Sensors for Continuous Measuring of Sucrose Solutions Using Surface Plasmon Resonance
Abstract
:1. Introduction
2. Design of the Plasmonic Sensor
- -
- P-polarized incident laser at 589 nm (sodium D line) and with S polarization, surface plasmon polaritons (SPPs) are not excited, for this reason, it is used the P polarization [16].
- -
- Hemispherical prism SF10 with refractive index np = 1.72803 [17] has a radius of curvature of approximately 0.56 cm with a spherical surface of approximately 4 cm2 and a flat surface, corresponding to the contact surfaces of the layers with the medium of 2 cm2.
- -
- Detector: this is used to collect the signal transported by the optical fiber from the hemispherical prism. The angle of half sensitivity is not critical as the radiation will hit the perpendicular detector. The detector must be a high-speed and highly sensitive PIN photodiode chip with, at least, π mm2 sensitive circular area to cover the straight section of the output optical fiber. It has to be sensitive to visible light. It should have peak sensitivity at 589 nm or near to it. The minimum accuracy of the detector must be 0.2%.
- -
- Optical fiber: this is used only to transport the light from the laser to the hemispherical prism and from the hemispherical prism to the detector. The input and output optical fibers must be the same so that the losses are the same, and there is no asymmetry, and the reflectance can be calculated with minimum error. Taking into account the size of the hemispherical prism, the dimensions of the fibers can be: core diameter, cladding, and buffer 1 mm, 1.05 mm, and 1.25 mm, respectively. The core is pure fused silica, and the cladding is a polymer. The optical fiber is a multimode step-index and has an attenuation of 10 dB/km and a transmittance close to 100% at the working wavelength. To reduce costs, low working temperatures are not needed but it may be that high temperatures are needed, around 100 °C when working with aqueous solutions close to boiling point.
3. Results and Discussion
3.1. Fresnel Reflection Losses
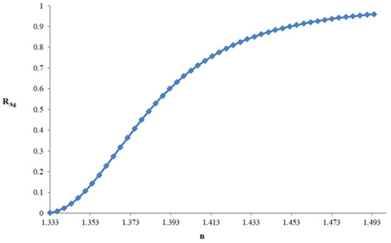
3.2. Sensor MgF2-Ag
3.3. Sensor MgF2-Al
4. Conclusions
Author Contributions
Funding
Institutional Review Board Statement
Informed Consent Statement
Data Availability Statement
Acknowledgments
Conflicts of Interest
References
- Gomez-Cardona, N.; Reyes-Vera, E.; Torres, P. High sensitivity refractive index sensor based on the excitation of long-range surface plasmon polaritons in H-shaped optical fiber. Sensors 2020, 20, 2111. [Google Scholar] [CrossRef] [PubMed] [Green Version]
- Yuana, J.; Denga, D.; Laurena, D.R.; Aguilarb, M.I.; Wua, Y. Surface plasmon resonance biosensor for the detection of ochratoxin A in cereals and beverages. Anal. Chim. Acta 2009, 656, 63–71. [Google Scholar] [CrossRef] [PubMed]
- Monfared, Y.E. Overview of recent advances in the design of plasmonic fiber-optic biosensors. Biosensors 2020, 10, 77. [Google Scholar] [CrossRef] [PubMed]
- Lea, A.G.H.; Piggott, J.R. Fermented Beverage Production, 2nd ed.; Springer: New York, NY, USA, 2003. [Google Scholar]
