The Effects of 5 km Interval Running on the Anterior Cruciate Ligament Strain and Biomechanical Characteristic of the Knee Joint: Simulation and Principal Component Analysis
Abstract
1. Introduction
2. Materials and Methods
2.1. Participants
2.2. Protocol and Instruments
2.2.1. Protocol
2.2.2. Kinetic, Kinematic and Electromyography Measurements
2.3. ACL Modeling and Properties
2.4. Data Processing and Statistical Analysis
2.4.1. Kinetic, Kinematic and EMG Measurements
2.4.2. Muscle Activation Analysis and Simulation Verification
2.4.3. Principal Component Analysis
2.4.4. Statistical Analysis
3. Results
3.1. OpenSim Model Verification
3.2. The One-Dimensional Statistical Nonparametric Mapping (SNPM1d) Comparison Results of Kinematics and Kinetics
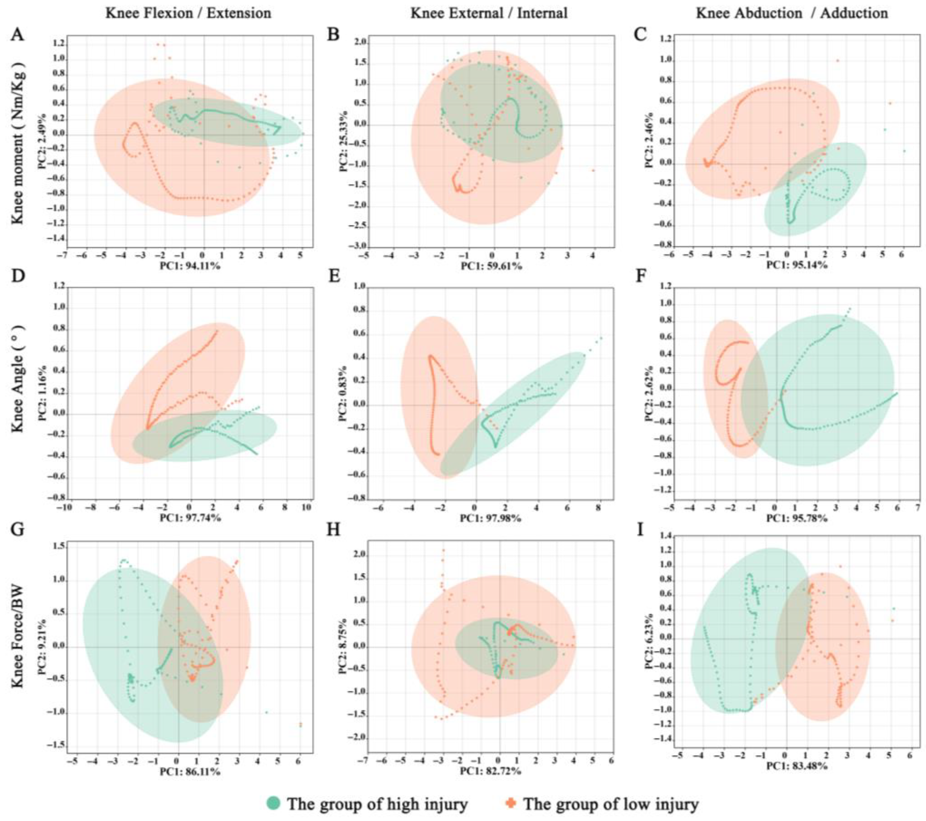
3.3. The Principal Component Analysis Results of Kinematics and Kinetics at 90° CM
4. Discussion
5. Conclusions
Author Contributions
Funding
Institutional Review Board Statement
Informed Consent Statement
Data Availability Statement
Conflicts of Interest
References
- Bradley, P.S.; Di Mascio, M.; Peart, D.; Olsen, P.; Sheldon, B. High-intensity activity profiles of elite soccer players at different performance levels. J. Strength Cond. Res. 2010, 24, 2343–2351. [Google Scholar] [CrossRef] [PubMed]
- Montgomery, P.G.; Pyne, D.B.; Minahan, C.L. The physical and physiological demands of basketball training and competition. Int. J. Sports Physiol. Perform. 2010, 5, 75–86. [Google Scholar] [CrossRef]
- Gabbett, T.; King, T.; Jenkins, D. Applied physiology of rugby league. Sports Med. 2008, 38, 119–138. [Google Scholar] [CrossRef] [PubMed]
- Brughelli, M.; Cronin, J.; Levin, G.; Chaouachi, A. Understanding change of direction ability in sport: A review of resistance training studies. Sports Med. 2008, 38, 1045–1063. [Google Scholar] [CrossRef]
- Redkva, P.E.; Paes, M.R.; Fernandez, R.; da-Silva, S.G. Correlation between match performance and field tests in professional soccer players. J. Hum. Kinet. 2018, 62, 213. [Google Scholar] [CrossRef]
- Hartwig, T.B.; Naughton, G.; Searl, J. Motion analyses of adolescent rugby union players: A comparison of training and game demands. J. Strength Cond. Res. 2011, 25, 966–972. [Google Scholar] [CrossRef]
- Hostrup, M.; Bangsbo, J. Limitations in intense exercise performance of athletes–effect of speed endurance training on ion handling and fatigue development. J. Physiol. 2017, 595, 2897–2913. [Google Scholar] [CrossRef] [PubMed]
- Guan, Y.; Bredin, S.S.; Taunton, J.; Jiang, Q.; Wu, N.; Li, Y.; Warburton, D.E. Risk Factors for Non-Contact Lower-Limb Injury: A Retrospective Survey in Pediatric-Age Athletes. J. Clin. Med. 2021, 10, 3171. [Google Scholar] [CrossRef]
- Lim, T.; Santiago, C.; Pareja-Galeano, H.; Iturriaga, T.; Sosa-Pedreschi, A.; Fuku, N.; Pérez-Ruiz, M.; Yvert, T. Genetic variations associated with non-contact muscle injuries in sport: A systematic review. Scand. J. Med. Sci. Sports 2021, 31, 2014–2032. [Google Scholar] [CrossRef]
