Abstract
A natural antioxidant extract obtained from oil mill wastewater was used for the formulation of basil pesto sauce, with the aim to improve quality and stability during storage. The antioxidant extract was added to traditional ingredients (basil, cheese, oil, etc.) and after preparation, packaging, and thermal treatment it was submitted to storage (monitored for 90 days). Fresh samples were stored at 4 °C and pasteurized samples were stored at room temperature. The effect of natural antioxidant addition on basil pesto sauce was evaluated for the main qualitative attributes, such as: physicochemical, microbiological, and antioxidant parameters. The principal results showed that the addition of a natural phenolic extract led to an evident reduction in pH, attaining food safety values under pH 4. The high oxidative stability observed in the basil pesto sauces fortified with the phenolic extract suggests that the incorporation of phenolic compounds delays the propagation phase of lipid oxidation.
1. Introduction
“Basil pesto sauce” is a traditional Italian sauce made from fresh basil leaves, cheese, pine nuts, garlic, and extra virgin olive oil commonly used as a dressing for pasta and ranks second place after tomato sauce [1,2]. The main ingredient is basil (Ocimum basilicum L.), which is an herbaceous plant belonging to the Lamiaceae family. Basil is traditionally cultivated worldwide and used for several purposes, mainly food and herbal. Basil leaves contain phenolic compounds, flavonoids, saponins, tannins, and alkaloids [3] and are characterized for the flavoring principles contained therein. Basil includes different varieties with distinct physicochemical and morphological characteristics and with different colors: green varieties (green leaves and white flowers) and colored varieties (red-purple leaves and flowers). Particularly, green basil is widely used as a kitchen herb and for the extraction of aromatic essential oils, characterized by a high content of monoterpene and phenylpropanoid compounds [4].
Traditional pesto is a very popular Italian sauce used as a condiment for spaghetti pasta. It originates from Liguria (North Italian region) and is appreciated by consumers because of its characteristic color, taste, and texture. The color of pesto is mainly determined by the chlorophyll and carotenoid pigments that are responsible for the green color of pesto (with hues from green to dark brownish green), though oil, cheese, pine nuts, garlic, and other minor compounds may play a minor role in the overall sauce appearance.
Considering the physicochemical characteristics, pesto possesses a limited shelf life: industrial pesto sauce should be then treated immediately after production to extend the storage period, principally by pasteurization or sterilization [5]. Moreover, the mild preservation technology of modified atmosphere packaging combined with refrigeration was tested to reduce the high impact of the heating process on the organoleptic properties with the purpose to extend the pesto shelf life [6]. A great variety of pesto sauces exist in the market, with various recipes and applied stabilization (acidification, pasteurization, water activity reduction [7]), while the consumption of no-heated pesto is reserved for homemade recipes [8]. This type of sauce is not very stable and is sensitive to modification related to environmental conditions and food processing. Some components, such as pigments, could cause enzymatic browning reactions, which widely occur in vegetable products, affecting the sensory and quality attributes of the derived food. A viable strategy to slow down the browning process of finished products [9] and to improve food stability during storage could be the use of natural antioxidant extracts, particularly antioxidants recovered from food waste.
In recent years, the recovery of natural antioxidants derived from waste and by-products of food industries has been widely studied. Eco-friendly and safety technologies have been developed to obtain high-added-value products to ensure the sustainable development of the food industry [10]. Nowadays, modern consumers are increasingly interested in healthy products that provide beneficial effects to human health as well as in consuming less synthetic preservatives [11,12]. The aim of the food industry is to develop new foods characterized by a dual perspective: supply foods with high nutritional value and replace synthetic preservatives with natural antioxidants to improve the health properties and shelf life of products. As is well known, olive oil production involves the generation of a large amount of olive oil mill wastewater (OMWW) that exhibits a very high polluting power due to thee high content of chemical oxygen demand (COD) up to 220 g/L and the important biochemical oxygen demand (BOD) up to 100 g/L [13]. The high toxicity of OMWW is mainly linked to the high concentrations of total phenolic compounds (from 5 to 25 g/L) that, during the oil extraction process, are deposited in wastewater [14]. Many phenolic compounds can be persistent and bioaccumulative, consequently posing significant danger to environmental systems. However, considering the high content of hydroxytyrosol, tyrosol, and phenolic acids in OMWW, it could be considered a potential source for antioxidants with several bioactivities and healthy properties [15]. The recovery of phenolic compounds can be considered a useful process to obtain natural antioxidants to be used in the preservation of food products and to extend product shelf life while maintaining organoleptic properties [16]. The literature data reported [17,18] as the addition of the OMWW phenolic extract at different concentrations delayed the growth of mesophilic aerobic bacteria, allowing the extension of shelf life compared with the control. In our previous works, we used the natural antioxidants extracted from OMWW for the formulation of different food products, such as: a beverage with an enriched hydrophilic model system [19], an enriched oil [20], and an enriched mayonnaise [21].
The purpose of this work was to use a natural antioxidant extract obtained from olive mill wastewater to be used as ingredients/preservatives in basil pesto sauce formulation, with the aim to improve the quality and extend the shelf life of pesto products. The characterization of the new formulation of basil pesto sauce was performed both in fresh and pasteurized pesto sauce during the storage period (90 days), and all qualitative parameters were analyzed: microbiological, physicochemical, and sensorial.
