length. Adams and Peppiatt [36] linked the reduction in joint strength, caused by increased adhesive thickness, to the existence of more microcracks and voids in a thicker adhesive. Alternative studies [13,31], on the other hand, linked this decrease to a larger bending moment as a result of the eccentric loads inherent in the SLJ testing arrangement.
The width of the SLJ and adherend thickness, on the other hand, have received less attention in the literature. The results of Kadioglu et al. [35] on the effects of adherend thickness showed that thicker adherends enhance the load capacity of joints under bending loads. According to Aydin et al. [17], thicker adherends in SLJs with metallic substrates caused a greater transfer of shear stress from the edges to the middle of the joint. Additionally, the failure surface was more cohesively pronounced in joints with thicker adherends. Reis et al. [37] studied the effect of substrate stiffness on the performance of adhesively bonded joints. They illustrated that adhesive joints manufactured with stiffer adherends reduce specimen rotation while subjected to tensile loading and thereby increase joint strength. Gultekin et al. [18] conducted a study on the effect of width on SLJ behavior. They demonstrated that raising the metallic adherend width increased a joint’s ability to support more load. The load capacity of the joint increased more by increasing the adherend thickness rather than the overlap length. Martinez et al. [38] came to the same conclusions.
In the literature, the number of works that extensively studied the effects of bonding area geometry on SLJs with composite substrates are limited [26,28,39], especially in relation to adherend thickness and width. In this study, the mechanical behavior of carbon fiber composite SLJs bonded with both polyurethane and epoxy adhesives is investigated. To the best of the author’s knowledge, there is no comparative study in the literature reporting the effect of the bonding area on the mechanical properties of adhesive joints made with CFRP and a rigid and flexible adhesive. A large campaign of tests was performed to assess how effective bonding geometry, including length (L), bond width (W), and substrate thickness (T), is on the quasistatic performance of SLJs. Moreover, the differences between the behavior of epoxy and polyurethane SLJ are discussed. Finally, the failure surfaces are discussed.
2. Elastic Analysis of the Adhesives
D.A. Bigwood and A.D. Crocombe [40] developed a general elastic model which can analyze the internal stresses of adhesives in adhesively bonded joints. This approach considers every joint as an adherend–adhesive sandwich with different combinations of loading (tensile shear, moment) applied at the ends of the overlap (Figure 1). This analytical model was built by considering the following assumptions: the longitudinal direct stress in the adhesive is negligible compared to the adherend stress; the adherends are in a condition of plane stress in the x-z plane, which is analyzed as flat plates under bending; normal stresses through the thickness (σy) are neglected; and a plane strain in the x-y plane is assumed, as proposed by Goland and Reissner [41].
Figure 1.
The general adherend–adhesive sandwich considered by Bigwood–Crocombe [40].
Bigwood and Crocombe obtained two coupled differential equations of third- and fourth-order, respectively, in shear (τxy) and transverse (σy) stresses. By further manipulation and variable separation, they succeeded in deriving two uncoupled seventh- and sixth-order differential equations as follows:
where k5 = (k1 k3 − k2 k4) and k1, …, k4 are coefficients which can be calculated based on the mechanical and geometrical properties of both adhesive and substrates. Furthermore, the general form solution of these two equations is as follows:
where m1, n1, and n2 are argument multipliers and C1, …, C7, and D1, …, D7 are the equation constants. The procedure to obtain these parameters is provided in detail in [40].
3. Materials and Specimen Manufacturing
3.1. Materials
3.1.1. Bulk Adhesive and Tensile Test
The adhesives used in this research were ADEKIT A 236/H 6236, a polyurethane-based adhesive, and SIKAPOWER-1277, an epoxy-based adhesive. These adhesives are produced by Sika (CH) company. According to the Technical Data Sheet, ADEKIT A 236/H 6236 can be employed in a wide range of applications and industries including transportation, marine, automotive, and aerospace. Moreover, it is compatible with different materials, such as composites, especially for bonding large parts, metals, and plywood. SIKAPOWER-1277 is designed for high strength and impact-resistant bonding of metallic substrates, such as steel and aluminum, as well as of composite substrates, such as GFRP and CFRP laminates. Dogbone specimens (Figure 2a) of these two adhesives were manufactured and tested, according to the standard ISO 527-3:2018 [42], using a Teflon die (Figure 2b). The polyurethane dogbone specimens were post-cured in a curing oven at 70 °C for 16 h to respect the material datasheet provided by the producer company. Finally, the tensile tests were carried out by means of a Zwick/Roell (Z050) machine equipped with a laser extensometer. The tensile tests were performed at a constant crosshead velocity of 5 mm/min.
Figure 2.
(a) Adhesive bulk specimens; (b) dogbone Teflon mold.
3.1.2. Substrates
Substrates, on the other hand, were produced from a carbon fiber/epoxy prepreg woven with the commercial name XPREG XC130. The mechanical properties of this composite material are reported in the work of Ciampaglia et al. [43] and Benelli et al. [9]. They were experimentally assessed and are reported in Table 1.
Table 1.
Mechanical properties of the carbon fiber composite material [9,43].
3.2. SLJ Specimen Manufacturing and Testing Activity
Single-lap joints were manufactured and performed to observe the effects of overlap length (L1 = 10 mm, L2 = 20 mm), adherend thickness (T1 = 1.76 mm, T2 = 3.52 mm), and joint width (W1 = 10 mm, W2 = 20 mm, W3 = 30 mm). Figure 3 is a representative image of the single-lap joints sizes adopted in this work and details the width, overlap length, and substrate thicknesses adopted for both polyurethane and epoxy adhesive joints. The specimens are also named based on these three parameters. For example, E-L1W2T3 refers to the epoxy adhesive (E) specimen with the overlap length L1, joint width W2, and adherend thickness T3. P-L1W2T3 refers to the polyurethane adhesive (P) specimen with the same dimensions. In the design of the SLJs, the thickness of the adhesives was considered tPA = 1.1 ± 0.1 mm for polyurethane adhesive, and tEA = 0.33 ± 0.05 mm for epoxy adhesive. Additionally, the length between the beginning of the bonding area and the end of the SLJ was considered to be a fixed length of 85 mm from each side of the specimen. Three repetitions were tested for each combination. Thus, a total of 72 specimens were manufactured for each adhesive. All the adopted configurations are summarized in Table 2.
