Investigation of the Effect of Twelve Pharmaceuticals on Germination and Growth Parameters of Basil (Ocimum basilicum L.)
Abstract
1. Introduction
2. Materials and Methods
2.1. Pharmaceuticals
2.2. Experimental Procedure
2.3. Germination Parameters
- Germination Energy (GE)
- Final Germination Percentage (FGP)
- Mean Germination Time (MGT)
- Seed Vigor Index I (SVI-I)
- Seed Vigor Index-II (SVI-II)
2.4. Morphological Parameters and Photosynthetic Pigment Analysis
2.5. Statistical Analysis
3. Results and Discussion
3.1. Germination Parameters
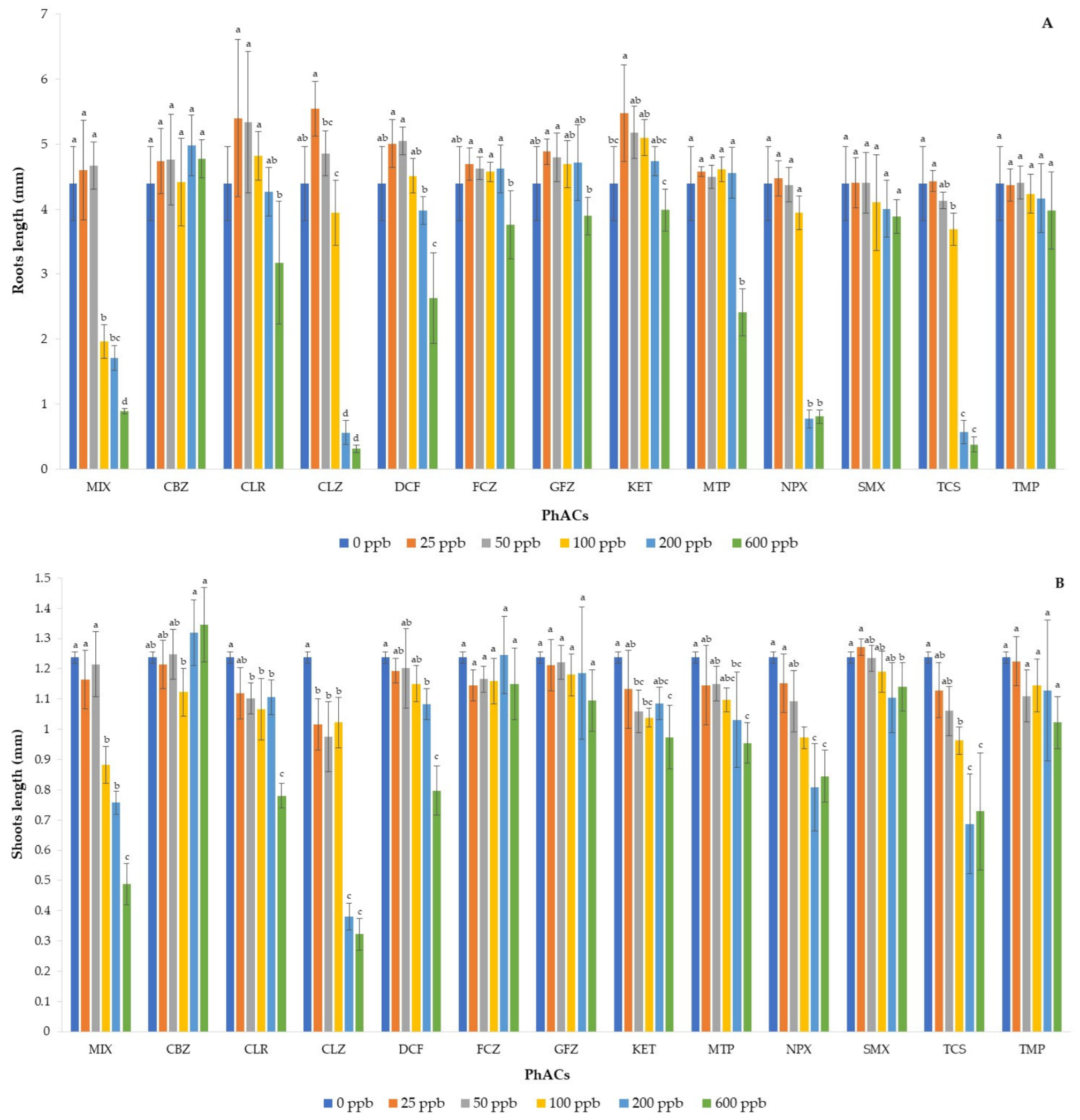
3.2. Early Growth Parameters
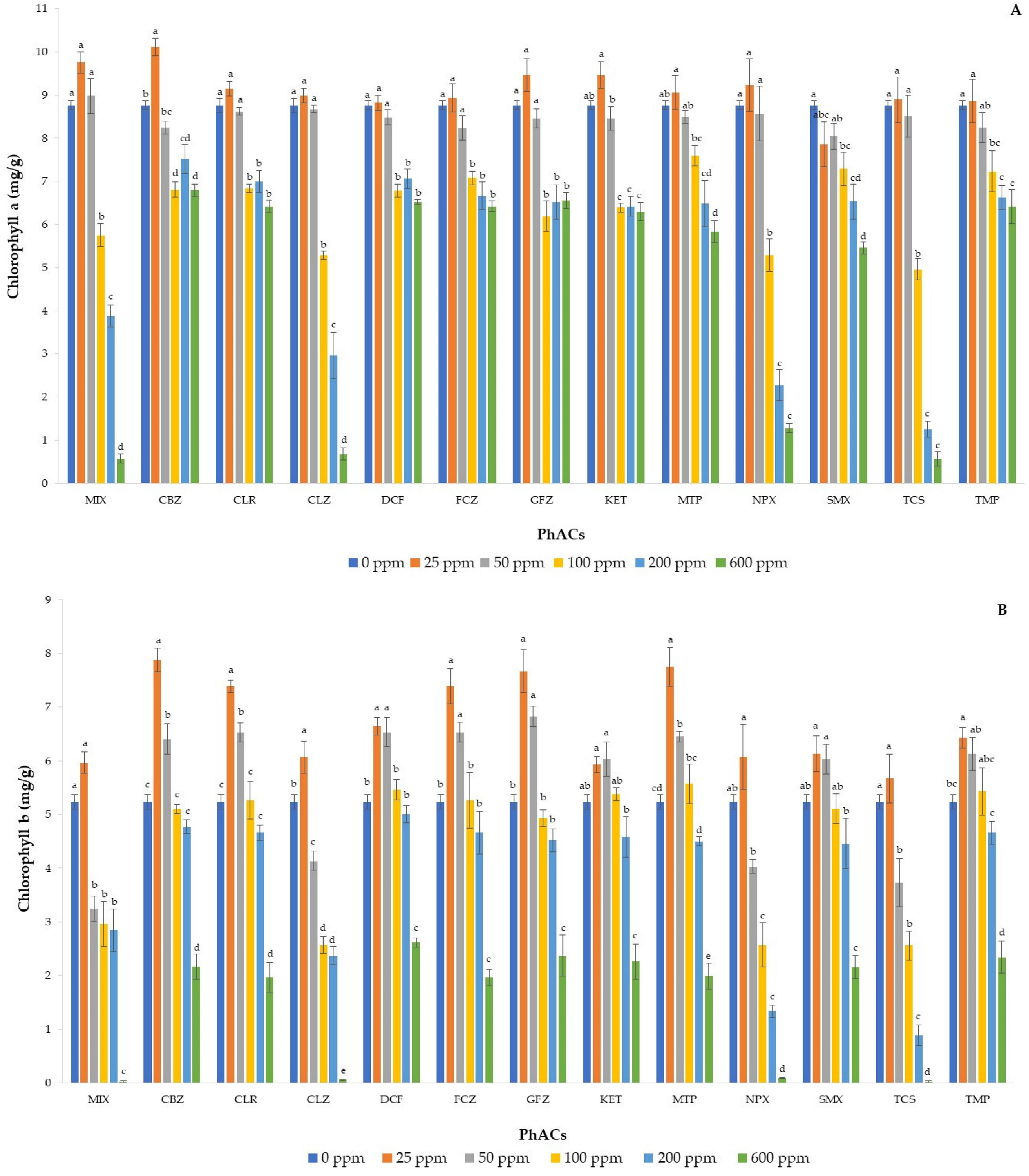
3.3. Photosynthetic Pigments
4. Conclusions
Author Contributions
Funding
Institutional Review Board Statement
Informed Consent Statement
Data Availability Statement
Conflicts of Interest
References
- Madikizela, L.; Ncube, S.; Chimuka, L. Uptake of pharmaceuticals by plants grown under hydroponic conditions and natural occurring plant species: A review. Sci. Total Environ. 2018, 636, 477–486. [Google Scholar] [CrossRef] [PubMed]
- González Peña, O.I.; López Zavala, M.Á.; Cabral Ruelas, H. Pharmaceuticals Market, Consumption Trends and Disease Incidence Are Not Driving the Pharmaceutical Research on Water and Wastewater. Int. J. Environ. Res. Public Health 2021, 18, 2532. [Google Scholar] [CrossRef] [PubMed]
- Khasawneh, O.F.S.; Palaniandy, P. Occurrence and removal of pharmaceuticals in wastewater treatment plants. Process Saf. Environ. Prot. 2021, 150, 532–556. [Google Scholar] [CrossRef]
- Shaheen, J.F.; Sizirici, B.; Yildiz, I. Fate, transport, and risk assessment of widely prescribed pharmaceuticals in terrestrial and aquatic systems: A review. Emerg. Contam. 2022, 8, 216–228. [Google Scholar] [CrossRef]
- Al-Farsi, R.S.; Ahmed, M.; Al-Busaidi, A.; Choudri, B.S. Translocation of pharmaceuticals and personal care products (PPCPs) into plant tissues: A review. Emerg. Contam. 2017, 3, 132–137. [Google Scholar] [CrossRef]
- Bártíková, H.; Podlipná, R.; Skálová, L. Veterinary drugs in the environment and their toxicity to plants. Chemosphere 2016, 144, 2290–2301. [Google Scholar] [CrossRef]
- De Mastro, F.; Brunetti, G.; De Mastro, G.; Ruta, C.; Stea, D.; Murgolo, S.; De Ceglie, C.; Mascolo, G.; Sannino, F.; Cocozza, C.; et al. Uptake of different pharmaceuticals in soil and mycorrhizal artichokes from wastewater. Environ. Sci. Pollut. Res. 2022, 30, 33349–33362. [Google Scholar] [CrossRef]
