Next Article in Journal
Reversible Electroporation and Post-Electroporation Resting of Thai Basil Leaves Prior to Convective and Vacuum Drying
Next Article in Special Issue
Study on Linear and Nonlinear Thermal Buckling Mode and Instability Characteristics for Engine Rotating Thin-Walled Blade
Previous Article in Journal
Estimating Significant Wave Height from SAR with Long Integration Times
Previous Article in Special Issue
Fault-Tolerant Control Scheme for the Sensor Fault in the Acceleration Process of Variable Cycle Engine
 
 
Font Type:
Arial Georgia Verdana
Font Size:
Aa Aa Aa
Line Spacing:
Column Width:
Background:
Article

A Novel Strategy for Signal Denoising Using Two-Layer SVD and Its Application to Rub-Impact Fault Diagnosis of Aeroengine †

1
College of Energy and Power Engineering, Nanjing University of Aeronautics and Astronautics, Nanjing 210016, China
2
AECC Guiyang Engine Design Research Institute, Guiyang 550081, China
*
Authors to whom correspondence should be addressed.
Part of the content of this article was published at the “The 12th IEEE Global Reliability & Prognostics and Health Management Conference (IEEE PHM Nanjing 2021)”, and this article has been expanded on the basis of the conference paper: Zhang, P.; Li, S.; Xu, K.; Gong, S.; Zhan, K.; Shen, M.; Tian, J.; Yuan, X. A Novel Strategy for Signal Denoising Using Two-Layer SVD and its Application to Rub-impact Fault Diagnosis of Aero-engine, In Proceedings of the IEEE Global Reliability & Prognostics and Health Management Conference, Nanjing, China, 15–17 October 2021. The main changes include: 1. The addition of two sets of data regarding low-pressure turbine speeds; these are 6660 r/min and 5220 r/min, respectively. To process these data, the following method was proposed. 2. To decompose the signal into several components, the Variational Mode Decomposition was used, instead of a filter. 3. In the previous conference paper, the time–frequency diagram obtained by the proposed method and the time–frequency diagram obtained through Hilbert–Huang transform were not in the same figure, so it was not convenient to compare them. In the present study, they are placed in the same figure, and the relevant content is placed above this figure. 4. The time–frequency diagram of data using short-time Fourier transform and variational nonlinear chirp mode decomposition was added. 5 Additional information, including: “At some rotation speeds, the fluctuating frequencies of the instantaneous frequencies are consistent with the fluctuating frequencies on the envelope spectrum” and 6 “By comparing several methods with rub-impact fault data without denoising, when only 1× is decomposed, the proposed method, HHT, and VNCMD can all obtain time–frequency representations of 1×, and the waveform of instantaneous frequency of 1× obtained by the proposed method is better at this time. When it is necessary to decompose 1× and 3×, only the proposed method can successfully obtain time–frequency representation of 1× and 3×.” were added in the last chapter. 7 Four references have also been added.
Appl. Sci. 2022, 12(5), 2342; https://doi.org/10.3390/app12052342
Submission received: 11 December 2021 / Revised: 3 February 2022 / Accepted: 15 February 2022 / Published: 23 February 2022
(This article belongs to the Special Issue Advancing Reliability & Prognostics and Health Management)

Abstract

:
The rub-impact fault, which occurs in the aeroengine, can cause frequency modulation (FM) in its vibration signal. Oscillated instantaneous frequency (IF) is a phenomenon of such a modulation mode, which carries critical fault information from the aeroengine. In this paper, by using Variational Mode Decomposition (VMD), the vibration signal can be decomposed into several signal components. Two-layer Singular Value Decomposition (SVD) is utilized to reduce the signal noise of each signal component and instantaneous frequency of each signal component. The intra–wave FM feature of the signal are presented through the Hilbert transform (HT) analysis. The proposed method is validated with numerical simulation and then demonstrated on aeroengine data with the rub-impact fault. The proposed method is suitable for the analysis of modulated signals and is a valid tool for detecting the rub-impact faults in aeroengines.

1. Introduction

Rotating machinery occupies an important place in modern industry [1], including aeroengines, rotating electrical machines and wind turbines, etc. The occurrence of faults in rotating machinery may cause potential decreases in productivity, or even catastrophic casualties [2]. Rub-impact is a harmful fault in rotating machinery, which frequently occur [3,4]. Successful rub-impact fault diagnosis reduces the cost of maintenance and improves both worker and machine efficiency [5]. Therefore, how to diagnose the rub-impact fault is an important topic in rotating machinery development and worthy of research. Vibration signals are collected by acceleration sensors mounted on the substrate of mechanical equipment [6]. When a rub-impact fault occurs in the rotor system, it will lead to an amplitude modulation (AM) in the vibration signal and the instantaneous frequency (IF) of the fundamental harmonic will fluctuate; the fluctuating frequency of IF is equivalent to the harmonic frequency [7].
In order to analyse the fault signal, the Instantaneous Fault Characteristic Frequency (IFCF) must be estimated [8]. IFCF can be obtained by ridge extraction from the Time–Frequency Representation (TFR). The synchrosqueezing transform (SST) is a method of this type [9]. The direct ridge detection algorithm is able to detect the maximum magnitude of all pixels in the frequency direction for every time instant, which can obtain the IFCF. This method is susceptible to noise and has poor results in this case [10]. IFCF can also be obtained by Hilbert transform (HT) and Hilbert–Huang transform (HHT) [11].
Empirical mode decomposition (EMD) is able to decompose the signal into some intrinsic mode functions (IMFs) [12,13,14]. Each IMF component can be an amplitude-modulated (AM) or frequency-modulated (FM) signal [15]. Therefore, the rub-impact information can be extracted from each IMF [16,17]. However, as a result of the noise signal, it is unlikely that the EMD will correctly decompose the vibration signal. Variational Mode Decomposition (VMD) is able to decompose the signal into some modes, and VMD is more robust to noise [18].
Singular value decomposition (SVD) is very useful in signal denoising [19,20,21,22]. Many studies are interested in the way to select a threshold r, and denoise the signal by retaining the singular components (SCs) with the first r largest singular values. Zhao et al. utilized periodic modulation intensity to quantify the diagnostic information in a signal. With this intensity, the decomposed SCs can be sorted according to their information levels [23]. Guo et al. [24] proposed a method to select the order of singular value decomposition according to the saturation order of the singular entropy. Zhao et al. [25,26] have proved that there is a twofold relationship between the number of non-zero singular values and that of frequencies in sinusoidal signals, and this conclusion is proved theoretically by Guo et al. [27], who also pointed out that SVD has amplitude filtering characteristics.
As outlined above, many methods to obtain IF will have poor results due to the influence of noise. Additionally, when the rub-impact fault occurs, the fluctuating frequency of IF is equivalent to the harmonic frequency. In order to obtain good IF results, the two-layer SVD is proposed, which can reduce noise in the signal due to the amplitude filtering characteristics of the singular value decomposition. VMD is also used, which decomposes signals into multiple modes. A mode can be obtained by decomposition, and the decomposition has the function of removing the noise outside the frequency band of this mode.
In this paper, the Hilbert transform and SVD are briefly reviewed in Section 2. In Section 3, a two-layer singular value decomposition signal denoising technique is proposed. In Section 4, the effectiveness of the proposed method is validated on synthetic signals. In Section 5, the proposed method is applied in rub-impact diagnosis. Eventually, conclusions are drawn in Section 6. As stated above, the singular entropy method and periodic modulation intensity method use the singular value sequence to perform various mathematical operations and then select the singular value according to the characteristic points in the calculation result. However, these methods are always difficult to apply to the ever-changing situation in practice. Therefore, for signal denoising, the intrinsic relationship between the number of non-zero singular values and that of frequencies in the vibration signal must first be clarified. Zhao et al. [25,26] have proved that there is a twofold relationship between the number of non-zero singular values and that of frequencies in sinusoidal signals. However, to denoise the multi-sinusoid AM–FM signal, we need to determine the number characteristics of singular values for the multi-sinusoid AM–FM signal. From this, an inequality, which reveals the number characteristics of singular values for the multi-sinusoid AM–FM rub-impact fault response, is derived. Additionally, a two-layer singular value decomposition signal denoising technique is proposed, based on this characteristic.

2. Theoretical Background

In this section, Hilbert transform, and singular value decomposition theories are briefly introduced, which have been summarized by previous authors. Section 2.1 introduces the Hilbert transform theory; Section 2.2 introduces the singular value decomposition theory.

