Transfer and Distribution of Metals and Metalloids in Carassius auratus Organs from Tailings Pond and Their Influence on Morphological Characteristics
Abstract
1. Introduction
2. Study Object
3. Materials and Methods
3.1. Field Sampling
3.1.1. Water
3.1.2. Fish
3.2. Laboratory Analyses
3.2.1. Laboratory Preparation of Fish
3.2.2. Method of Analyses
3.2.3. Coefficients
4. Results and Discussion
4.1. Composition of the Pond Water
- (1)
- (2)
- Bacterial oxidation of pyrite and arsenopyrite [49]:2FeS2 + 7O2 + 2H2O → 2Fe2+ + 4SO42−+ 4H+
4Fe2+ + O2 + H+ → 4Fe3+ + 2H2O
4FeAsS + 13O2 + 6H2O →4Fe2+ + 4SO42− + 4H3AsO4 - (3)
4.2. Mutational Changes of Crucian Carp from the Tailings Pond
4.2.1. Biological Parameters of Crucian Carp
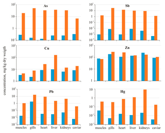
4.2.2. Elemental Composition of Crucian Carp Organs
5. Conclusions
Author Contributions
Funding
Institutional Review Board Statement
Informed Consent Statement
Data Availability Statement
Acknowledgments
Conflicts of Interest
References
- Robles-Arenas, V.M.; Rodríguez, R.; García, C.; Manteca, J.I.; Candela, L. Sulphide-mining impacts in the physical environment: Sierra de Cartagena-La Unión (SE Spain) case study. Environ. Geol. 2006, 51, 57–64. [Google Scholar] [CrossRef]
- Rahman, Z.; Singh, V.P. The relative impact of toxic heavy metals (THMs) (arsenic (As), cadmium (Cd), chromium (Cr)(VI), mercury (Hg), and lead (Pb) on the total environment: An overview. Environ. Monit. Assess. 2019, 191, 419. [Google Scholar] [CrossRef] [PubMed]
- Parmar, M.; Thakur, L.S. Heavy metal Cu, Ni and Zn: Toxicity, health hazards and their removal techniques. Int. J. Plant Anim. Environ. Sci. 2013, 3, 143–157. [Google Scholar]
- Park, J.H.; Hodge, V.; Gerstenberger, S.; Stave, K. Mobilization of Toxic Elements from an Abandoned Manganese Mine in the Arid Metropolitan Las Vegas (NV, USA) Area. Appl. Sci. 2014, 4, 240–254. [Google Scholar] [CrossRef]
- Lee, C.H.; Lee, H.K.; Lee, J.C. Hydrogeochemistry of mine, surface and groundwaters from the Sanggok mine creek in the upper Chungju Lake, Republic of Korea. Environ. Geol. 2001, 40, 482–494. [Google Scholar] [CrossRef]
- Nordstrom, D.K.; Blowes, D.W.; Ptacek, C.J. Hydrogeochemistry and microbiology of mine drainage: An update. Appl. Geochem. 2015, 57, 3–16. [Google Scholar] [CrossRef]
- Yurkevich, N.; Osipova, P.; Tsibizov, L.; Tsibizova, E.; Fadeeva, I.; Volynkin, S.; Tulisova, K.; Kuleshova, T. Current State of the Gold Mining Waste from the Ores of the Ursk Deposit (Western Siberia, Russia). Appl. Sci. 2022, 12, 10610. [Google Scholar] [CrossRef]
- Wu, X.; Cobbina, S.J.; Mao, G.; Xu, H.; Zhang, Z.; Yang, L. A review of toxicity and mechanisms of individual and mixtures of heavy metals in the environment. Environ. Sci. Pollut. Res. 2016, 23, 8244–8259. [Google Scholar] [CrossRef]
- Vest, K.E.; Hashemi, H.F.; Cobine, P.A. The Copper Metallome in Eukaryotic Cells. Met. Ions Life Sci. 2013, 12, 451–478. [Google Scholar]
- Corsello, G.; Giuffrè, M. Congenital malformations. J. Matern. Fetal. Neonatal. Med. 2012, 25, 25–29. [Google Scholar] [CrossRef]
- Salnikova, E.V. Human needs for zinc and its sources (review). Trace Elem. Med. 2016, 17, 11–15. [Google Scholar] [CrossRef][Green Version]
- Hajra, B.; Orakzai, B.A.; Faryal, U.; Hassan, M.; Rasheed, S.; Wazir, S. Insulin Sensitivity to Trace Metals (Chromium, Manganese) In Type 2 Diabetic Patients And Non Diabetic Individuals. J. Ayub. Med. Coll. Abbottabad. 2016, 28, 534–536. [Google Scholar] [PubMed]
- Suldina, T. Heavy metal content in food and its effect on the organism. Ration. Nutr. Diet. Suppl. Biostimulant. 2016, 1, 136–140. (In Russian) [Google Scholar]