- Stando, K.; Korzeniewska, E.; Felis, E.; Harnisz, M.; Bajkacz, S. Uptake of Pharmaceutical Pollutants and Their Metabolites from Soil Fertilized with Manure to Parsley Tissues. Molecules 2022, 27, 4378. [Google Scholar] [CrossRef]
- Zeng, Y.; Zhang, Y.; Zhang, H.; Wang, J.; Lian, K.; Ai, L. Uptake and Transport of Different Concentrations of PPCPs by Vegetables. Int. J. Environ. Res. Public Health 2022, 19, 15840. [Google Scholar] [CrossRef]
- Corbel, S.; Mougin, C.; Martin-Laurent, F.; Crouzet, O.; Bru, D.; Nélieu, S.; Bouaïcha, N. Evaluation of phytotoxicity and ecotoxicity potentials of a cyanobacterial extract containing microcystins under realistic environmental concentrations and in a soil-plant system. Chemosphere 2015, 128, 332–340. [Google Scholar] [CrossRef]
- Venkata, L.; Pullagurala, R.; Rawat, S.; Adisa, I.O.; Hernandez-Viezcas, J.A.; Peralta-Videa, J.R.; Gardea-Torresdey, J.L. Plant uptake and translocation of contaminants of emerging concern in soil. Sci. Total Environ. 2018, 636, 1585–1596. [Google Scholar] [CrossRef]
- Bellino, A.; Lofrano, G.; Carotenuto, M.; Libralato, G.; Baldantoni, D. Antibiotic effects on seed germination and root development of tomato (Solanum lycopersicum L.). Ecotoxicol. Environ. Saf. 2018, 148, 135–141. [Google Scholar] [CrossRef] [PubMed]
- Pino, M.; Muñiz, S.; Val, J.; Navarro, E. Phytotoxicity of 15 common pharmaceuticals on the germination of Lactuca sativa and photosynthesis of Chlamydomonas reinhardtii. Environ. Sci. Pollut. Res. 2016, 23, 22530–22541. [Google Scholar] [CrossRef]
- Rede, D.; Santos, L.H.M.L.M.; Ramos, S.; Oliva-Teles, F.; Antão, C.; Sousa, S.R.; Delerue-Matos, C. Individual and mixture toxicity evaluation of three pharmaceuticals to the germination and growth of Lactuca sativa seeds. Sci. Total Environ. 2019, 673, 102–109. [Google Scholar] [CrossRef]
- Pan, M.; Chu, L. Phytotoxicity of veterinary antibiotics to seed germination and root elongation of crops. Ecotoxicol. Environ. Saf. 2016, 126, 228–237. [Google Scholar] [CrossRef]
- Luo, Y.; Liang, J.; Zeng, G.; Chen, M.; Mo, D.; Li, G.; Zhang, D. Seed germination test for toxicity evaluation of compost: Its roles, problems and prospects. Waste Manag. 2018, 71, 109–114. [Google Scholar] [CrossRef]
