Abstract
Microbial communities are known to play a principal role in petroleum degradation. This study tries to determine the composition of bacteria in selected crude oil-contaminated soil from Tabasco and Tamaulipas states, Mexico. We determined the microbial populations living under these conditions. We evaluated the structure and diversity of bacterial communities in the contaminated soil samples. The most abundant phylum is proteobacteria. Next Generation Sequencing (NGS) analysis of the sampled soils from both states revealed that this phylum has the most relative abundance among the identified bacteria phyla. The heatmap represented the relative percentage of each genus within each sample and clustered the four samples into two groups. Moreover, this allowed us to identify many genera in alkaline soil from Tamaulipas, such as Skermanella sp., Azospirillum sp. and Unclassified species from the Rhodospirillaceae family in higher abundance. Meanwhile, in acidic soil from Tabasco, we identified Thalassospira, Unclassified members of the Sphingomonadaceae family and Unclassified members of the Alphaproteobacteria class with higher abundance. Alpha diversity analysis showed a low diversity (Shannon and Simpson index); Chao observed species in both Regions. These results suggest that the bacteria identified in these genera may possess the ability to degrade petroleum, and further studies in the future should elucidate their role in petroleum degradation.
1. Introduction
Soils contaminated with petroleum have received attention in recent times, especially due to the financial and technical implications that are associated with decontaminating soil polluted with petroleum [1,2,3,4]. Soil is usually the last destination of both organic and inorganic contaminants, and, as such, it has remained one of the major recipients of oil spills and other petroleum products [5]. Petroleum, as a hydrocarbon, is a mixture of saturated hydrocarbons, aromatic compounds, asphaltenes, and resins. Petroleum contamination of the soil often comes from activities such as oil exploitation, smelting, oil transportation, etc. [6]. Among the largest producers of petroleum worldwide are the United States, Canada, Brazil, and Mexico. Mexico produced a total of 19,303.34 thousand barrels in 2021 [7]. In Mexico, the largest production of crude petroleum takes place in two regions which are the Burgos Basin in Tamaulipas and the Tabasco coast. In the Burgos Basin, the production of crude petroleum was estimated to be around 11.230495 thousand barrels per day in 2021, while the production of petroleum in the Tabasco coast was estimated to be around 3404.62852 thousand barrels per day in 2021. Owing to the high volume of crude oil being extracted in these regions, the spill of oil into the surrounding soil environment is inevitable. This implies that there will be a need for decontaminating such soil with the oil spills.
The decontamination of petroleum pollution has been linked to several techniques or methods that may be chemical-based or biological. The biological method for the decontamination of oil polluted soil has been described as a cheaper and more effective means of bioremediating oil-contaminated soil [8,9]. The biological method for the remediation of crude oil-contaminated soil can involve the use of microbes or plants [10,11,12,13]. This biological oil decontamination technique is also known as bioremediation. Bioremediation is a biotechnological technique that makes use of microorganisms for the cleaning of crude oil-contaminated soil [3,4,5,14,15,16,17]. Today, this technique employs “omics” approaches to identify the culturable and unculturable bacterial and fungal composition involved in degradation processes and restoration of soil [9,18,19]. Many studies have identified and characterized microorganisms that can actively degrade low-molecular-weight polycyclic aromatic hydrocarbons (PAHs) [20,21].
Microbial decontamination of crude contaminated soil is one of the most studied methods for the remediation of crude oil-contaminated soil [22,23,24]. The use of microbes for the decontamination of soil depends on several factors, one of which is the amount of indigenous population of microbes in such an environment [9,21,25,26,27,28].
Microbial populations in the soil depend on the physicochemical characteristics of the soil, such as pH, moisture, organic C, and nutrient content. These soil characteristics are often influenced by different environmental parameters such as climate, land use, management, and season [29]. The diversity of the microbial community in the soil is thus related to the function and structure of the ecosystem [30]. However, the populations may vary considerably in different ecosystems even under the same climatic conditions; this variation could be due to changes in biotic and abiotic factors in the ecosystem. Because of this, the bacterial population in the soil in an ecosystem is sometimes used as an indicator of soil quality [25,31]. In addition to the use of microbes, bioremediation of soils contaminated with petroleum hydrocarbons (PHCs) can also be achieved by taking advantage of the interaction of plants with microorganisms [15,32,33]. Thus, a combination of phytoremediation and microbial remediation can be adopted for the effective decontamination of petroleum-contaminated soil. Rhizoremediation has been used to reduce total petroleum hydrocarbons (TPHs) [34]. One study used species of wild plants for the rhizoremediation of soil contaminated with aliphatic hydrocarbon [35]. This study showed that wild plants are good agents for the rhizoremediation of aliphatic hydrocarbon-contaminated soil.
Some studies have shown how enhanced landfarming can be used to bioremediate soil polluted by lubricants and diesel [16].
The biopile technique has also been used for the remediation of oil-contaminated soils [26,36]. Similarly, a strain of Pseudomonas aeruginosa recovered from forest soil was reported to be a good agent for the biodegradation of diesel [27]. Generally, cultural techniques and 16S rRNA can be used for the isolation and identification of potential hydrocarbon-degrading bacteria from soil samples [2]. Such bacteria can then be used for the bioremediation of petroleum-polluted sites [37].
The adoption of omics techniques has helped in the identification of potentially useful microbes for the decontamination of oil polluted environments. Metagenomic analysis of a hydrocarbon-degrading bacterial consortium showed that the bacterial consortium was able to ensure the biodegradation of hydrocarbon by 70%, indicating the potential of the consortium for environmental remediation [15]. This implies that metagenomics evaluation can lead to the identification of microorganisms in hydrocarbon-contaminated soil that can be used as a consortium for bioremediation purposes. Some metagenomic diversity studies based on the sequencing of the 16S rRNA gene have identified diverse bacteria that could be involved in the degradation of hydrocarbon. For instance, Garrido-Sanz et al. (2019) identified strains such as Pseudomonas, Aquabacterium, Chryseobacterium, and Sphingomonadaceae as the dominant genera in a 16S-rRNA based metagenomic analysis of a diesel oil-polluted-soil in a rhizoremediation assay [34].
The advent of next-generation sequencing (NGS) techniques has influenced many studies, revealing the efficiency of using NGS for the quantification, identification, and analysis of the microbial population in soil [30,38,39]. Next-generation sequencing-based techniques have been employed in bio-stimulation assays to determine the most dominant bacterial phyla in contaminated soil using Illumina sequencing technology. The outcome of this study identified proteobacteria, Firmicutes, and Bacteroidetes phyla as the most abundant species in the studied soil [40]. In another study using the 16S rRNA gene-based Illumina MiSeq sequencing, proteobacteria (49.11%) and actinobacteria (24.24%) were reported as the most dominant phyla, and the main genera were Pseudoxanthomonas, Luteimonas, Alkanindiges, Acinetobacter and agromyces in oil-contaminated soil [28].
Previous analyses of soil using next-generation sequencing techniques have shown that next-generation sequencing is an important tool in understanding the diversity and functional roles of microbes in their environment [41,42,43]. We believe a next-generation-based analysis of crude oil-contaminated soil from Tabasco and Tamaulipas can reveal the diversity and functional role of the microbes in these environments. There is still a paucity of information on the abundance of the microbial population of the oil-contaminated soils of Mexico. We conducted a study to characterize the structure and diversity of bacterial communities in contaminated soil samples collected from the Tamaulipas and Tabasco regions in Mexico.