- Das, S.; Unni, B.; Bhattacharjee, M.; Wann, S.B.; Rao, P.G. Toxicological effects of arsenic exposure in a freshwater teleost fish, Channa punctatus. Afr. J. Biotech. 2012, 11, 4447–4454. [Google Scholar]
- Aramphongphan, A.; Laovitthayanggoon, S.; Himakoun, L. Snakehead-fish cell line, SSN-1 (Ophicephalus striatus) as a model for cadmium genotoxicity testing. Toxicol. Vitr. 2009, 23, 963–968. [Google Scholar] [CrossRef]
- Gasulla, J.; Picco, S.J.; Carriquiriborde, P.; Dulout, F.N.; Ronco, A.E.; de Luca, J.C. Genotoxic effects induced by Cd+2, Cr+6, Cu+2 in the gill and liver of Odontesthes bonariensis (piscies, Atherinopsidae). Bull. Environ. Contam. Toxicol. 2016, 96, 591–595. [Google Scholar] [CrossRef]
- Arunachalam, K.; Annamalai, S.; Kuruva, J. In-vivo evaluation of hexavalent chromium induced DNA damage by alkaline cometassay and oxidative stress in Catla catla. Am. J. Environ. Sci. 2013, 9, 470–482. [Google Scholar] [CrossRef][Green Version]
- Pichhode, M.; Gaherwal, S. Toxicological effects of arsenic trioxide exposure on haematolical profile in catfish, Clarias Batrachus. Int. J. Curr. Res. Rev. 2019, 11, 9–12. [Google Scholar] [CrossRef]
- Jezierska, B.; Ługowska, K.; Witeska, M. The effects of heavy metals on embryonic development of fish (a review). Fish Physiol. Biochem. 2008, 35, 625–640. [Google Scholar] [CrossRef] [PubMed]
- Zhu, B.; Wu, Z.-F.; Li, J.; Wang, G.-X. Single and joint action toxicity of heavy metals on early developmental stages of Chinese rare minnow (Gobiocypris Rarus). Ecotoxicol. Environ. Saf. 2011, 74, 2193–2202. [Google Scholar] [CrossRef] [PubMed]
- Zhu, B.; Liu, L.; Li, D.-L.; Ling, F.; Wang, G.-X. Developmental toxicity in rare minnow (Gobiocypris Rarus) embryos exposed to Cu, Zn and CD. Ecotoxicol. Environ. Saf. 2014, 104, 269–277. [Google Scholar] [CrossRef] [PubMed]
- Witeska, M.; Sarnowski, P.; Ługowska, K.; Kowal, E. The effects of cadmium and copper on embryonic and larval development of IDE Leuciscus Idus L. Fish Physiol. Biochem. 2013, 40, 151–163. [Google Scholar] [CrossRef]
- Liu, L.; Xiao, Y.-Y.; Ji, Y.-H.; Liu, M.-Z.; Chen, Y.; Zeng, Y.-L.; Zhang, Y.-G.; Jin, L. Cuins 2/ZNS QD exposure induces developmental toxicity, oxidative stress and DNA damage in rare minnow (Gobiocypris rarus) embryos and larvae. Comp. Biochem. Physiol. C Pharmacol. Toxicol. Endocrinol. 2017, 198, 19–27. [Google Scholar] [CrossRef] [PubMed]
- Bai, Y.; Lian, D.; Su, T.; Wang, Y.Y.; Zhang, D.; Wang, Z.; Gimeno, S.; You, J. Species and life-stage sensitivity of Chinese rare minnow (gobiocypris rarus) to Chemical Exposure: A critical review. Environ. Toxicol. Chem. 2021, 40, 2680–2692. [Google Scholar] [CrossRef]
- Gárriz, Á.; Miranda, L.A. Effects of metals on sperm quality, fertilization and hatching rates, and embryo and larval survival of Pejerrey Fish (odontesthes bonariensis). Ecotoxicology 2020, 29, 1072–1082. [Google Scholar] [CrossRef]
- Baatrup, E. Structural and functional effects of heavy metals on the nervous system, including sense organs, of fish. Comp. Biochem. Physiol. Part C Comp. Pharmacol. 1991, 100, 253–257. [Google Scholar] [CrossRef] [PubMed]
- Golovanova, I.L. Effects of heavy metals on the physiological and biochemical status of fishes and aquatic invertebrates. Inland Water Biol. 2008, 1, 93–101. [Google Scholar] [CrossRef]
- Mahboob, S. Environmental pollution of heavy metals as a cause of oxidative stress in fish: A review. Life Sci. J. 2013, 10, 336–347. [Google Scholar]