- Priac, A.; Badot, P.M.; Crini, G. Treated wastewater phytotoxicity assessment using Lactuca sativa: Focus on germination and root elongation test parameters. Comptes Rendus Biol. 2017, 340, 188–194. [Google Scholar] [CrossRef] [PubMed]
- Di Salvatore, M.; Carafa, A.M.; Carratù, G. Assessment of heavy metals phytotoxicity using seed germination and root elongation tests: A comparison of two growth substrates. Chemosphere 2008, 73, 1461–1464. [Google Scholar] [CrossRef]
- Calderón Bravo, H.; Vera Céspedes, N.; Zura-Bravo, L.; Muñoz, L.A. Basil Seeds as a Novel Food, Source of Nutrients and Functional Ingredients with Beneficial Properties: A Review. Foods 2021, 10, 1467. [Google Scholar] [CrossRef]
- Sipos, L.; Balázs, L.; Székely, G.; Jung, A.; Sárosi, S.; Radácsi, P.; Csambalik, L. Optimization of Basil (Ocimum basilicum L.) Production in LED Light Environments—A Review. Sci. Hortic. 2021, 289, 110486. [Google Scholar] [CrossRef]
- Kowalska, G. Pesticide Residues in Some Polish Herbs. Agriculture 2020, 10, 154. [Google Scholar] [CrossRef]
- Adeleye, A.S.; Xue, J.; Zhao, Y.; Taylor, A.A.; Zenobio, J.E.; Sun, Y.; Han, Z.; Salawu, O.A.; Zhu, Y. Abundance, fate, and effects of pharmaceuticals and personal care products in aquatic environments. J. Hazard. Mater. 2022, 424, 127284. [Google Scholar] [CrossRef] [PubMed]
- Rodriguez-Mozaz, S.; Vaz-Moreira, I.; Varela Della Giustina, S.; Llorca, M.; Barcelo, D.; Schubert, S.; Berendonk, T.U.; Michael-Kordatou, I.; Fatta-Kassinos, D.; Martinez, J.L.; et al. Antibiotic residues in final effluents of European wastewater treatment plants and their impact on the aquatic environment. Environ. Int. 2020, 140, 105733. [Google Scholar] [CrossRef] [PubMed]
- ISTA. ISTA Handbook on Seedling Evaluation; International Seed Testing Association (ISTA): Bassersdorf, Switzerland, 2006. [Google Scholar]
- Scott, S.; Jones, R.; Williams, W. Review of data analysis methods for seed germination. Crop Sci. 1984, 24, 1192–1199. [Google Scholar] [CrossRef]
- Orchard, T. Estimating the parameters of plant seedling emergence. Seed Sci. Technol. 1977, 5, 61–69. [Google Scholar]
- Abdul- Baki, A.A.; Anderson, J.D. Physiological and biochemical deterioration of seeds. In Seed Biology; Kozlowski, T.T., Ed.; Academic Press: New York, NY, USA, 1972; Volume 2, pp. 283–315. [Google Scholar]