2. Materials and Methods
2.1. Research Design
In this study, we analyzed bacterial composition in soil contaminated with crude oil from two regions in Mexico. Figure 1 shows the general steps taken to identify the microbial communities at both sites.
Figure 1.
Methodology.
- Step 1.
- The sampling collection was from soil contaminated in two regions of Mexico, Burgos and Tabasco.
- Step 2.
- The physicochemical analysis determined the principal properties of soil.
- Step 3.
- Sequencing was carried out using the ion Torrent Platform and subsequently trimming and cleaning the sequencing with low quality.
- Step 4.
- Data analysis was carried out with the QIMME software version 1.9, a next-genration platform. Alpha diversity, OTUS and beta diversity were computed. Finally, a heatmap was generated using R software version 3.3.3 and SRA sequences were uploaded at NCBI.
2.2. Sampling Site
Sampling was carried out in the Mexican regions of Tabasco and Tamaulipas. Contaminated soil samples were recovered from the Tres Bocas town (location of 3a.), Huimanguillo Municipality, Tabasco (17°55′18.9″ N, 93°50′48.6″ W) and were classified as Acrisol (AC) and from Cuenca Burgos, Tamaulipas (26°00′51″ N, 98°29′45″ O) and was classified as Kastanozem based on the World Reference Base (WRB). Each region (Burgos and Tabasco) constitutes a zone. There were two zones selected. Six spots were randomly sampled for each region; Burgos (SB. R1 and SB. R2 replicates) and Tabasco (ST.R1 and ST.R2). Different soil samples were collected in triplicates, according to Galazka et al. (2021), and the soil samples were combined to form a composite sample for each region, giving rise to four composite samples, as shown earlier [44]. The texture was determined by using the method of Bouyocos, and the pH was measured in a water solution (1:2) [45] using three replicates for each composite sample (Figure 2). A t-test was performed to compare the difference between the physiochemical properties of the soil from Burgos and Tabasco at p < 0.05. The hydrocarbon content of the soil was not analyzed as the focus of the study is to determine the bacteria diversity in oil-contaminated soil.
Figure 2.
Soil samples preparation for DNA extraction.
2.3. DNA Extraction from Contaminated Soil Samples and Construction of the V2–V3-16S rDNA Libraries
Prior to the extraction of the genomic DNA, the soil samples were cleaned to remove excess petroleum compounds. The soil was cleaned by placing the samples in the oven to allow the oil to evaporate. This was followed by tissue absorption of the oily components of the soil to prevent the oil in the soil from inhibiting DNA extraction from the soil sample. Then, the DNA was extracted from 1 g of the soil with the Power Soil DNA Isolation Kit (MOBIO, Carlsbad, CA, USA) according to the manufacturer’s instructions (Figure 2). The quantity of purified DNA was measured using a NanoDrop 2000 Spectrophotometer (Thermo Scientific, Waltham, MA, USA). Nested PCR was performed using the pair of primers 27F (GAGAGTTTGATCCTGGCTCAG) and 1495R (CTACGGCTACCTTGTTACGA) to amplify the 16S rRNA gene from the extracted community DNA [45,46]. The PCR conditions were as follows: 5 min 95 °C; 35 cycles of 60 s at 95 °C, 60 s at 60 °C and 90 s at 72 °C, followed by 10 min at 72 °C [47]. Then, these PCR products were used as a template for amplifying the V2–V3 region (252 bp) of the 16S rRNA fragment of the bacterial genome. The PCR conditions were 5 min at 95 °C, 25 cycles of 30 s at 95 °C, 30 s at 60 °C and 45 s at 72 °C, followed by 10 min at 72 °C [48]. The sequences for the forward primer and reverse primer are shown in Table 1.
Table 1.
Sequences of primers.
The 252 bp fragments were purified from the gel with the Wizard® SV Gel and PCR Clean-Up System (Promega®, Rome, Italy) and were used for library construction. The concentration of the DNA used for each library was quantified with the Qubit® 2.0 Fluorometer, according to the instructions of the manufacturer (Invitrogen, Waltham, MA, USA). The amplicons were purified with the Agencourt AMPure XP (Beckman coulter®, Brea, CA, USA) system; then emulsion PCR was carried out with the Ion OneTouch™ 200 Template v2 DL (Life Technologies®, Carlsbad, CA, USA) using 60 pM per each library. Libraries were sequenced at the Ion Torrent PGM (Life Technologies). Template enrichment with Ion Sphere Particles (ISPs) was employed on the Ion OneTouch™ 2 system. The sequencing was carried out on the Ion Torrent PGMTM platform (Life Technologies).
2.4. Microbial Community Structure Analysis
Firstly, raw reads were filtered using the Ion Torrent PGM software Torrent Suite v4.0.2. Then, these reads were trimmed to remove tags and primers. The trimmed reads were quality filtered with Trimmomatic (quality score > 20, read length = 150–200 bp), according to Vital-López et al. (2017) [45]. The obtained sequences were then analyzed on QIIME version 1.9 [49]. Open reference operational taxonomic units were determined at 97% similarity using the USEARCH algorithm [50]. Finally, sequence alignments were completed using the Green genes core set [51,52].
2.5. Diversity Computation and Bioinformatic Analysis
We computed alpha diversity to estimate the observed species (operational taxonomic units = OTUs), and species richness was determined with the Chao1 estimator and species diversity with Shannon and Simpson. Alpha diversity was plotted with R software. A heatmap was generated using the R software for the top 20 bacteria relatives at the genus level, considering their abundance in the contaminated soil samples. The associated dendrograms were generated with the Unweighted Pair Group Method with the Arithmetic Mean (UPGMA), with a clustering threshold of 0.75 in all samples. The beta diversity analysis was calculated using UniFrac analysis according to Murugesan et al. (2015) [53]. The sequences datasets obtained were uploaded to the NCBI server (National Center for Biotechnology Information, https://www.ncbi.nlm.nih.gov/, accessed on 18 January 2022). Sequence Read Archive (SRA) submission was processed as Bioproject: PRJNA798056, BioSamples: SAMN25045560, SAMN25045941, SAMN25045951 and SAMN25045953, SRA: SRR17658723, SRR17658722, SRR17658721 and SRR17658720.
3. Results
3.1. Physicochemical Properties
The mean pH of soil from Tabasco, in southeastern Mexico, was mildly acidic, but the soil from Burgos was alkaline. The Student t-test for Independent Samples was performed, and the mean difference was statistically significant in the percentage of sand, silt, and clay, with pH values p < 0.05 (Table 2).
Table 2.
Chemical properties of contaminated soil.
3.2. Microbial Community Structure Analysis
3.2.1. Sequencing Analysis
From the four contaminated soil samples, we obtained a total of 179,888 sequences. The reads obtained ranged from 7503 to 103,671 sequences per sample (see Table 3).
Table 3.
Sequences obtained and trimmed out of the samples.
To analyze the bacterial diversity in the contaminated soil samples, cleaned reads were analyzed. The open reference operational taxonomic units (OTUs) were determined at 97% similarity using the USEARCH algorithm and sequence alignments with the green genes core set (Figure 3).
Figure 3.
Overview of the workflows used in this study on QIIME for 16S rRNA amplicons analysis.