- Khan, S.A.; Liu, X.; Shah, B.R. Impact of acute toxicity of lead acetate on the level of essential trace metals and histopathological changes in Crucian carp. (Carassius Auratus Gibelio). J. Anim. Plant Sci. 2014, 24, 1405–1414. [Google Scholar]
- Şenol, N.; Özan, S. The Histomorphological Changes in Carassius carassius (Linnaeus, 1758), Liver and Kidney Tissues of Some Heavy Metals. Indian J. Geomar. Sci. 2016, 45, 1123–1127. [Google Scholar]
- Curcio, V.; Macirella, R.; Sesti, S.; Pellegrino, D.; Ahmed, A.I.; Brunelli, E. Morphological and molecular alterations induced by lead in embryos and larvae of danio rerio. Appl. Sci. 2021, 11, 7464. [Google Scholar] [CrossRef]
- Gül, A.; Yılmaz, M.; Benzer, S.; Taşdemir, L. Investigation of zinc, copper, lead and cadmium accumulation in the tissues of Sander Lucioperca (L., 1758) living in Hirfanlı Dam Lake, Turkey. Bull. Environ. Contam. Toxicol. 2011, 87, 264–266. [Google Scholar] [CrossRef]
- Zubcov, E.; Zubcov, N.; Ene, A.; Biletchi, L. Assessment of copper and zinc levels in fish from freshwater ecosystems of Moldova. Environ. Sci. Pollut. R. 2012, 19, 2238–2247. [Google Scholar] [CrossRef] [PubMed]
- Subotić, S.; Višnjić Jeftić, Ž.; Spasić, S.; Hegediš, A.; Krpo-Ćetković, J.; Lenhardt, M. Distribution and accumulation of elements (as, Cu, Fe, hg, Mn, and Zn) in tissues of fish species from different trophic levels in the Danube River at the confluence with the Sava River (Serbia). Environ. Sci. Pollut. Res. 2013, 20, 5309–5317. [Google Scholar] [CrossRef] [PubMed]
- Vaseem, H.; Banerjee, T.K. Contamination of metals in different tissues of rohu (labeo rohita, Cyprinidae) collected from the Indian River Ganga. Bull. Environ. Contam. Toxicol. 2013, 91, 36–41. [Google Scholar] [CrossRef]
- Boalt, E.; Miller, A.; Dahlgren, H. Distribution of cadmium, Mercury, and lead in different body parts of Baltic Herring (Clupea Harengus) and perch (Perca fluviatilis): Implications for environmental status assessments. Mar. Pollut. Bull. 2014, 78, 130–136. [Google Scholar] [CrossRef] [PubMed]
- Zolotaryov, K.; Mikhailova, M.; Nakhod, K.; Mikhailov, A. Algorithm to analyse distribution of heavy metals in fish tissues on the example of northern pike. Princ. Ecol. 2018, 28, 34–47. [Google Scholar] [CrossRef]
- Monikh, F.A.; Maryamabadi, A.; Savari, A.; Ghanemi, K. Heavy metals concentration in sediment, shrimp and two fish species from the northwest Persian Gulf. Toxicol. Ind. Health 2013, 31, 554–565. [Google Scholar] [CrossRef] [PubMed]
- Yadrenkina, E.N. Distribution of alien fish species in lakes within the temperate climatic zone of Western Siberia. Russ. J. Biol. Invasions 2012, 3, 145–157. [Google Scholar] [CrossRef]
- Bortnikova, S.; Olenchenko, V.; Gaskova, O.; Yurkevich, N.; Abrosimova, N.; Shevko, E.; Edelev, A.; Korneeva, T.; Provornaya, I.; Eder, L. Characterization of a gold extraction plant environment in assessing the hazardous nature of accumulated wastes (Kemerovo Region, Russia). Appl. Geochem. 2018, 93, 145–157. [Google Scholar] [CrossRef]
- Romanov, V.; Petlina, A.; Babkina, I. Methods of Research of Freshwater Fish of Siberia; Tomsk State University: Tomsk, Russia, 2012; 252 p. (In Russian) [Google Scholar]
- Order of the Ministry of Agriculture of the Russian Federation of 13.12.2016 No. 552 (Revised from 10 March 2020) «On Approval of Water Quality Standards for Water Bodies of Fishery Significance, Including Standards for Maximum Permissible Concentrations of Harmful Substances in the Waters of Water Bodies of Fishery Significance». Available online: http://publication.pravo.gov.ru/Document/View/0001202006160052/ (accessed on 14 November 2020).