- Bibi, A.; Sadaqat, H.A.; Tahir, M.H.N.; Akram, H.M. Screening of sorghum (Sorghum bicolor var Moench) for drought tolerance at seedling stage in polyethylene glycol. J. Anim. Plant Sci. 2012, 22, 671–678. [Google Scholar]
- Lichtenthaler, H.K.; Wellburn, A.R. Determinations of total carotenoids and chlorophylls a and b of leaf extracts in different solvents. Biochem. Soc. Trans. 1983, 11, 591–592. [Google Scholar] [CrossRef]
- Hillis, D.G.; Fletcher, J.; Solomon, K.R.; Sibley, P.K. Effects of ten antibiotics on seed germination and root elongation in three plant species. Arch. Environ. Contam. Toxicol. 2011, 60, 220–232. [Google Scholar] [CrossRef]
- An, J.; Zhou, Q.; Sun, F.; Zhang, L. Ecotoxicological effects of paracetamol on seedgermination and seedling development of wheat (Triticum aestivum L.). J. Hazard. Mater. 2009, 169, 751–757. [Google Scholar] [CrossRef]
- Vazquez-Roig, P.; Andreu, V.; Blasco, C.; Picó, Y. Risk assessment on the presence of pharmaceuticals in sediments, soils and waters of the Pego–OlivaMarshlands (Valencia, eastern Spain). Sci. Total Environ. 2012, 440, 24–32. [Google Scholar] [CrossRef]
- Novak, P.J.; Arnold, W.A.; Blazer, V.S.; Halden, R.U.; Klaper, R.D.; Kolpin, D.W.; Kriebel, D.; Love, N.G.; Martinović-Weigelt, D.; Patisaul, H.B.; et al. On the Need for a National (U.S.) Research Program to Elucidate the Potential Risks to Human Health and the Environment Posed by Contaminants of Emerging Concern. Environ. Sci. Technol. 2011, 45, 3829–3830. [Google Scholar] [CrossRef]
- Pawłowska, B.; Telesiński, A.; Biczak, R. Effect of diclofenac and naproxen and their mixture on spring barley seedlings and Heterocypris incongruens. Environ. Toxicol. Pharmacol. 2021, 88, 103746. [Google Scholar] [CrossRef] [PubMed]
- Schmidt, W.; Redshaw, C.H. Evaluation of biological endpoints in crop plants after exposure to non-steroidal anti-inflammatory drugs (NSAIDs): Implications for phytotoxicological assessment of novel contaminants. Ecotox. Environ. Saf. 2015, 112, 212–222. [Google Scholar] [CrossRef] [PubMed]
- Svobodníková, L.; Kemerova, M.; Zezulka, S.; Babula, P.; Sendecká, K. Root response in Pisum sativum under naproxen stress: Morphoanatomical, cytological, and biochemical traits. Chemosphere 2020, 258, 127411. [Google Scholar] [CrossRef] [PubMed]
