A Study on the Applicability of Bio-Sulfur as a Cement Admixture
Abstract
1. Introduction
2. Results
2.1. Physico-Chemical Properties of Bio-Sulfur
2.2. Evaluation Outcomes of the Specimen Characteristics
2.2.1. Compressive Strength
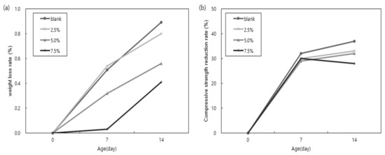
2.2.2. Sulfuric acid Resistance Evaluation
2.2.3. Hydration Product Analysis
3. Discussion
4. Materials and Methods
4.1. Physico-Chemical Characterization of Bio-Sulfur
4.2. Compressive Strength Evaluation
4.3. Evaluation of Sulfuric Acid Resistance
4.4. Assessment of the Effect of Bio-Sulfur on Cement Hydrate
Author Contributions
Funding
Institutional Review Board Statement
Informed Consent Statement
Data Availability Statement
Conflicts of Interest
References
- Ministry of Environment. National Waste Generation and Treatment Status; Ministry of Environment: Sejong City, Korea, 2020. [Google Scholar]
- Bove, R.; Lunghi, P. Electric power generation from landfill gas using traditional and innovative technologies. Energy Convers. Manag. 2006, 47, 1391–1401. [Google Scholar] [CrossRef]
- Lee, C.E.; Jung, I.S.; Park, J.; Oh, C.B. A study on the determination of burning velocities of LFG and LFG-mixed fuels. Fuel 2002, 81, 1679–1686. [Google Scholar] [CrossRef]
- Tchobanoglous, G.; Kreith, F. Handbook of Solid Waste Management, 2nd ed.; McGraw Hill Handbooks: New York, NY, USA, 2002; pp. 14.1–14.77. [Google Scholar]
- Fang, J.J.; Yang, N.; Cen, D.Y.; Shao, L.M.; He, P.J. Odor compounds from different sources of landfill: Characterization and source identification. Waste Manag. 2012, 32, 1401–1410. [Google Scholar] [CrossRef] [PubMed]
- Shaha, B.N.; Meeroff, D.E.; Kohn, K.; Townsend, T.G.; Schert, J.D.; Mayer, N.; Schultz, R.; Telson, J. Effect of electronic water treatment system on calcium carbonate scale formation in landfill leachate collection piping. J. Environ. Eng. 2019, 145, 04019052. [Google Scholar] [CrossRef]
- Shin, H.S.; Oh, S.E. Effect of Sulfate and Heavy Metals on Methanogenic Activation of in the Anaerobic Digestion of Tannery Wastes. J. Korea Org. Waste Recycl. Counc. 1996, 4, 13–21. [Google Scholar]
- Oh, H.S.; Kim, H.S.; Park, J.H.; Lee, Y.M. Study on In-situ Hydrogen Sulfide Reduction for Optimal Use of Landfill Gas (LFG). J. Korea Soc. Waste Manag. 2020, 37, 141–150. [Google Scholar] [CrossRef]
- Nurul, N.Z.; Mohd, S.M.; Jamaliah, J.; Edy, H.M. Overview of H2S Removal Technologies from Biogas Production. Int. J. Appl. Eng. Res. 2016, 11, 10060–10066. [Google Scholar]
- Khoshnevisan, B.; Tsapekos, P.; Alfaro, N.; Díaz, I.; Fdz-Polanco, M.; Rafiee, S.; Angelidaki, I. A review on prospects and challenges of biological H2S removal from biogas with focus on biotrickling filtration and microaerobic desulfurization. Biofuel Res. J. 2017, 4, 741–750. [Google Scholar] [CrossRef]
- Benschop, C. Shell-Paques® Bio-Desulfurization Process Directly and Selectively Removes H2S From High Pressure Natural Gas—Start-Up Report. 2007. Available online: https://www.semanticscholar.org/paper/SHELL-PAQUES%C2%AE-BIO-DESULFURIZATION-PROCESS-DIRECTLY-Benschop/d9f87c593dbbaf6ce0333d9e7ecfe505fa1d34f8 (accessed on 3 September 2022).