Figure 3.
SLJ geometry [44].
Table 2.
SLJ design of experiments.
The consolidated thickness of each carbon fiber prepreg was 0.44 mm. Therefore, to obtain the desired adherend thicknesses, laminates were produced with a different number of layers (4, 8 layers). Then, they were vacuumed by using the vacuum bag technique. According to the producer, a temperature ramp with different rates, starting from 20 °C and rising 120 °C, was set to the oven to cure the laminate. The duration of the total process of curing in the oven was 7.5 h.
Afterwards, laminates were cut by using a waterjet to manufacture the SLJs with the planned dimensions. The strength of the adhesive joints can be highly affected using surface preparation [45]. Therefore, the bonding area was treated using sandpaper (P500) and then cleaned with acetone as suggested by the producer. Finally, using a Teflon mold, the joints were aligned and manufactured. This procedure is shown in Figure 4. To possess good control of the thickness throughout the overlap length, a weight was applied on the upper substrate from the beginning or middle of the substrate (not jointed area) up to the end of the joint area (bonded area) and by inserting a spacer that allows for obtaining the designed thickness. The specimens with epoxy adhesive were ready to be tested after the remaining 24 h at room temperature (23 °C). However, after preparing the joints with the polyurethane adhesive, they were kept at room temperature (23 °C) for the first 24 h and then put in the oven at 70 °C for 16 h. When the curing process was finished, the excess adhesives were removed as they may increase joint stiffness and strength.
Figure 4.
Manufacturing of specimens: (a) vacuuming the prepregs; (b) plates of composites with different thicknesses; (c) SLJs’ alignment in the fixture; (d) manufactured SLJs.
Tests were performed using an Instron (US) 8801 servo-hydraulic machine at a crosshead velocity of 5 mm/min. Additionally, 2 tabs of 25 mm were applied in the clamping area, as shown in Figure 3, to prevent misalignment. Strength of each joint was computed by using the ratio between the maximum load and the bonding area (overlap length multiplied by the width). The actual dimensions of the joints were measured after the preparation of the samples.
4. Result and Discussion
4.1. Tensile Tests on Dogbone Specimens
At least five dogbone (Figure 5) specimens were tested for each adhesive. The stress–strain curves of the proper specimens are shown in Figure 6. The polyurethane adhesive demonstrates a bilinear behavior; i.e., after the primary elastic part, the material behaves linearly again, with a smaller slope, up to the point of fracture. On the other hand, epoxy adhesive demonstrates an elastic–perfectly plastic behavior; i.e., it reaches a plateau after the first elastic part. The mechanical properties extracted from this figure are provided in Table 3.
Figure 5.
Adhesive dogbone failure surfaces: (a) polyurethane (ADEKIT A 236/H 6236); (b) epoxy (SIKAPOWER-1277).
Figure 6.
Adhesives tensile tests: (a) polyurethane (ADEKIT A 236/H 6236); (b) Epoxy (SIKAPOWER-1277).
Table 3.
Mechanical properties of adhesives.
4.2. SLJ Force-Displacement and Joint Stiffness
Three samples of each configuration reported in Table 2 were tested, and the results for each adhesive are described its related section. In general, each configuration presents good repeatability for both polyurethane and epoxy SLJs. The general shape of the force-displacement curves shows that the polyurethane adhesive joints tend to have a short elastic part followed by a more ductile behavior before failure. On the other hand, the epoxy adhesive joints exhibit a linear behavior up to the point of failure. With an increase in the substrate thickness, both joints demonstrated a more ductile behavior before rupture.
4.2.1. Polyurethane
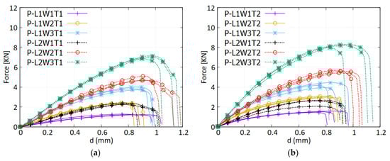
Figure 7a,b show all the load-displacement curves of the experimental plan. Figure 7a,b illustrate that, generally, the displacement at maximum load does not change considerably as the substrate thickness is increased. However, increasing the overlap length resulted in a small increase in displacement at maximum load for both T1 and T2. Furthermore, considering L1 overlap for the two different chosen thicknesses, the width had no significant influence on the ultimate displacement. On the other hand, the ultimate displacement presented little variation by examining the L2 overlap. Particularly, in SLJs produced with larger widths, the displacement rose by 5%.
Figure 7.
Load-displacement curves of polyurethane SLJs including their repetitions: (a) T1; (b) T2.
Figure 8a,b show a summary of the results and the influence of L, W, and T on the peak force and joint stiffnesses (the slope of the initial linear part of the load-displacement curve) of SLJs prepared with polyurethane adhesive. These results illustrate that the three factors have a significant effect on peak force and joint stiffness. Peak force and joint stiffness increase as the bonding area increases. The behaviors are almost identical for joints with the same bonding area (L1W2T1 and L2W1T1, L1W2T2 and L2W1T2) at a given substrate thickness. The only difference is that the joints with a larger width present a slightly higher stiffness. L1W1T1 has the lowest peak force and stiffness, whereas L2W3T2 presents the highest values. Figure 7a,b and Figure 8a,b display that L and W have a greater effect on the load capacity of the joints than T. However, W has more effect on joint stiffness than L and T.
Figure 8.
Peak force and joint stiffness of polyurethane SLJs: (a) T1; (b) T2.
The reported values show that by increasing the joint width in SLJ prepared with T2, the peak forces increased by 101% and 181%, respectively, for L1W2T2 and L1W3T2 compared to L1W1T2. When compared to L2W1T2, these increases were 112 and 210% for L2W2T2 and L2W3T2, respectively. Moreover, by keeping the joint width and substrate thickness constant, the peak force rose by 76, 86, and 95%, respectively, when comparing L2W1T2 to L1W1T2, L2W2T2 to L1W2T2, and L2W3T2 to L2W3T2. Finally, the peak force rose 27% when comparing L1W2T2 to L1W2T1, whereas it increased 16% when comparing L2W2T2 to L2W2T1.