- Zezulka, S.; Kummerová, M.; Babula, P.; Hájková, M.; Oravec, M. Sensitivity of physiological and biochemical endpoints in early ontogenetic stages of crops under diclofenac and paracetamol treatments. Environ. Sci. Pollut. Res. 2019, 26, 3965–3979. [Google Scholar] [CrossRef]
- Bartrons, M.; Peñuelas, J. Pharmaceuticals and personal-care products in plants. Trends Plant Sci. 2017, 22, 194–203. [Google Scholar] [CrossRef] [PubMed]
- Richter, E.; Wick, A.; Ternes, T.A.; Coors, A. Ecotoxicity of climbazole, a fungicide contained in antidandruff shampoo. Environ. Toxicol. Chem. 2013, 32, 2816–2825. [Google Scholar] [CrossRef]
- Bhagat, J.; Singh, N.; Nishimura, N.; Shimada, Y. A comprehensive review on environmental toxicity of azole compounds to fish. Chemosphere 2021, 262, 128335. [Google Scholar] [CrossRef]
- Currey, C.J.; Erwin, J.E. Foliar applications of plant growth regulators affect stem elongation and branching of 11 Kalanchoe species. HortTechnology 2012, 22, 338–344. [Google Scholar] [CrossRef]
- Zhang, J.; Cao, X.L.; Yong, T.W.; Yang, W.Y. Seed treatment with uniconazole powder induced drought tolerance of soybean in relation to changes in photosynthensis and chlorophyll fluorescence. Res. Crop 2012, 13, 147–154. [Google Scholar]
- García-Valcárcel, A.I.; Loureiro, I.; Escorial, C.; Molero, E.; Tadeo, J.L. Uptake of azoles by lamb’s lettuce (Valerianella locusta L.) grown in hydroponic conditions. Ecotoxicol. Environ. Saf. 2016, 124, 138–146. [Google Scholar] [CrossRef]
- McLeod, R.; Muench, S.P.; Rafferty, J.B.; Kyle, D.E.; Mui, E.J.; Kirisits, M.J.; Mack, D.G.; Roberts, C.W.; Samuel, B.U.; Lyons, R.E.; et al. Triclosan inhibits the growth of Plasmodium falciparum and Toxoplasma gondii by inhibition of Apicomplexan Fab I. Int. J. Parasitol. 2001, 31, 109–113. [Google Scholar] [CrossRef]
- Li, Y.; He, N.; Hou, J.; Xu, L.; Liu, C.; Zhang, J.; Wang, Q.; Zhang, X.; Wu, X. Factors influencing leaf chlorophyll content in natural forests at the biome scale. Front. Ecol. Evol. 2018, 6, 64. [Google Scholar] [CrossRef]
- Młodzińska, E. Survey of plant pigments: Molecular and environmental determinants of plant colors. Acta Biol. Cracov. Bot. 2009, 51, 7–16. [Google Scholar]
- Cao, X.; Cui, X.; Xie, M.; Zhao, R.; Xu, L.; Ni, S.; Cui, Z. Amendments and bioaugmentation enhanced phytoremediation and micro- ecology for PAHs and heavy metals co-contaminated soils. J. Hazard. Mater. 2022, 426, 128096. [Google Scholar] [CrossRef] [PubMed]