- Kim, Y.M.; Song, H.S.; Ahn, H.S.; Chun, S.K. Application of the Microbial Process for Hydrogen Sulfide Removal and Bio-Sulfur Production from Landfill Gas. New Renew. Energy 2020, 16, 68–76. [Google Scholar]
- Van Der Krieken, W.M.; Rutten, W.B.A.H. Novel Biosulfur Formulations. EP Patent No. 2629606A2, 26 April 2012. [Google Scholar]
- Available online: http://www.ycgmnews.com/news/articleView.html?idxno=21359 (accessed on 11 July 2021).
- Malek, B.; Iqbal, M.; Ibrahim, A. Use of selected waste materials in concrete mixes. Waste Manag. 2007, 27, 1870–1876. [Google Scholar]
- Watcharapong, W.; Pailyn, T.; Kedsarin, P.; Arnon, C. Compressive strength, flexural strength and thermal conductivity of autoclaved concrete block made using bottom ash as cement replacement materials. Mater. Des. 2012, 35, 434–439. [Google Scholar]
- Hossain, M.U.; Poon, C.S.; Lo, I.M.; Cheng, J.C. Comparative LCA on using waste materials in the cement industry: A Hong Kong case study. Resour. Conserv. Recycl. 2017, 120, 199–208. [Google Scholar] [CrossRef]
- Bae, S.G.; Gwon, S.W.; Kim, S.W.; Cha, S.W. Physical Properties of Sulfur Concrete with Modified Sulfur Binder. KSCE J. Civ. Environ. Eng. Res. 2014, 34, 763–771. [Google Scholar]
- Smith, M.A.; Osbrone, G.J. Slag/fly ash cement. J. World Cem. Technol 1977, 1, 223–233. [Google Scholar]
- Huang, Y.; Lin, Z. Effect of sodium hydroxide on the properties of phosphogypsum based cement. J. Wuhan Univ. Technol.-Mat. Sci. Ed. 2010, 25, 342–345. [Google Scholar] [CrossRef]
- Byun, S.H.; Kim, H.C.; Kim, J.Y.; Choi, H.K.; Song, J.T. Effect of Cement Particle Size on Properties of Ordinary Portland Cement. J. Korean Ceram. Soc. 2010, 47, 394–400. [Google Scholar] [CrossRef]
- Chun, C.Y.; Kim, G.T.; Hwang, G.H. Study on the Seasonal Survey of the Indoor Air Quality in New Apartment Houses. LHI J. 2013, 4, 417–424. [Google Scholar]
- Sobhnamayan, F.; Sahebia, S.; Alborzi, A.; Ghorbani, S.; Shojaeea, N.S. Effect of Different pH Values on the Compressive Strength of Calcium-Enriched Mixture Cement. Iran Endod J. 2015, 10, 26–29. [Google Scholar]
- Wenkui, D.; Wengui, L.; Kirk, V.; Xuzhen, H.; Zhihui, S.; Daichao, S. Piezoresistivity deterioration of smart graphene nanoplate/cement-based sensors subjected to sulphuric acid attack. Compos. Commun. 2021, 23, 100563. [Google Scholar]
- Hewayde, E.; Nehdi, M.L.; Allouche, E.; Nakhla, G. Using concrete admixtures for sulphuric acid resistance. Proc. Inst. Civ. Eng.—Constr. Mater. 2007, 160, 25–35. [Google Scholar] [CrossRef]
- Ramyar, K.; İnan, G. Sodium sulfate attack on plain and blended cements. Build. Environ. 2007, 42, 1368–1372. [Google Scholar] [CrossRef]