3.2.2. Relative Abundance
Figure 4a and Table 4 show bacterial composition at the phylum level. It gives a reflection of bacteria distribution in the Burgos (SB.R1 and SB.R2) and Tabasco (ST.R1 and ST.R2) soil samples. We identified a total of 17 phyla from all samples. The identification of the phyla revealed, Proteobacteria as the dominant phyla, followed by Actinobacteria, Firmicutes and Cyanobacteria.
Figure 4.
Bacterial composition with major abundance in contaminated soil samples (replicates of soil from Burgos = SB.R1 and SB.R2, replicates of soil from Tabasco = ST.R1 and ST.R2). (a) Phyla (b) families.
Table 4.
Relative abundance.
The percentage abundance for each phylum in the individual composite soils were: Proteobacteria (SB.R1 = 93%, SB.R2 = 85.3%, ST.R1 = 93.9%, ST.R2 = 89.5%) followed by Actinobacteria (SB.R1 = 3.2%, SB.R2 = 5.8%, ST.R1 = 3.5%, ST.R2 = 2.9%), Firmicutes (SB.R1 = 0.8%, SB.R2 = 2.7%, ST.R1 = 1.6%, ST.R2 = 3.6%) and Cyanobacteria (SB.R1 = 1.9%, SB.R2 = 3.0%, ST.R1 = 0.5%, ST.R2 = 0.6%), see Table 4.
Figure 4b shows the 172 families found in all soil samples. The family Rhodospirillaceae was the most abundant in soil samples from Burgos, Tamaulipas (SB.R1 = 64.2%, SB.R2 = 43.8%, ST.R1 = 5.3%, ST.R2 = 6.6%) and is represented in red. In the soil samples from Tabasco, the most prominent families included Sphingomonadaceae (SB.R1 = 6.0%, SB.R2 = 6.8%, ST.R1 = 32.3%, ST.R2 = 24.3%), Kiloniellaceae (SB.R1 = 0.015%, SB.R2 = 0.03%, ST.R1 = 28.3%, ST.R2 = 22.3%) and unclassified bacteria from the class Alphaproteobacteria (SB.R1 = 0.5%, SB.R2 = 0.7%, ST.R1 = 9.6%, ST.R2 = 11.0%).
Figure 4b shows that eight families had relative abundance values that ranged from 2.0 to 7.0% in all soil samples. The families included Acetobacteraceae, Bradyrhizobiaceae, unclassified derived from Sphingomonadales, unclassified derived from the order Rhizobiales, Microbacteriaceae, Phyllobacteriaceae and Oxalobacteraceae shared the same percentage abundance. The percentages for each family were: Acetobacteraceae (SB.R1 = 5.9%, SB.R2 = 7.0%, ST.R1 = 0.1%, ST.R2 = 0.4%), Rhodobacteraceae (SB.R1 = 5.3%, SB.R2 = 5.8%, ST.R1 = 3.3%, ST.R2 = 4.6%), Bradyrhizobiaceae (SB.R1 = 5.2%, SB.R2 = 6.5%, ST.R1 = 0.1%, ST.R2 = 0.04%), Unclassified derived from Sphingomonadales order (SB.R1 = 0.04%, SB.R2 = 0.1%, ST.R1 = 5.2%, ST.R2 = 3.9%), Unclassified derived from the order Rhizobiales (SB.R1 = 2.5%, SB.R2 = 3.1%, ST.R1 = 2.8%, ST.R2 = 4.7%), Microbacteriaceae (SB.R1 = 0.1%, SB.R2 = 0.2%, ST.R1 = 2.0%, ST.R2 = 1.6%), Phyllobacteriaceae (SB.R1 = 0.1%, SB.R2 = 0.1%, ST.R1 = 1.8%, ST.R2 = 2.6%) and Oxalobacteraceae (SB.R1 = 0.4%, SB.R2 = 3.6%, ST.R1 = 0%, ST = 0.004%).
The plotted heatmap represents the relative percentage of each bacterial genera within each sample as clustered in four samples to form two main clades or groups (Figure 5). We used the plotted heatmap to compare the similarity patterns between the samples for each region. Therefore, the heatmap shows the highest degree of similarity among samples of the same region. The bioinformatics analysis at the genus level showed that the sequencing reads could be assigned to 408 taxons, of which 20 were common in both soil samples. In Figure 5, the red color scale indicates a major percentage (highest abundance) and yellow a minor percentage (lowest abundance) of the identified phyla. Some genera in the Tabasco soils clearly differed from those in the Burgos region; for example, the color of Azospirillum was red in Burgos samples in comparison with yellow in Tabasco samples. In soil samples from Burgos (Tamaulipas) Skermanella (SB.R1 = 35.0%, SB.R2 = 22.8%, ST.R1 = 0.3%, ST.R2 = 0.5%), Azospirillum (SB.R1 = 15.9%, SB.R2 = 10.4%, ST.R1 = 0.3%, ST.R2 = 0.3%) and Unclassified genus derived from Rhodospirillaceae(SB.R1 = 10.8%, SB.R2 = 9.2%, ST.R1 = 3.9%, ST.R2 = 4.6%), were the main genera. On the other hand, in soil samples from Tabasco, the predominant genera were Thalassospira (SB.R1 = 0.02%, SB.R2 = 0.04%, ST.R1 = 28.3%, ST.R2 = 22.3%), unclassified genus derived from Sphingomonadaceae family (SB.R1 = 5.1%, SB.R2 = 5.8%, ST.R1 = 19.7%, ST.R2 = 14.6%) and Unclassified genus derived from Alphaproteobacteria(SB.R1 = 0.5%, SB.R2 = 0.7%, ST.R1 = 9.6%, ST.R2 = 11%).
Figure 5.
Heatmap showing the most abundant OTUs and hierarchical clustering of bacterial relative abundance. (replicates of soil from Burgos = SB.R1 and SB.R2, replicates of soil from Tabasco = ST.R1 and ST.R2).