2. Materials and Methods
2.1. Material
Olive mill wastewater (OMWW) derived from Ottobratica cv olives was supplied during the crop season of 2021 from an olive oil mill located in the province of Reggio Calabria (Olearia San Giorgio F.lli Fazari, San Giorgio Morgeto (RC), (Italy) that used a three-phase centrifugation system. Fresh basil leaves (Ocimum basilicum L.) were cultivated in an experimental field located in Reggio Calabria. Grana Padano DOP and Pecorino Romano DOP cheeses, sunflower oil, cashew nuts, garlic, citric acid, and sodium chloride were purchased at the local market.
2.2. Production of OMWW Antioxidant Extract
OMWW antioxidant extract (AE) was obtained according to the method described in our previous work [19] and appropriately modified. An amount of 500 mL of OMWW was acidified with HCl (pH 2). Afterward, hexane (1:1, v:v) was used to push away the oil fraction, and then the phenolic fraction was extracted with ethyl acetate (1:4 v:v) and evaporated under vacuum using a rotary vacuum evaporator (Heidolph VV2000, Walpersdorfer Str. 12 D-91126, Schwabach, Germany). The residue was recovered with a filter.
2.3. Production of Basil Pesto Sauce
Production of a basil pesto sauce (similar to Ligurian pesto) was performed in the laboratory of Food Technologies of the Mediterranean University of Reggio Calabria (Italy). The experimental project completed the preparation of several pesto formulations using, as variables, the addition of 3% of natural antioxidant extract (AE) to the recipe and different stabilization treatments. A sample without AE was also produced as the control. The main ingredients and the specific production phases are reported in Figure 1.
Figure 1.
Basil pesto recipe.
Fresh basil leaves (FBL) were firstly washed and sanitized with chlorinated water, then well dried for pesto production. The different basil pesto sauces were prepared with the support of a mixer (Bimby TM31, Vorwerk, Wuppertal, Germany) in a four-phase process: (1) basil leaf blending (4.400 g min−1, 10 s); (2) cheese, cashew nuts, and garlic addition and mixing (10.200 g min−1, 10 s); (3) sunflower oil and AE addition (only in samples named with “+” (4.400 g min−1, 10 s); and (4) sodium chloride addition (1.100 g min−1, 10 s). Finally, citric acid was added to acidify (pH 4.4) the only samples without AE. After production, basil pesto samples were packaged in glass jars (with a capacity of 40 mL, filled with about 30 g of BP), hermetically closed with a metallic closure, and differentiated for different stabilization treatments. Some of them were stored at 4 °C (F and F+, respectively control and AE-added fresh pesto sauce), and the other samples were pasteurized in a COMBISTAR ANGELO PO FX (Carpi, Modena, Italy) oven, equipped with a pasteurization program set at 68 °C to the core of the samples for about 7 min and rapidly cooled in an ice bath. The thermal treatment was monitored by a data logger. The pasteurized pesto samples (P and P+) were stored at room temperature.
2.4. Physicochemical and Microbiological Analysis
Basil pesto samples were submitted to pH determination (Crison Basic 20 pHmeter, Barcelona Spain), water activity (aw) measurement (Aqua lab 3 TE apparatus, Decagon devices, Inc., Washington, WA, USA) and moisture % quantification with a Moisture Analyzer MA37 thermal balance (Sartorius, Goettingen, Germany). The color parameters were evaluated through a colorimeter (Minolta CR 300, Osaka, Japan) using D65 illuminant to obtain the CIEL* a *b * coordinates. Total color differences (ΔE) throughout storage were compared with the initial values and calculated as:
ΔE = (ΔL2 + Δa2 + Δb2)1/2
For the determination of microbiological parameters, the method reported by Mitić-Ćulafić et al. [22] was followed with some modifications. An amount of 10 g of each sample was homogenized with 10 mL of Ringer solution and after a series of dilutions, were placed into the Petri plates in specific agar for total bacterial count (Plant Count Agar, Oxoid, at 25 ± 2 °C for 48 h), and for yeasts and molds count the samples were placed into the DRBC (Dichloran Rose Bengal Chloramphenicol) agar base plates (at 28 ± 2 °C for 48 h).
2.5. Determination of Pigment Components
The determination of main pigments in fresh basil leaves (FBL) and basil pesto (BP) were carried out following the methods reported by Wongsen et al. [23]. A 1 g amount of the sample was homogenized in 5 mL of acetone:hexane (2:3, v/v) mixture. The absorbance of the extracts was determined spectrophotometrically at 663 nm, 645 nm, 505 nm, and 453 nm. The concentrations (mg 100 mL−1) of the pigments were calculated using the following formulas:
Chlorophyll a (CHLA) = 0.999 × Abs.663 − 0.0989 × Abs.645
Chlorophyll b (CHLB) = −0.328 × Abs.663 + 1.77 × Abs.645
β-Carotene (β-Car) = 0.216 × Abs.663 − 1.22 × Abs.645 − 0.304 × Abs.505 + 0.452 × Abs.453
2.6. Antioxidant Capacity Determination
The extraction of antioxidant compounds was obtained by mixing 1.5 g of sample (FBL and BP) with methanol (80%) and was left to stir overnight. After, the solution was centrifuged (10,000× g, 4 min, 4 °C) with a centrifuge apparatus (NF-1200R, Nüve, Ankara, Turkey) and the hydroalcoholic extract was recovered, filtered (NY, 0.45 µm, diameter 15 mm, Thermo Fischer Scientific, Waltham, Massachusetts USA), and submitted to quantification of phenolic compounds and antioxidant activity determination.