- Peris, M.; Escuder-Gilabert, L. Electronic noses and tongues to assess food authenticity and adulteration. Trends Food Sci. Tech. 2016, 58, 40–54. [Google Scholar] [CrossRef] [Green Version]
- Silveira, L., Jr.; Moreira, L.M.; Conceição, V.G.B.; Casalechi, H.L.; Muñoz, I.S.; Silva, F.F.D.; Silva, M.A.S.R.; Souza, R.A.D.; Pacheco, M.T.T. Determination of sucrose concentration in lemon-type soft drinks by dispersive Raman spectroscopy. J. Spectrosc. 2009, 23, 217–226. [Google Scholar] [CrossRef]
- Ilaslan, K.; Boyaci, I.H.; Topcu, A. Rapid analysis of glucose, fructose and sucrose contents of commercial soft drinks using Raman spectroscopy. Food Control 2015, 48, 56–61. [Google Scholar] [CrossRef]
- Nayak, J.K.; Parhi, P.; Jha, R. Graphene oxide encapsulated gold nanoparticle based stable fibre optic sucrose sensor. Sens. Actuators B Chem. 2015, 221, 835–841. [Google Scholar] [CrossRef]
- Harnsoongnoen, S.; Wanthong, A. Coplanar waveguides loaded with a split ring resonator-based microwave sensor for aqueous sucrose solutions. Meas. Sci. Technol. 2016, 27, 1–6. Available online: https://iopscience.iop.org/article/10.1088/0957-0233/27/1/015103 (accessed on 12 December 2021). [CrossRef]
- Bagal-Kestwal, D.; Karve, M.S.; Kakade, B.; Pillai, V.K. Invertase inhibition based electrochemical sensor for the detection of heavy metal ions in aqueous system: Application of ultra-microelectrode to enhance sucrose biosensor′s sensitivity. Biosens. Bioelectron. 2008, 24, 657–664. [Google Scholar] [CrossRef]
- Fujiwara, E.; Ono, E.; Suzuki, C.K. Application of an optical fiber sensor on the determination of sucrose and ethanol concentrations in process streams and effluents of sugarcane bioethanol industry. IEEE Sens. J. 2015, 12, 2839–2843. [Google Scholar] [CrossRef]
- Saetear, P.; Khamtau, K.; Ratanawimarnwong, N.; Sereenonchai, K.; Nacapricha, D. Sequential injection system for simultaneous determination of sucrose and phosphate in cola drinks using paired emitter-detector diode sensor. Talanta 2013, 115, 361–366. [Google Scholar] [CrossRef] [PubMed]
- Seki, A.; Narita, K.; Watanabe, K. Refractive index measurement in sucrose solution and beverage using surface plasmon resonance sensor based on hetero-core structured fiber optic. Procedia Chem. 2016, 20, 15–117. [Google Scholar] [CrossRef] [Green Version]
- Pozo, A.M.; Pérez-Ocón, F.; Rabaza, O. A Continuous Liquid-Level Sensor for Fuel Tanks Based on Surface Plasmon Resonance. Sensors 2016, 16, 724. [Google Scholar] [CrossRef] [PubMed] [Green Version]
- Li, M.; Cushing, S.K.; Wu, N. Plasmon-enhanced optical sensors: A review. Analyst 2015, 140, 386–406. [Google Scholar] [CrossRef] [PubMed] [Green Version]
- Popescu, A.A. Surface plasmon resonance: Concept and applications for nano-sensors and optical active devices. In Proceedings SPIE. Advanced Topics in Optoelectronics, Microelectronics, and Nanotechnologies (ATOM-N); SPIE: Constanta, Romania, 2015. [Google Scholar] [CrossRef]
- Polyanskiy, M. SF10 Optical Glass-Refractive Index of SF10, RefractiveIndex. INFO Website: © 2008–2020. Available online: https://refractiveindex.info/?shelf=glass&book=SF10&page=SCHOTT (accessed on 9 January 2020).