A similar comparison was carried out for joint stiffness. The results show that for L1W2T2 and L1W3T2 (constant thickness), respectively, an increase in joint width increased the stiffness by 93% and 162% when compared to L1W1T2. The increases were 73 and 161% for L2W2T2 and L2W3T2, respectively, when comparing the values to L2W1T2. The increase in the stiffness when keeping the joint width and substrate thickness constant were 60, 43, and 59%, respectively, when comparing L2W1T2 to L1W1T2, L2W2T2 to L1W2T2, and L2W3T2 to L2W3T2. Finally, the stiffness rose by 57% when comparing L1W2T2 to L1W2T1 and by 35% when comparing L2W2T2 to L2W2T1. The summary of these results is provided in Table 4. These data are the average of all amounts for an assumed 100% increase in each considered parameter (L, W, and T). In addition to the effect of L, W, and T on peak force and joint stiffness, the effect of these parameters on other properties (shear stress in adhesive and normal stress in substrates, for both types of adhesives) are provided in Table 4.
Table 4.
The average effect of each parameter on the mechanical properties of SLJ joints.
4.2.2. Epoxy
In general, Figure 9a,b illustrate that by increasing the thickness of the substrates and joint width, the displacement at maximum load did not change significantly, whereas increasing the overlap length led to a rise of 15% and 10% in the displacement at maximum load for specimens T1 and T2, respectively.
Figure 9.
Load-displacement curves of epoxy SLJs, including their repetitions: (a) T1; (b) T2.
Based on the results shown in Figure 10a,b, similarly to polyurethane SLJs, all three parameters (L, W, and T) are significantly influential on the peak force of epoxy joints: the larger the bonding area, the greater the peak force. The joint width and substrate thickness are more influential for joint stiffness. Contrarily, the overlap length has a negligible effect on joint stiffness. At a fixed substrate thickness, in joints with the same bonding area (L1W2T1 and L2W1T1, L1W2T2 and L2W1T2), the peak load and stiffness are greater for the joints with larger widths. Similarly to polyurethane joints, L1W1T1 presents the minimum peak force and stiffness, while the maximum values are demonstrated with the joint configuration L2W3T2. Figure 9a,b and Figure 10a,b show that L and W influence the load capacity more than T. However, the effect of W on joint stiffness is greater than the effects of L and T.
Figure 10.
Peak force and joint stiffness of epoxy SLJs: (a) T1; (b) T2.
In particular, in the specimens with the substrate thickness T2, the peak force increased by 105% and 195%, respectively, for L1W2T2 and L1W3T2 compared to L1W1T2. The increases were 89% and 183%, respectively, for L2W2T2 and L2W3T2 when compared to L2W1T2. On the other hand, by fixing both joint width and substrate thickness, the peak force increased by 46, 35, and 40% when comparing L2W1T2 to L1W1T2, L2W2T2 to L1W2T2 and L2W3T2 to L2W3T2, respectively. Finally, comparing L1W2T2 to L1W2T1, the peak force increase was 51% while, comparing L2W2T2 to L2W2T1, the peak force increased by 36%.