3.2.3. Alpha Diversity Analysis
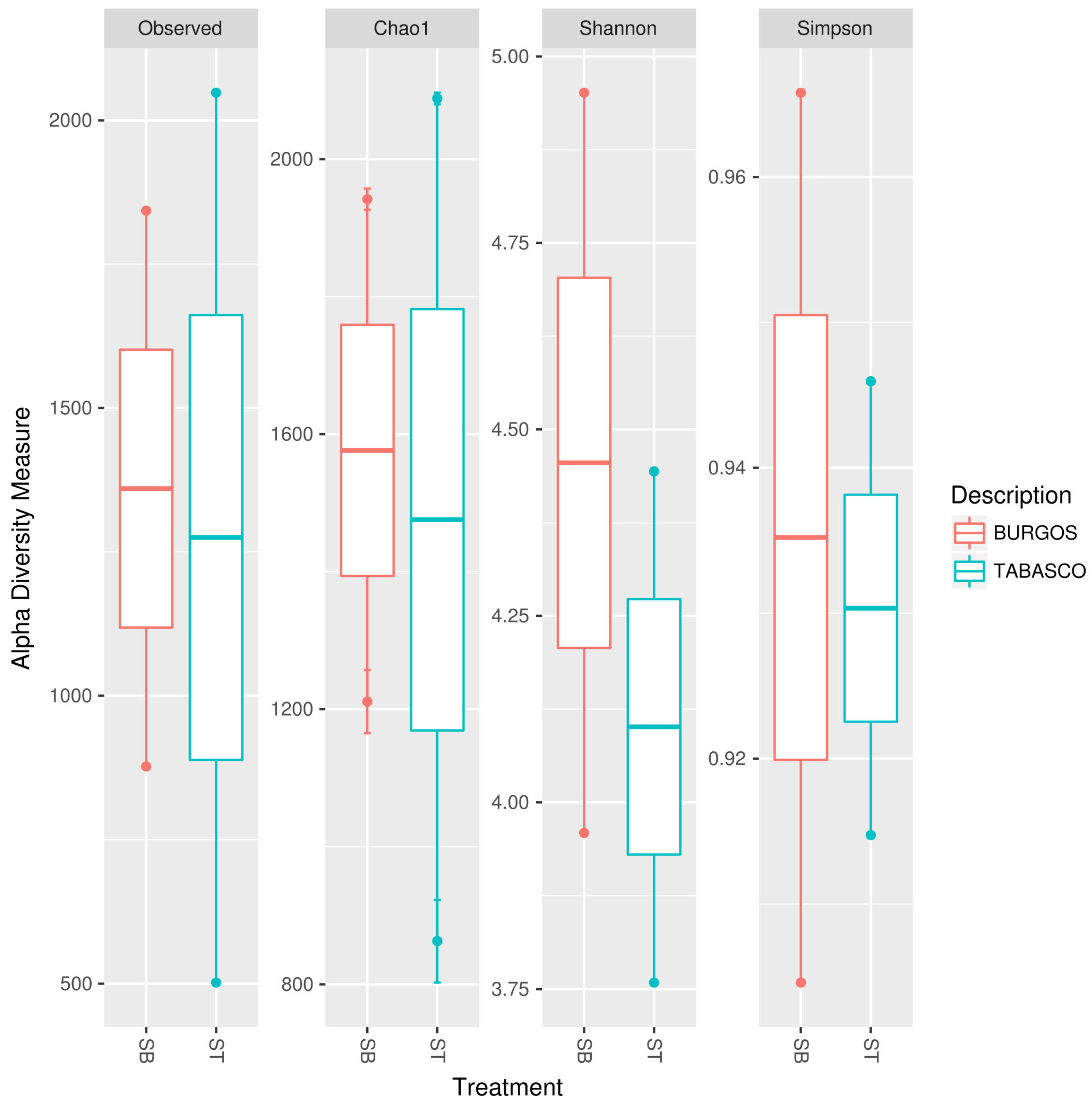
The total number of species observed was 877 for SB.R1, 1843 for SB.R2, 502 for ST.R1 and 2048 for ST.R2, respectively (Figure 6). The number of species found in the contaminated soils of Burgos, Tamaulipas was low compared to our previous report on the bulk soils of Tamaulipas, where the identified average was 6208 species [45]. This variation could be associated with the contamination of the Burgos soil, requiring adaptation by the bacteria living in it. The contaminated soil samples showed a number of species (Chao1 mean ± SE), SB.R1 = 1210.819 ± 45.995, SB.R2 = 1941.843 ± 15.267, ST.R1= 862.460 ± 59.884, ST.R2 = 2088.329 ± 8.440 (Figure 6). Shannon’s index showed that SB.R1 = 3.96, SB.R2 = 4.95, ST.R1 = 3.76, and ST.R2 = 4.44 had low species diversity. Simpson’s index shows values of dominance for SB.R1 = 0.9046, SB.R2 = 0.9658, ST.R1 = 0.9147 and ST.R2 = 0.9460 with a similar distribution (Figure 6).
Figure 6.
Alpha diversity: number of observed species, Shannon index, Simpson index and Chao1 for each contaminated soil sample (ST = soil from Tabasco, SB = Soil from Burgos).
3.2.4. Beta Diversity Analysis
The Beta diversity was calculated in soil samples from the Tabasco and Burgos regions. Figure 7a shows the Unweighted UniFrac analyses, which calculated the distances between samples obtained from the Tabasco and Burgos samples. The results were produced using principal coordinates analysis (PCoA). Figure 7b shows the hierarchical clustering tree of samples based on the UniFrac metric. The bacterial communities from each region are grouped in a separate branch of the tree. Beta diversity was measured using Bray Curtis distance matrix significance which employs an ordination method PERMANOVA to compare the groups, and the results showed that there are two main groups (Burgos and Tabasco soils) with a p-value of =0.332. Therefore, no statistically significant differences were observed between the groups (Table 5).
Figure 7.
Calculation of the beta diversity (a) Jackknifed principal coordinate’s analysis (PCoA) biplot of beta diversity based on Unweighted UniFrac distances matrixes determined for each contaminated soil sample. (b) UPGMA cluster tree based on the Unweighted Unifrac distance.
Table 5.
Bray Curtis distance matrix significance using the PERMANOVA method.
4. Discussion
It is known that soil pH is a primary factor driving the bacterial operational taxonomic unit abundance and soil bacterial alpha diversity rather than soil nutrients. It is responsible for shaping bacterial communities in agricultural soils, including their ecological functions and biogeographic distribution [54]. Soil fertility depends on physical, chemical and biological soil attributes [55].
In one study, Burgos soils were induced to decompose hydrocarbons impregnated in drill cuttings and were able to initiate the bioremediation of the hydrocarbon in the drill cuttings [56]. The bio-stimulation of soil microorganisms with nutrients N and P, humidity and aeration increased the decomposition of hydrocarbons and fostered the bioremediation of the drill cuttings [56]. Lin et al. (2022) [57] found that the soil pH and conductivity increased during the bioremediation experiment.
We identified 17 phyla, and the main phyla found in this study were Proteobacteria, Actinobacteria, Firmicutes and Cyanobacteria. This observation is similar to the findings from previous research on the bacterial microbiome and metagenomics studies of petrochemical-contaminated soils [15,30,58,59,60]. Similarly, in a study by Kumar et al. (2018) on the microbial community of alfalfa and barley soil samples, Proteobacteria (45.9%) was found to be the most dominant phyla [61]. This observation was similar to the report of Melekhina et al. (2021), in which Proteobacteria was the most abundant phyla in their assay [62]. However, our findings were in contrast to a previous study that reported Acidobacteria, Actinobacteria, Bacteroidetes, Chloroflexi, Planctomycetes, and Proteobacteria were the dominant phyla among all oil-contaminated soils assessed by High Throughput Sequencing of 16S rRNA Genes [30]. The differences in bacterial composition as compared to the findings from this study may be associated with differences in soil physicochemical properties since the physicochemical properties of soils play a significant role in shaping the microbial communities in the soil [25,54]. We conducted a study where we determined the bacterial composition from bulk soil samples from Tamaulipas, and we found that the main phyla were Proteobacteria, Firmicutes, Acidobacteria, Actinobacteria, Gemmatimonadetes, and Bacteroidetes had the highest diversity according to the Shannon and Simpson index [45].