- Gaskova, O.; Bortnikova, S.; Airiyants, A.; Kolmogorov, Y.; Pashkov, M. Geochemical Features of an Anthropogenic Impoundment with Cyanidation Wastes of Gold-Arsenopyrite-Quartz Ores. Geochem. Int. 2000, 38, 281–291. [Google Scholar]
- Shuvaeva, O.; Bortnikova, S.; Korda, T.; Lazareva, E. Arsenic Speciation in a Contaminated Gold Processing Tailings Dam. Geostand. Geoanal. Res. 2000, 24, 247–252. [Google Scholar] [CrossRef]
- Moreira, C.A.; Casagrande, M.F.; de Siqueira Büchi, F.M.; Targa, D.A. Hydrogelogical characterization of a waste rock pile and bedrock affected by acid mine drainage from geophysical survey. SN Appl. Sci. 2020, 2, 1236. [Google Scholar] [CrossRef]
- Kirillov, M.V.; Bortnikova, S.B.; Gaskova, O.L. Authigenic gold formation in the cyanidation tailings of gold–arsenopyrite–quartz ore of Komsomolsk Deposit (Kuznetski Alatau, Russia). Environ. Earth Sci. 2016, 75, 1050. [Google Scholar] [CrossRef]
- Walker, F.P.; Schreiber, M.E.; Rimstidt, J.D. Kinetics of arsenopyrite oxidative dissolution by oxygen. Geoch. Cosmoch. Acta 2006, 70, 1668–1676. [Google Scholar] [CrossRef]
- Craw, D.; Falconer, D.; Youngson, J.H. Environmental arsenopyrite stability and dissolution: Theory, experiment, and field observations. Chem. Geol. 2003, 199, 71–82. [Google Scholar] [CrossRef]
- Komnitsas, K.; Xenidis, A.; Adam, K. Oxidation of pyrite and arsenopyrite in sulphidic spoils in Lavrion. Min. Eng. 1995, 8, 1443–1454. [Google Scholar] [CrossRef]
- Oorts, K.; Smolders, E.; Degryse, F.; Buekers, J.; Gascó, G.; Cornelis, G.; Mertens, J. Solubility and Toxicity of Antimony Trioxide (Sb2O3) in Soil. Environ. Sci. Technol. 2008, 42, 4378–4383. [Google Scholar] [CrossRef] [PubMed]
- Wu, T.; Cui, P.; Huang, M.; Liu, C.; Dang, F.; Wang, Z.; Alves, M.E.; Zhou, D.; Wang, Y. Oxidative dissolution of Sb2O3 mediated by surface Mn redox cycling in oxic aquatic systems. Water Res. 2022, 217, 118403. [Google Scholar] [CrossRef] [PubMed]
- Cantanhêde, S.M.; de Carvalho, I.S.; Hamoy, M.; Corrêa, J.A.; de Carvalho, L.M.; Barbas, L.A.; Montag, L.F.; Amado, L.L. Evaluation of cardiotoxicity in Amazonian Fish Bryconops caudomaculatus by acute exposure to aluminium in an acidic environment. Aquat. Toxicol. 2022, 242, 106044. [Google Scholar] [CrossRef]
- Marins, K.; Lazzarotto, L.M.; Boschetti, G.; Bertoncello, K.T.; Sachett, A.; Schindler, M.S.; Chitolina, R.; Regginato, A.; Zanatta, A.P.; Siebel, A.M.; et al. Iron and manganese present in underground water promote biochemical, genotoxic, and behavioral alterations in zebrafish (danio rerio). Environ. Sci. Pollut. Res. 2019, 26, 23555–23570. [Google Scholar] [CrossRef]