- Bae, S.H.; Park, J.I.; Lee, K.M. Influence of Mineral Admixtures on the Resistance to Sulfuric Acid and Sulfate Attack in Concrete. J. Korea Concr. Inst. 2010, 22, 219–228. [Google Scholar] [CrossRef]
- Wenk, H.R.; Monteiro, P.J.M.; Kunz, M.; Chen, K.; Tamura, N.; Lutterotti, L.; Del Arroz, J. Preferred orientation of ettringite in concrete fractures. J. Appl. Cryst. 2009, 42, 429–432. [Google Scholar] [CrossRef]







| Category | Range | Avg. | |
|---|---|---|---|
| Proximate (%) | Combustible | 69.2~70.2 | 69.8 |
| Water | 22.9~23.9 | 23.2 | |
| Ash | 6.9~7.1 | 7.0 | |
| Particle size (μm) | 0.04~146.8 | 11.27 | |
| pH | Raw | 8.90~8.92 | 8.91 |
| Supernatant | 8.87~8.92 | 8.9 | |
| Na+ | Raw | 2.5~2.7 | 2.6 |
| Supernatant | 4.7~4.9 | 4.8 | |
| Division | S | O | C | Na+ | Total |
|---|---|---|---|---|---|
| Content (w.t%) | 86.8 | 9.92 | 1.14 | 2.14 | 100 |
| (a) Compressive strength (Unit: w.t %) | ||||
|---|---|---|---|---|
| Division | Ordinary Portland Cement (OPC) | Bio-Sulfur (Dry Based) | ISO | Water |
| Plain | 100 | 0 | 300 | 50 |
| Binder | 97.5 | 2.5 | 300 | 48.75 |
| 95 | 5.0 | 300 | 47.5 | |
| 92.5 | 7.5 | 300 | 46.25 | |
| 90 | 10 | 300 | 45.0 | |
| Aggregate | 100 | 2.5 | 300 | 48.75 |
| 100 | 5.0 | 300 | 47.5 | |
| 100 | 7.5 | 300 | 46.25 | |
| 100 | 10 | 300 | 45.0 | |
| (b) Sulfuric acid resistance(Unit: w.t %) | ||||
| Division | Ordinary Portland Cement (OPC) | Bio-Sulfur (Dry Based) | Water | |
| Plain | 100 | 0 | 50.0 | |
| Aggregate | 100 | 2.5 | 47.5 | |
| 100 | 5.0 | 45.0 | ||
| 100 | 7.5 | 42.5 | ||
Publisher’s Note: MDPI stays neutral with regard to jurisdictional claims in published maps and institutional affiliations. |
© 2022 by the authors. Licensee MDPI, Basel, Switzerland. This article is an open access article distributed under the terms and conditions of the Creative Commons Attribution (CC BY) license (https://creativecommons.org/licenses/by/4.0/).
Share and Cite
Kim, D.; Lim, B.; Lee, J.; Phae, C. A Study on the Applicability of Bio-Sulfur as a Cement Admixture. Appl. Sci. 2022, 12, 9793. https://doi.org/10.3390/app12199793
Kim D, Lim B, Lee J, Phae C. A Study on the Applicability of Bio-Sulfur as a Cement Admixture. Applied Sciences. 2022; 12(19):9793. https://doi.org/10.3390/app12199793
Chicago/Turabian StyleKim, Dowan, Byungran Lim, Jonggyu Lee, and Cheagun Phae. 2022. "A Study on the Applicability of Bio-Sulfur as a Cement Admixture" Applied Sciences 12, no. 19: 9793. https://doi.org/10.3390/app12199793
APA StyleKim, D., Lim, B., Lee, J., & Phae, C. (2022). A Study on the Applicability of Bio-Sulfur as a Cement Admixture. Applied Sciences, 12(19), 9793. https://doi.org/10.3390/app12199793