2.1. Review of Hilbert Transform

For a time series, X ( t ) , its Hilbert transform Y ( t ) is
Y ( t ) = 1 π P X ( t ) t t d t
where P indicates the Cauchy principal value, t is time. Analytic signal is
Z ( t ) = X ( t ) + Y ( t ) = a ( t ) e i θ ( t )
where
a ( t ) = X 2 + Y 2 1 2
θ ( t ) = arctan Y ( t ) X ( t )
We can have the IF as
ω ( t ) = d θ ( t ) d t

2.2. Review of SVD

The singular value decomposition of a matrix A can be formulated as
A = U V τ
where U = [ u 1 , u 2 , u m ] R m × n , V = [ v 1 , v 2 , v m ] R m × n are orthogonal matrices. Additionally, u m is the left singular vector and v m is the right singular vector. The column vectors of U and V are the orthonormal eigenvectors of A A τ and A τ A . Additionally, is a diagonal matrix storing the singular values of A in descending order
Step 1: Construction of Hankel matrix.
The vibration signal, which is measured by an accelerometer, is always expressed as a vector. In order to prepare the signal for the SVD, it was reshaped into a matrix. In this paper, a Hankel matrix is utilized.
For a signal x = [ x ( 1 ) , x ( 2 ) , x ( N ) ] , it can be reshaped into a Hankel matrix as follows:
x ( 1 ) x ( 2 ) x ( n ) x ( 2 ) x ( 3 ) x ( n + 1 ) x ( m ) x ( m + 1 ) x ( N )
where m = N n + 1 .
Step 2: Signal decomposition and reconstruction
Hankel matrix A can be expressed as the sub-matrix A i , as follows
A = [ u 1 , u 2 , u m ] σ 1 0 0 0 0 σ 2 0 0 0 0 σ m 0 v 1 τ v 2 τ v n τ = σ 1 u 1 v 1 τ + σ 2 u 2 v 2 τ + + σ m u m v m τ = A 1 + A 2 + + A m
where u i R m × 1 is the i th column vector of left singular matrix U , v i R n × 1 is the i th column vector of right singular matrix V . A m is sub-matrix. x i can be obtained from A i by extracting the first row and last column of A i , Equation (7) states that if all the SCs are added, the raw signal can be reconstructed.
x = i = 1 m x i
Step 3: Signal denoising
The commonly used method for selecting singular values is to delimit the singular values through a certain standard, and then select all the singular values before the limit for signal reconstruction. The first r largest singular values on the singular value difference spectrum for signal reconstruction are selected, i.e.:
A ~ = [ u 1 , u 2 , u n ] σ 1 0 0 0 0 σ 2 0 0 0 0 σ r 0 0 0 0 0 v 1 τ v 2 τ v m τ = A 1 + A 2 + + A r x ~ = i = 1 r x i
where x ~ and A ~ are the denoised signal and matrix, respectively.

3. Two-Layer Singular Value Decomposition

In this section, the two-layer singular value decomposition method is proposed. An inequality which reveals the number characteristics of singular values for the multi-sinusoid FM signal is derived in Section 3.1, the influence of noise on singular values is introduced in Section 3.2, and the two-layer singular value decomposition signal denoising technique is proposed based on the number characteristics of singular values for multi-sinusoid FM signal in Section 3.3.

3.1. Number Characteristic of Singular Values for Multi-Sinusoid FM Rubbing Fault Response

When f d q / f m q < < 1 , the rubbing fault response can be approximately formulated as Equation (9) by neglecting the minor frequency components with low amplitudes [4]. The two instantaneous frequency components with the largest amplitude and the two instantaneous amplitude components with the largest amplitude are considered.
s ( t ) = A ( t ) cos [ 2 π f c t + q = 1 Q f d q f m q sin ( 2 π f m q t + θ q ) + γ ] [ b + a cos ( 2 π f A t + ψ A ) + e cos ( 2 π f E t + ψ E ) ] × | n 1 | + | n 2 | + | n 3 | < 3 [ q = 1 3 J n q ( f d q f m q ) ] cos [ q = 1 3 n q ( 2 π f m q t + θ q ) + 2 π f C t + γ ]
in which initial phases for signal s ( t ) is γ ; A ( t ) is instantaneous amplitude (IA)
A ( t ) = [ b + a cos ( 2 π f A t + ψ A ) + e cos ( 2 π f E t + ψ E ) ]
in which f A and f E are modulation frequencies of IA; ψ A and ψ E are initial phases; a and e are the oscillating amplitudes of IA; b is a constant.
F ( t ) is instantaneous frequency (IF)
f c + q = 1 Q f d q cos ( 2 π f m q t + θ q )
in which fundamental frequency is f c ; f d and f m are the oscillating amplitude and modulation frequency of IF; initial phases for IF is θ ; J n ( . ) is the nth-order Bessel function of the first kind.
J n ( ρ ) = j n 2 π 0 2 π exp [ j ( ρ cos ϑ + n ϑ ) ] d ϑ
Define the equation g n 1 , n 2 , n 3 ( t ) as
g n 1 , n 2 , n 3 ( t ) = [ b + a cos ( 2 π f A t + ψ A ) + e cos ( 2 π f E t + ψ E ) ] × [ q = 1 3 J n q ( f d q f m q ) ] cos [ q = 1 3 n q ( 2 π f m q t + θ q ) + 2 π f C t + γ ]
s ( t ) | n 1 | + | n 2 | + | n 3 | < 3 g n 1 , n 2 , n 3 ( t )
When n 1 = 1 , n 2 = 1 , n 3 = 0
g 1 , 1 , 0 ( t ) = b [ q = 1 3 J n q ( f d q f m q ) ] cos ( 2 π f m 1 t + θ 1 + 2 π f m 2 t + θ 2 + 2 π f C t + γ ) + 0.5 a [ q = 1 3 J n q ( f d q f m q ) ] [ cos ( 2 π f m 1 t + θ 1 + 2 π f m 2 t + θ 2 + 2 π f C t + γ 2 π f A t ψ A ) + cos ( 2 π f m 1 t + θ 1 + 2 π f m 2 t + θ 2 + 2 π f C t + γ + 2 π f A t + ψ A ) ] + 0.5 e [ q = 1 3 J n q ( f d q f m q ) ] [ cos ( 2 π f m 1 t + θ 1 + 2 π f m 2 t + θ 2 + 2 π f C t + γ 2 π f E t ψ E ) + cos ( 2 π f m 1 t + θ 1 + 2 π f m 2 t + θ 2 + 2 π f C t + γ + 2 π f E t + ψ E ) ]
Signal g 1 , 1 , 0 ( t ) are discretized by sampling interval T s . Hankel matrices can be constructed.
H 110 = H a a + H a b + H a c
in which H 110 is the Hankel matrix of g 1 , 1 , 0 ( t ) , H a a is the Hankel matrix of the first monomial of g 1 , 1 , 0 ( t ) , H a b is the second monomial of g 1 , 1 , 0 ( t ) , H a c is the third monomial of g 1 , 1 , 0 ( t ) .
Using Euler’s formula to H a a , H a b , H a c , H a a can be written as the addition of two matrices, according to the linear correlation of the rows, each of these two matrices has a rank of 1, so
r a n k ( H a a ) 2
H a b can be written as the addition of four matrices, so
r a n k ( H a b ) 4
H a c can be written as the addition of four matrices, so
r a n k ( H a c ) 4
Reference [28] study the relationship
r a n k ( A + B ) r a n k ( A ) + r a n k ( B )
R a n k ( H 110 ) r a n k ( H a a ) + r a n k ( H a b ) + r a n k ( H a c ) 10
H = | n 1 | + | n 2 | + | n 3 | < 3 H n 1 , n 2 , n 3
in which H is the Hankel matrix of s ( t ) , H n 1 , n 2 , n 3 is the Hankel matrix of g n 1 , n 2 , n 3 ( t ) . Use the same method in the previous paragraph to H
r a n k ( H ) | n 1 | + | n 2 | + | n 3 | < 3 r a n k ( H n 1 , n 2 , n 3 ) 250
In conclusion, when f d q / f m q < < 1 , rubbing fault response is s ( t ) . The rank of H , which is constructed from s ( t ) , is not greater than 250. Because the number of non-zero singular values is equal to r a n k ( H ) , the number of non-zero singular values is not greater than 250.

3.2. The Influence of Noise on Singular Values

Zhao et al. pointed out that noise signals will only affect the size of the singular values of useful signals without changing the number [28].

3.3. Two-Layer Singular Value Decomposition Based on Number Characteristic of Effective Singular Values

Step 1: Signals y 1 , y 2 …, y n are AM-FM Signals.
Step 2: Apply SVD to y 1 , y 2 …, y n respectively, retain the SCs with the first 250 singular values, A ~ n = i = 1 250 A i and purified signal x ~ n can be obtained.
Step 3: Equations (1)–(5) are applied to x ~ n , the I F x n ~ can be obtained, which is the IF of x ~ n .
Step 4: Apply SVD to I F x n ~ , retain the SCs with the first 7 singular values, A ~ n = i = 1 7 A i and purified signal I F ~ x n ~ can be obtained. That is to say, instantaneous frequency f c + q = 1 3 f d q cos ( 2 π f m q t + θ q ) which has the largest three f d q are kept [26,27], by neglecting the minor frequency components with low amplitudes [4].
Step 5: I F ~ x n ~ can be shown in the Hilbert Spectrum.
Step 6: Then, remove the direct component of I F ~ x n ~ via zero mean processing, then utilize Fast Fourier Transform (FFT) to this signal.