- Munneé-Bosch, S.; Alegre, L. Changes in carotenoids, tocopherols and diterpenes during drought and recovery, and the biological significance of chlorophyll loss in Rosmarinus officinalis plants. Planta 2000, 210, 925–931. [Google Scholar] [CrossRef]
- Opriș, O.; Lung, I.; Soran, M.L.; Ciorîță, A.; Copolovici, L. Investigating the effects of non-steroidal anti-inflammatory drugs (NSAIDs) on the composition and ultrastructure of green leafy vegetables with important nutritional values. Plant Physiol. Biochem. 2020, 151, 342–351. [Google Scholar] [CrossRef]
- Wang, H.; Jin, M.; Mao, W.; Chen, C.; Fu, L.; Li, Z.; Du, S.; Liu, H. Photosynthetic toxicity of non-steroidal anti-inflammatory drugs (NSAIDs) on green algae Scenedesmus obliquus. Sci. Total Environ. 2020, 707, 136176. [Google Scholar] [CrossRef]
- Barizão, É.O.; Visentainer, J.V.; de Cinque Almeida, V.; Ribeiro, D.; Chisté, R.C.; Fernandes, E. Citharexylum Solanaceum Fruit Extracts: Profiles of Phenolic Compounds and Carotenoids and Their Relation with ROS and RNS Scavenging Capacities. Food Res. Int. 2016, 86, 24–33. [Google Scholar] [CrossRef]
- Othman, R.; Mohd Zaifuddin, F.A.; Hassan, N.M. Carotenoid biosynthesis regulatory mechanisms in plants. J. Oleo Sci. 2014, 63, 753–760. [Google Scholar] [CrossRef]





| CECs | Molecular Weight g/mol | Chemical Structure | Chemical Class | Water Solubility mg/L | KOW | pKa |
|---|---|---|---|---|---|---|
| Clarithromicin | 748 | ![]() | antibiotic | 1.69 at 25 °C | 3.16 | 8.99 |
| Trimethoprim | 290.32 | ![]() | antibiotic | 400 at 25 °C | 0.91 | 7.12 |
| Sulfamethoxazole | 253.28 | ![]() | antibiotic | 610 at 37 °C | 0.89 | 1.6 |
| Fluconazole | 306.27 | ![]() | antifungal | 4.36 at 25 °C | 0.25 | 2.27 |
| Climbazole | 292.76 | ![]() | antifungal | 58 at 25 °C | 3.76 | 6.49 |
| Diclofenac | 296.1 | ![]() | anti-inflammatory | 2.37 at 25 °C | 4.15 | 4.15 |
| Ketoprofene | 254.28 | ![]() | anti-inflammatory | 51 at 22 °C | 3.12 | 4.45 |
| Naproxen | 230.26 | ![]() | anti-inflammatory | 15.9 at 25 °C | 3.18 | 4.15 |
| Triclosan | 289.5 | ![]() | antibacterial | 10 at 20 °C | 4.76 | 7.9 |
| Metoprolol | 267.36 | ![]() | beta blocker | 0.4 at 25 °C | 1.88 | 9.7 |
| Gemfibrozil | 250.33 | ![]() | antilipemic | 11 at 25 °C | 4.77 | 4.5 |