- Zhang, Q.; Zhang, Y.; Chon, T.E.; Baker, J.S.; Gu, Y. Analysis of stress and stabilization in adolescent with osteoporotic idiopathic scoliosis: Finite element method. Comput. Methods Biomech. Biomed. Eng. 2023, 26, 12–24. [Google Scholar] [CrossRef]
- Arendt, E.; Dick, R. Knee injury patterns among men and women in collegiate basketball and soccer: NCAA data and review of literature. Am. J. Sports Med. 1995, 23, 694–701. [Google Scholar] [CrossRef] [PubMed]
- Maniar, N.; Schache, A.G.; Sritharan, P.; Opar, D.A. Non-knee-spanning muscles contribute to tibiofemoral shear as well as valgus and rotational joint reaction moments during unanticipated sidestep cutting. Sci. Rep. 2018, 8, 2501. [Google Scholar] [CrossRef]
- Renstrom, P.; Ljungqvist, A.; Arendt, E.; Beynnon, B.; Fukubayashi, T.; Garrett, W.; Georgoulis, T.; Hewett, T.E.; Johnson, R.; Krosshaug, T. Non-contact ACL injuries in female athletes: An International Olympic Committee current concepts statement. Br. J. Sports Med. 2008, 42, 394–412. [Google Scholar] [CrossRef]
- Sugimoto, D.; Alentorn-Geli, E.; Mendiguchía, J.; Samuelsson, K.; Karlsson, J.; Myer, G.D. Biomechanical and neuromuscular characteristics of male athletes: Implications for the development of anterior cruciate ligament injury prevention programs. Sports Med. 2015, 45, 809–822. [Google Scholar] [CrossRef] [PubMed]
- Hughes, G.; Dai, B. The influence of decision making and divided attention on lower limb biomechanics associated with anterior cruciate ligament injury: A narrative review. Sports Biomech. 2023, 22, 30–45. [Google Scholar] [CrossRef] [PubMed]
- Kernozek, T.W.; Torry, M.R.; van Hoof, H.; Cowley, H.; Tanner, S. Gender differences in frontal and sagittal plane biomechanics during drop landings. Med. Sci. Sports Exerc. 2005, 37, 1003–1012. [Google Scholar] [PubMed]
- Olsen, O.-E.; Myklebust, G.; Engebretsen, L.; Bahr, R. Injury mechanisms for anterior cruciate ligament injuries in team handball: A systematic video analysis. Am. J. Sports Med. 2004, 32, 1002–1012. [Google Scholar] [CrossRef]
- Joseph, A.M.; Collins, C.L.; Henke, N.M.; Yard, E.E.; Fields, S.K.; Comstock, R.D. A multisport epidemiologic comparison of anterior cruciate ligament injuries in high school athletics. J. Athl. Train. 2013, 48, 810–817. [Google Scholar] [CrossRef]
- Krosshaug, T.; Nakamae, A.; Boden, B.P.; Engebretsen, L.; Smith, G.; Slauterbeck, J.R.; Hewett, T.E.; Bahr, R. Mechanisms of anterior cruciate ligament injury in basketball: Video analysis of 39 cases. Am. J. Sports Med. 2007, 35, 359–367. [Google Scholar] [CrossRef]
- Bates, N.A.; Nesbitt, R.J.; Shearn, J.T.; Myer, G.D.; Hewett, T.E. Knee abduction affects greater magnitude of change in ACL and MCL strains than matched internal tibial rotation in vitro. Clin. Orthop. Relat. Res. 2017, 475, 2385–2396. [Google Scholar] [CrossRef]