The same comparison for joint stiffness was carried out. The results showed that by increasing the joint width, the stiffness increased by 92% and 156%, respectively, for L1W2T2 and L1W3T2 compared to L1W1T2. The increases were 77 and 141%, respectively, for L2W2T2 and L2W3T2 when compared to L2W1T2. When considering both joint width and substrate thickness as fixed, comparing L2W1T2 to L1W1T2, L2W2T2 to L1W2T2, and L2W3T2 to L2W3T2, the stiffness increased by 16, 7, and 9%, respectively. Finally, comparing L1W2T2 to L1W2T1, the stiffness increased 67% while, comparing L2W2T2 to L2W2T1, the stiffness increased 66%. The results, based on the average values, are summarized in Table 4.
4.3. Adhesive Shear and Substrate Normal Stresses
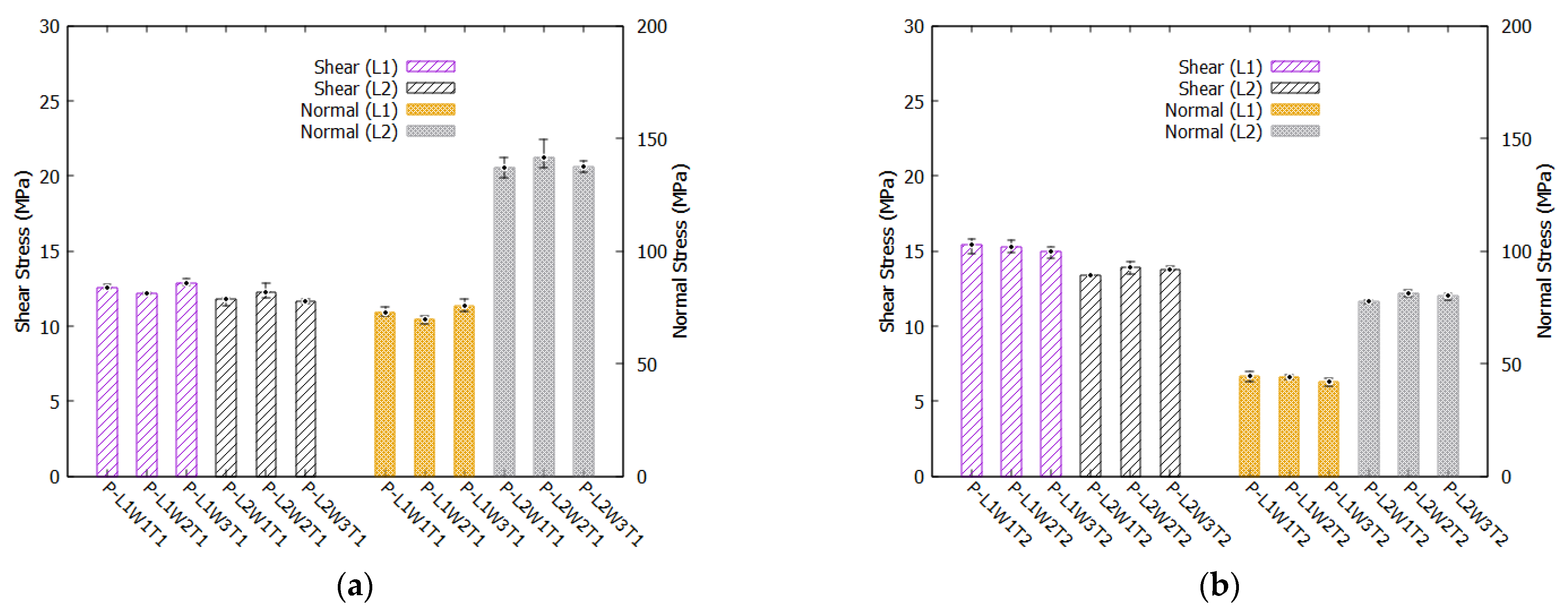
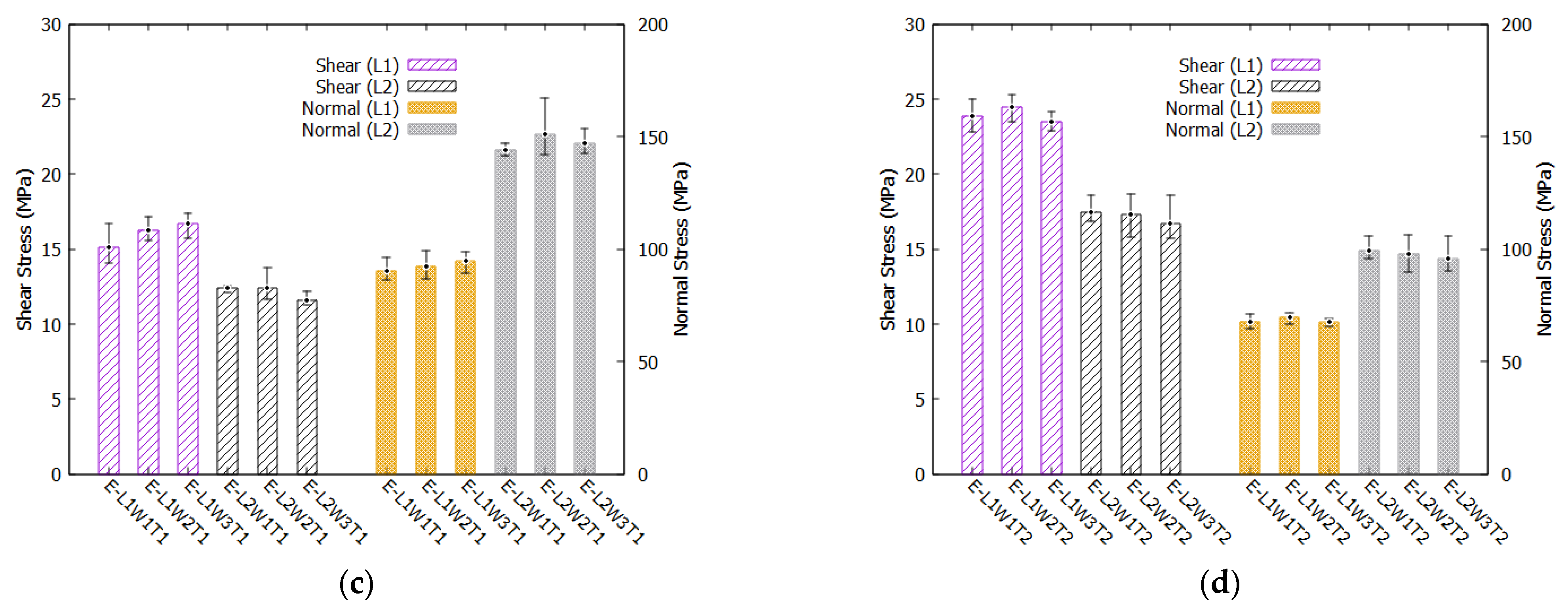
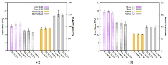
Figure 11a–c and d show the average values of the shear stresses and normal stresses for all the investigated configurations. The shear stress is the force over the bonding area while the normal stress is the force over the cross-sectional area of the substrate thickness. These values were investigated to understand whether there is an influence, related to strength, of substrate size on the mechanical response of the joints. Figure 11a–d illustrate that by changing the width of the joint, shear stress (force/bonding area) tends to remain approximately constant for every overlap length. Therefore, the percentages will be based on the average values related to all three widths. At fixed substrate thickness, by increasing the overlap length from L1 to L2, a decrease in shear stress was observed. For the substrates with thickness T1, this reduction was 4% and 26%, respectively, for polyurethane and epoxy joints. For substrates with thickness T2, the reduction was 10 and 28%, respectively, for polyurethane and epoxy joints. This is a consequence of the increase in peel stress at the edges of the joint, which becomes larger when the overlap length is increased. Furthermore, increasing the substrate thickness increases the shear stress. To illustrate this statistically, for polyurethane joints, increasing the substrate thickness from T1 to T2 resulted in an increase in sheer stress of 21% and 14%, respectively, for L1 and L2. This increase, in epoxy joints, was 45 and 41%, respectively, for L1 and L2. When the thickness of the composite substrate increases, its stiffness increases as well. Therefore, it will be less susceptible to being bent, and the joint demonstrates a higher shear load. T is the most influencing parameter, followed by L, while W has negligible effects on shear stress. By analyzing the shear stress values, it was understood that the behavior of epoxy adhesive joints was more influenced by joint dimensions; i.e., increasing the overlap length and substrate thickness resulted in greater changes in shear stress for epoxy adhesive joints compared to polyurethane adhesive joints. This could be due to the higher Young’s modulus and the stiffness of the epoxy adhesive in comparison with the polyurethane adhesive.

Figure 11.
Shear stress in the adhesive and normal stress in the substrates for all the specimens: (a) Polyurethane T1; (b) Polyurethane T2; (c) Epoxy T1; (d) Epoxy T2.