4. Numerical Validation

The validity of the two-layer SVD is verified by numerical simulation signals in Section 4.1. The effects of the Hilbert transform and the short-time Fourier transform (STFT) on frequency modulated signals are compared using numerical simulation signals in Section 4.2.

4.1. Numerical Validation of Two-Layer SVD

The rub-impact fault can cause frequency modulation and amplitude modulation in its vibration signal. Herein, a signal with frequency modulation and amplitude modulation is considered to demonstrate two-layer SVD and HT.
s ( t ) = ( 1 + 0.2 cos ( 59 π t ) + 0.2 cos ( 67 π t ) ) × cos ( 103 π t + 0.2 sin ( 101 π t ) + 0.2 sin ( 89 π t ) + 0.2 sin ( 79 π t ) )
in which the fundamental frequency is 51.5 Hz; modulation frequencies of IF are 50.5 Hz, 44.5 Hz, 39.5 Hz; oscillating amplitudes are 10.1, 8.9, 7.9. Gaussian white noise with a signal-to-noise ratio (SNR) of 3 dB is added into s ( t ) . The instantaneous amplitude (IA) is
1 + 0 . 2 cos ( 59 π t ) + 0 . 2 cos ( 67 π t )
instantaneous frequency (IF) is
51.5 + 10 . 1 cos ( 101 π t ) + 8 . 9 cos ( 89 π t ) + 7 . 9 cos ( 79 π t )
The signal with noise and its spectrum is illustrated in Figure 1. The sampling frequency is 5120 Hz, the duration of the signal is 2 s, so the frequency resolution of Figure 1f is 0.5 Hz.
Filter signal using lowpass filter, the cut-off frequency of which is 131 Hz. Then, two-layer singular value decomposition is applied to the signal. The signal is reshaped into a Hankel matrix, which has 5121 rows and 5120 columns. After the first layer, singular value decomposition is applied to the signal; the singular values are illustrated in Figure 2a. The IF is reshaped into a Hankel matrix, which has 5120 rows and 5119 columns. After the second layer, singular value decomposition is applied to IF; the singular values are illustrated in Figure 2b.
The purified IF and ideal IF are revealed in Figure 3 and Fourier spectrum of purified IF and ideal IF are revealed in Figure 4, where the red line is the ideal IF and the blue line is the purified IF. It is illustrated that the extracted IF agrees well with the ideal IF. The absolute error of oscillating amplitude of purified IF is shown in Table 1; the maximum absolute error is 0.41 Hz.

4.2. Numerical Validation of Hilbert Transform

The effects of the Hilbert transform and the STFT on frequency modulated signals are compared using the following signals.
q ( t ) = cos ( 103 π t + 0.2 sin ( 101 π t ) + 0.2 sin ( 89 π t ) + 0.2 sin ( 79 π t ) )
in which fundamental frequency is 51.5 Hz; modulation frequencies of IF are 50.5 Hz, 44.5 Hz and 39.5 Hz; oscillating amplitudes are 10.1, 8.9, and 7.9; the instantaneous frequency (IF) is
51.5 + 10 . 1 cos ( 101 π t ) + 8 . 9 cos ( 89 π t ) + 7 . 9 cos ( 79 π t )
The sampling frequency is 5120 Hz, the sampling point is 10,240. The waveform of ideal IF of q ( t ) is shown in Figure 5. To enlarge the waveform for easy viewing, only the results from 0 s to 0.6 s are displayed here. The results obtained by STFT, and Hilbert transform are shown in Figure 6. By comparing Figure 5 and Figure 6a, it is found that their waveforms are the same, except that the value at the left end of Figure 6a is slightly smaller than the ideal value. The short-time Fourier transform (STFT) is used for q ( t ) , when the length of the window is 128. Additionally, the result of STFT is shown in Figure 6b. By comparing Figure 5 and Figure 6b, it is found that the instantaneous frequency fluctuation range of the STFT results is larger than that of the ideal instantaneous frequency. Additionally, Figure 6b has a lower frequency resolution. To make the frequency resolution of STFT higher, the length of the window was adjusted to 1280. By comparing Figure 5 and Figure 6c, it can be found that Figure 6c cannot show the characteristic of rapid change of instantaneous frequency. Additionally, the time–frequency diagram obtained by using STFT cannot guarantee good frequency resolution and the fast-changing instantaneous frequency can be displayed at the same time, no matter how we adjust the length of the window. In fact, the time–frequency diagram obtained by using STFT cannot guarantee good time resolution and good frequency resolution at the same time [29].

5. Dynamic Simulation and Real Application

In Section 4.1, the Jeffcott rotor model is employed to simulate the rub-impact fault. The simulated vibration signal has the characteristics of frequency modulation and amplitude modulation. In Section 4.2, the proposed method is utilized to extract the feature of the rub-compact fault of the aeroengine.

5.1. Dynamic Simulation

The rub-impact model discussed is a Jeffcott rotor system, as shown in Figure 7.
The system can be described by the following equations:
m m x ( t ) · · y ( t ) · · + c c x ( t ) · y ( t ) · + k k x ( t ) y ( t ) = m e ω 2 cos ( ω t ) sin ( ω t ) 0 m g + F x ( x ( t ) , y ( t ) ) F y ( x ( t ) , y ( t ) )
in which m is the mass of the rotor system, the gravity of the rotor is m g , c is the damping coefficient, k is the stiffness coefficient, x ( t ) is the lateral displacement, y ( t ) is the vertical displacement, e is the imbalance, ω is the rotation speed, F x ( x ( t ) , y ( t ) ) and F y ( x ( t ) , y ( t ) ) are the rub-impact forces. The rub-impact forces are shown in the following equation
F x ( x ( t ) , y ( t ) ) F y ( x ( t ) , y ( t ) ) = H ( r ( t ) δ 0 ) ( r ( t ) δ 0 ) k c r ( t ) 1 f c f c 1 x ( t ) y ( t )
in which r ( t ) is the radial displacement of the disk center, δ 0 is the clearance between the rotor and the stator, k c is the contacting stiffness for the stator, f c is the friction coefficient and the Heaviside function H ( . ) is defined as
H ( u ) = 0 , u < 0 1 , u 0
The parameters in the above equations are shown in Table 2.
Using the fourth order Runge–Kutta method to solve for x ( t ) . The second derivative of x ( t ) , which is x ( t ) · · , using numerical method can be solved. Additionally, the step size of the numerical derivative is 2 . 44140625 × 10 6 s .
The waveform and FFT of x ( t ) · · is revealed in Figure 8, and ω is set to 5616 r/min. It is illustrated that the amplitudes of 1× and 2× are relatively high, and the amplitude of 3× is lower, as revealed in Figure 8b.
The Hilbert spectrum of x ( t ) · · is shown in Figure 9.
FFT is applied to the IF of 1×, and the FFT of the IF is revealed in Figure 10a. We can see that the main fluctuating frequencies of the IF of 1× are 468.0 Hz, 374.4 Hz, 280.8 Hz, 187.2 Hz, and 93.6 Hz. Additionally, 468.0 Hz is five-times the rotation frequency, 374.4 Hz is four-times the rotation frequency, 280.8 Hz is three-times the rotation frequency, 187.2 Hz is two-times the rotation frequency, 93.6 Hz is the rotation frequency. The envelope spectrum for 1× is revealed in Figure 10b. The main fluctuating frequencies of the envelope of 1× are 280.8 Hz, 1187.2 Hz and 93.6 Hz. Additionally, 280.8 Hz is three-times the rotation frequency, 187.2 Hz is two-times the rotation frequency, 93.6 Hz is the rotation frequency.
The waveform and FFT of x ( t ) · · is revealed in Figure 11, and ω is set to 6660 r/min. It is illustrated that the amplitude of 1× is relatively high, and the amplitudes of 2× and 3× are lower, as revealed in Figure 11b.
The Hilbert spectrum of x ( t ) · · is shown in Figure 12.
The FFT of the IF and the envelope spectrum for 1× are shown in Figure 13. FFT is applied to the IF of 1×, and the FFT of the IF is revealed in Figure 13a We can see that the main fluctuating frequencies of the IF of 1× are 333.0 Hz, 222.0 Hz, and 111.0 Hz. Additionally, 333.0 Hz is three-times the rotation frequency, 222.0 Hz is two-times the rotation frequency, 111.0 Hz is the rotation frequency. The envelope spectrum for 1× is revealed in Figure 13b. The main fluctuating frequencies of the envelope of 1× are 222.0 Hz and 111.0 Hz. Additionally, 222.0 Hz is two-times the rotation frequency, 111.0 Hz is the rotation frequency.

