Combined Influence of Gate Oxide and Back Oxide Materials on Self-Heating and DIBL Effect in 2D MOS2-Based MOSFETs
Abstract
1. Introduction
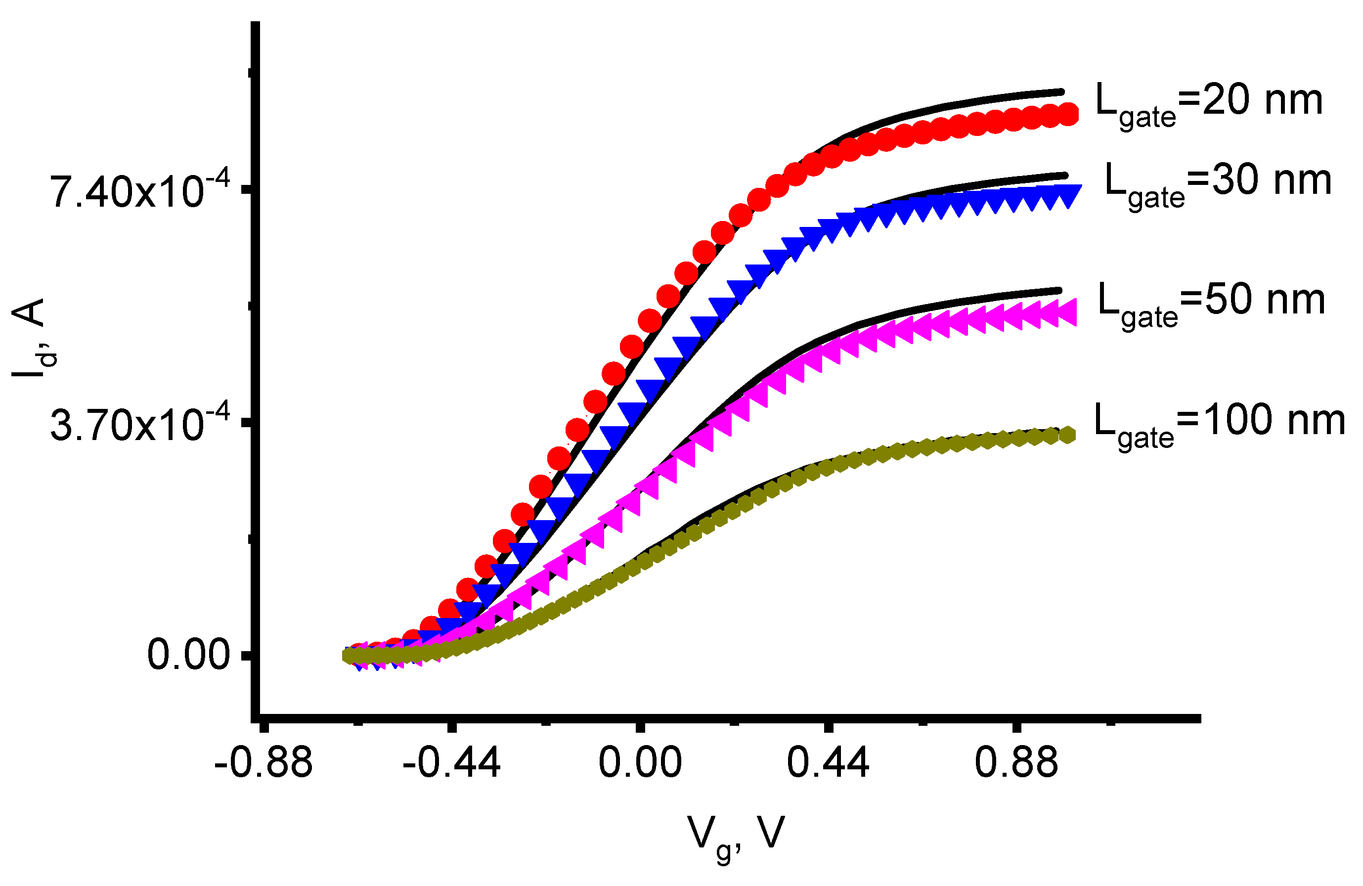
2. Simulation Conditions and Parameterization of the Transistor
3. Simulation Results and Discussion
3.1. SHE for Different Combinations of the Gate Oxide and Back Oxide Materials
3.2. DIBL Effect for Different Combinations of the Gate Oxide and Back Oxide Materials
3.3. Optimization of the Combination of the Gate Oxide and Back Oxide Materials
4. Conclusions
Author Contributions
Funding
Institutional Review Board Statement
Informed Consent Statement
Data Availability Statement
Conflicts of Interest
Abbreviations
| SHE | Self-Heating Effect |
| DIBL | Drain-Induced Barrier Lowering |
| MOSFET | Metal-Oxide-Semiconductor Field Effect Transistor |
| BOX | Back oxide |
| TMD | Transition Metal Dichalcogenide |
| CMOS | Complementary Metal-Oxide-Semiconductor |
| DOS | Density of States |
| 2D | Two Dimensional |
| TCAD | Technology Computer Aided Design |
References
- Radisavljevic, B.; Radenovic, A.; Brivio, J.; Giacometti, V.; Kis, A. Single-Layer MoS2 Transistors. Nat. Nanotechnol. 2011, 6, 147–150. [Google Scholar] [CrossRef]
- Geng, Z. Simulation of Graphen Nanoribbon and MoS2 Transistors. Master’s Thesis, TU Ilmenau, Ilmenau, Germany, 2016; pp. 3–17. (In German). [Google Scholar]
- Liu, H.; Neal, A.T.; Ye, P.D. Channel Length Scaling of MoS2 MOSFETs. ACS Nano 2012, 6, 8563–8569. [Google Scholar] [CrossRef]
- Tong, X.; Ashalley, E.; Lin, F.; Li, H.; Wang, Z.M. Advances in MoS2-Based Field Effect Transistors (FETs). Nano-Micro Lett. 2015, 7, 203–218. [Google Scholar] [CrossRef] [PubMed]
- Guo, Y.; Wei, X.; Shu, J.; Liu, B.; Yin, J.; Guan, C.; Han, Y.; Gao, S.; Chen, Q. Charge trapping at the MoS2-SiO2 interface and its effects on the characteristics of MoS2 metal-oxide-semiconductor field effect transistors. Appl. Phys. Lett. 2015, 106, 103109. [Google Scholar] [CrossRef]
- Atamuratov, A.E.; Jabbarova, B.O.; Khalilloev, M.M.; Sivasankaran, K.; Chedjou, J.C. Impact of the channel shape, back oxide and gate oxide layers on self-heating in nanoscale JL FINFET. Nanosyst. Phys. Chem. Math. 2022, 13, 148–155. [Google Scholar] [CrossRef]
- Atamuratov, A.E.; Jabbarova, B.O.; Khalilloev, M.M.; Yusupov, A. The Self-Heating Effect in Junctionless Fin Field-Effect Transistors Based on Silicon-on-Insulator Structures with Different Channel Shapes. Tech. Phys. Lett. 2021, 47, 542–545. [Google Scholar] [CrossRef]