Total phenolic content (TPC) was determined following the method reported by Dewanto et al. [24] and slightly modified. An amount of 5 µL of the sample was combined with deionized water (120 µL) and Folin–Ciocalteu reagent (125 µL). Then, 1250 µL of Na2CO3 (7%) solution was then added after 6 min. Thereafter, the mixture was left to react for 90 min in the dark at room temperature. Sample absorbance was measured at 760 nm using a double-beam ultraviolet–visible spectrophotometer (8453 UV–vis, Agilent, Waldbronn, Germany). The results were expressed as mg of gallic acid equivalent g−1 of the sample (mg GAE g−1).
DPPH and ABTS assays were applied for the determination of total antioxidant capacity, following the methodologies reported by De Bruno et al. [16]. The radical scavenging activity was expressed as µmol Trolox equivalent g−1 of the sample (µmol TE g−1).
2.7. UPLC Determination of Individual Phenolic Compounds (IPC)
Quantitative and qualitative analysis of the individual phenolic compounds of basil and pesto samples were carried out through a UHPLC, following the method reported by Romeo et al. [20] and appropriately modified. A 2 µL amount of antioxidant extract (AE) was analyzed using a UPLC PLATINblue (Knauer, Berlin, Germany) equipped with a binary pump system and coupled with a PDA–1 (Photo Diode Array Detector) PLATINblue (Knauer, Berlin, Germany). The column, Knauer blue orchid column C18 (1.8 µm, 100 × 2 mm), was maintained at 30 °C and the samples were injected with a flow rate of 0.4 mL min−1. Elution of components was carried out using acidified water (pH 3.10) (A) and acetonitrile (B) and the applied gradient was the following: 95% A (0–3 min); 95–60% A (3–15 min); and 60–0% A (15–15.5 min). Quantification was performed by external standards (1–100 mg L−1) and results were expressed as mg kg−1 of the sample. The UPLC-PDA method was validated for the limit of quantification (LOQ = SD x 3.3) and limit of detection (LOD = SD x10), defined as the lowest concentration in the standard solution with the percentage of the relative standard deviation (% RSD) ≤ 10%. The determination of individual phenolic compounds was also performed for fresh (FC) and pasteurized (PC) commercial pesto, which was used as a comparison.
2.8. Accelerated Oxidative Stability Test
An oxidation test reactor (OXITEST, VELP Scientifica, Usmate Velate, MB, Italy) was used with the aim to determine the opposition to fat oxidation and the De Bruno et al. [21] method was followed. An aliquot of 5 g of pesto sample was used for the analysis. The OXITEST allows measuring the modification of absolute pressure inside the two chambers and, through the OXISoftTM software (Version 10002948 Usmate Velate, MB, Italy), automatically generates the IP (induction period) expressed as hours by the graphical method.
2.9. Sensory Analysis
The sensory analysis was carried out by a group of 20 judges (males and females) from 20 to 60 years old, recruited among researchers and technicians of the Food Science and Technology Unit of Reggio Calabria University, with previous experience in the sensory analysis. A total of 11 descriptors were selected to evaluate the acceptability of products: color, odor, basil flavor, garlic flavor, cheese flavor, pine nut flavor, rancidity, acidity, bitterness, saltiness, and texture. The descriptors were tested using a ten-point scale ranging from 1 (very slight intensity) to 10 (strong intensity). Sensory data were elaborated by calculating the median of results.
2.10. Statistical Analysis
The results obtained in this experiment were elaborated as mean ± SD of three measurements (n = 3). Samples showed significant differences through the one-way analysis of variance (ANOVA) and multivariate with Tukey’s post hoc test (p < 0.05), performed by SPSS software (Version 20.0, SPSS Inc., Chicago, IL, USA). Moreover, Pearson’s correlation was used to compare some variables.
3. Results and Discussion
3.1. Antioxidant Characterization of OMWW Phenolic Extract (PE) and Basil Leaves
The antioxidant characterization of OMWW antioxidant extract (AE) is reported in Table 1. Considering the effect of the oleuropein hydrolysis derivatives on the chemical and microbiological stability of enriched food widely reported in the literature [25,26], the chromatographic analysis focused on the determination of hydroxytyrosol and tyrosol. Analysis revealed an hydroxytyrosol content of 1.03 ± 0.09 mg g−1 and tyrosol content of 0.57 ± 0.04 mg g−1. From the quantitative analysis, AE showed a high content of total phenolic compounds (TPC), about 60.22 mg g−1, which was higher than those reported by Conte et al. [27] and Centrone et al. [28]; however, it was lower than those obtained by De Bruno et al. [21]. Naturally, the different concentrations of phenolic compounds in vegetal matrices, particularly in olives and derivatives, can be due to several aspects, such as the cultivar, pedoclimatic conditions, olive varieties, degree of maturity and processing, and extraction system [29]. The antioxidant capacity determined through the ABTS assay showed higher values compared with the DPPH assay.
Table 1.
Antioxidant characterization of AE.
Basil leaves (FBL) composition may vary depending on the cultivar, growing method, climatic conditions, etc., and for this reason, were subjected to physicochemical analysis to highlight the variations in composition. The results are reported in Table 2. FBL showed a higher level of chlorophyll b (CHLB: 4.67 mg 100 g−1) compared with chlorophyll a (CHLA: 2.68 mg 100 g−1), while B-carotene was found only in traces.
Table 2.
Physicochemical and antioxidant characterization of basil leaves.
The antioxidant capacity of FBL was determined by two different methods: ABTS radical cation decolorization assay and DPPH free radical scavenging activity. The first method (ABTS) allowed us to determine the highest results of total antioxidant activity (79.08 µmol TE g−1). Regarding the TPC, the basil leaves showed a content of about 34.09 mg GAE 100 g−1; this value is similar to that reported by Do et al. [30].