5.2. Application to Vibration Signals of Aeroengine

The structure sketch of the aeroengine is revealed in Figure 14. The rotation speed of the low-pressure turbine is approximately 5616 r/min (93.6 Hz), and the rotation speed of the high pressure turbine is approximately 10,445 r/min (174.1 Hz). A charge output accelerometer was used to measure the vibration acceleration, which was installed on the outer surface of aeroengine casing. There existed rubbing between the low-pressure turbine and the stator vane.
The mounting position of the accelerometer is shown in Figure 15. During installation, according to the requirements on the “installation and operating manual of the accelerometer”, the mounting torque is controlled within the range of 113 N.cm to 225 N.cm. A photo of the accelerometer is shown in Figure 16. The accelerometer was produced by PCB company. Its sensitivity is 1.02 pC/(m/s2), its frequency range is 9 kHz, its non-linearity ≤1%, its operating temperature range is (−71) °C to 260 °C, and its weight is 11 g. The accelerometer transfers the charge through the cable to the charge converter.
A photo of the charge converter is shown in Figure 17. The charge converter was produced by DONGHUA company. It has 16 channels, its maximum measurement range is 100,000 pC, its maximum signal output voltage is ±10 V, its current excitation is 2 mA, and its frequency range is 100 kHz. It transfers the voltage through the cable to a data acquisition device.
A photo of the data acquisition device is shown in Figure 18. The data acquisition device was produced by DONGHUA company. Maximum sampling frequency of the data acquisition device is 1 MHz per channel. It has 16 data acquisition channels and its accuracy is ±0.5%. It has multiple measurement ranges that can be switched; the minimum measurement range is ±5 mV, and the maximum measurement range is ±10 V. It transmits the signal to the computer through the network cable.
During the aeroengine test, the root mean square (RMS) of vibration velocity almost reached the safety limit, as illustrated in Figure 19.
The waveform and Fourier spectrum of the vibration signal obtained from the aeroengine test is revealed in Figure 20. It is illustrated that there are two frequency peaks with high amplitude, i.e., the rotation frequency of the low-pressure turbine (X), and its three multiples (3×). After comparing with the FFT of the simulated vibration signal in Figure 8b, it was found that the amplitude of 3× of the vibration signal obtained from simulation is high is very low. During the engine test, the rub-impact occurred more complicated than in the dynamic simulation, and the parameters k c , δ 0 , etc. in the dynamic simulation were not completely consistent with the parameters in the real aeroengine test.
The raw signal is decomposed into 4 modes using VMD [18]. u1(t) is 1×, u4(t) is 3×. Additionally, u1(t), u4(t) are shown in Figure 21.
Then, first-layer SVD was applied to u1(t), u4(t) for signal denoising. Firstly, the Hankel matrices were constructed. Then, SVD was performed on these two matrices; the first 250 singular values obtained are shown in Figure 22. The first 250 largest singular values for matrix reconstruction were then selected, several component matrices were obtained, and the component matrices were superimposed to obtain the reconstruction matrix. Then, the signal from the reconstruction matrix was recovered to obtain the purified signal. C1(t), C2(t) are the purified signals of u1(t), u4(t), and C1(t), C2(t)are shown in Figure 23. The envelope spectrums for C1(t) (i.e., 1×) and C2(t) (i.e., 3×) are revealed in Figure 24. The main fluctuating frequencies of the envelope of 1× are 23.4 Hz and 93.6 Hz. Additionally, 23.4 Hz is 1/4-times the rotation frequency, 93.6 Hz is the rotation frequency. As for the 3×, the fluctuating frequencies of the envelope of 3× are also 23.4 Hz and 93.6 Hz. After comparing with the simulated vibration signal in Figure 10b, it is found that the fluctuating frequencies of the envelope of 1×, which was obtained by processing the simulated signal, do not contain 1/4-times the rotation frequency. The fluctuating frequencies of the envelope of 1×, which was obtained by processing the signal of the real aeroengine test, do not contain two-times and three-times the rotation frequency. During the engine test, the rub-impact occurred more complicated than in the dynamic simulation, and the parameters k c , δ 0 , etc. in the model were not completely consistent with the parameters in the real aeroengine test.
Second-layer SVD was applied to IFs of C1(t), C2(t), and the first 20 singular values obtained are shown in Figure 25. The first seven largest singular values for matrix reconstruction were selected, several component matrices were obtained, and the component matrices were superimposed to obtain the reconstruction matrix. Then, the signal was recovered from the reconstruction matrix. FFT was applied to the IFs of fundamental harmonic (1×) and its three multiples (3×); the FFT of the IFs are revealed in Figure 26. We can see that the main fluctuating frequencies of the IF of 1× are 70.2 Hz, 93.6 Hz, 105.3 Hz. Additionally, 70.2 Hz is 3/4-times the rotation frequency, 93.6 Hz is the rotation frequency, 105.3 Hz is 9/8-times the rotation frequency. IF, which fluctuates around the rotation frequency, is a feature of rub-impact fault. Additionally, the main fluctuating frequencies of the IF of 3× are 70.2 Hz, 93.6 Hz, 187.2 Hz. Additionally, 70.2 Hz is 3/4-times the rotation frequency, 93.6 Hz is the rotation frequency, 187.2 Hz is two-times the rotation frequency. After comparing with the simulated vibration signal in Figure 10a, it is found that the fluctuating frequencies of IF of 1×, which was obtained by processing the simulated signal in dynamic simulation, do not contain 3/4-times, and 9/8-times the rotation frequency. The fluctuating frequencies of IF of 1×, which were obtained by processing signal of the real aeroengine test, do not contain two-times the rotation frequency, three-times the rotation frequency, four-times the rotation frequency, and five-times the rotation frequency. During the engine test, the rub-impact occurred more complicated than in the dynamic simulation, and the parameters k c , δ 0 , etc. in the model were not completely consistent with the parameters in the real aeroengine test.
For comparison, the proposed method was used: HHT, STFT, and Nonlinear Chirp Mode Decomposition (VNCMD) on the signal, as shown in Figure 27. For the VMD method, K was set in advance to determine the number of modes in the data, and K was set to 4. After VMD and two-layer SVD, the Hilbert spectrum of 1× and 3× are shown in Figure 27a. Compared to Figure 27b–i, the fluctuating pattern of the IFs are clearly shown in Figure 27a, and the 1× and 3× can be recognized. The HHT was utilized to analyze the raw signal, which is not purified. The raw signal was decomposed into five IMFs. Only IMF2, IMF3, which are related to 1× and 3×, are shown in the Hilbert spectrum. Additionally, the Hilbert spectrum of IMF3 is shown in Figure 27b, IMF3 is almost 1×, IF of IMF3 fluctuates around 93.6 Hz most of the time. However, it suffers from mode mixing at 0.03 s, 0.21 s, 0.25 s, 0.42 s, 0.60 s and 0.64 s. Additionally, at these times the instantaneous frequency is incorrect. The Hilbert spectrum of IMF2 is shown in Figure 27c; the instantaneous frequency of IMF2 fluctuates irregularly, with a large fluctuation range from 0 s to 0.8 s. The minimum value of its fluctuation is even less than 0 Hz from 0.3 s to 0.5 s, which is obviously wrong. Then, the median filtering was utilized to the IFs and instantaneous amplitudes (IAs); the result is shown in Figure 27d. IMF3 is almost 1×, but it suffers from mode mixing. 3× cannot be seen from IMF2, and the FM feature of IMF2, IMF3 disappear. So, signal denoising before Hilbert transform is necessary. The short-time Fourier transform (STFT) was used for the original signal, when the length of the window is 256. Additionally, the result of STFT is shown in Figure 27e. By comparing Figure 27a–c,e, it is found that both Figure 27a,e can successfully show 1× and 3×, whereas Figure 27b,c do not display 1× and 3× correctly due to noise. However, Figure 27e has a lower frequency resolution than Figure 27a. To make the frequency resolution of STFT higher, the length of the window was adjusted to 2560. By comparing Figure 27a,f, it is found that Figure 27f cannot show the characteristic of rapid change of instantaneous frequencies. The time–frequency diagram obtained by using STFT cannot guarantee good frequency resolution and the fast-changing instantaneous frequency can be displayed at the same time, no matter how we adjust the length of the window. In fact, the time–frequency diagram obtained by this method cannot guarantee good time resolution and frequency resolution [29]. Applying VNCMD to the signal, when using this method, the number of signal components needs to be set to K in advance [30,31,32], when K is set equal to 2, the decomposition result is shown in Figure 27g. 1× is correctly decomposed, but 3× cannot be seen. When K is set to 3, the VNCMD result is shown in Figure 27h. It can be seen that the instantaneous frequency of 1× is wrong at 0.65 s, and 0.72 s, and the instantaneous frequency of 3× is wrong from 0.62 s to 0.8 s. When K is set to 4, the VNCMD result is shown in Figure 27i. The first three modes almost overlap each other, and their center frequency is all 93.6 Hz, and the instantaneous frequency of 3× is wrong from 0.4 s to 0.8 s.
Next, we analyzed the second set of fault data, when the speed of the low-pressure turbine is about 6660 r/min (111.0 Hz). The waveform of the vibration signal is shown in Figure 28a, The FFT of the vibration signal is shown in Figure 28b. After comparing with the simulated vibration signal in Figure 11b, it is found that the Fourier spectra of the dynamic simulation signal and the aeroengine test signal are relatively similar, with higher 1× amplitudes and lower 2× and 3× amplitudes.
The raw signal is decomposed into two modes using VMD. D1(t) is 1×. Additionally, D1(t) is shown in Figure 29.
The first layer SVD was performed to denoise D1(t) and retain the first 250 singular value components; the first 250 singular values obtained are shown in Figure 30. The signal after denoising is E1(t), E1(t) is shown in Figure 31 The envelope spectrum of the signal after signal denoising is shown in Figure 32. It can be seen that the main fluctuating frequencies of 1× on the envelope spectrum are 97.1 Hz and 111.0 Hz. Additionally, 97.1 Hz is 7/8-times the rotation frequency and 111.0 Hz is equal to the rotation frequency. After comparing with the simulated vibration signal in Figure 13b, it is found that the fluctuating frequencies of the envelope of 1×, which is obtained by processing the simulated signal, do not contain 7/8-times the rotation frequency. The fluctuating frequencies of the envelope of 1×, which were obtained by the processing signal of the real aeroengine test, do not contain two-times the rotation frequency. During the engine test, the rub-impact occurred more complicated than in the dynamic simulation, and the parameters k c , δ 0 , etc. in the model were not completely consistent with the parameters in the real aeroengine test.
The second layer SVD was performed on the instantaneous frequency. The FFT of the instantaneous frequency is shown in Figure 33. It can be seen that the fluctuating frequencies of the instantaneous frequency are mainly 97.1 Hz, 111.0 Hz, and 208.1 Hz, which are, respectively, equal to 7/8-times, one-time, and 15/8-times the rotation frequency. Moreover, the fluctuating frequencies of the instantaneous frequency of 97.1 Hz and 111.0 Hz are consistent with the fluctuating frequencies on the envelope spectrum. IF fluctuating around the rotation frequency is a feature of rub-impact fault, and it can identify rub-impact fault more clearly than the lower amplitude 2×, 3× in Fourier spectrum in Figure 28b. After comparing with the simulated vibration signal in Figure 13a, it is found that the fluctuating frequencies of IF of 1×, which was obtained by processing the simulated signal in dynamic simulation, do not contain 7/8-times, and 15/8-times the rotation frequency. The fluctuating frequencies of IF of 1×, which was obtained by the processing signal of the real aeroengine test, do not contain two-times the rotation frequency, and three-times the rotation frequency. During the engine test, the rub-impact occurred more complicated than in the dynamic simulation, and the parameters k c , δ 0 , etc. in the model were not completely consistent with the parameters in the real aeroengine test.
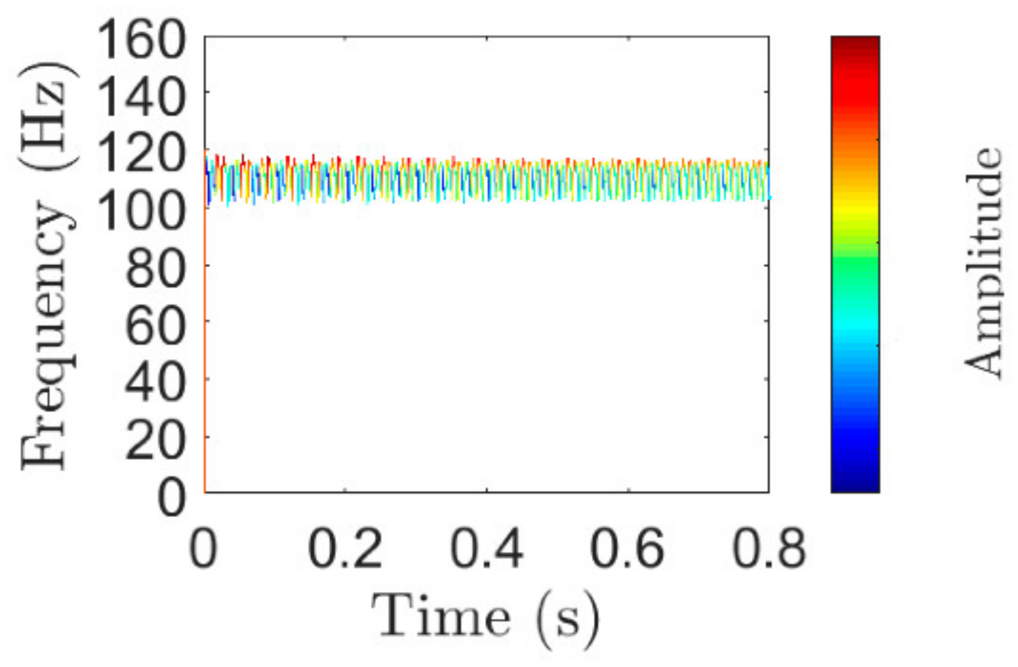
For comparison, the proposed method was used; HHT, STFT, VNCMD, on the signal, as shown in Figure 34. Using the proposed method, the instantaneous frequency result obtained is very good, as shown in Figure 34a. It can be clearly seen that the instantaneous frequency is the sum of several sinusoids. After using HHT, 1× is decomposed, as shown in Figure 34b. However, the instantaneous frequency fluctuates irregularly, with a large fluctuation range around 0 s, and a small fluctuation range around 0.8 s. The STFT result of the signal is shown in Figure 34c. 1× is shown in the time–frequency diagram. The time–frequency diagram obtained by this method cannot guarantee good time resolution and frequency resolution [29]. Directly using VNCMD on the signal, the number of signal components was set to K equal to 2, and 1× was almost decomposed, as shown in Figure 34d, but the result at 0.5 s on the time–frequency diagram is wrong.
Next, let us analyze the third set of data. At this time, the speed of the low-pressure turbine is 5220 r/min (87.0 Hz), and the waveform of the vibration signal is shown in Figure 35a. The FFT of the vibration signal is shown in Figure 35b, the amplitude of 1× is high, amplitudes of 2× to 6× are low.
The raw signal is decomposed into two modes using VMD. F1(t) is 1×, the waveform of the F1(t) is shown in Figure 36.
The first layer of SVD was performed on F1(t) for signal denoising, and the first 250 singular value components retained, and the first 250 singular values obtained are shown in Figure 37. The signal after denoising was G1(t), and G1(t) is shown in Figure 38. The envelope spectrum of the signal after denoising is shown in Figure 39. It can be seen that the main fluctuating frequencies of 1× on the envelope spectrum are 87.0 Hz and 108.8 Hz. Additionally, 87.0 Hz is equal to the rotation frequency, 108.8 Hz is 5/4-times the rotation frequency.
The second layer SVD is performed on the instantaneous frequency. The FFT of the instantaneous frequency is shown in Figure 40. It can be seen that the fluctuating frequencies of the instantaneous frequency are mainly 87.0 Hz, 108.8 Hz, and 174 Hz, which are, respectively, one-time, 5/4-times, and two-times the rotation frequency. IF fluctuating around the rotation frequency is a feature of the rub-impact fault. Moreover, the fluctuating frequencies of the instantaneous frequency are 87.0 Hz and 108.8 Hz, which are consistent with the fluctuating frequencies on the envelope spectrum.
For comparison, the proposed method was used; HHT, STFT, VNCMD, on the signal, as shown in Figure 41. Using the proposed method, the instantaneous frequency result obtained was very good, as shown in Figure 41a. It can be clearly seen that the instantaneous frequency is the sum of several sinusoids. After using HHT, 1× was decomposed, as shown in Figure 41b. However, the instantaneous frequency fluctuates irregularly. The STFT result of the signal is shown in Figure 41c. You can see 1× in the time–frequency diagram. The time–frequency diagram obtained by this method cannot guarantee good time resolution and frequency resolution [29]. Using VNCMD on the signal, the number of signal components was set K equal to 2, and 1× was also decomposed, as shown in Figure 41d.