- McPeak, K.M.; Jayanti, S.V.; Kress, S.J.; Meyer, S.; Iotti, S.; Rossinelli, A.; Norris, D.J. Plasmonic films can easily be better: Rules and recipes. ACS Photonics 2015, 2, 326–333. [Google Scholar] [CrossRef]
- Lide, D.R. CRC Handbook of Chemistry and Physics, 100th ed.; CRC press: Boca Raton, FL, USA, 2019. [Google Scholar]
- Babar, S.; Weaver, J.H. Optical constants of Cu, Ag, and Au revisited. Appl. Opt. 2015, 54, 477–481. [Google Scholar] [CrossRef]
- Heavens, O.S. The optical properties of thin solid films, thin films optics. In Optical Properties of Thin Solid Films, 2nd ed.; Dover Publications: New York, NY, USA, 2011; pp. 45–96. [Google Scholar]
- Ohta, K.; Ishida, H. Matrix formalism for calculation of electric field intensity of light in stratified multilayered films. Appl. Opt. 1990, 29, 1952–1959. [Google Scholar] [CrossRef]
- Homola, J.; Yee, S.S.; Gauglitz, G. Surface plasmon resonance sensors: Review. Sens. Actuators B Chem. 1990, 54, 3–15. [Google Scholar] [CrossRef]
- Ronot-Trioli, C.; Trouillet, A.; Veillas, C.; Gagnaire, H. Monochromatic excitation of surface plasmon resonance in an optical fibre refractive-index sensor. Sens. Actuators A Phys. 1996, 54, 589–593. [Google Scholar] [CrossRef]
- Chen, J.; Shi, S.; Su, R.; Qi, W.; Huang, R.; Wang, M.; Wang, L.; He, Z. Optimization and application of reflective LSPR optical fiber biosensors based on silver nanoparticles. Sensors 2015, 15, 12205–12217. [Google Scholar] [CrossRef]
- Zhang, J.; Chen, W.P.; Dong, C. Fiber-Optic sucrose sensor based on mode-filtered light detection. J. Carbohyd. Chem. 2013, 32, 475–482. [Google Scholar] [CrossRef]
- Ahmed, T.; Haider, F.; Aoni, R.A.; Ahmed, R. Highly sensitive U-shaped micro-channel photonic crystal fiber–based plasmonic biosensor. Plasmonics 2021, 16, 2215–2223. [Google Scholar] [CrossRef]
- Paul, A.K.; Mollah, M.A.; Hassan, M.Z.; Gomez-Cardona, N.; Reyes-Vera, E. Graphene-coated highly sensitive photonic crystal fiber surface plasmon resonance sensor for aqueous solution: Design and numerical analysis. Photonics 2021, 8, 155. [Google Scholar] [CrossRef]
- Homola, J. Surface Plasmon Resonance Based Sensors; Series on Chemical Sensors and Biosensors; Springer: Berlin/Heidelberg, Germany, 2006. [Google Scholar]







| Chemical Sensors | Physical Sensors | Slow Response Time | Instant Response Time | ||
|---|---|---|---|---|---|
| [5,10] | [6,7,8,9,11,13,23,24,25,26,27,28] Ours | [2,10] | [1,3,28]. Ours | ||
| Raman spectroscopy | Optical fiber sensor | Resonance | With samples | Plasmonic sensor | |
| [6,7] | [8,11,13,26] | [9] | [10,11] | [1,2,3,28], Ours | |
| High resolution | Low resolution | High sensitivity | Low sensitivity | Short dynamic range | Wide dynamic range |
| [8,27,28], Ours | [1,25] | [27,28], Ours | [24,25] | [13,24,28] | [26], Ours |
Publisher’s Note: MDPI stays neutral with regard to jurisdictional claims in published maps and institutional affiliations. |
© 2022 by the authors. Licensee MDPI, Basel, Switzerland. This article is an open access article distributed under the terms and conditions of the Creative Commons Attribution (CC BY) license (https://creativecommons.org/licenses/by/4.0/).
Share and Cite
Pérez-Ocón, F.; Pozo, A.M.; Serrano, J.M.; Rabaza, O. Sensors for Continuous Measuring of Sucrose Solutions Using Surface Plasmon Resonance. Appl. Sci. 2022, 12, 1350. https://doi.org/10.3390/app12031350
Pérez-Ocón F, Pozo AM, Serrano JM, Rabaza O. Sensors for Continuous Measuring of Sucrose Solutions Using Surface Plasmon Resonance. Applied Sciences. 2022; 12(3):1350. https://doi.org/10.3390/app12031350
Chicago/Turabian StylePérez-Ocón, Francisco, Antonio M. Pozo, José M. Serrano, and Ovidio Rabaza. 2022. "Sensors for Continuous Measuring of Sucrose Solutions Using Surface Plasmon Resonance" Applied Sciences 12, no. 3: 1350. https://doi.org/10.3390/app12031350
APA StylePérez-Ocón, F., Pozo, A. M., Serrano, J. M., & Rabaza, O. (2022). Sensors for Continuous Measuring of Sucrose Solutions Using Surface Plasmon Resonance. Applied Sciences, 12(3), 1350. https://doi.org/10.3390/app12031350