- Gimenes, L.L.; Freschi, G.P.; Bianchini Júnior, I.; Cunha Santino, M.B. Growth of the aquatic macrophyte Ricciocarpos natans (L.) corda in different temperatures and in distinct concentrations of aluminum and Manganese. Aquat. Toxicol. 2020, 224, 105484. [Google Scholar] [CrossRef] [PubMed]
- Grosell, M. Fish Physiology. In Homeostasis and Toxicology of Essential Metals; Wood, C.M., Farrell, A.P., Brauner, C.J., Eds.; Academic Press: Cambridge, MA, USA, 2011; Volume 31, Part A, pp. 53–133. [Google Scholar] [CrossRef]
- Viana, L.F.; Crispim, B.D.A.; Kummrow, F.; Nascimento, V.A.; Melo, E.S.; de Lima, N.A.; Barufatti, A. Bioaccumulation, genotoxicity, and risks to native fish species from inorganic contaminants in the Pantanal Sul-Mato-Grossense, Brazil. Environ. Pollut. 2022, 314, 120204. [Google Scholar] [CrossRef] [PubMed]
- Squadrone, S.; Prearo, M.; Brizio, P.; Gavinelli, S.; Pellegrino, M.; Scanzio, T.; Guarise, S.; Benedetto, A.; Abete, M.C. Heavy metals distribution in muscle, liver, kidney and Gill of European catfish (Silurus glanis) from Italian rivers. Chemosphere 2013, 90, 358–365. [Google Scholar] [CrossRef] [PubMed]
- Voigt, C.L.; da Silva, C.P.; Doria, H.B.; Randi, M.A.; de Oliveira Ribeiro, C.A.; de Campos, S.X. Bioconcentration and bioaccumulation of metal in freshwater neotropical fish geophagus brasiliensis. Environ. Sci. Pollut. Res. 2014, 22, 8242–8252. [Google Scholar] [CrossRef]
- Borrell, A.; Tornero, V.; Bhattacharjee, D.; Aguilar, A. Trace element accumulation and trophic relationships in aquatic organisms of the Sundarbans mangrove ecosystem (Bangladesh). Sci. Total. Environ. 2016, 545–546, 414–423. [Google Scholar] [CrossRef]
- Chouvelon, T.; Brach-Papa, C.; Auger, D.; Bodin, N.; Bruzac, S.; Crochet, S.; Degroote, M.; Hollanda, S.J.; Hubert, C.; Knoery, J.; et al. Chemical contaminants (trace metals, persistent organic pollutants) in albacore tuna from western Indian and south-eastern Atlantic Oceans: Trophic influence and potential as tracers of populations. Sci.Total. Environ. 2017, 596, 481–495. [Google Scholar] [CrossRef] [PubMed]
- Kennedy, C.J. Toxicology | The Toxicology of Metals in Fishes. In Encyclopedia of Fish Physiology; PH: Simon Fraser University: Burnaby BC, Canada, 2011; Volume 3, pp. 2061–2068. [Google Scholar] [CrossRef]
- Hosseini, M.; Nabavi, S.M.; Nabavi, S.N.; Pour, N.A. Heavy metals (CD, Co, Cu, ni, pb, Fe, and hg) content in four fish commonly consumed in Iran: Risk assessment for the consumers. Environ. Monit. Assess. 2015, 187, 237. [Google Scholar] [CrossRef] [PubMed]
- Fu, J.; Hu, X.; Tao, X.; Yu, H.; Zhang, X. Risk and toxicity assessments of heavy metals in sediments and fishes from the Yangtze River and Taihu Lake, China. Chemosphere 2013, 93, 1887–1895. [Google Scholar] [CrossRef]







| KP (n = 6) | CL (n = 10) | MPCfp | IconcW | KP (n = 6) | CL (n = 10) | MPCfp | IconcW | ||
|---|---|---|---|---|---|---|---|---|---|