6. Conclusions

When a rub-impact fault occurs in the aeroengine, as the vibration signal may contain noise, it is hard to extract the FM features by utilizing HHT and VNCMD to the vibration signal. In this paper, VMD is utilized to decompose the signal into several components, then two-layer singular value decomposition technique is applied to the signal components for the purpose of signal denoising.
Some traditional methods based on singular value decomposition utilize the singular value sequence to perform various mathematical operations and then select the singular value according to the characteristic points in the calculation result, but these methods are always difficult to apply to the ever-changing situation in practice. Some methods based on singular value decomposition utilize the characteristic that there is a twofold relationship between the number of non-zero singular values and that of frequencies in sinusoidal signals. However, to denoise the multi-sinusoid AM–FM signal, we need to determine the number characteristics of singular values for the multi-sinusoid AM–FM signal. So, an inequality which reveals the number characteristics of singular values for the multi-sinusoid AM–FM rub-impact fault response is derived. Additionally, the first layer singular value decomposition signal denoising technique is proposed based on this characteristic. The first layer SVD reduces noise in the signal due to the amplitude filtering characteristics of singular value decomposition. VMD removes the noise outside the frequency band of decomposed modes. However, despite using these two methods, there is still noise in the signal, so the second layer of the singular value decomposition should be used for the instantaneous frequency to ensure that the instantaneous frequency has a good effect. By comparing several methods with rub-impact fault data without denoising, when only 1× is decomposed, the proposed methods, HHT and VNCMD, can all obtain time–frequency representations of 1×, and the waveform of instantaneous frequency of 1× obtained by the proposed method is better at this time. When it is necessary to decompose 1× and 3×, only the proposed method can successfully obtain the time–frequency representation of 1× and 3×.
By using the proposed method, the fluctuating FM features are extracted, and the fluctuating frequencies are identical with some harmonic. The envelope spectrum was utilized to analyze the purified signals, these signal components show AM features, and the fluctuating frequencies are identical with some harmonic. At some rotation speeds, the fluctuating frequencies of the instantaneous frequencies were consistent with the fluctuating frequencies on the envelope spectrum. The method in this paper can effectively extract the feature of rub-impact fault in the aeroengine.
The proposed method and VMD method can currently only be used for offline analysis of fault data. If the proposed method is applied to aeroengine fault diagnosis software and needs to diagnose faults during aeroengine testing, the method has an advantage and a problem that need to be solved. The advantage is, in the proposed method, the threshold parameter r , which is set in advance. Therefore, there is no need to manually adjust r or any other parameters in the proposed method. This method can be run automatically if the proposed method is applied during the aeroengine test. There is also a problem concerning the calculation speed of singular value decomposition, which is relatively slow. To solve this problem in the future, singular value decomposition can be calculated every minute, and only part of the data will be calculated. As for the variational mode decomposition, there is also a problem; the parameter K needs to be manually set. The parameter K cannot be known in advance of the aeroengine test. It is very impractical to set the parameter K according to the specific conditions of the signal during the aeroengine test. If the method can be improved so that there is no need to manually input the parameter K , it will be more practical for application.

Author Contributions

Conceptualization, P.Z. and S.L.; methodology, P.Z.; software, P.Z., S.G. and M.S.; validation, P.Z.; formal analysis, P.Z.; investigation, S.G. and J.T.; resources, K.X. and X.Y.; data curation, K.Z.; writing—original draft preparation, P.Z.; writing—review and editing, P.Z.; visualization, P.Z.; supervision, K.X.; project administration, S.L.; funding acquisition, S.L. All authors have read and agreed to the published version of the manuscript.

Funding

This research was funded by the National Key Research and Development Program of China (2018YFB2003300) and the National Natural Science Foundation of China (51975276).

Institutional Review Board Statement

Not applicable.

Informed Consent Statement

Not applicable.

Data Availability Statement

There are no relevant statements for this research.

Acknowledgments

This research was funded by the National Key Research and Development Program of China (2018YFB2003300) and the National Natural Science Foundation of China (51975276). The authors would like to thank AECC Guiyang Engine Design Research Institute for providing the data, and the anonymous reviewers for their valuable comments and suggestions.

Conflicts of Interest

The authors declare no conflict of interest.