Figure 11 shows that, like shear stress, the normal stress in the substrate (force/substrate cross-sectional area) remains approximately constant for every overlap length when the joint width is changed. This is valid for both polyurethane and epoxy joints. When the width increases, the cross-sectional area of the substrate also changes. Having approximately constant normal stress in joints with different widths means that the load capacity of the joints changes approximately at the same rate as the width changes. Therefore, the ratio of force over the cross-sectional area remains unchanged. Contrary to shear stress, by increasing the overlap length, the normal stress increases. In terms of polyurethane joints, at fixed substrate thickness, increasing the overlap length from L1 to L2 increased the normal stress by 120%, and 91%, respectively, for T1 and T2. For epoxy joints, these increases were 59% and 43%, respectively, for T1 and T2. By increasing the joint length, only the bonding area increased, which resulted in increasing the load capacity, while the cross-sectional area was the same. Thus, the normal stress increased. Again, in contrast with shear stress, at the same width and overlap length, substrates with lesser thickness undergo larger normal stress. In polyurethane joints, by increasing the substrate thickness from T1 to T2, the normal stress is reduced by 19% and 30%, respectively, for L1 and L2. Similarly, in epoxy joints, this reduction is 26% and 34%, respectively, for L1 and L2. Based on the results, L is the most influential parameter, T is an influential parameter, and W is not an influential parameter on normal stress in the substrates of a composite SLJ. Table 4 shows a summary of the effect of all parameters on the mechanical behavior of the joints based on the average values.
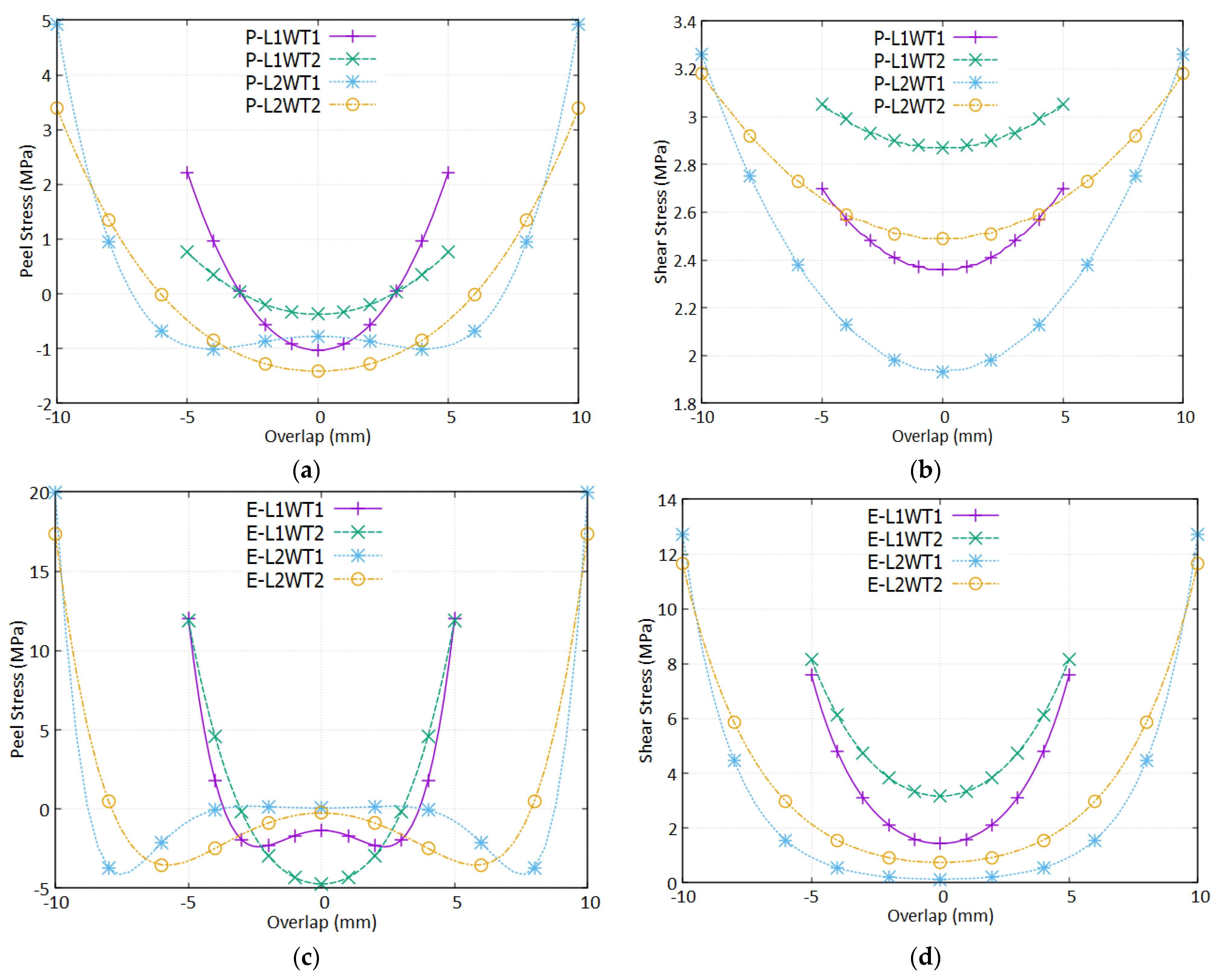
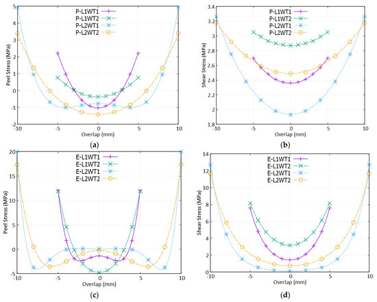
4.4. Internal Adhesive Stress Analysis
Using the Bigwood–Crocombe model, the shear and peel stresses for different joints were obtained; these are provided in Figure 12. This model can predict the stresses in the elastic zone. For this reason, the curves are evaluated at 20% of the peak load for each sample where both substrates and adhesive are in the elastic range. The input forces in this 2D model are provided as force/width. As expected, considering a fixed overlap length and substrate thickness, the difference in this division (20% of peak load/width) for different widths was negligibly small. This means that the effect of width is not significant for the shear and peel stresses at a proportional 20% of peak load by considering the different configurations. Therefore, the average values for three different widths were considered for this analysis, and this is the reason why the legend of Figure 12 reports the normalized value of W.
Figure 12.
Adhesive internal stresses: (a) polyurethane peel stress; (b) polyurethane shear stress; (c) epoxy peel stress; (d) epoxy shear stress.
Based on this model, Figure 12a,b show that for polyurethane joints, by increasing the substrate thickness, the maximum peel stress reduces, while by increasing the overlap length, the maximum peel stress increases. It can be seen that for both the overlap lengths, the joint with a thicker substrate has a smoother and less curvy peel stress distribution. This could be due to the larger stiffness of the thicker substrate, which prevents bending of the substrate. Another point to be mentioned is that by increasing the substrate thickness, the max shear stress increases and its distribution becomes smoother.