- Atamuratov, A.E.; Jabbarova, B.O.; Khalilloev, M.M.; Yusupov, A.; Loureiro, A.G. Self-heating effect in nanoscale SOI Junctionless FinFET with different geometries. In Proceedings of the 2021 13th Spanish Conference on Electron Devices (CDE), Sevilla, Spain, 9–11 June 2021; pp. 62–65. [Google Scholar]
- Atamuratov, A.E.; Saparov, X.S.; Atamuratov, T.; Yusupov, A.; Schwierz, F. The contribution of gate and drain voltages to temperature distribution along the channel in 2D MoS2 based MOSFET. In Proceedings of the 2021 International Conference on Information Science and Communications Technologies (ICISCT), Tashkent, Uzbekistan, 3–5 November 2021; pp. 1–3. [Google Scholar] [CrossRef]
- Tiwari, S.; Dolai, S.; Rahaman, H.; Gupta, P.S. Effect of temperature & phonon scattering on the drain current of a MOSFET using SL-MoS2 as its channel material. Superlattices Microstruct. 2017, 111, 912–921. [Google Scholar] [CrossRef]
- Wolf, S. The Submicron MOSFET, Vol. 3 of Silicon Processing for the VLSI Era; Lattice Press: Sunset Beach, CA, USA, 1995. [Google Scholar]
- Granzner, R.; Geng, Z.; Kinberger, W.; Schwierz, F. MOSFET scaling: Impact of two-dimensional channel materials. In Proceedings of the 2016 13th IEEE International Conference on Solid-State and Integrated Circuit Technology (ICSICT), Hangzhou, China, 25–28 October 2016; pp. 466–469. [Google Scholar] [CrossRef]
- Bondja, C.N.; Geng, Z.; Granzner, R.; Pezoldt, J.; Schwierz, F. Simulation of 50-nm Gate Graphene Nanoribbon Transistors. Electronics 2016, 5, 3. [Google Scholar] [CrossRef]
- Szabo, A.; Rhyner, R.; Luisier, M. Ab-initio simulations of MoS2 transistors: From mobility calculation to device performance evaluation. In Proceedings of the 2014 IEEE International Electron Devices Meeting (IEDM), San Francisco, CA, USA, 15–17 December 2014; pp. 725–728. [Google Scholar] [CrossRef]
- Cao, W.; Kang, J.; Sarkar, D.; Liu, W.; Banerjee, K. Performance evaluation and design considerations of 2D semiconductor based FETs for sub-10 nm VLS. In Proceedings of the 2014 IEEE International Electron Devices Meeting (IEDM), San Francisco, CA, USA, 15–17 December 2014; pp. 729–732. [Google Scholar]
- Liu, L.; Lu, Y.; Guo, J. On Monolayer MoS2 Field-Effect Transistors at the Scaling Limit. IEEE Trans. Electron Devices 2013, 60, 4133–4139. [Google Scholar] [CrossRef]
- Ancona, M.G. Electron Transport in Graphene From a Diffusion-Drift Perspective. IEEE Trans. Electron Devices 2010, 57, 681–689. [Google Scholar] [CrossRef]