The analysis of individual phenolic compounds evidenced the following compounds as principal ones: p-cumaric acid (551 mg kg−1), chlorogenic acid (254 mg kg−1), rosmarinic acid (195 mg kg−1), and quercetin (138 mg kg−1); while less representative compounds (below 50 mg kg−1) were: rutin, caffeic acid, and protocatechuic acid (Figure 2). Previous studies [31,32] point out that basil leaves phenolic compounds—for example, rosmarinic acid—could be excellent allies in extending shelf life and reducing oxidation of pesto during storage for their significant radical scavenging and antibacterial properties.
Figure 2.
Individual phenolic content of fresh basil (mg kg−1).
3.2. Characterization of Basil Pesto Samples
3.2.1. Physicochemical and Microbiological Aspects
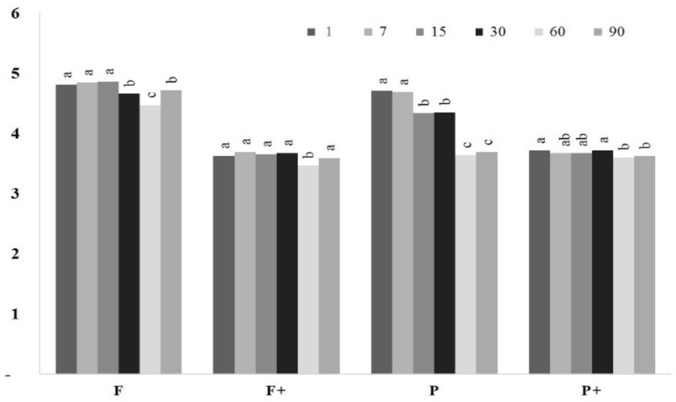
The values of pH and moisture content of fresh and pasteurized “basil pesto” samples were measured on the production day (1st day) and during the storage period (7, 15, 30, 60, and 90 days) and the results are shown in Figure 3 and Figure 4. The obtained values of the 1st day of monitoring showed that the pH (Figure 3) was in the range of 4.81–3.63, where the highest results were detected in F and P samples, which were the ones without the AE. Moreover, statistical differences were observed at different storage times than the corresponding enriched samples (p < 0.05). A general decreasing trend of pH was observed at the beginning of the storage to the successive period, particularly in P samples: this was also observed by Zardetto and Barbanti [1], with higher results than those noted by other authors. This difference is probably due to the different chemical characteristics of the raw materials linked to the seasonal and varietal variables.
Figure 3.
pH values of fresh and pasteurized samples during the storage period (from 1 to 90 days). Letters show differences by Tukey’s multiple range test.
Figure 4.
Moisture content (mc%) of fresh and pasteurized samples during the storage period. Letters show differences by Tukey’s multiple range test (lowercase among the same sample during the storage period and uppercase among the different samples).
The addition of AE led to natural acidification that was observed in F+ and P+ samples (range of 3.72 and 3.62); therefore, AE can be used as a pH corrector in place of citric acid and/or ascorbic acid. Moisture was significantly (p < 0.01) different in the samples (Figure 4), with the highest content in the F+ sample and a general decrease during the storage time except in P samples which were similar for that qualitative parameter (p > 0.05). The samples showed water activity values from 0.954 at the beginning to 0.970 at the end of storage period with no great differences (data not shown).
The color of pesto is an important qualitative parameter for consumer acceptability, especially from a point of view of a first and immediate evaluation. The a * chromatism (representing the greenness color intensity) was used as an index to define the color changes of basil pesto samples because it is the most important parameter used for green vegetable products. Color analysis results are reported in Table 3: the statistical analysis showed significant differences among the samples and among the storage times. The highest intensity of the green color (a *) was in fresh pesto “F” (−5.45 ± 0.32), whereas the addition of AE slowly reduced this color to −3.96 ± 0.31 in F+ immediately after production. Moreover, the thermal stabilization involved a reduction in this parameter (P: −1.65 ± 0.60 and P: +1.56 ± 0.26), which also significantly decreased during the storage period (p < 0.01), particularly in the pasteurized samples. The main attributes responsible for the green color of pesto are chlorophyll pigments and its degradation products. Low pH and high temperatures play a key role in the transformation of chlorophylls into the respective brownish products of pheophytins, pheophorbids, and pyropheophitins [33]. For the overall color change (ΔE) evaluation, considering the fresh and pasteurized samples for the previously mentioned initial different results separately, the enriched samples (F+ and P+) showed the lowest color variation with respect to F and P, denoting a better visual quality.
Table 3.
Color parameters of pesto samples during storage time.
Among other qualitative parameters, the overall acceptability and sensorial aspects of the product were assessed, and the results are reported in Figure 5 and Figure 6. The attributes evaluated by the panel were: color (intense green and oxidate green), odor (basil, garlic, cheese, cashews, rancidity, and acidity) and texture. The main aspects highlighted during the storage of basil pesto samples are the color variation (an increase in browning) and the flavor variation (generation of off flavors). The panelists defined the fresh and enriched samples (F and F+) as more acceptable for color and flavor where the basil flavor and intense green were the prevalent factors. However, the thermal-treated samples (P and P+) showed a decrease in the same parameters. The differences between fresh and pasteurized samples are evident. Color changes were due mainly to oxidative processes: phenolic compound oxidation, chlorophyll degradation, non-enzymatic browning, etc. During the storage time, a decrease in the intense green color and an increase in the oxidate green color were highlighted (Figure 6). These results can be correlated with the colorimetric analysis reported in Table 3, where a* chromatism varied during storage, resulting in browning of the same samples, in particular P and P+.