| Carbamazepine | 236.27 | ![]() | antidepressant | 18 at 25 °C | 2.45 | 13.9 |
| Germination Parameter | Symbol | Unit | Calculation | Formula Description | Parameter Description |
|---|---|---|---|---|---|
| Germination Energy | GE | % | GE = (n/N) × 100 | N = number of seeds germinated after four days N = number of seeds tested | GE is the parameter that gives the percentage of fast-germinating seeds. On day 4, an evaluation of the germination energy is conducted [24]. When plants have high germinative energy, they have constant growth that limits competition with weeds and ensures maximum use of the cultivated land. |
| Final Germination Percentage | FGP | % | FGP = (nT/N) × 100 | nT = total number of germinated seeds N = number of seeds tested | Higher FGP values correspond to higher seed germination [25]. |
| Mean Germination Time | MGT | day | MGT = ∑(n × d)/N | N = number of seeds germinated on each day d = number of days from the beginning of the test N = total number of seeds germinated at the end of the experiment | At low MGT values, seed germination is faster [26]. |
| Seed Vigor Index-I | SVI-I | - | SVI-I = SL × FGP | SL = seedling length (cm) FGP = Final Germination Percentage | The seed vigor index was determined by multiplying the FGP and the length of the seedling (mm) or seedling dry weight of the seedling (g). The seed lot showing higher seed vigor index was considered more vigorous [27]. |
| Seed Vigor Index-II | SVI-II | - | SVI-II = SDW×FGP | SDW = Seedling dry weight (mg) FGP = Final Germination Percentage |
| GE | FGP | MGT | SVI-I | SVI-II | |
|---|---|---|---|---|---|
| Concentration | ** | *** | *** | *** | *** |
| PhACs | *** | n.s. | *** | *** | *** |
| Concentration | |||||
| 0 ppm | 54.00 b | 80.00 a | 3.60 a | 448.66 ab | 83.78 b |
| 25 ppm | 57.84 ab | 78.30 ab | 3.36 ab | 467.74 a | 137.15 a |
| 50 ppm | 58.46 ab | 77.53 ab | 3.28 bc | 453.41 a | 128.14 a |
| 100 ppm | 60.76 a | 77.07 ab | 3.16 bc | 406.53 b | 120.42 a |
| 200 ppm | 60.92 a | 74.46 bc | 3.05 c | 331.23 c | 76.13 b |
| 600 ppm | 58.30 ab | 71.53 c | 3.05 c | 266.45 d | 63.28 b |
| PhACs | |||||
| Mix | 69.00 a | 75.00 ab | 2.69 d | 311.10 b | 71.52 b |
| CBZ | 67.00 ab | 78.33 ab | 2.85 cd | 462.89 a | 85.26 b |
| CLR | 54.00 c | 76. 33 ab | 3.48 ab | 430.71 a | 76.06 b |