- Bharathi, N.D.; Sivasankaran, K. Influence of metal contact on the performance enhancement of monolayer MoS2 transistor. Superlattices Microstruct. 2018, 120, 479–486. [Google Scholar] [CrossRef]
- McDaid, L.; Hall, S.; Mellor, P.; Eccleston, W.; Alderman, J. Physical origin of negative differential resistance in SOI transistors. Electron. Lett. 1989, 25, 827–828. [Google Scholar] [CrossRef]
- Nelapati, R.P.; Sivasankaran, K. Impact of self-heating effect on the performance of hybrid FinFET. Microelectron. J. 2018, 76, 63–68. [Google Scholar] [CrossRef]
- Dongre, B.; Carrete, J.; Mingo, N.; Madsen, G.K.H. Ab initio lattice thermal conductivity of bulk and thin-film α-AI2O3. MRS Commun. 2018, 8, 1119–1123. [Google Scholar] [CrossRef]
- Galusek, D.; Galusková, D. Alumina Matrix Composites with Non-Oxide Nanoparticle Addition and Enhanced Functionalities. Nanomaterials 2015, 5, 115–143. [Google Scholar] [CrossRef]
- Kita, J.; Engelbrecht, A.; Schubert, F.; Groß, A.; Rettig, F.; Moos, R. Some practical points to consider with respect to thermal conductivity and electrical resistivity of ceramic substrates for high-temperature gas sensors. Sens. Actuators B Chem. 2015, 213, 541–546. [Google Scholar] [CrossRef]
- Frano, R.L.; Aquaro, D.; Scaletti, L.; Olivi, N. Characterization of the thermal conductivity for ceramic pebble beds. J. Phys. Conf. Ser. 2015, 655, 012057. [Google Scholar] [CrossRef]
- Hinz, M.; Marti, O.; Gotsmann, B.; Lantz, M.A.; Dürig, U. High resolution vacuum scanning thermal microscopy of HfO2 and SiO2. Appl. Phys. Lett. 2008, 92, 043122. [Google Scholar] [CrossRef]
- Panzer, M.A.; Shandalov, M.; Rowlette, J.A.; Oshima, Y.; Chen, Y.W.; McIntyre, P.C.; Goodson, K.E. Thermal Properties of Ultrathin Hafnium Oxide Gate Dielectric Films. IEEE Electron. Device Lett. 2009, 30, 1269–1271. [Google Scholar] [CrossRef]
- Yang, Y.; Lin, Z.; Li, R.; Li, Y.; Liu, W.; Tian, S.; Zhu, K.; Long, L. Thermal expansion coefficient of monolayer MoS2 determined using temperature-dependent Raman spectroscopy combined with finite element simulations. Microstructures 2021, 1, 2021002. [Google Scholar] [CrossRef]
- Stolz, C.; Genin, F.; Reitter, T.; Molau, N.; Bevis, R.; Gunten, M.; Smith, D.; Anzellotti, J. Effect of SiO2 overcoat thickness on laser damage morphology of HfO2 ISiO2 Brewster’s angle polarizers at 1064 nm. Proc. SPIE 1997, 2966, 265. [Google Scholar]