Figure 5.
Sensorial evaluation of basil pesto at 1st time of storage.
Figure 6.
Sensorial evaluation of basil pesto samples during the storage period.
The microbiological stability of basil pesto sauce can be affected by different variables such as pH, aw, moisture content, and eventually, the applied thermal treatments. For this reason, it is necessary to prevent the germination of spores by creating a suitable substrate that inhibits spore growth, with a low pH. Acidity regulators are typically added to commercial sauces, however, the addition of these often affects the organoleptic properties of the treated foods. As previously described by Yakhlef et al. [34], the ethyl acetate extraction of OMWW makes it possible to obtain a phenolic extract characterized by a polymeric fraction which exhibits a marked antimicrobial property. In order to inhibit the growth of microorganisms and endogenous enzymes in vegetable-based products, pasteurization heat treatment is industrially used with the aim to stabilize the products [35]. During storage, the enumeration of aerobic mesophilic microorganisms was below the detection limit (<105 CFU.g−1) for pasteurized samples. The combination of thermal treatment and phenolic enrichment enabled inhibition of the growth of yeast and molds unlike the untreated samples. According to Mikdame et al. [36], the application of heat treatment (pasteurization) and the presence of polyphenols in olive oil byproducts improve fungistatic and bacteriostatic properties. No aerobic mesophilic microorganism count was verified for fresh pesto samples with phenolic extract, but values ranging between 0.30 and 2.60 log10 CFU g−1 for molds were observed during storage. Based on these outcomes, the microbiological stability of the samples could be considered satisfactory.
3.2.2. Antioxidant Parameters
For the FBL, and also for the Basil pesto samples, the pigments (CHLA and CHLB and B-carotene) were evaluated and the results are shown in Table 4.
Table 4.
Pigment and antioxidant parameter determination on pesto samples during storage.
Compared with the FBL (Table 2), the pesto sauce suffered a reduction in chlorophyll a contents, with values under 2 mg 100 g−1, but the most obvious reduction concerns the content of CHLB (under 0.8 mg 100 g−1). The largest decrement in these compounds was evident in the samples subjected to pasteurization treatment. Previously, Klug et al. [37] reported that thermal treatment promotes the reduction in total chlorophyll content with a pronounced drop in chlorophyll a. Moreover, during the storage time, there was significant variation of these compounds, excluding sample F (p > 0.05). These results are in accordance with the previously mentioned colorimetric analysis. The process of pesto preparation and the applied thermal treatment increased the β-carotene availability which, in particular, was measured to be higher in P and P+. Regarding the storage variable, the storage time promoted an opposite trend in fresh and pasteurized pesto sauces: incremental in the first ones and slightly decreasing in the second ones.
The enrichment process applied to the pesto sauce samples resulted in an improvement in their antioxidant capacity, corresponding with an increment in bioactive compounds in the samples. Total phenolic content (TPC) showed values similar to those reported by Park et al. [38]. Specifically, 1.66 mg of gallic acid g−1 and 1.79 mg of gallic acid g−1 were detected, respectively, for F+ and P+ samples on the 1st day, in contrast with a content of 1.00 mg g−1 and 1.39 mg g−1 detected in F and P samples (Table 4). However, after 90 days of storage, a significant increase in TPC was observed for all samples. Such an increase may be related to the effect of pH on the retention of polyphenols. Considering that the pH values of the samples ranged from 4.8 to 3.62, it is probable that the acid condition promotes the stabilization of polyphenols. Interestingly, Tseng and Zhao [39] demonstrated that samples of fortified food tended to have less TPC reduction under acidic conditions.
This would also account for the trend observed in bioactive compounds quantified by UPLC. Coefficient of correlation (r), regression equations, and limits of detection (LOD) and quantification (LOQ) for each antioxidant compound are reported in Table 5.
Table 5.
Method development through UPLC-PDA.
As reported in Table 6, enrichment enables attainment of samples fortified with a wide array of bioactive compounds not found in commercial pesto sauces. A total of 10.55 mg kg−1 and 10.40 mg kg−1 of hydrotyrosol and tyrosol, respectively, were detected in the F+ and P+ samples and a significant increase in compounds inherently occurred in the basil leaves (quercetin, caffeic acid, p-coumaric acid, rutin, and rosmarinic acid). As discussed for TPC, the trend evaluation of individual phenolic compounds also showed a significant increase in certain compounds (caffeic acid and p-coumaric acid) during storage. The results suggest that the stability of the phenolic compounds could be strongly linked to the concurrent effect of pH and the structure of the phenolic compounds. Friedman and Jürgens [40] observed changes in the absorption spectra to the structures of the different compounds and found the stability of phenolic compounds under different pH conditions, depending on the presence of phenolic OH groups, conjugated to the benzene ring. Considering the phenolic profile induced by the pasteurization process, it can be determined that the thermal treatment does not significantly affect the amount of individual chemicals compared with fresh samples. Particularly, increases in tyrosol, oleuropein, and rosmarinic acid were detected after pasteurization. As reported in the literature [41], the thermal treatment could promote the cleavage of chemical bonds, allowing a more effective release of chemicals to the medium.
Table 6.
Individual phenolic content of pesto samples during storage period (mg kg−1).
In the present study, the antioxidant activity was evaluated by two different assays (DPPH and ABTS) for both control and fortified pesto sauces (Table 4). The AE extract seemed to be more effective in enhancing the antioxidant activity against the ABTS radical cation of the fresh enriched sample with an increase of about 32.22%. In contrast, an increase of 6.82% was detected for the enriched pasteurized sample. However, the stability of antioxidant assays showed the same performance for all samples during storage. No significant variations were observed regardless of addition and different treatments. The reason may be referred to as the synergic effect between the phenolic compounds that occurred in extracts and basil leaves that have a pronounced influence on the antioxidant activity of samples [42].