- Mai, P.; Bill, K.; Glöckler, K.; Claramunt-Molet, M.; Bartsch, J.; Willwacher, S.; Eggerud, M.; Tidemann Pedersen, A.; Sæland, F.; Bergh Moss, R. Unanticipated fake-and-cut maneuvers do not increase knee abduction moments in sport-specific tasks: Implication for ACL injury prevention and risk screening. Front. Sports Act. Living 2022, 4, 1–10. [Google Scholar] [CrossRef] [PubMed]
- Donelon, T.A.; Dos’Santos, T.; Pitchers, G.; Brown, M.; Jones, P.A. Biomechanical determinants of knee joint loads associated with increased anterior cruciate ligament loading during cutting: A systematic review and technical framework. Sports Med. Open 2020, 6, 1–21. [Google Scholar] [CrossRef] [PubMed]
- Pataky, T.C.; Vanrenterghem, J.; Robinson, M.A. The probability of false positives in zero-dimensional analyses of one-dimensional kinematic, force and EMG trajectories. J. Biomech. 2016, 49, 1468–1476. [Google Scholar] [CrossRef] [PubMed]
- Lever, J.; Krzywinski, M.; Altman, N. Points of significance: Principal component analysis. Nat. Methods 2017, 14, 641–643. [Google Scholar] [CrossRef]
- Neuman, P.; Englund, M.; Kostogiannis, I.; Friden, T.; Roos, H.; Dahlberg, L.E. Prevalence of tibiofemoral osteoarthritis 15 years after nonoperative treatment of anterior cruciate ligament injury: A prospective cohort study. Am. J. Sports Med. 2008, 36, 1717–1725. [Google Scholar] [CrossRef]
- Evans, K.N.; Kilcoyne, K.G.; Dickens, J.F.; Rue, J.-P.; Giuliani, J.; Gwinn, D.; Wilckens, J.H. Predisposing risk factors for non-contact ACL injuries in military subjects. Knee Surg. Sports Traumatol. Arthrosc. 2012, 20, 1554–1559. [Google Scholar] [CrossRef]
- Anderson, A.F.; Lipscomb, A.B.; Liudahl, K.J.; Addlestone, R.B. Analysis of the intercondylar notch by computed tomography. Am. J. Sports Med. 1987, 15, 547–552. [Google Scholar] [CrossRef]
- Grindem, H.; Granan, L.-P.; Risberg, M.A.; Engebretsen, L.; Snyder-Mackler, L.; Eitzen, I. How does a combined preoperative and postoperative rehabilitation programme influence the outcome of ACL reconstruction 2 years after surgery? A comparison between patients in the Delaware-Oslo ACL Cohort and the Norwegian National Knee Ligament Registry. Br. J. Sports Med. 2015, 49, 385–389. [Google Scholar] [CrossRef]
- Shin, C.S.; Chaudhari, A.M.; Andriacchi, T.P. The effect of isolated valgus moments on ACL strain during single-leg landing: A simulation study. J. Biomech. 2009, 42, 280–285. [Google Scholar] [CrossRef]
- Abidin, N.A.Z.; Kadir, M.R.A.; Ramlee, M.H. Biomechanical effects of different lengths of cross-pins in anterior cruciate ligament reconstruction: A finite element analysis. J. Mech. Med. Biol. 2020, 20, 2050047. [Google Scholar] [CrossRef]
- Schmitz, A.; Piovesan, D. Development of an open-source, discrete element knee model. IEEE Trans. Biomed. Eng. 2016, 63, 2056–2067. [Google Scholar] [CrossRef] [PubMed]