References

  1. Chen, S.; Yang, Y.; Peng, Z.; Wang, S.; Zhang, W.; Chen, X. Detection of rub-impact fault for rotor-stator systems: A novel method based on adaptive chirp mode decomposition. J. Sound Vib. 2019, 440, 83–99. [Google Scholar] [CrossRef]
  2. Hong, J.; Yu, P.; Zhang, D.; Ma, Y. Nonlinear dynamic analysis using the complex nonlinear modes for a rotor system with an additional constraint due to rub-impact. Mech. Syst. Signal Process. 2019, 116, 443–461. [Google Scholar] [CrossRef]
  3. Xu, X.; Han, Q.; Chu, F. A general electromagnetic excitation model for electrical machines considering the magnetic saturation and rub impact. J. Sound Vib. 2018, 416, 154–171. [Google Scholar] [CrossRef]
  4. Zhou, P.; Du, M.; Chen, S.; He, Q.; Peng, Z.; Zhang, W. Study on intra-wave frequency modulation phenomenon in detection of rub-impact fault. Mech. Syst. Signal Process. 2019, 122, 342–363. [Google Scholar] [CrossRef]
  5. Jiang, H.; Wang, H.; Hu, W.; Kakde, D.; Chaudhuri, A. Fast Incremental SVDD Learning Algorithm with the Gaussian Kernel. In Proceedings of the AAAI Conference on Artificial Intelligence, the Hilton Hawaiian Village in Honolulu, Honolulu, HI, USA, 27 January–1 February 2019. [Google Scholar]
  6. Xu, K.; Li, S.; Jiang, X.; An, Z.; Wang, J.; Yu, T. A renewable fusion fault diagnosis network for the variable speed conditions under unbalanced samples. Neurocomputing 2019, 379, 12–29. [Google Scholar] [CrossRef]
  7. Yang, L.; Chen, X.; Wang, S. Mechanism of Fast Time-Varying Vibration for Rotor-Stator Contact System: With Application to Fault Diagnosis. ASME J. Vib. Acoust. 2017, 140, 1–17. [Google Scholar] [CrossRef]
  8. Huang, H.; Baddour, N.; Liang, M. Bearing fault diagnosis under unknown time-varying rotational speed conditions via multiple time-frequency curve extraction. J. Sound Vib. 2018, 414, 43–60. [Google Scholar] [CrossRef]
  9. Daubechies, I.; Lu, J.; Wu, H. Synchrosqueezed Wavelet transforms: An empirical mode decomposition-like tool. Appl. Computat. Harmon. Anal. 2011, 30, 243–261. [Google Scholar] [CrossRef] [Green Version]
  10. Wang, S.; Chen, X.; Wang, Y. Nonlinear squeezing time–frequency transform for weak signal detection. Signal Process. 2015, 113, 195–210. [Google Scholar] [CrossRef]
  11. Huang, N.E.; Shen, Z.; Long, S.R. The Empirical mode decomposition and the Hilbert spectrum for nonlinear and non-stationary time series analysis. Proc. R. Soc. Lond. Ser. A 1998, 454, 903–995. [Google Scholar] [CrossRef]
  12. Ma, H.; Li, S.; An, Z. A Fault Diagnosis Approach for Rolling Bearing Based on Convolutional Neural Network and Nuisance Attribute Projection under Various Speed Conditions. Appl. Sci. 2019, 9, 1603. [Google Scholar] [CrossRef] [Green Version]
  13. Gao, Q.; Duan, C.; Fan, H.; Meng, Q. Rotating machine fault diagnosis using empirical mode decomposition. Mech. Syst. Signal Process. 2008, 22, 1072–1081. [Google Scholar] [CrossRef]
  14. Hu, A.; Xiang, L.; Zhang, Y. Experimental study on the intrawave frequency modulation characteristic of rotor rub and crack fault. Mech. Syst. Signal Process. 2019, 118, 209–225. [Google Scholar] [CrossRef]
  15. Liu, H.; Qin, C.; Liu, M. A Rail Fault Diagnosis Method Based on Quartic C2 Hermite Improved Empirical Mode Decomposition Algorithm. Sensors 2019, 19, 3300. [Google Scholar] [CrossRef] [Green Version]
  16. Cheng, J.; Yu, D.; Tang, J.; Yang, Y. Local rub-impact fault diagnosis of the rotor systems based on EMD. Mech. Mach. Theory 2009, 44, 784–791. [Google Scholar] [CrossRef]
  17. Huang, D. Experiment on the characteristics of torsional vibration of rotor-to-stator rub in turbomachinery. Tribol. Int. 2000, 33, 75–79. [Google Scholar]
  18. Konstantin, D.; Dominique, Z. Variational Mode Decomposition. IEEE Trans. Signal Process. 2014, 62, 531–544. [Google Scholar]
  19. Akritas, A.G.; Malaschonk, G.I. Applications of singular value decomposition(SVD). Math. Comput. Simul. 2004, 67, 15–31. [Google Scholar] [CrossRef]
  20. Wang, W.; Zhang, Y. Noise reduction in singular value decomposition based on dynamic clustering. J. Vibr. Eng. 2008, 21, 304–308. [Google Scholar]
  21. Banerjee, M.; Pal, N.R. Feature selection with SVD entropy: Some modification and extension. Inform. Sci. 2014, 264, 118–134. [Google Scholar] [CrossRef]
  22. Zhao, X.; Ye, B. Similarity of signal processing effect between Hankel matrix-based SVD and wavelet transform and its mechanism analysis. Mech. Syst. Signal Process. 2009, 23, 1062–1075. [Google Scholar] [CrossRef]
  23. Zhao, M.; Jia, X. A novel strategy for signal denoising using reweighted SVD and its applications to weak fault feature enhancement of rotating machinery. Mech. Syst. Signal Process. 2017, 94, 129–147. [Google Scholar] [CrossRef]
  24. Yang, W.; Tse, P. Development of an advanced noise reduction method for vibration analysis based on singular value decomposition. NDT E Int. 2003, 36, 419–432. [Google Scholar] [CrossRef] [Green Version]
  25. Zhao, X.; Nie, Z.; Ye, B. Number law of effective singular values of signal and its application to feature extraction. J. Vibr. Eng. 2016, 29, 532–541. [Google Scholar]
  26. Zhao, X.; Ye, B. The relationship between non-zero singular values and frequencies and its application to signal decomposition. Acta Electron. 2018, 45, 2008–2018. [Google Scholar]
  27. Guo, M.; Li, W.; Yang, Q.; Zhao, X.; Tang, Y. Amplitude filtering characteristics of singular value decomposition and its application to fault diagnosis of rotating machinery. Measurement 2020, 154, 107444. [Google Scholar] [CrossRef]
  28. Zhao, X.; Ye, B. Difference spectrum theory of singular value and its application to the fault diagnosis of headstock of lathe. J. Mech. Eng. 2010, 46, 100–108. [Google Scholar] [CrossRef]
  29. Jack, P.S.; Sebastien, C.; Erik, E.; Anas, S.; Laurent, R. Gearbox condition monitoring in wind turbines: A review. Mech. Syst. Signal Process. 2018, 111, 255–264. [Google Scholar]
  30. Chen, S.; Dong, X.; Peng, Z.; Zhang, W.; Guang, M. Nonlinear Chirp Mode Decomposition: A Variational Method. IEEE Trans. Signal Process. 2017, 65, 6024–6037. [Google Scholar] [CrossRef]
  31. Chen, S.; Peng, Z.; Yang, Y.; Dong, X.; Zhang, W. Intrinsic chirp component decomposition by using Fourier Series representation. Signal Process. 2017, 137, 319–327. [Google Scholar] [CrossRef]
  32. Chen, S.; Dong, X.; Xing, G.; Peng, Z.; Zhang, W.; Guang, W. Separation of Overlapped Non-Stationary Signals by Ridge Path Regrouping and Intrinsic Chirp Component Decomposition. IEEE Sens. J. 2017, 17, 5994–6005. [Google Scholar] [CrossRef]
Figure 1. Simulated signal. (a) The waveform of simulated signal between 0 and 0.4 s; (b) The waveform of simulated signal between 0.4 and 0.8 s; (c) The waveform of simulated signal between 0.8 and 1.2 s; (d) The waveform of simulated signal between 1.2 and 1.6 s; (e) The waveform of simulated signal between 1.6 and 2 s; (f) Fourier spectrum of simulated signal.
Figure 1. Simulated signal. (a) The waveform of simulated signal between 0 and 0.4 s; (b) The waveform of simulated signal between 0.4 and 0.8 s; (c) The waveform of simulated signal between 0.8 and 1.2 s; (d) The waveform of simulated signal between 1.2 and 1.6 s; (e) The waveform of simulated signal between 1.6 and 2 s; (f) Fourier spectrum of simulated signal.
Applsci 12 02342 g001
Figure 2. The singular values. (a) Singular values of signal; (b) Singular values of IF.
Figure 2. The singular values. (a) Singular values of signal; (b) Singular values of IF.
Applsci 12 02342 g002
Figure 3. The waveform of the IF for simulated signal (red: ideal; blue: purified). (a) The waveform of the IF between 0 and 0.4 s; (b) The waveform of the IF between 0.4 and 0.8 s; (c) The waveform of the IF between 0.8 and 1.2 s; (d) The waveform of the IF between 1.2 and 1.6 s; (e) The waveform of the IF between 1.6 and 2 s.
Figure 3. The waveform of the IF for simulated signal (red: ideal; blue: purified). (a) The waveform of the IF between 0 and 0.4 s; (b) The waveform of the IF between 0.4 and 0.8 s; (c) The waveform of the IF between 0.8 and 1.2 s; (d) The waveform of the IF between 1.2 and 1.6 s; (e) The waveform of the IF between 1.6 and 2 s.
Applsci 12 02342 g003
Figure 4. Fourier spectrum of IF for simulated signal (red: ideal; blue: purified).
Figure 4. Fourier spectrum of IF for simulated signal (red: ideal; blue: purified).
Applsci 12 02342 g004
Figure 5. The waveform of the ideal IF between 0 and 0.6 s.
Figure 5. The waveform of the ideal IF between 0 and 0.6 s.
Applsci 12 02342 g005
Figure 6. The waveform of the estimated IF between 0 and 0.6 s. (a) The estimated IF using Hilbert transform; (b) The STFT of q ( t ) (The length of the window is 128); (c) The STFT of q ( t ) (The length of the window is 1280).
Figure 6. The waveform of the estimated IF between 0 and 0.6 s. (a) The estimated IF using Hilbert transform; (b) The STFT of q ( t ) (The length of the window is 128); (c) The STFT of q ( t ) (The length of the window is 1280).
Applsci 12 02342 g006
Figure 7. Schematic of the rub-impact rotor system. (a) Overview; (b) Sectional view.
Figure 7. Schematic of the rub-impact rotor system. (a) Overview; (b) Sectional view.
Applsci 12 02342 g007