3.2.3. Oxidative Stability
Fresh green pesto is an oil-in-water emulsion (small lipid droplets dispersed in an aqueous phase) characterized by a lipid content of about 48 g 100 g−1 of product. Generally, the oxidation process has a negative impact on products with high-fat levels. The oxidative stability of this product takes place in the interface of the oil–water phases due to the interaction between lipid and water-soluble pro-oxidant agents [43]. Moreover, some metals typically occurring in basil leaves could speed up phenolic degradation by oxidative reactions [1]. To evaluate the resistance of fat degradation, the samples were subjected to a high oxidative stress environment using the OXITEST reactor. As reported in Table 7, the fresh pesto sauce samples “F and F+” (without and with PE) showed the highest values of induction period (IP), corresponding to about 12 h. The sample enriched and subjected to thermal treatment (P+) revealed an IP slightly lower (11:85 h). The lowest result was determined in the P sample with an IP of 10:4 h. Considering the end of the evaluated storage period (90 days), F was the pesto sample that showed the greatest susceptibility to oxidative deterioration (IP of 8:15 h).
Table 7.
Effect of storage time on oxidative stability of pesto sauces.
The high oxidative stability observed in the pesto sauces fortified with the AE suggests that the incorporation of phenolic compounds delays the propagation phase of lipid oxidation. These results are comparable with Mikdame et al. [36], who observed how the chemical structure of the phenolic compounds in the olive oil byproducts enables them to interact with the active O2, reducing the primary and secondary compounds generated during oxidation and significantly increasing the oxidative stability of the lipid matrix. The resistance of oxidation did not show a significant variation over time regardless of the sample’s treatment.
4. Conclusions
The application of natural antioxidant compounds recovered from food waste could represent a valid alternative for food technologies. As proven in this work, the addition of these antioxidants in a food system, such as pesto sauce, is important to improving the functional aspects, preserving quality, and extending the shelf life of pesto sauce. In accordance with TPC and individual phenolic compounds, it can be asserted that the combination of thermal treatment and phenolic enrichment is effective in retarding lipid oxidation thus improving chemical stability and sensorial and microbiological quality.
Author Contributions
Conceptualization, A.D.B. and S.S.; methodology, A.D.B., R.R., and A.G.; software, A.D.B. and R.R.; validation, A.P. and S.S.; formal analysis, A.D.B., A.G., R.R., and S.S.; investigation, A.D.B., A.G., R.R., and S.S.; data curation, A.D.B. and R.R.; writing—original draft preparation, A.D.B. and R.R.; writing—review and editing, A.P.; visualization, A.G.; and supervision, A.P. All authors have read and agreed to the published version of the manuscript.
Funding
This research received no external funding.
Institutional Review Board Statement
Not applicable.
Informed Consent Statement
Not applicable.
Data Availability Statement
Not applicable.
Acknowledgments
The authors are grateful to the following farm company: “Olearia San Giorgio” (F.lli Fazari) for providing the olive mill wastewater used during the experimental tests.
Conflicts of Interest
The authors declare no conflict of interest.
References
- Zardetto, S.; Barbanti, D. Shelf life assessment of fresh green pesto using an accelerated test approach. Food Packag. Shelf Life 2020, 25, 100524. [Google Scholar] [CrossRef]
- Nicosia, C.; Fava, P.; Pulvirenti, A.; Antonelli, A.; Licciardello, F. Domestic Use Simulation and Secondary Shelf Life Assessment of Industrial Pesto alla genovese. Foods 2021, 10, 1948. [Google Scholar] [CrossRef] [PubMed]
- Sukardi, M.; Pulungan, H.; Purwaningsih, I.; Sita, P.F. Extraction of Phenolic Compounds from Basil (Ocimum americanum L.) Leaves with Pretreatment Using Pulsed Electric Field (PEF). In Proceedings of the International Conference on Green Agro-industry and Bioeconomy, Malang, East Java, Indonesia, 26–27 August 2019; Volume 475. [Google Scholar]
- Prinsi, B.; Morgutti, S.; Negrini, N.; Faoro, F.; Espen, L. Insight into Composition of Bioactive Phenolic Compounds in Leaves and Flowers of Green and Purple Basil. Plants 2020, 9, 22. [Google Scholar] [CrossRef] [PubMed]
- Vicini, E.; Previdi, P. Aspetti microbiologici del pesto ligure. Ind. Conserve 1992, 67, 426–429. [Google Scholar]