- Weinhandl, J.T.; Earl-Boehm, J.E.; Ebersole, K.T.; Huddleston, W.E.; Armstrong, B.S.; O’Connor, K.M. Anticipatory effects on anterior cruciate ligament loading during sidestep cutting. Clin. Biomech. 2013, 28, 655–663. [Google Scholar] [CrossRef] [PubMed]
- Chapman, J.P.; Chapman, L.J.; Allen, J.J. The measurement of foot preference. Neuropsychologia 1987, 25, 579–584. [Google Scholar] [CrossRef] [PubMed]
- Barr, M.J.; Sheppard, J.M.; Newton, R.U. Sprinting kinematics of elite rugby players. J. Aust. Strength Cond. 2013, 21, 14–20. [Google Scholar]
- Schreurs, M.J.; Benjaminse, A.; Lemmink, K.A. Sharper angle, higher risk? The effect of cutting angle on knee mechanics in invasion sport athletes. J. Biomech. 2017, 63, 144–150. [Google Scholar] [CrossRef]
- Fox, A.S. Change-of-direction biomechanics: Is what’s best for anterior cruciate ligament injury prevention also best for performance? Sports Med. 2018, 48, 1799–1807. [Google Scholar] [CrossRef]
- David, S.; Mundt, M.; Komnik, I.; Potthast, W. Understanding cutting maneuvers–The mechanical consequence of preparatory strategies and foot strike pattern. Hum. Mov. Sci. 2018, 62, 202–210. [Google Scholar] [CrossRef]
- Faude, O.; Schnittker, R.; Schulte-Zurhausen, R.; Müller, F.; Meyer, T. High intensity interval training vs. high-volume running training during pre-season conditioning in high-level youth football: A cross-over trial. J. Sports Sci. 2013, 31, 1441–1450. [Google Scholar] [CrossRef]
- Faude, O.; Schlumberger, A.; Fritsche, T.; Treff, G.; Meyer, T. Leistungsdiagnostische testverfahren im fußball–methodische standards. Dtsch. Z. Sportmed. 2010, 61, 129–133. [Google Scholar]
- Rajagopal, A.; Dembia, C.L.; DeMers, M.S.; Delp, D.D.; Hicks, J.L.; Delp, S.L. Full-body musculoskeletal model for muscle-driven simulation of human gait. IEEE Trans. Biomed. Eng. 2016, 63, 2068–2079. [Google Scholar] [CrossRef]
- Mei, Q.; Fernandez, J.; Xiang, L.; Gao, Z.; Yu, P.; Baker, J.S.; Gu, Y. Dataset of lower extremity joint angles, moments and forces in distance running. Heliyon 2022, 8, e11517. [Google Scholar] [CrossRef] [PubMed]
- Delp, S.L.; Anderson, F.C.; Arnold, A.S.; Loan, P.; Habib, A.; John, C.T.; Guendelman, E.; Thelen, D.G. OpenSim: Open-source software to create and analyze dynamic simulations of movement. IEEE Trans. Biomed. Eng. 2007, 54, 1940–1950. [Google Scholar] [CrossRef] [PubMed]
- Koga, H.; Muneta, T. ACL injury mechanisms. In ACL Injury and Its Treatment; Springer: Tokyo, Japan, 2016; pp. 113–125. [Google Scholar] [CrossRef]
- Cheng, E.J.; Brown, I.E.; Loeb, G.E. Virtual muscle: A computational approach to understanding the effects of muscle properties on motor control. J. Neurosci. Methods 2000, 101, 117–130. [Google Scholar] [CrossRef] [PubMed]
- Uhorchak, J.M.; Scoville, C.R.; Williams, G.N.; Arciero, R.A.; Pierre, P.S.; Taylor, D.C. Risk factors associated with noncontact injury of the anterior cruciate ligament. Am. J. Sports Med. 2003, 31, 831–842. [Google Scholar] [CrossRef]