In addition, previous studies have shown that soil contaminated with hydrocarbon tends to have some of the families identified in this study as the most abundant family, corroborating our observations and suggesting that bacteria in these families may be associated with the degradation of hydrocarbons [59,63,64]. The identification of bacteria in the genera Azospirillum conformed with previous studies that identified Azospirillum as one of the most abundant bacteria in the soil. Azospirillum is the most studied genus of plant growth-promoting rhizobacteria [65], and they are also known to remove sulfide from swine waste biogas [66]. A previous study from our lab has also shown that Azospirillum has the potential for the degradation of hydrocarbon [67]. Another essential genus found in these soils, Skermanella sp., was reported as a pyrene degrader in a study involving an oilfield soil that used natural attenuation, bioaugmentation, and bio-stimulation approaches in the degradation of pyrene [6]. Thus, their presence in the studied soil could be associated with their roles as bio-degraders in crude oil-contaminated soil.
Lastly, the presence of the genus Thalassospira in the petroleum-contaminated soil corroborates previous studies that have reported their abundance in polluted water and soil samples [17]. When we calculated the alpha diversity, we found similar results as it has been reported that in oil-contaminated soils, the Shannon and Simpson indices computed based on operational taxonomic unit (OTU) abundance diversity indices tend to be very low [33].
The use of microorganisms for the degradation of xenobiotics is important because it is an environmentally friendly contaminant mitigation approach [68,69]. Several studies have successfully used microorganisms for the bioremediation of different heavy metal-contaminated soils, such as lead (Pb), zinc (Zn) and cadmium (Cd) [70]. Similarly, Pseudomonas aeruginosa NAPH6 recovered from contaminated seawater in Tunisia was shown to effectively degrade naphthalene and other aliphatic hydrocarbons [71]. There is a study that identified a strain of Microbacterium sp. from Burgo soil contaminated with hydrocarbon as a potential bacteria for the bioremediation of hydrocarbon-contaminated soil [72]. A comparative look at our previous study on bulk agronomic soil in Tamaulipas and the soil contaminated with petroleum from Burgos in Tamaulipas and Tabasco in this study showed that the content of the soil has an influence on the microbial population and the abundance of some particular genera in the soil contaminated with petroleum and not agronomic soil further confirmed the potential of these bacterial genera for the bioremediation of soil contaminated with petroleum. This assertion is further corroborated by the fact that many bacteria in these genera have been reported with the capacity to grow in, tolerate, and degrade hydrocarbon in lab assays and in situ assays [11,21]. Hence, the abundance of different bacteria genera in this study further corroborates the potential of bacteria in the degradation of petroleum or hydrocarbons in a contaminated environment.
5. Conclusions
In the studied soil, we identified the structure and diversity of bacterial communities in oil-contaminated soil using the next-generation sequencing platform. In both contaminated sites, the abundant soil bacteria included Rhodospirillaceae and Sphingomonadaceae as the main families, and the genera with the highest abundance were Skermanella sp., Azospirillum sp., and Thallospira sp. The presence of these genera implies that they may be associated with the degradation of petroleum, or they might possess a mechanism through which they can survive in the presence of petroleum.
In conclusion, petroleum-contaminated soil is considered a major global concern because of its impact on human health and the functioning of the ecosystem. The presence of crude oil or petroleum in the soil can alter the microbial ecology of the soil in question. This may affect the population and the diversity of the microbes in the soil. As observed in this study, the population and diversity of the bacteria identified in the crude oil-contaminated soil were lower than those reported in our previous study on agronomic bulk soil collected in northeast Tamaulipas. Finally, next-generation sequencing analysis of oil-contaminated soil can give insight into the microorganisms that could be selected for bioremediation purposes in preparation for the bioremediation of petroleum-contaminated soil. Conclusively, this study has been able to show that petroleum contamination can alter the microbial ecology of contaminated soil.
Author Contributions
R.G.-G.: Writing-Original draft. L.V.-L.: Methodology, Data Curation, Writing—review and editing. M.A.Z.-A.: Visualization. J.G.-M.: Validation and Resources. V.B.-G.: Formal Analysis. M.A.C.-H.: Investigation. J.R.-R.: Conceptualization. A.M.-H.: Supervision and project administration. All authors have read and agreed to the published version of the manuscript.
Funding
This work was financed by CONACyT 163235 INFR-2011-01.
Institutional Review Board Statement
Not applicable.
Informed Consent Statement
Not applicable.
Data Availability Statement
The sequencing data sets obtained were uploaded to the NCBI server (National Center for Biotechnology Information, https://www.ncbi.nlm.nih.gov/ (accessed on 18 January 2022)). Sequence Read Archive (SRA) submission was processed as Bioproject: PRJNA798056.
Acknowledgments
This work is in memorial to Alberto Mendoza Herrera†, who made me love science. We thank Alberto Piña-Escobedo for technical assistance in semiconductor DNA sequencing financed by CONACyT 163235 INFR-2011-01. JGM is Fellow from the Sistema Nacional de Investigadores, Mexico. Also, we thank Temidayo Oluyomi Elufisan for the writing assistance and for proofreading the article.
Conflicts of Interest
The authors declare no conflict of interest.
References
- Hoang, S.A.; Sarkar, B.; Seshadri, B.; Lamb, D.; Wijesekara, H.; Vithanage, M.; Liyanage, C.; Kolivabandara, P.A.; Rinklebe, J.; Lam, S.S.; et al. Mitigation of petroleum-hydrocarbon-contaminated hazardous soils using organic amendments: A review. J. Hazard. Mater. 2021, 416, 125702. [Google Scholar] [CrossRef] [PubMed]
- Khoshkholgh Sima, N.A.; Ebadi, A.; Reiahisamani, N.; Rasekh, B. Bio-based remediation of petroleum-contaminated saline soils: Challenges, the current state-of-the-art and future prospects. J. Environ. Manag. 2019, 250, 109476. [Google Scholar] [CrossRef] [PubMed]
- Thapa, B.; KC, A.K.; Ghimire, A. A Review on Bioremediation of Petroleum Hydrocarbon Contaminants in Soil. Kathmandu Univ. J. Sci. Eng. Technol. 2012, 8, 164–170. [Google Scholar] [CrossRef]
- Adedeji, J.A.; Tetteh, E.K.; Opoku Amankwa, M.; Asante-Sackey, D.; Ofori-Frimpong, S.; Armah, E.K.; Rathilal, S.; Mohammadi, A.H.; Chetty, M. Microbial Bioremediation and Biodegradation of Petroleum Products—A Mini Review. Appl. Sci. 2022, 12, 12212. [Google Scholar] [CrossRef]
- Song, Y.; Li, R.; Chen, G.; Yan, B.; Zhong, L.; Wang, Y.; Li, Y.; Li, J.; Zhang, Y. Bibliometric analysis of current status on bioremediation of petroleum contaminated soils during 2000–2019. Int. J. Environ. Res. Public Health. 2021, 18, 8859. [Google Scholar] [CrossRef]
- Teng, T.; Liang, J.; Wu, Z. Identification of pyrene degraders via DNA-SIP in oilfield soil during natural attenuation, bioaugmentation and biostimulation. Sci. Total Environ. 2021, 800, 149485. [Google Scholar] [CrossRef]
- Secretaría de Energía (SENER). Sistema de Información Energética. Dirección General de Planeación e Información Energéticas.Producción de Petróleo Crudo Por Región y En Activos Integrales. Available online: https://sie.energia.gob.mx/ (accessed on 1 March 2023).