Figure 8. Simulated vibration signal when the rotation speed is 5616 r/min. (a) The waveform of x ( t ) · · ; (b) Fourier spectrum of x ( t ) · · .
Figure 8. Simulated vibration signal when the rotation speed is 5616 r/min. (a) The waveform of x ( t ) · · ; (b) Fourier spectrum of x ( t ) · · .
Applsci 12 02342 g008
Figure 9. The Hilbert spectrum of x ( t ) · · when the rotation speed is 5616 r/min.
Figure 9. The Hilbert spectrum of x ( t ) · · when the rotation speed is 5616 r/min.
Applsci 12 02342 g009
Figure 10. Fourier spectrum of the IF and Envelope spectrum. (a) Fourier spectrum of the IF (1×); (b) Envelope spectrum of 1×.
Figure 10. Fourier spectrum of the IF and Envelope spectrum. (a) Fourier spectrum of the IF (1×); (b) Envelope spectrum of 1×.
Applsci 12 02342 g010
Figure 11. Simulated vibration signal when the rotation speed is 6660 r/min. (a) The waveform of x ( t ) · · ; (b) Fourier spectrum of x ( t ) · · .
Figure 11. Simulated vibration signal when the rotation speed is 6660 r/min. (a) The waveform of x ( t ) · · ; (b) Fourier spectrum of x ( t ) · · .
Applsci 12 02342 g011
Figure 12. The Hilbert spectrum of x ( t ) · · when the rotation speed is 6660 r/min.
Figure 12. The Hilbert spectrum of x ( t ) · · when the rotation speed is 6660 r/min.
Applsci 12 02342 g012
Figure 13. Fourier spectrum of the IF and Envelope spectrum when the rotation speed is 6660 r/min. (a) Fourier spectrum of the IF (1×); (b) Envelope spectrum of 1×.
Figure 13. Fourier spectrum of the IF and Envelope spectrum when the rotation speed is 6660 r/min. (a) Fourier spectrum of the IF (1×); (b) Envelope spectrum of 1×.
Applsci 12 02342 g013
Figure 14. Structure sketch of aeroengine.
Figure 14. Structure sketch of aeroengine.
Applsci 12 02342 g014
Figure 15. Position of accelerometer.
Figure 15. Position of accelerometer.
Applsci 12 02342 g015
Figure 16. Photo of the accelerometer.
Figure 16. Photo of the accelerometer.
Applsci 12 02342 g016
Figure 17. Photo of the charge converter.
Figure 17. Photo of the charge converter.
Applsci 12 02342 g017
Figure 18. Photo of the data acquisition device.
Figure 18. Photo of the data acquisition device.
Applsci 12 02342 g018
Figure 19. RMS of vibration velocity and the safety limit (red: safety limit; blue: RMS of vibration velocity).
Figure 19. RMS of vibration velocity and the safety limit (red: safety limit; blue: RMS of vibration velocity).
Applsci 12 02342 g019
Figure 20. Vibration signal of aeroengine when the low-pressure turbine speed is 5616 r/min. (a) The waveform of signal when the low-pressure turbine speed is 5616 r/min; (b) Fourier spectrum of signal when the low-pressure turbine speed is 5616 r/min.
Figure 20. Vibration signal of aeroengine when the low-pressure turbine speed is 5616 r/min. (a) The waveform of signal when the low-pressure turbine speed is 5616 r/min; (b) Fourier spectrum of signal when the low-pressure turbine speed is 5616 r/min.
Applsci 12 02342 g020
Figure 21. The decomposed signals. (a) The waveform of u1(t); (b) The waveform of u4(t).
Figure 21. The decomposed signals. (a) The waveform of u1(t); (b) The waveform of u4(t).
Applsci 12 02342 g021
Figure 22. The singular values of SVD. (a) Singular values of SVD of u1(t); (b) Singular values of SVD of u4(t).
Figure 22. The singular values of SVD. (a) Singular values of SVD of u1(t); (b) Singular values of SVD of u4(t).
Applsci 12 02342 g022
Figure 23. The purified signals which are processed by the first layer SVD. (a) Purified 1× signal; (b) Purified 3× signal.
Figure 23. The purified signals which are processed by the first layer SVD. (a) Purified 1× signal; (b) Purified 3× signal.
Applsci 12 02342 g023
Figure 24. The envelope spectrums for 1×, 3×. (a) Envelope spectrum of 1×; (b) Envelope spectrum of 3×.
Figure 24. The envelope spectrums for 1×, 3×. (a) Envelope spectrum of 1×; (b) Envelope spectrum of 3×.
Applsci 12 02342 g024
Figure 25. The singular values of SVD of IFs. (a) Singular values of SVD of IF of C1(t); (b) Singular values of SVD of IF of C2(t).
Figure 25. The singular values of SVD of IFs. (a) Singular values of SVD of IF of C1(t); (b) Singular values of SVD of IF of C2(t).
Applsci 12 02342 g025
Figure 26. The Fourier spectrums of IFs. (a) Fourier spectrum of the IF(1×); (b) Fourier spectrum of the IF(3×).
Figure 26. The Fourier spectrums of IFs. (a) Fourier spectrum of the IF(1×); (b) Fourier spectrum of the IF(3×).
Applsci 12 02342 g026
Figure 27. Time–frequency representations of the vibration signal obtained utilizing several methods. (a) Two-Layer SVD of signal after VMD (K = 4); (b) HHT (IMF3); (c) HHT of signal (IMF2); (d) HHT of signal after median filtering (IMF2 and IMF3); (e) The STFT of signal (The length of the window is 256); (f) The STFT of signal (The length of the window is 2560); (g) VNCMD of signal (K = 2); (h) VNCMD of signal (K = 3); (i) VNCMD of signal (K = 4).
Figure 27. Time–frequency representations of the vibration signal obtained utilizing several methods. (a) Two-Layer SVD of signal after VMD (K = 4); (b) HHT (IMF3); (c) HHT of signal (IMF2); (d) HHT of signal after median filtering (IMF2 and IMF3); (e) The STFT of signal (The length of the window is 256); (f) The STFT of signal (The length of the window is 2560); (g) VNCMD of signal (K = 2); (h) VNCMD of signal (K = 3); (i) VNCMD of signal (K = 4).
Applsci 12 02342 g027
Figure 28. Vibration signal of aeroengine when rotation speed of the low-pressure turbine is 6660 r/min. (a) The waveform of the vibration signal when rotation speed of the low pressure turbine is 6660 r/min; (b) FFT of the vibration signal when rotation speed of the low pressure turbine is 6660 r/min.
Figure 28. Vibration signal of aeroengine when rotation speed of the low-pressure turbine is 6660 r/min. (a) The waveform of the vibration signal when rotation speed of the low pressure turbine is 6660 r/min; (b) FFT of the vibration signal when rotation speed of the low pressure turbine is 6660 r/min.
Applsci 12 02342 g028
Figure 29. The waveform of D1(t).
Figure 29. The waveform of D1(t).
Applsci 12 02342 g029
Figure 30. Singular values of SVD of D1(t).
Figure 30. Singular values of SVD of D1(t).
Applsci 12 02342 g030
Figure 31. Purified 1× signal.
Figure 31. Purified 1× signal.
Applsci 12 02342 g031
Figure 32. Envelope spectrum of 1×.
Figure 32. Envelope spectrum of 1×.
Applsci 12 02342 g032
Figure 33. FFT of the instantaneous frequency (1×).
Figure 33. FFT of the instantaneous frequency (1×).
Applsci 12 02342 g033
Figure 34. Time–frequency representations of the vibration signal obtained utilizing 4 methods. (a) Two-Layer SVD of signal after VMD (K = 2); (b) HHT of signal; (c) STFT of signal; (d) VNCMD of signal (K = 2).
Figure 34. Time–frequency representations of the vibration signal obtained utilizing 4 methods. (a) Two-Layer SVD of signal after VMD (K = 2); (b) HHT of signal; (c) STFT of signal; (d) VNCMD of signal (K = 2).
Applsci 12 02342 g034
Figure 35. Vibration signal when rotation speed of the low-pressure turbine is 5220 r/min. (a) The waveform of the vibration signal when rotation speed of the low-pressure turbine is 5220 r/min; (b) FFT of the vibration signal when rotation speed of the low-pressure turbine is 5220 r/min.
Figure 35. Vibration signal when rotation speed of the low-pressure turbine is 5220 r/min. (a) The waveform of the vibration signal when rotation speed of the low-pressure turbine is 5220 r/min; (b) FFT of the vibration signal when rotation speed of the low-pressure turbine is 5220 r/min.
Applsci 12 02342 g035
Figure 36. The waveform of F1(t).
Figure 36. The waveform of F1(t).
Applsci 12 02342 g036
Figure 37. Singular values of SVD of F1(t).
Figure 37. Singular values of SVD of F1(t).
Applsci 12 02342 g037
Figure 38. Purified 1× signal.
Figure 38. Purified 1× signal.
Applsci 12 02342 g038
Figure 39. Envelope spectrum of 1×.
Figure 39. Envelope spectrum of 1×.
Applsci 12 02342 g039
Figure 40. FFT of the instantaneous frequency (1×).
Figure 40. FFT of the instantaneous frequency (1×).
Applsci 12 02342 g040
Figure 41. Time–frequency representations of the vibration signal obtained utilizing 4 methods. (a) Two-Layer SVD of signal after VMD (K = 2); (b) HHT of signal; (c) STFT of signal; (d) VNCMD of signal (K = 2).
Figure 41. Time–frequency representations of the vibration signal obtained utilizing 4 methods. (a) Two-Layer SVD of signal after VMD (K = 2); (b) HHT of signal; (c) STFT of signal; (d) VNCMD of signal (K = 2).
Applsci 12 02342 g041
Table 1. The absolute error of oscillating amplitude of purified IF.
Table 1. The absolute error of oscillating amplitude of purified IF.
The Modulation
Frequency of IF
The Oscillating
Amplitude of Ideal IF
The Oscillating
Amplitude of Purified IF
The Absolute Error
39.5 Hz7.77 Hz7.80 Hz0.03 Hz
44.5 Hz8.79 Hz8.53 Hz0.26 Hz
50.5 Hz9.98 Hz9.57 Hz0.41 Hz
Table 2. The parameters for the simulated dynamic system.
Table 2. The parameters for the simulated dynamic system.
ParametersValues
m 44   kg
c 7950   N s / m
k 5.85 × 10 4   N / m
e 4.1 × 10 5   m
k c 3.8 × 10 7   N / m
f c 0.2
δ 0 10 5   m
Publisher’s Note: MDPI stays neutral with regard to jurisdictional claims in published maps and institutional affiliations.