- Noyes, F.R. Functional properties of knee ligaments and alterations induced by immobilization: A correlative biomechanical and histological study in primates. Clin. Orthop. Relat. Res. (1976–2007) 1977, 123, 210–242. [Google Scholar] [CrossRef]
- Hicks, J.L.; Uchida, T.K.; Seth, A.; Rajagopal, A.; Delp, S.L. Is my model good enough? Best practices for verification and validation of musculoskeletal models and simulations of movement. J. Biomech. Eng. 2015, 137, 020905. [Google Scholar] [CrossRef]
- Gerus, P.; Sartori, M.; Besier, T.F.; Fregly, B.J.; Delp, S.L.; Banks, S.A.; Pandy, M.G.; D’Lima, D.D.; Lloyd, D.G. Subject-specific knee joint geometry improves predictions of medial tibiofemoral contact forces. J. Biomech. 2013, 46, 2778–2786. [Google Scholar] [CrossRef]
- Meldrum, D.; Cahalane, E.; Conroy, R.; Fitzgerald, D.; Hardiman, O. Maximum voluntary isometric contraction: Reference values and clinical application. Amyotroph. Lateral Scler. 2007, 8, 47–55. [Google Scholar] [CrossRef]
- Murley, G.S.; Menz, H.B.; Landorf, K.B. Foot posture influences the electromyographic activity of selected lower limb muscles during gait. J. Foot Ankle Res. 2009, 2, 1–9. [Google Scholar] [CrossRef]
- Lu, Z.; Li, X.; Rong, M.; Baker, J.S.; Gu, Y. Effect of rearfoot valgus on biomechanics during barbell squatting: A study based on OpenSim musculoskeletal modeling. Front. Neurorobot. 2022, 16, 832005. [Google Scholar] [CrossRef]
- Daffertshofer, A.; Lamoth, C.J.; Meijer, O.G.; Beek, P.J. PCA in studying coordination and variability: A tutorial. Clin. Biomech. 2004, 19, 415–428. [Google Scholar] [CrossRef] [PubMed]
- Abdi, H.; Williams, L.J. Principal component analysis. Wiley Interdiscip. Rev. Comput. Stat. 2010, 2, 433–459. [Google Scholar] [CrossRef]
- Welch, N.; Richter, C.; Franklyn-Miller, A.; Moran, K. Principal component analysis of the biomechanical factors associated with performance during cutting. J. Strength Cond. Res. 2021, 35, 1715–1723. [Google Scholar] [CrossRef] [PubMed]
- Pataky, T.C.; Vanrenterghem, J.; Robinson, M.A. Zero-vs. one-dimensional, parametric vs. non-parametric, and confidence interval vs. hypothesis testing procedures in one-dimensional biomechanical trajectory analysis. J. Biomech. 2015, 48, 1277–1285. [Google Scholar] [CrossRef]
- Luque-Seron, J.A.; Medina-Porqueres, I. Anterior cruciate ligament strain in vivo: A systematic review. Sports Health 2016, 8, 451–455. [Google Scholar] [CrossRef]
- Santamaria, L.J.; Webster, K.E. The effect of fatigue on lower-limb biomechanics during single-limb landings: A systematic review. J. Orthop. Sports Phys. Ther. 2010, 40, 464–473. [Google Scholar] [CrossRef]
- Barber-Westin, S.D.; Noyes, F.R. Effect of fatigue protocols on lower limb neuromuscular function and implications for anterior cruciate ligament injury prevention training: A systematic review. Am. J. Sports Med. 2017, 45, 3388–3396. [Google Scholar] [CrossRef]