- Lopez, E.S.; Elufisan, T.O.; Bustos, P.; Charles, C.P.M.; Mendoza-Herrera, A.; Guo, X. Complete Genome Report of a Hydrocarbon-Degrading Sphingobium yanoikuyae S72. Appl. Sci. 2022, 12, 6201. [Google Scholar] [CrossRef]
- Chicca, I.; Becarelli, S.; Di Gregorio, S. Microbial Involvement in the Bioremediation of Total Petroleum Hydrocarbon Polluted Soils: Challenges and Perspectives. Environments 2022, 9, 52. [Google Scholar] [CrossRef]
- Yu, Y.; Zhang, Y.; Zhao, N.; Guo, J.; Xu, W.; Ma, M.; Li, X. Remediation of Crude Oil-Polluted Soil by the Bacterial Rhizosphere Community of Suaeda Salsa Revealed by 16S rRNA Genes. Int. J. Environ. Res. Public Health 2020, 17, 1471. [Google Scholar] [CrossRef] [PubMed]
- Ambaye, T.G.; Chebbi, A.; Formicola, F.; Prasad, S.; Gomez, F.H.; Franzetti, A.; Vaccari, M. Remediation of soil polluted with petroleum hydrocarbons and its reuse for agriculture: Recent progress, challenges, and perspectives. Chemosphere 2022, 293, 133572. [Google Scholar] [CrossRef]
- Zhuang, X.; Wang, Y.; Wang, H.; Dong, Y.; Li, X.; Wang, S.; Fan, H.; Wu, S. Comparison of the efficiency and microbial mechanisms of chemical- and bio-surfactants in remediation of petroleum hydrocarbon. Environ. Pollut. 2022, 314, 120198. [Google Scholar] [CrossRef]
- Chunyan, X.; Qaria, M.A.; Qi, X.; Daochen, Z. The role of microorganisms in petroleum degradation: Current development and prospects. Sci Total Environ. 2023, 865, 161112. [Google Scholar] [CrossRef] [PubMed]
- Ojuederie, O.B.; Babalola, O.O. Microbial and plant-assisted bioremediation of heavy metal polluted environments: A review. Int. J. Environ. Res. Public Health 2017, 14, 1504. [Google Scholar] [CrossRef] [PubMed]
- Eze, M.O. Metagenome analysis of a hydrocarbon-degrading bacterial consortium reveals the specific roles of btex biodegraders. Genes 2021, 12, 98. [Google Scholar] [CrossRef]
- Wang, S.-Y.; Kuo, Y.-C.; Hong, A.; Chang, Y.-M.; Kao, C.-M. Bioremediation of diesel and lubricant oil-contaminated soils using enhanced landfarming system. Chemosphere 2016, 164, 558–567. [Google Scholar] [CrossRef] [PubMed]
- Santisi, S.; Zoccali, M.; Catania, V.; Quatrini, P.; Mondello, L.; Genovese, M.; Cappello, S. Biodegradation Potential of Oil-degrading Bacteria Related to the Genus Thalassospira Isolated from Polluted Coastal Area in Mediterranean Sea. Soil Sediment Contam. Int. J. 2022, 31, 3. [Google Scholar] [CrossRef]
- Elufisan, T.O.; Lozano, L.; Bustos, P.; Rodríguez-Luna, I.C.; Sánchez-Varela, A.; Oyedara, O.O.; Villalobos-López, M.Á.; Guo, X. Complete Genome Sequence of Stenotrophomonas maltophilia Strain SVIA2, Isolated from Crude Oil-Contaminated Soil in Tabasco, Mexico. Microbiol. Resour. Announc. 2019, 8, e00529-19. [Google Scholar] [CrossRef] [PubMed]
- Cabral, L.; Giovanella, P.; Pellizzer, E.P.; Teramoto, E.H.; Kiang, C.H.; Sette, L.D. Microbial communities in petroleum-contaminated sites: Structure and metabolisms. Chemosphere 2022, 286, 131752. [Google Scholar] [CrossRef]
- Nzila, A.; Musa, M.M. Current status of and future perspectives in bacterial degradation of benzo[a]pyrene. Int. J. Environ. Res. Public Health 2020, 18, 262. [Google Scholar] [CrossRef]
- Elufisan, T.O.; Rodríguez-Luna, I.C.; Oyedara, O.O.; Sánchez-Varela, A.; Hernández-Mendoza, A.; Dantán Gonzalez, E.; Paz-González, A.D.; Muhammad, K.; Rivera, G.; Villalobos-Lopez, M.A.; et al. The Polycyclic Aromatic Hydrocarbon (PAH) degradation activities and genome analysis of a novel strain Stenotrophomonas sp. Pemsol isolated from Mexico. PeerJ 2020, 8, e8102. [Google Scholar] [CrossRef]
- Das, N.; Chandran, P. Microbial Degradation of Petroleum Hydrocarbon Contaminants: An Overview. Biotechnol. Res. Int. 2011, 2011, 941810. [Google Scholar] [CrossRef] [PubMed]
- Sui, X.; Wang, X.; Li, Y.; Ji, H. Remediation of Petroleum-Contaminated Soils with Microbial and Microbial Combined Methods: Advances, Mechanisms, and Challenges. Sustainability 2021, 13, 9267. [Google Scholar] [CrossRef]
- Fernandes, G.M.; Martins, D.A.; dos Santos, R.P.; de Santiago, I.S.; Nascimento, L.S.; Oliveira, A.H.B.; Yamamoto, F.Y.; Cavalcante, R.M. Levels, source appointment, and ecological risk of petroleum hydrocarbons in tropical coastal ecosystems (northeast Brazil): Baseline for future monitoring programmes of an oil spill area. Environ. Pollut. 2022, 296, 118709. [Google Scholar] [CrossRef] [PubMed]
- Yu, Z.; Liang, K.; Huang, G.; Wang, X.; Lin, M.; Chen, Y.; Zhou, Z. Soil Bacterial Community Shifts Are Driven by Soil Nutrient Availability along a Teak Plantation Chronosequence in Tropical Forests in China. Biology 2021, 10, 1329. [Google Scholar] [CrossRef] [PubMed]
- Zhang, K.; Wang, S.; Guo, P.; Guo, S. Characteristics of organic carbon metabolism and bioremediation of petroleum-contaminated soil by a mesophilic aerobic biopile system. Chemosphere 2021, 264, 128521. [Google Scholar] [CrossRef]
- Marshall, T.; Paschos, A.; Marangoni, A.G.; Yang, F.; Pensini, E. Injectable cationic traps and sticky bacterial emulsifiers: A safe alliance during diesel bioremediation. Colloids Surf. A Physicochem. Eng. Asp. 2021, 613, 126051. [Google Scholar] [CrossRef]
- Zheng, J.; Feng, J.Q.; Zhou, L.; Mbadinga, S.M.; Gu, J.D.; Mu, B.Z. Characterization of bacterial composition and diversity in a long-term petroleum contaminated soil and isolation of high-efficiency alkane-degrading strains using an improved medium. World J. Microbiol. Biotechnol. 2018, 34, 34. [Google Scholar] [CrossRef]
- Lüneberg, K.; Schneider, D.; Siebe, C.; Daniel, R. Drylands soil bacterial community is affected by land use change and different irrigation practices in the Mezquital Valley, Mexico. Sci. Rep. 2018, 8, 1413. [Google Scholar] [CrossRef]