- Fabiano, B.; Perego, P.; Pastorino, R.; Del Borghi, M. The extension of the shelf-life of ‘pesto’ sauce by a combination of modified atmosphere packaging and refrigeration. Int. J. Food Sci. 2020, 35, 293–303. [Google Scholar] [CrossRef]
- Franceschini, B.; Guerra, G.L.; Previdi, M.P. Influence of chemical-physical parameters on the stability of heat treated Pesto alla Genovese. Ind. Conserve 2011, 86, 143–147. [Google Scholar]
- Zunin, P.; Salvade, P.; Boggia, R.; Lanteri, S. Study of different kinds of ‘‘Pesto Genovese” by the analysis of their volatile fraction and chemometric methods. Food Chem. 2009, 114, 306–309. [Google Scholar] [CrossRef]
- Turrini, F.; Farinini, E.; Leardi, R.; Grasso, F.; Orlandi, V.; Boggia, R. A Preliminary Color Study of Different Basil-Based Semi-Finished Products during Their Storage. Molecules 2022, 27, 2059. [Google Scholar] [CrossRef]
- Galanakis, C.M. Sustainable Applications for the Valorization of Cereal Processing By-Products. Foods 2022, 11, 241. [Google Scholar] [CrossRef]
- De Bruno, A.; Romeo, R.; Fedele, F.L.; Sicari, A.; Piscopo, A.; Poiana, M. Antioxidant activity shown by olive pomace extracts. J. Environ. Sci. Health B 2018, 53, 526–533. [Google Scholar] [CrossRef]
- Giuffrè, A.M.; Sicari, V.; Piscopo, A.; Louadj, L. Antioxidant activity of olive oil mill wastewater obtained from different thermal treatments. Grasas Aceites 2012, 63, 209–213. [Google Scholar] [CrossRef]
- Benamar, A.; Mahjoubi, F.Z.; Barka, N.; Kzaiber, F.; Boutoial, K.; Ali, G.A.; Oussama, A. Olive mill wastewater treatment using infiltration percolation in column followed by aerobic biological treatment. SN Appl. Sci. 2020, 2, 665. [Google Scholar] [CrossRef]
- Yangui, A.; Abderrabba, M. Towards a high yield recovery of polyphenols from olive mill wastewater on activated carbon coated with milk proteins: Experimental design and antioxidant activity. Food Chem. 2018, 262, 102–109. [Google Scholar] [CrossRef]
- Foti, P.; Romeo, F.V.; Russo, N.; Pino, A.; Vaccalluzzo, A.; Caggia, C.; Randazzo, C.L. Olive mill wastewater as renewable raw materials to generate high added-value ingredients for agro-food industries. Appl. Sci. 2021, 11, 7511. [Google Scholar] [CrossRef]
- Tapia-Quirós, P.; Montenegro-Landívar, M.F.; Reig, M.; Vecino, X.; Cortina, J.L.; Saurina, J.; Granados, M. Recovery of Polyphenols from Agri-Food By-Products: The Olive Oil and Winery Industries Cases. Foods 2022, 11, 362. [Google Scholar] [CrossRef]
- Fasolato, L.; Cardazzo, B.; Balzan, S.; Carraro, L.; Taticchi, A.; Montemurro, F.; Novelli, E. Minimum bactericidal concentration of phenols extracted from oil vegetation water on spoilers, starters and food-borne bacteria. Ital. J. Food Saf. 2015, 4, 4519. [Google Scholar] [CrossRef]
- Galanakis, C.M.; Tsatalas, P.; Charalambous, Z.; Galanakis, I.M. Control of microbial growth in bakery products fortified with polyphenols recovered from olive mill wastewater. Environ. Technol. Innov. 2018, 10, 1–15. [Google Scholar] [CrossRef]
- Romeo, R.; De Bruno, A.; Imeneo, V.; Piscopo, A.; Poiana, M. Evaluation of enrichment with antioxidants from olive oil mill wastes in hydrophilic model system. J. Food Process. Preserv. 2019, 43, e14211. [Google Scholar] [CrossRef]
- Romeo, R.; De Bruno, A.; Imeneo, V.; Piscopo, A.; Poiana, M. Impact of Stability of Enriched Oil with Phenolic Extract from Olive Mill Wastewaters. Foods 2020, 9, 856. [Google Scholar] [CrossRef]
- De Bruno, A.; Romeo, R.; Gattuso, A.; Piscopo, A.; Poiana, M. Functionalization of a Vegan Mayonnaise with High Value Ingredient Derived from the Agro-Industrial Sector. Foods 2021, 10, 2684. [Google Scholar] [CrossRef]
- Mitić-Ćulafić, D.S.; Pavlović, M.; Ostojić, S.; Knezević-Vukčević, J. Antimicrobial effect of natural food preservatives in fresh basil-based pesto spreads. J. Food Process. Preserv. 2014, 38, 1298–1306. [Google Scholar] [CrossRef]
- Wongsen, W.; Bodhipadma, K.; Noichinda, S.; Leung, D.W.M. Relationship between leaf position and antioxidant properties in three basil species. Int. Food Res. J. 2013, 20, 1113–1117. [Google Scholar]
- Dewanto, V.; Wu, X.Z.; Adom, K.K.; Liu, R.H. Thermal processing enhances the nutritional value of tomatoes by increasing total antioxidant activity. J. Agric. Food Chem. 2002, 50, 3010–3014. [Google Scholar] [CrossRef] [PubMed]
- D’Antuono, I.; Kontogianni, V.G.; Kotsiou, K.; Linsalata, V.; Logrieco, A.F.; Tasioula-Margari, M.; Cardinali, A. Polyphenolic characterization of olive mill wastewaters, coming from Italian and Greek olive cultivars, after membrane technology. Food Res. Int. 2014, 65, 301–310. [Google Scholar] [CrossRef]