| pH | 8.14 | 7.16 | Al | 47 | 47 | 40 | 1.2 | ||
| Eh | 406 | 458 | Mn | 130 | 23 | 50 | 5.7 | ||
| S | 590 | 168 | Cu | 2.8 | 1.8 | 5 | 1.6 | ||
| SO42− | 270 | 12 | 100 | 23 | Zn | 53 | 14 | 50 | 3.8 |
| HCO3− | 35 | 38 | 0.92 | Pb | 1.1 | 0.44 | 6 | 2.5 | |
| Cl− | 6.6 | 5.6 | 300 | 1.2 | Cd | 3.7 | 0.056 | 5 | 66 |
| F− | 2.2 | 1.4 | 0.75 | 1.6 | Se | 1.7 | 0.05 | 2 | 33 |
| NO3− | 12 | 5.6 | 40 | 4.6 | Ba | 56 | 28 | 740 | 2.0 |
| Ca2+ | 85 | 16 | 180 | 5.4 | Sr | 310 | 78 | 400 | 4.0 |
| Mg2+ | 17 | 3.7 | 40 | 4.6 | Cr | 0.88 | 0.05 | 20 | 18 |
| Na+ | 18 | 6.1 | 2.9 | Co | 0.38 | 0.37 | 10 | 1.0 | |
| K+ | 3.0 | 2.0 | 50 | 1.5 | Ni | 1.5 | 0.68 | 10 | 2.2 |
| SiO2 | 2.8 | 8.5 | 10 | 0.32 | P | 66 | 120 | 60 | 0.55 |
| Fe | 0.36 | 0.26 | 0.05 | 1.4 | Ti | 5.3 | 2.1 | 60 | 2.5 |
| As | 0.22 | 0.0057 | 0.01 | 39 | Rb | 2.3 | 0.92 | 100 | 2.5 |
| Sb | 0.90 | 0.0026 | 0.005 | 350 | Mo | 1.8 | 0.45 | 1 | 4.0 |
Publisher’s Note: MDPI stays neutral with regard to jurisdictional claims in published maps and institutional affiliations. |
© 2022 by the authors. Licensee MDPI, Basel, Switzerland. This article is an open access article distributed under the terms and conditions of the Creative Commons Attribution (CC BY) license (https://creativecommons.org/licenses/by/4.0/).
Share and Cite
Yadrenkina, E.N.; Bortnikova, S.B.; Yurkevich, N.V.; Korneeva, T.V.; Shevko, A.Y.; Olenchenko, V.V.; Khvachevskaya, A.A. Transfer and Distribution of Metals and Metalloids in Carassius auratus Organs from Tailings Pond and Their Influence on Morphological Characteristics. Appl. Sci. 2022, 12, 12446. https://doi.org/10.3390/app122312446
Yadrenkina EN, Bortnikova SB, Yurkevich NV, Korneeva TV, Shevko AY, Olenchenko VV, Khvachevskaya AA. Transfer and Distribution of Metals and Metalloids in Carassius auratus Organs from Tailings Pond and Their Influence on Morphological Characteristics. Applied Sciences. 2022; 12(23):12446. https://doi.org/10.3390/app122312446
Chicago/Turabian StyleYadrenkina, Elena N., Svetlana B. Bortnikova, Nataliya V. Yurkevich, Tatyana V. Korneeva, Artem Y. Shevko, Vladimir V. Olenchenko, and Albina A. Khvachevskaya. 2022. "Transfer and Distribution of Metals and Metalloids in Carassius auratus Organs from Tailings Pond and Their Influence on Morphological Characteristics" Applied Sciences 12, no. 23: 12446. https://doi.org/10.3390/app122312446
APA StyleYadrenkina, E. N., Bortnikova, S. B., Yurkevich, N. V., Korneeva, T. V., Shevko, A. Y., Olenchenko, V. V., & Khvachevskaya, A. A. (2022). Transfer and Distribution of Metals and Metalloids in Carassius auratus Organs from Tailings Pond and Their Influence on Morphological Characteristics. Applied Sciences, 12(23), 12446. https://doi.org/10.3390/app122312446