For epoxy adhesive joints (Figure 12c,d), it can be seen that both maximum shear and maximum peel increased with an increase in the overlap length. Moreover, by increasing the substrate thickness, maximum peel stress reduced slightly in larger overlap lengths and remained approximately unchanged in smaller overlap lengths. Simultaneously, when increasing the substrate thickness, max shear stress increased for both overlap lengths.
The following results can be summarized for both polyurethane and epoxy adhesive joints by comparing the obtained curve: a decrease in shear stress and an increase in peel stress can be observed by increasing the overlap length. Furthermore, increasing the substrate thickness results in an increase in shear stress and a decrease in peel stress. The results related to the shear stress are consistent with the experimental results mentioned in Section 4.3. A decrease in peel stress induces the adhesive joint to work more in shear stress.
Another point to be mentioned is that the peel stress at the edges has a positive value, while it is negative, or tends to be zero, in the middle of the joint. This effect is more obvious in joints with a greater length. For example, in Figure 12c, specimen E_L1WT2 demonstrates a nearly parabolic behavior with tension at the edges and compression in the middle. For larger overlap lengths and thinner substrates (E_L2WT1), the maximum compression occurs approximately symmetrically at points between the two edges and the middle of the joint. At the same time, the amount of compression in the middle of the joint shows a tendency to decrease and reach an almost peel stress-free state. One possible reason for this phenomenon is the flexibility of the substrate. As the thickness decreases and the length increases, the curvatures and rotations in the substrates caused by the bending moment can occur closer to the edges. As the Young’s modulus and ultimate stress of the epoxy adhesive is larger than the polyurethane adhesive, the substrates in epoxy joints undergo more bending, and this fact can be easily seen in the peel stress diagrams.
Finally, it is worth noting, as mentioned in [40], that this analytical model has some limitations, especially at peak values, and the results obtained in this section could be useful for a preliminary design stage. For a more precise analysis, 3D finite element methods could be more reliable.
4.5. Failure Surfaces
The failure surfaces were visually inspected after the tests, and different types of damages, including adhesive, cohesive, thin layer cohesive, and mixed mode, were observed (Figure 13). Moreover, it was observed that, as a general behavior, when the thickness of the substrates increases, the failure tends to show more cohesive behavior, although a thin layer of adhesive is always present on one of the substrates. This might be due to the thickness of the substrate, which increases its stiffness such that the adhesive experiences greater shear load.
Figure 13.
Failure surfaces of the specimens after the test.
5. Conclusions
This paper aims to observe the effect of different joint geometry parameters (adherend thickness, joint width, overlap length) on the mechanical behavior of composite SLJs, with both epoxy and polyurethanes adhesives, subjected to tensile load. The following conclusions were drawn:
- Polyurethane SLJ demonstrated an elastic-plastic behavior before the rupture, while epoxy SLJs showed an approximately linear elastic behavior up to the point of rupture.
- The peak load and joint stiffness in epoxy SLJs were larger (on average, 18 and 40%, respectively) than in the same joint with polyurethane adhesive. However, the displacement at maximum load in polyurethane SLJs was approximately 100% greater in comparison with the same epoxy SLJs.
- In polyurethane SLJs, an increase in all three geometric parameters (T, W, L) increases both joint stiffness and peak load. The joint width and length showed a more significant impact.
- L, W, and T are more significantly influential on the peak force in epoxy SLJs. W is more influential than L and L is more influential than T on the load capacity of the joints. On the other hand, W and T are of greater importance for joint stiffness. However, the overlap length has a negligible effect on joint stiffness. Moreover, at each substrate thickness, joints with the same W showed approximately equal stiffness.
- According to these results, T is the most effective (positive) parameter, followed by L (which is (negatively) affective), and W has negligible effects on shear stress. The shear stress of epoxy SLJs is more prone to change by changing the joint dimensions in comparison with polyurethane SLJs.
- L is the most influential parameter, T is an influential parameter, and W is not an influential parameter on normal stress in the substrates of a composite SLJ.
- Keeping the thickness of the substrates constant, an increase in overlap length resulted in a reduction in shear stress and an increase in normal stress. In addition, for all the geometrical configurations, increasing the adherend thickness increases the shear stress and decreases the normal stress.
- According to the Bigwood–Crocombe model, based on the average values at 20% peak load, for both adhesives, increasing the overlap length leads to a decrease in shear stress and an increase in peel stress. Furthermore, increasing the substrate thickness results in an increase in shear stress and a decrease in peel stress.
- As the Young’s modulus and ultimate stress of the epoxy adhesive is larger than that of the polyurethane adhesive, the substrates in epoxy joints undergo more bending, and this fact can be easily seen in the peel stress diagrams.
Author Contributions
Conceptualization, R.C. and L.G.; Methodology, L.G.; Software, M.A.; Validation, R.C.; Investigation, M.A. and R.C.; Data curation, R.C.; Writing—original draft, M.A.; Writing—review & editing, R.C.; Supervision, R.C. and L.G.; Funding acquisition, L.G. All authors have read and agreed to the published version of the manuscript.
Funding
The research work was carried out in a PhD program partially funded with a scholarship by J-Tech@PoliTO-Advanced Joining Technologies.
Acknowledgments
The authors would like to thank Andrea Bergamelli and Lorenzo Stilo from Sika Italia S.p.a. for their availability in supporting this research and for providing the adhesives.
Conflicts of Interest
The authors declare no conflict of interest.