- Obied, H.K.; Karuso, P.; Prenzler, P.D.; Robards, K. Novel secoiridoids with antioxidant activity from Australian olive mill waste. J. Agric. Food Chem. 2007, 55, 2848–2853. [Google Scholar] [CrossRef]
- Conte, P.; Pulina, S.; Del Caro, A.; Fadda, C.; Urgeghe, P.P.; De Bruno, A.; Difonzo, G.; Caponio, F.; Romeo, R.; Piga, A. Gluten-Free Breadsticks Fortified with Phenolic-Rich Extracts from Olive Leaves and Olive Mill Wastewater. Foods 2021, 10, 923. [Google Scholar] [CrossRef]
- Centrone, M.; D’Agostino, M.; Difonzo, G.; De Bruno, A.; Di Mise, A.; Ranieri, M.; Montemurro, C.; Valenti, G.; Poiana, M.; Caponio, F.; et al. Antioxidant Efficacy of Olive By-Product Extracts in Human Colon HCT8 Cells. Foods 2021, 10, 11. [Google Scholar] [CrossRef]
- Aggoun, M.; Arhab, R.; Cornu, A.; Portelli, J.; Barkat, M.; Graulet, B. Olive mill wastewater microconstituents composition according to olive variety and extraction process. Food Chem. 2016, 209, 72–80. [Google Scholar] [CrossRef]
- Do, T.H.; Truong, H.B.; Nguyen, H.C. Optimization of Extraction of Phenolic Compounds from Ocimum Basilicum Leaves and Evaluation of Their Antioxidant Activity. Pharm. Chem. J. 2020, 54, 162–169. [Google Scholar] [CrossRef]
- Ciriello, M.; Formisano, L.; E-Nakhel, C.; Kyriacou, M.C.; Soteriou, G.A.; Pizzolongo, F.; Romano, R.; De Pascale, S.; Rouphael, Y. Genotype and Successive Harvests Interaction Affects Phenolic Acids and Aroma Profile of Genovese Basil for Pesto Sauce Production. Foods 2021, 10, 278. [Google Scholar] [CrossRef]
- Nadeem, H.R.; Akhtar, S.; Sestili, P.; Ismail, T.; Neugart, S.; Qamar, M.; Esatbeyoglu, T. Toxicity, Antioxidant Activity, and Phytochemicals of Basil (Ocimum basilicum L.) Leaves Cultivated in Southern Punjab, Pakistan. Foods 2022, 11, 1239. [Google Scholar] [CrossRef]
- Masino, F.; Ulrici, A.; Antonelli, A. Extraction and quantification of main pigments in pesto sauces. Eur. Food Res. Technol. 2008, 226, 569–575. [Google Scholar] [CrossRef]
- Yakhlef, W.; Arhab, R.; Romero, C.; Brenes, M.; de Castro, A.; Medina, E. Phenolic composition and antimicrobial activity of Algerian olive products and by-products. LWT Food Sci. Technol. 2018, 93, 323–328. [Google Scholar] [CrossRef]
- Maoloni, A.; Cardinali, F.; Milanović, V.; Garofalo, C.; Osimani, A.; Mozzon, M.; Aquilanti, L. Microbiological safety and stability of novel green sauces made with sea fennel (Chritmum maritimum L.). Food Res. Int. 2022, 157, 111463. [Google Scholar] [CrossRef]
- Mikdame, H.; Kharmach, E.; Mtarfi, N.E.; Alaoui, K.; Abbou, M.B.; Rokni, Y.; Majbar, Z.; Taleb, M.; Rais, Z. By-Products of Olive Oil in the Service of the Deficiency of Food Antioxidants: The Case of Butter. J. Food Qual. 2020, 2020, 6382942. [Google Scholar] [CrossRef]
- Klug, T.V.; Collado, E.; Martínez-Sánchez, A.; Gomez, P.A.; Aguayo, E.; Otón, M.; Artés, F.; Artés-Hernandez, F. Innovative Quality Improvement by Continuous Microwave Processing of a Faba Beans Pesto Sauce. Food Bioproc. Tech. 2018, 11, 561–571. [Google Scholar] [CrossRef]
- Park, J.W.; Kim, K.B.; Choi, S.K. Quality characteristics of basil pesto added with various nuts during storage. Culin. Sci. Hosp. Res. 2018, 22, 29–43. [Google Scholar]
- Tseng, A.; Zhao, Y. Wine grape pomace as antioxidant dietary fibre for enhancing nutritional value and improving storability of yogurt and salad dressing. Food Chem. 2013, 138, 356–365. [Google Scholar] [CrossRef]
- Friedman, M.; Jürgens, H.S. Effect of pH on the stability of plant phenolic compounds. J. Agric. Food Chem. 2020, 48, 2101–2110. [Google Scholar] [CrossRef]
- Branco, I.G.; Moraes, I.C.F.; Argandoña, E.J.S.; Madrona, G.S.; dos Santos, C.; Ruiz, A.L.T.G.; de Carvalho, J.E.; Haminiuk, C.W.I. Influence of pasteurization on antioxidant and in vitro anti-proliferative effects of jambolan (Syzygium cumini (L.) Skeels) fruit pulp. Ind. Crops Prod. 2016, 89, 225–230. [Google Scholar] [CrossRef]
- Kwee, E.M.; Niemeyer, E.D. Variations in phenolic composition and antioxidant properties among 15 basil (Ocimum basilicum L.) cultivars. Food Chem. 2011, 128, 1044–1050. [Google Scholar] [CrossRef]
- Martillanes, S.; Rocha-Pimienta, J.; Gil, M.V.; Ayuso-Yuste, M.C.; Delgado-Adámez, J. Antioxidant and antimicrobial evaluation of rice bran (Oryza sativa L.) extracts in a mayonnaise-type emulsion. Food Chem. 2020, 308, 125633. [Google Scholar] [CrossRef] [PubMed]
Publisher’s Note: MDPI stays neutral with regard to jurisdictional claims in published maps and institutional affiliations. |
© 2022 by the authors. Licensee MDPI, Basel, Switzerland. This article is an open access article distributed under the terms and conditions of the Creative Commons Attribution (CC BY) license (https://creativecommons.org/licenses/by/4.0/).