- Kato, R.; Hatta, I. Termal Conductivity Measurement of Termally-Oxidized SiO2 Films on a Silicon Wafer Using a TermoRefectance Technique. Int. J. Termophysics 2005, 26, 179–190. [Google Scholar] [CrossRef]
- Ryningen, B.; Bellmann, M.; Kvande, R.; Lohne, O. The Effect of Crucible Coating and the Temperature Field on Minority Carrier Lifetime in Directionally Solidified Multicrystalline Silicon Ingots. In Proceedings of the 27th European Photovoltaic Solar Energy Conference and Exhibition, Frankfurt, Germany, 24–28 September 2012; pp. 926–932. [Google Scholar] [CrossRef]









| Number of Combination | Gate Oxide Material | Back Oxide Material |
|---|---|---|
| 1 | Al2O3 | SiO2 |
| 2 | HfO2 | SiO2 |
| 3 | Al2O3 | HfO2 |
| 4 | HfO2 | HfO2 |
| Material | Thickness (nm) | Thermal Conductivity |
|---|---|---|
| SiO2 | 80 | 1.4 |
| Al2O3 | 2.385 | 12 |
| HfO2 (gate oxide) | 5.641 | 2.3 |
| HfO2 (Box) | 80 | 2.3 |
Disclaimer/Publisher’s Note: The statements, opinions and data contained in all publications are solely those of the individual author(s) and contributor(s) and not of MDPI and/or the editor(s). MDPI and/or the editor(s) disclaim responsibility for any injury to people or property resulting from any ideas, methods, instructions or products referred to in the content. |
© 2023 by the authors. Licensee MDPI, Basel, Switzerland. This article is an open access article distributed under the terms and conditions of the Creative Commons Attribution (CC BY) license (https://creativecommons.org/licenses/by/4.0/).
Share and Cite
Atamuratov, A.E.; Saparov, K.S.; Yusupov, A.; Chedjou, J.C. Combined Influence of Gate Oxide and Back Oxide Materials on Self-Heating and DIBL Effect in 2D MOS2-Based MOSFETs. Appl. Sci. 2023, 13, 6131. https://doi.org/10.3390/app13106131
Atamuratov AE, Saparov KS, Yusupov A, Chedjou JC. Combined Influence of Gate Oxide and Back Oxide Materials on Self-Heating and DIBL Effect in 2D MOS2-Based MOSFETs. Applied Sciences. 2023; 13(10):6131. https://doi.org/10.3390/app13106131
Chicago/Turabian StyleAtamuratov, Atabek E., Khushnudbek Sh. Saparov, Ahmed Yusupov, and Jean Chamberlain Chedjou. 2023. "Combined Influence of Gate Oxide and Back Oxide Materials on Self-Heating and DIBL Effect in 2D MOS2-Based MOSFETs" Applied Sciences 13, no. 10: 6131. https://doi.org/10.3390/app13106131
APA StyleAtamuratov, A. E., Saparov, K. S., Yusupov, A., & Chedjou, J. C. (2023). Combined Influence of Gate Oxide and Back Oxide Materials on Self-Heating and DIBL Effect in 2D MOS2-Based MOSFETs. Applied Sciences, 13(10), 6131. https://doi.org/10.3390/app13106131