References
- Ciardiello, R.; Boursier Niutta, C.; Di Sciullo, F.; Goglio, L. Single-Lap Joints of Similar and Dissimilar Adherends Bonded with a Polyurethane Adhesive Used in the Automotive Industry. IOP Conf. Ser. Mater. Sci. Eng. 2021, 1038, 012031. [Google Scholar] [CrossRef]
- Chang, B.; Shi, Y.; Dong, S. Comparative Studies on Stresses in Weld-Bonded, Spot-Welded and Adhesive-Bonded Joints. J. Mater. Process. Technol. 1999, 87, 230–236. [Google Scholar] [CrossRef]
- Banea, M.D.; da Silva, L.F.M. Adhesively Bonded Joints in Composite Materials: An Overview. Proc. Inst. Mech. Eng. Part L J. Mater. Des. Appl. 2009, 223, 1–18. [Google Scholar] [CrossRef]
- Kim, K.-S.; Yi, Y.-M.; Cho, G.-R.; Kim, C.-G. Failure Prediction and Strength Improvement of Uni-Directional Composite Single Lap Bonded Joints. Compos. Struct. 2008, 82, 513–520. [Google Scholar] [CrossRef]
- Giannopoulos, I.K.; Doroni-Dawes, D.; Kourousis, K.I.; Yasaee, M. Effects of Bolt Torque Tightening on the Strength and Fatigue Life of Airframe FRP Laminate Bolted Joints. Compos. B Eng. 2017, 125, 19–26. [Google Scholar] [CrossRef]
- Yi, J.; Boyce, M.C.; Lee, G.F.; Balizer, E. Large Deformation Rate-Dependent Stress–Strain Behavior of Polyurea and Polyurethanes. Polymer 2006, 47, 319–329. [Google Scholar] [CrossRef]
- Berntsen, J.F.; Morin, D.; Clausen, A.H.; Langseth, M. Experimental Investigation and Numerical Modelling of the Mechanical Response of a Semi-Structural Polyurethane Adhesive. Int. J. Adhes. Adhes. 2019, 95, 102395. [Google Scholar] [CrossRef]
- Banea, M.D.; da Silva, L.F.M.; Campilho, R.D.S.G. The Effect of Adhesive Thickness on the Mechanical Behavior of a Structural Polyurethane Adhesive. J. Adhes. 2015, 91, 331–346. [Google Scholar] [CrossRef]
- Benelli, A.; Ciardiello, R.; Boursier Niutta, C.; Goglio, L. Experimental and Numerical Characterization of Adhesive Joints with Composite Substrates by Means of the Arcan Test. Int. J. Adhes. Adhes. 2023, 122, 103321. [Google Scholar] [CrossRef]
- Baysal, G.; Aydın, H.; Hoşgören, H.; Uzan, S.; Karaer, H. Improvement of Synthesis and Dielectric Properties of Polyurethane/Mt-QASs+ (Novel Synthesis). J. Polym. Environ. 2016, 24, 139–147. [Google Scholar] [CrossRef]
- Kinloch, A.J. Toughening Epoxy Adhesives to Meet Today’s Challenges. MRS Bull. 2003, 28, 445–448. [Google Scholar] [CrossRef]
- Beber, V.C.; Schneider, B.; Brede, M. Influence of Temperature on the Fatigue Behaviour of a Toughened Epoxy Adhesive. J. Adhes. 2016, 92, 778–794. [Google Scholar] [CrossRef]
- Grant, L.D.R.; Adams, R.D.; da Silva, L.F.M. Experimental and Numerical Analysis of Single-Lap Joints for the Automotive Industry. Int. J. Adhes. Adhes. 2009, 29, 405–413. [Google Scholar] [CrossRef]
- Abbasi, M.; Alavi Nia, A. High-Velocity Impact Behavior of Sandwich Structures with AL Faces and Foam Cores—Experimental and Numerical Study. Aerosp. Sci. Technol. 2020, 105, 106039. [Google Scholar] [CrossRef]
- Abbasi, M.; Alavi Nia, A.; Abolfathi, M. Experimental Study on the High-Velocity Impact Behavior of Sandwich Structures with an Emphasis on the Layering Effects of Foam Core. J. Sandw. Struct. Mater. 2021, 23, 3–22. [Google Scholar] [CrossRef]
- Özel, A.; Aydin, M.; Temiż, Ş. The Effects of Overlap Length and Adherend Thickness on the Strength of Adhesively Bonded Joints Subjected to Bending Moment. J. Adhes. Sci. Technol. 2004, 18, 313–325. [Google Scholar] [CrossRef]
- Aydin, M.D.; Özel, A.; Temiz, Ş. The Effect of Adherend Thickness on the Failure of Adhesively-Bonded Single-Lap Joints. J. Adhes. Sci. Technol. 2005, 19, 705–718. [Google Scholar] [CrossRef]
- Gültekin, K.; Akpinar, S.; Özel, A. The Effect of the Adherend Width on the Strength of Adhesively Bonded Single-Lap Joint: Experimental and Numerical Analysis. Compos. B Eng. 2014, 60, 736–745. [Google Scholar] [CrossRef]
- Sahin, R.; Akpinar, S. The Effects of Adherend Thickness on the Fatigue Strength of Adhesively Bonded Single-Lap Joints. Int. J. Adhes. Adhes. 2021, 107, 102845. [Google Scholar] [CrossRef]
- Abdi, E.; Khabaz-Aghdam, A.; Hasan-nezhad, H.; Behjat, B.; Marques, E.; Yang, Y.; da Silva, L. The Effect of Graphene and Graphene Oxide on Defective Single Lap Adhesively Bonded Joints. J. Compos. Mater. 2022, 56, 2665–2675. [Google Scholar] [CrossRef]
- Ghabezi, P.; Farahani, M. Effects of Nanoparticles on Nanocomposites Mode I and II Fracture: A Critical Review. In Progress in Adhesion and Adhesives; John Wiley & Sons, Inc.: Hoboken, NJ, USA, 2018; pp. 391–411. [Google Scholar]
- Ghabezi, P.; Farahani, M. A Cohesive Model with a Multi-Stage Softening Behavior to Predict Fracture in Nano Composite Joints. Eng. Fract. Mech. 2019, 219, 106611. [Google Scholar] [CrossRef]
- ASTM D5868-01(2023); Standard Test Method for Lap Shear Adhesion for Fiber Reinforced Plastic (FRP) Bonding1. ASTM International: West Conshohocken, PA, USA, 2023. [CrossRef]
- Budhe, S.; Banea, M.D.; de Barros, S.; da Silva, L.F.M. An Updated Review of Adhesively Bonded Joints in Composite Materials. Int. J. Adhes. Adhes. 2017, 72, 30–42. [Google Scholar] [CrossRef]