- Peng, M.; Zi, X.; Wang, Q. Bacterial community diversity of oil-contaminated soils assessed by high throughput sequencing of 16s rRNA genes. Int. J. Environ. Res. Public Health. 2015, 12, 12002–12015. [Google Scholar] [CrossRef]
- Wang, B.; Chu, C.; Wei, H.; Zhang, L.; Ahmad, Z.; Wu, S.; Xie, B. Ameliorative effects of silicon fertilizer on soil bacterial community and pakchoi (Brassica chinensis L.) grown on soil contaminated with multiple heavy metals. Environ. Pollut. 2020, 267, 115411. [Google Scholar] [CrossRef]
- Scagliola, M.; Valentinuzzi, F.; Mimmo, T.; Cesco, S.; Crecchio, C.; Pii, Y. Bioinoculants as Promising Complement of Chemical Fertilizers for a More Sustainable Agricultural Practice. Front. Sustain. Food Syst. 2021, 4, 622169. [Google Scholar] [CrossRef]
- Borowik, A.; Wyszkowska, J.; Kucharski, M.; Kucharski, J. Implications of soil pollution with diesel oil and BP petroleum with ACTIVE technology for soil health. Int. J. Environ. Res. Public Health 2020, 16, 2474. [Google Scholar] [CrossRef] [PubMed]
- Garrido-Sanz, D.; Redondo-Nieto, M.; Guirado, M.; Pindado Jiménez, O.; Millán, R.; Martin, M.; Rivilla, R. Metagenomic insights into the bacterial functions of a diesel-degrading consortium for the rhizoremediation of diesel-polluted soil. Genes 2019, 10, 456. [Google Scholar] [CrossRef] [PubMed]
- Hoang, S.A.; Lamb, D.; Seshadri, B.; Sarkar, B.; Cheng, Y.; Wang, L.; Bolan, N.S. Petroleum hydrocarbon rhizoremediation and soil microbial activity improvement via cluster root formation by wild proteaceae plant species. Chemosphere 2021, 275, 130135. [Google Scholar] [CrossRef] [PubMed]
- Liu, P.F.; Yang, Z.H.; Chen, Y.L.; Lo, K.H.; Kao, C.M. Remediation of weathered diesel-oil contaminated soils using biopile systems: An amendment selection and pilot-scale study. Sci. Total Environ. 2021, 786, 147395. [Google Scholar] [CrossRef]
- Hossain, F.; Akter, A.; Sohan, S.R.; Sultana, N.; Reza, A.; Hoque, F. Bioremediation potential of hydrocarbon degrading bacteria: Isolation, characterization, and assessment. Saudi J. Biol. Sci. 2022, 29, 211–216. [Google Scholar] [CrossRef]
- Wang, M.; Zhao, S.; Wang, L.; Chen, S.; Li, S.; Lei, X.; Sun, X.; Qin, L. Salt stress-induced changes in microbial community structures and metabolic processes result in increased soil cadmium availability. Sci. Total Environ. 2021, 782, 147125. [Google Scholar] [CrossRef]
- Shar, S.; Reith, F.; Ball, A.S.; Shahsavari, E. Long-term Impact of Gold and Platinum on Microbial Diversity in Australian Soils. Microb. Ecol. 2021, 81, 977–989. [Google Scholar] [CrossRef]
- Shahi, A.; Aydin, S.; Ince, B.; Ince, O. Reconstruction of bacterial community structure and variation for enhanced petroleum hydrocarbons degradation through biostimulation of oil contaminated soil. Chem. Eng. J. 2016, 306, 60–66. [Google Scholar] [CrossRef]
- Chopkova, V.; Petkova, M.; Shilev, S. Uncovering Bacterial Diversity during Mesophilic and Thermophilic Phases of Biowaste Composting through Next-Generation Sequencing. Appl. Sci. 2023, 13, 3111. [Google Scholar] [CrossRef]
- Gao, L.; Huang, Y.; Liu, Y.; Mohamed, O.A.A.; Fan, X.; Wang, L.; Li, L.; Ma, J. Bacterial Community Structure and Potential Microbial Coexistence Mechanism Associated with Three Halophytes Adapting to the Extremely Hypersaline Environment. Microorganisms 2022, 10, 1124. [Google Scholar] [CrossRef]
- Kulik, K.; Lenart-boro, A.; Wyrzykowska, K. Impact of Antibiotic Pollution on the Bacterial Population within Surface Water with Special Focus on Mountain Rivers. Water 2023, 15, 975. [Google Scholar] [CrossRef]
- Gałązka, A.; Gawryjołek, K.; Grządziel, J.; Frac, M.; KsieZak, J. Microbial community diversity and the interaction of soil under maize growth in different cultivation techniques. Plant Soil Environ. 2017, 63, 264–270. [Google Scholar] [CrossRef]
- Vital, L.; Narvaez, J.A.; Cruz, M.A.; Ortiz, E.L.; Sanchez, E.; Mendoza, A. Unravelling the composition of soil belowground microbial community before sowing transgenic cotton. Plant Soil Environ. 2017, 63, 11. [Google Scholar] [CrossRef]
- Yu, G.; Fadrosh, D.; Goedert, J.J.; Ravel, J.; Goldstein, A.M. Nested PCR biases in interpreting microbial community structure in 16S rRNA gene sequence datasets. PLoS ONE 2015, 10, e0132253. [Google Scholar] [CrossRef]
- Grifoni, A.; Bazzicalupo, M.; Di Serio, C.; Fancelli, S.; Fani, R. Identification of Azospirillum strains by restriction fragment length polymorphism of the 16S rDNA and of the histidine operon. FEMS Microbiol. Lett. 1995, 127, 85–91. [Google Scholar] [CrossRef]
- Wuyts, J.; Van De Peer, Y.; Winkelmans, T.; De Wachter, R. The European database on small subunit ribosomal RNA. Nucleic Acids Res. 2002, 30, 183–185. [Google Scholar] [CrossRef]
- Caporaso, J.G.; Kuczynski, J.; Stombaugh, J. QIIME allows analysis of high-throughput community sequencing data. Nat. Methods 2010, 7, 335–336. [Google Scholar] [CrossRef]
- Edgar, R.C. Search and clustering orders of magnitude faster than BLAST. Bioinformatics 2010, 26, 2460–2461. [Google Scholar] [CrossRef]
- DeSantis, T.Z.; Hugenholtz, P.; Larsen, N.; Rojas, M.; Brodie, E.L.; Keller, K.; Huber, T.; Dalevi, D.; Hu, P.; Andersen, G.L. Greengenes, a chimera-checked 16S rRNA gene database and workbench compatible with ARB. Appl. Environ. Microbiol. 2006, 72, 5069–5072. [Google Scholar] [CrossRef] [PubMed]
- Thompson, L.R.; Sanders, J.G.; McDonald, D.; Amir, A.; Ladau, J.; Locey, K.J.; Prill, R.J.; Tripathi, A.; Gibbons, S.M.; Ackermann, G. A communal catalogue reveals Earth’s multiscale microbial diversity. Nature 2017, 551, 457–463. [Google Scholar] [CrossRef] [PubMed]
- Murugesan, S.; Ulloa-Martínez, M.; Martínez-Rojano, H.; Galván-Rodríguez, F.M.; Miranda-Brito, C.; Romano, M.C.; Piña-Escobedo, A.; Pizano-Zárate, M.L.; Hoyo-Vadillo, C.; García-Mena, J. Study of the diversity and short-chain fatty acids production by the bacterial community in overweight and obese Mexican children. Eur. J. Clin. Microbiol. Infect. Dis. 2015, 34, 1337–1346. [Google Scholar] [CrossRef] [PubMed]