- Benjaminse, A.; Webster, K.E.; Kimp, A.; Meijer, M.; Gokeler, A. Revised approach to the role of fatigue in anterior cruciate ligament injury prevention: A systematic review with meta-analyses. Sports Med. 2019, 49, 565–586. [Google Scholar] [CrossRef]
- Donnelly, C.J.; Elliott, B.C.; Doyle, T.L.; Finch, C.F.; Dempsey, A.R.; Lloyd, D.G. Changes in knee joint biomechanics following balance and technique training and a season of Australian football. Br. J. Sports Med. 2012, 46, 917–922. [Google Scholar] [CrossRef]
- David, S.; Komnik, I.; Peters, M.; Funken, J.; Potthast, W. Identification and risk estimation of movement strategies during cutting maneuvers. J. Sci. Med. Sports 2017, 20, 1075–1080. [Google Scholar] [CrossRef]
- Borotikar, B.S.; Newcomer, R.; Koppes, R.; McLean, S.G. Combined effects of fatigue and decision making on female lower limb landing postures: Central and peripheral contributions to ACL injury risk. Clin. Biomech. 2008, 23, 81–92. [Google Scholar] [CrossRef] [PubMed]
- Butler, D.L.; Noyes, F.; Grood, E. Ligamentous restraints to anterior-posterior drawer in the human knee. A biomechanical study. JBJS 1980, 62, 259–270. [Google Scholar] [CrossRef]
- Markolf, K.L.; Burchfield, D.M.; Shapiro, M.M.; Shepard, M.F.; Finerman, G.A.; Slauterbeck, J.L. Combined knee loading states that generate high anterior cruciate ligament forces. J. Orthop. Res. 1995, 13, 930–935. [Google Scholar] [CrossRef]
- Markolf, K.L.; Gorek, J.F.; Kabo, J.M.; Shapiro, M.S. Direct measurement of resultant forces in the anterior cruciate ligament. An in vitro study performed with a new experimental technique. JBJS 1990, 72, 557–567. [Google Scholar] [CrossRef]
- Oh, Y.K.; Lipps, D.B.; Ashton-Miller, J.A.; Wojtys, E.M. What strains the anterior cruciate ligament during a pivot landing? Am. J. Sports Med. 2012, 40, 574–583. [Google Scholar] [CrossRef]
- Lin, H.T.; Kuo, W.C.; Chen, Y.; Lo, T.Y.; Li, Y.I.; Chang, J.H. Effects of Fatigue in Lower Back Muscles on Basketball Jump Shots and Landings. Phys. Act. Health 2022, 6, 273–286. [Google Scholar] [CrossRef]
- Cen, X.; Song, Y.; Sun, D.; Bíró, I.; Gu, Y. Applications of Finite Element Modeling in Biomechanical Analysis of Foot Arch Deformation: A Scoping Review. J. Biomech. Eng. 2023, 145, 070801. [Google Scholar] [CrossRef]
- Li, G.; Rudy, T.; Sakane, M.; Kanamori, A.; Ma, C.; Woo, S.Y. The importance of quadriceps and hamstring muscle loading on knee kinematics and in-situ forces in the ACL. J. Biomech. 1999, 32, 395–400. [Google Scholar] [CrossRef]
- Hewett, T.E.; Myer, G.D.; Ford, K.R.; Heidt, R.S., Jr.; Colosimo, A.J.; McLean, S.G.; Van den Bogert, A.J.; Paterno, M.V.; Succop, P. Biomechanical measures of neuromuscular control and valgus loading of the knee predict anterior cruciate ligament injury risk in female athletes: A prospective study. Am. J. Sports Med. 2005, 33, 492–501. [Google Scholar] [CrossRef]