- Reis, P.N.B.; Antunes, F.J.V.; Ferreira, J.A.M. Influence of Superposition Length on Mechanical Resistance of Single-Lap Adhesive Joints. Compos. Struct. 2005, 67, 125–133. [Google Scholar] [CrossRef]
- Fernández-Cañadas, L.M.; Ivañez, I.; Sanchez-Saez, S.; Barbero, E.J. Effect of Adhesive Thickness and Overlap on the Behavior of Composite Single-Lap Joints. Mech. Adv. Mater. Struct. 2021, 28, 1111–1120. [Google Scholar] [CrossRef]
- Baykara, C. Effects of Single-Lap Joint at Different Adhesive Thicknesses on Fatigue Strength of Metals with Different Surface Coatings. Proc. Inst. Mech. Eng. Part C J. Mech. Eng. Sci. 2023, 095440622311529. [Google Scholar] [CrossRef]
- Moya-Sanz, E.M.; Ivañez, I.; Garcia-Castillo, S.K. Effect of the Geometry in the Strength of Single-Lap Adhesive Joints of Composite Laminates under Uniaxial Tensile Load. Int. J. Adhes. Adhes. 2017, 72, 23–29. [Google Scholar] [CrossRef]
- Li, S.; Liu, W.; Sun, W.; Hou, S. Effects of Adherend Notching on the Bonding Performance of Composite Single-Lap Joints. Eng. Fract. Mech. 2023, 281, 109141. [Google Scholar] [CrossRef]
- Djebbar, N.; Boutabout, B.; Boulenouar Rachid, H.; Oudad, W. Effect of Spew Adhesive and Beveling Substrate Geometrical Shape on Stresses in a Bonded Single Lap Joint. Eng. Struct. 2022, 256, 114049. [Google Scholar] [CrossRef]
- Cui, J.; Wang, S.; Wang, S.; Chen, S.; Li, G. Strength and Failure Analysis of Adhesive Single-Lap Joints under Shear Loading: Effects of Surface Morphologies and Overlap Zone Parameters. J. Manuf. Process. 2020, 56, 238–247. [Google Scholar] [CrossRef]
- Ciardiello, R.; D’Angelo, D.; Cagna, L.; Croce, A.; Paolino, D.S. Effects of Plasma Treatments of Polypropylene Adhesive Joints Used in the Automotive Industry. Proc. Inst. Mech. Eng. C J. Mech. Eng. Sci. 2022, 236, 6204–6218. [Google Scholar] [CrossRef]
- Da Silva, L.F.M.; Carbas, R.J.C.; Critchlow, G.W.; Figueiredo, M.A.V.; Brown, K. Effect of Material, Geometry, Surface Treatment and Environment on the Shear Strength of Single Lap Joints. Int. J. Adhes. Adhes. 2009, 29, 621–632. [Google Scholar] [CrossRef]
- Xu, W.; Wei, Y. Strength and Interface Failure Mechanism of Adhesive Joints. Int. J. Adhes. Adhes. 2012, 34, 80–92. [Google Scholar] [CrossRef]
- Kadioglu, F.; Avil, E.; Ercan, M.E.; Aydogan, T. Effects of Different Overlap Lengths and Composite Adherend Thicknesses on the Performance of Adhesively-Bonded Joints under Tensile and Bending Loadings. IOP Conf. Ser. Mater. Sci. Eng. 2018, 369, 012034. [Google Scholar] [CrossRef]
- Adams, R.D.; Peppiatt, N.A. Stress Analysis of Adhesive-Bonded Lap Joints. J. Strain Anal. 1974, 9, 185–196. [Google Scholar] [CrossRef]
- Reis, P.N.B.; Ferreira, J.A.M.; Antunes, F. Effect of Adherend’s Rigidity on the Shear Strength of Single Lap Adhesive Joints. Int. J. Adhes. Adhes. 2011, 31, 193–201. [Google Scholar] [CrossRef]
- Martínez, M.A.; de Armentia, S.L.; Abenojar, J. Influence of Sample Dimensions on Single Lap Joints: Effect of Interactions between Parameters. J. Adhes. 2020, 97, 1358–1369. [Google Scholar] [CrossRef]
- Ciardiello, R.; Boursier Niutta, C.; Goglio, L. Adhesive Thickness and Ageing Effects on the Mechanical Behaviour of Similar and Dissimilar Single Lap Joints Used in the Automotive Industry. Processes 2023, 11, 433. [Google Scholar] [CrossRef]
- Bigwood, D.A.; Crocombe, A.D. Elastic Analysis and Engineering Design Formulae for Bonded Joints. Int. J. Adhes. Adhes. 1989, 9, 229–242. [Google Scholar] [CrossRef]
- Goland, M.; Reissner, E. The Stresses in Cemented Joints. J. Appl. Mech. 1944, 11, A17–A27. [Google Scholar] [CrossRef]
- ISO 527-3:2018; BSI Standards Publication Plastics-Determination of Tensile Properties. British Standard: London, UK, 2018; ISBN 9780580927485.
- Ciampaglia, A.; Fiumarella, D.; Boursier Niutta, C.; Ciardiello, R.; Belingardi, G. Impact Response of an Origami-Shaped Composite Crash Box: Experimental Analysis and Numerical Optimization. Compos. Struct. 2021, 256, 113093. [Google Scholar] [CrossRef]
- Abbasi, M.; Ciardiello, R.; Goglio, L. Effect of Bonding Area Geometry on the Behavior of Composite Single Lap Joints (SLJ) and Estimation of Adhesive Properties Using Finite Element Method. J. Adhes. 2023. submitted. [Google Scholar]
- Kim, J.G.; Choi, I.; Lee, D.G.; Seo, I.S. Flame and Silane Treatments for Improving the Adhesive Bonding Characteristics of Aramid/Epoxy Composites. Compos. Struct. 2011, 93, 2696–2705. [Google Scholar] [CrossRef]
Disclaimer/Publisher’s Note: The statements, opinions and data contained in all publications are solely those of the individual author(s) and contributor(s) and not of MDPI and/or the editor(s). MDPI and/or the editor(s) disclaim responsibility for any injury to people or property resulting from any ideas, methods, instructions or products referred to in the content. |
© 2023 by the authors. Licensee MDPI, Basel, Switzerland. This article is an open access article distributed under the terms and conditions of the Creative Commons Attribution (CC BY) license (https://creativecommons.org/licenses/by/4.0/).