| CLZ | 53.33 c | 71.00 b | 3.26 abc | 308.86 b | 236.02 a |
| DCF | 57.33 c | 76.66 ab | 3.26 abc | 415.41 a | 81.72 b |
| FCZ | 56.33 c | 78.00 ab | 3.39 ab | 438.23 a | 80.90 b |
| GFZ | 57.33 c | 77.33 ab | 3.37 ab | 444.01 a | 81.46 b |
| KET | 58.00 c | 76.66 ab | 3.23 abc | 452.97 a | 83.94 b |
| MTP | 54.00 c | 77.66 ab | 3.57 a | 409.31 a | 76.70 b |
| NPX | 57.66 c | 74.33 ab | 3.26 abc | 318.06 b | 217.81 a |
| SMX | 56.00 c | 77.33 ab | 3.40 ab | 416.82 a | 77.39 b |
| TCS | 59.66 bc | 75.66 ab | 3.09 bcd | 304.01 b | 71.01 b |
| TMP | 59.33 bc | 80.00 a | 3.39 ab | 431.34 a | 79.49 b |
Disclaimer/Publisher’s Note: The statements, opinions and data contained in all publications are solely those of the individual author(s) and contributor(s) and not of MDPI and/or the editor(s). MDPI and/or the editor(s) disclaim responsibility for any injury to people or property resulting from any ideas, methods, instructions or products referred to in the content. |
© 2023 by the authors. Licensee MDPI, Basel, Switzerland. This article is an open access article distributed under the terms and conditions of the Creative Commons Attribution (CC BY) license (https://creativecommons.org/licenses/by/4.0/).
Share and Cite
De Mastro, F.; Brunetti, G.; Traversa, A.; Cacace, C.; Cocozza, C. Investigation of the Effect of Twelve Pharmaceuticals on Germination and Growth Parameters of Basil (Ocimum basilicum L.). Appl. Sci. 2023, 13, 6759. https://doi.org/10.3390/app13116759
De Mastro F, Brunetti G, Traversa A, Cacace C, Cocozza C. Investigation of the Effect of Twelve Pharmaceuticals on Germination and Growth Parameters of Basil (Ocimum basilicum L.). Applied Sciences. 2023; 13(11):6759. https://doi.org/10.3390/app13116759
Chicago/Turabian StyleDe Mastro, Francesco, Gennaro Brunetti, Andreina Traversa, Claudio Cacace, and Claudio Cocozza. 2023. "Investigation of the Effect of Twelve Pharmaceuticals on Germination and Growth Parameters of Basil (Ocimum basilicum L.)" Applied Sciences 13, no. 11: 6759. https://doi.org/10.3390/app13116759
APA StyleDe Mastro, F., Brunetti, G., Traversa, A., Cacace, C., & Cocozza, C. (2023). Investigation of the Effect of Twelve Pharmaceuticals on Germination and Growth Parameters of Basil (Ocimum basilicum L.). Applied Sciences, 13(11), 6759. https://doi.org/10.3390/app13116759