- Wang, C.Y.; Zhou, X.; Guo, D.; Zhao, J.H.; Yan, L.; Feng, G.Z.; Gao, Q.; Yu, H.; Zhao, L.P. Soil pH is the primary factor driving the distribution and function of microorganisms in farmland soils in northeastern China. Ann. Microbiol. 2019, 69, 1461–1473. [Google Scholar] [CrossRef]
- Huerta, E.; Rodriguez-Olan, J.; Evia-Castillo, I.; Montejo-Meneses, E.; de la Cruz-Mondragon, M.; Garcia-Hernández, R. Earthworms and soil properties in Tabasco, Mexico. Eur. J. Soil Biol. 2007, 43, S190–S195. [Google Scholar] [CrossRef]
- Rivera Ortiz, P.; Rivera Lárraga, J.E.; Andrade Limas, E.D.C.; Heyer Rodríguez, L.; De La Garza Requena, F.R.; Castro Meza, B.I. Bioestimulación y biorremediación de recortes de perforación contaminados con hidrocarburos. Rev. Int. Contam. Ambien. 2017, 34, 249–262. [Google Scholar] [CrossRef]
- Lin, M.-S.; Huang, C.-Y.; Lin, Y.-C.; Lin, S.-L.; Hsiao, Y.-H.; Tu, P.-C.; Cheng, P.-C.; Cheng, S.-F. Green Remediation Technology for Total Petroleum Hydrocarbon-Contaminated Soil. Agronomy 2022, 12, 2759. [Google Scholar] [CrossRef]
- Wang, M.; Garrido-Sanz, D.; Sansegundo-Lobato, P.; Redondo-Nieto, M.; Conlon, R.; Martin, M.; Mali, R.; Liu, X.; Dowling, D.N.; Rivilla, R.; et al. Soil Microbiome Structure and Function in Ecopiles Used to Remediate Petroleum-Contaminated Soil. Front. Environ. Sci. 2021, 9, 39. [Google Scholar] [CrossRef]
- Bao, Y.J.; Xu, Z.; Li, Y.; Yao, Z.; Sun, J.; Song, H. High-throughput metagenomic analysis of petroleum-contaminated soil microbiome reveals the versatility in xenobiotic aromatics metabolism. J. Environ. Sci. 2017, 56, 25–35. [Google Scholar] [CrossRef]
- Kim, J.-W.; Hong, Y.-K.; Kim, H.-S.; Oh, E.-J.; Park, Y.-H.; Kim, S.-C. Metagenomic analysis for evaluating change in bacterial diversity in tph-contaminated soil after soil remediation. Toxics 2021, 9, 319. [Google Scholar] [CrossRef]
- Kumar, V.; AlMomin, S.; Al-Aqeel, H.; Al-Salamen, F.; Nair, S.; Shajan, A. Metagenomic analysis of rhizosphere microflora of oil-contaminated soil planted with barley and alfalfa. PLoS ONE 2018, 13, e0202127. [Google Scholar] [CrossRef]
- Melekhina, E.N.; Belykh, E.S.; Markarova, M.Y.; Taskaeva, A.A.; Rasova, E.E.; Baturina, O.A.; Kabilov, M.R.; Velegzhaninov, I.O. Soil microbiota and microarthropod communities in oil contaminated sites in the European Subarctic. Sci. Rep. 2021, 11, 19620. [Google Scholar] [CrossRef] [PubMed]
- Bonomo, M.G.; Calabrone, L.; Scrano, L.; Bufo, S.A.; Di Tomaso, K.; Buongarzone, E.; Salzano, G. Metagenomic monitoring of soil bacterial community after the construction of a crude oil flowline. Environ. Monit. Assess. 2022, 194, 48. [Google Scholar] [CrossRef] [PubMed]
- Galazka, A.; Grzadziel, J.; Galazka, R.; Ukalska-Jaruga, A.; Strzelecka, J.; Smreczak, B. Genetic and functional diversity of bacterial microbiome in soils with long term impacts of petroleum hydrocarbons. Front. Microbiol. 2018, 9, 1923. [Google Scholar] [CrossRef]
- Steenhoudt, O.; Vanderleyden, J. Azospirillum, a free-living nitrogen-fixing bacterium closely associated with grasses: Genetic, biochemical and ecological aspects. FEMS Microbiol. Rev. 2000, 24, 487–506. [Google Scholar] [CrossRef] [PubMed]
- da Silva, M.L.B.; Mezzari, M.P.; Ibelli, A.M.G.; Gregory, K.B. Sulfide removal from livestock biogas by Azospirillum-like anaerobic phototrophic bacteria consortium. Int. Biodeterior. Biodegrad. 2014, 86, 248–251. [Google Scholar] [CrossRef]
- Cruz-Hernández, M.A.; Mendoza-Herrera, A.; Bocanegra-García, V.; Rivera, G. Azospirillum spp. from Plant Growth-Promoting Bacteria to Their Use in Bioremediation. Microorganisms 2022, 10, 1057. [Google Scholar] [CrossRef] [PubMed]
- Zokaei, F.H.; Gharavi, S.; Asgarani, E.; Zarrabi, M.; Soudi, M. A comparative taxonomic profile of microbial polyethylene and hydrocarbon-degrading communities in diverse environments. Iran. J. Biotechnol. 2021, 19, 2. [Google Scholar] [CrossRef]
- Stepanova, A.Y.; Gladkov, E.A.; Osipova, E.S.; Gladkova, O.V.; Tereshonok, D.V. Bioremediation of Soil from Petroleum Contamination. Processes 2022, 10, 1224. [Google Scholar] [CrossRef]
- Liu, P.; Zhang, Y.; Tang, Q.; Shi, S. Bioremediation of metal-contaminated soils by microbially-induced carbonate precipitation and its effects on ecotoxicity and long-term stability. Biochem. Eng. J. 2021, 166, 107856. [Google Scholar] [CrossRef]
- Hentati, D.; Chebbi, A.; Mahmoudi, A.; Hadrich, F.; Cheffi, M.; Frikha, I.; Sayadi, S.; Chamkha, M. Biodegradation of hydrocarbons and biosurfactants production by a newly halotolerant Pseudomonas sp. strain isolated from contaminated seawater. Biochem. Eng. J. 2021, 166, 107861. [Google Scholar] [CrossRef]
- Cruz-Hernández, M.A.; Reyes-Peralta, J.; Mendoza-Herrera, A.; Rivera, G.; Bocanegra-García, V. Characterization of a Microbacterium sp. strain isolated from soils contaminated with hydrocarbons in the burgos basin, Mexico. Rev. Int. Contam. Ambient 2021, 37, 227–235. [Google Scholar] [CrossRef]
Disclaimer/Publisher’s Note: The statements, opinions and data contained in all publications are solely those of the individual author(s) and contributor(s) and not of MDPI and/or the editor(s). MDPI and/or the editor(s) disclaim responsibility for any injury to people or property resulting from any ideas, methods, instructions or products referred to in the content. |
© 2023 by the authors. Licensee MDPI, Basel, Switzerland. This article is an open access article distributed under the terms and conditions of the Creative Commons Attribution (CC BY) license (https://creativecommons.org/licenses/by/4.0/).