- Hashemi, J.; Breighner, R.; Chandrashekar, N.; Hardy, D.M.; Chaudhari, A.M.; Shultz, S.J.; Slauterbeck, J.R.; Beynnon, B.D. Hip extension, knee flexion paradox: A new mechanism for non-contact ACL injury. J. Biomech. 2011, 44, 577–585. [Google Scholar] [CrossRef]
- Song, Y.; Cen, X.; Chen, H.; Sun, D.; Munivrana, G.; Bálint, K.; Bíró, I.; Gu, Y. The influence of running shoe with different carbon-fiber plate designs on internal foot mechanics: A pilot computational analysis. J Biomech. 2023, 153, 111597. [Google Scholar] [CrossRef] [PubMed]
- Pan, J.W.; Ho, M.Y.M.; Loh, R.B.C.; Iskandar, M.N.S.; Kong, P.W. Foot Morphology and Running Gait Pattern between the Left and Right Limbs in Recreational Runners. Phys. Act. Health 2023, 7, 43–52. [Google Scholar] [CrossRef]







| Demographic | Results |
|---|---|
| Age (years) | 24.70 ± 2.30 |
| Height (m) | 1.79 ± 3.12 |
| Mass (kg) | 77.52 ± 2.43 |
| Training hours per week (h) | 14.12 ± 4.30 |
| Length of the ACL (mm) | 32.44 ± 1.62 |
Disclaimer/Publisher’s Note: The statements, opinions and data contained in all publications are solely those of the individual author(s) and contributor(s) and not of MDPI and/or the editor(s). MDPI and/or the editor(s) disclaim responsibility for any injury to people or property resulting from any ideas, methods, instructions or products referred to in the content. |
© 2023 by the authors. Licensee MDPI, Basel, Switzerland. This article is an open access article distributed under the terms and conditions of the Creative Commons Attribution (CC BY) license (https://creativecommons.org/licenses/by/4.0/).
Share and Cite
Shao, E.; Mei, Q.; Ye, T.; Kovács, B.; Baker, J.S.; Liu, W.; Gu, Y. The Effects of 5 km Interval Running on the Anterior Cruciate Ligament Strain and Biomechanical Characteristic of the Knee Joint: Simulation and Principal Component Analysis. Appl. Sci. 2023, 13, 6760. https://doi.org/10.3390/app13116760
Shao E, Mei Q, Ye T, Kovács B, Baker JS, Liu W, Gu Y. The Effects of 5 km Interval Running on the Anterior Cruciate Ligament Strain and Biomechanical Characteristic of the Knee Joint: Simulation and Principal Component Analysis. Applied Sciences. 2023; 13(11):6760. https://doi.org/10.3390/app13116760
Chicago/Turabian StyleShao, Enze, Qichang Mei, Tongjun Ye, Bálint Kovács, Julien S. Baker, Wei Liu, and Yaodong Gu. 2023. "The Effects of 5 km Interval Running on the Anterior Cruciate Ligament Strain and Biomechanical Characteristic of the Knee Joint: Simulation and Principal Component Analysis" Applied Sciences 13, no. 11: 6760. https://doi.org/10.3390/app13116760
APA StyleShao, E., Mei, Q., Ye, T., Kovács, B., Baker, J. S., Liu, W., & Gu, Y. (2023). The Effects of 5 km Interval Running on the Anterior Cruciate Ligament Strain and Biomechanical Characteristic of the Knee Joint: Simulation and Principal Component Analysis. Applied Sciences, 13(11), 6760. https://doi.org/10.3390/app13116760