Share and Cite

MDPI and ACS Style

Zhang, P.; Li, S.; Xu, K.; Gong, S.; Zhan, K.; Shen, M.; Tian, J.; Yuan, X. A Novel Strategy for Signal Denoising Using Two-Layer SVD and Its Application to Rub-Impact Fault Diagnosis of Aeroengine. Appl. Sci. 2022, 12, 2342. https://doi.org/10.3390/app12052342

AMA Style

Zhang P, Li S, Xu K, Gong S, Zhan K, Shen M, Tian J, Yuan X. A Novel Strategy for Signal Denoising Using Two-Layer SVD and Its Application to Rub-Impact Fault Diagnosis of Aeroengine. Applied Sciences. 2022; 12(5):2342. https://doi.org/10.3390/app12052342

Chicago/Turabian Style

Zhang, Peng, Shunming Li, Kun Xu, Siqi Gong, Keyi Zhan, Maoxian Shen, Jun Tian, and Xin Yuan. 2022. "A Novel Strategy for Signal Denoising Using Two-Layer SVD and Its Application to Rub-Impact Fault Diagnosis of Aeroengine" Applied Sciences 12, no. 5: 2342. https://doi.org/10.3390/app12052342

APA Style

Zhang, P., Li, S., Xu, K., Gong, S., Zhan, K., Shen, M., Tian, J., & Yuan, X. (2022). A Novel Strategy for Signal Denoising Using Two-Layer SVD and Its Application to Rub-Impact Fault Diagnosis of Aeroengine. Applied Sciences, 12(5), 2342. https://doi.org/10.3390/app12052342

Note that from the first issue of 2016, this journal uses article numbers instead of page numbers. See further details here.

Article Metrics

Back to TopTop