Optimization of the Theabrownins Process by Liquid Fermentation of Aspergillus niger and Their Antioxidant Activity
Abstract
1. Introduction
2. Materials and Methods
2.1. Materials and Chemical Reagents
2.2. Strains
2.3. Preparation of Crushed Green Tea Infusion
2.4. Optimization of Theabrownins Liquid Fermentation Process
2.4.1. Single-Factor Plackett–Burman Experimental Design
2.4.2. Significant Factors Box–Behnken Test Design
3. Fermenter Study
Determination of Theabrownins Content
4. Determination of the Chemical Composition of Theabrownins
4.1. Theabrownins Extraction
- (1)
- Solid-state fermented theabrownins extraction. Pulverize Anhua dark tea and pass it through a 40 mesh sieve and then soak it with 95% ethanol (1:9, w:v) at room temperature until colorless. Ethanol was removed by suction filtration, and the tea residue was extracted in 50 °C distilled water (1:20, w:v) three times (3 h each time). The combined tea solution was centrifuged, and the supernatant was concentrated by rotary evaporation (55 °C) to 1/10 of its initial volume. The concentrate was extracted twice with chloroform (1:1, v:v) and three times with ethyl acetate (1:1, v:v), and the aqueous layer obtained after extraction with n-butanol four times (1:1, v:v) was mixed with absolute ethanol for 12 h (1:4, v:v). Then, it was centrifuged at 4000× g rpm for 20 min, and the precipitate was collected and vacuum freeze-dried to obtain solid-state fermented theabrownins samples, which were stored at 4 °C for later use [31].
- (2)
- Liquid-state fermented theabrownins extraction [32] involved sterilizing the broth at 80 °C for 30 min after vacuum suction filtration, followed by concentration by rotary evaporation (55 °C) to 1/10 of its initial volume. The subsequent experimental steps were the same as those of solid-state fermentation to obtain theabrownins. Aspergillus niger liquid-fermented theabrownins samples were stored at 4 °C for later use.
4.2. Detection of Tea Polyphenols in Theabrownins
- (1)
- Preparation of gallic acid standard curve: Gallic acid standard solutions were prepared with concentrations of 10, 20, 30, 40, and 50 µg/mL. In total, 10% Folin phenol reagent was added to 1.0 mL of the standard solutions and shaken. After reacting for 5 min, 4 mL of 7.5% Na2CO3 solution was added and shaken for 1 h at room temperature. The absorbance at 765 nm was measured with a glass cuvette, and the standard curve was drawn.
- (2)
- Detection of total phenolic content in theabrownins: 1 mL of the prepared 0.2 mg/mL theabrownins solution was transferred to a test tube. The subsequent steps were performed according to the above detection steps. This was calculated as follows:where A is the absorbance of the sample test solution (µg/mL), V is the sample volume (mL), d is dilution factor (1 mL was typically diluted to 100 mL—a dilution factor of 100), SLOPEstd is the gallic acid standard curve slope, w is the sample dry matter content (%), and m is the sample mass (g).
4.3. Determination of Acidic Functional Groups in Theabrownins
4.4. Determination of the Antioxidant Activity of Theabrownins
4.4.1. Determination of the Reducing Power of Potassium Ferricyanide
4.4.2. Hydroxyl Radical (OH) Scavenging Ability of Theabrownins
4.4.3. Superoxide Anion (O2−•) Scavenging Ability of Theabrownins
4.4.4. Theabrownins Scavenging DPPH Free-Radical Ability
5. Results and Discussion
5.1. Plackett–Burman Experimental Results
5.2. Box–Behnken Test Results
5.3. Response Surface Interaction Analysis
5.4. Verification of the Predicted Optimal Conditions
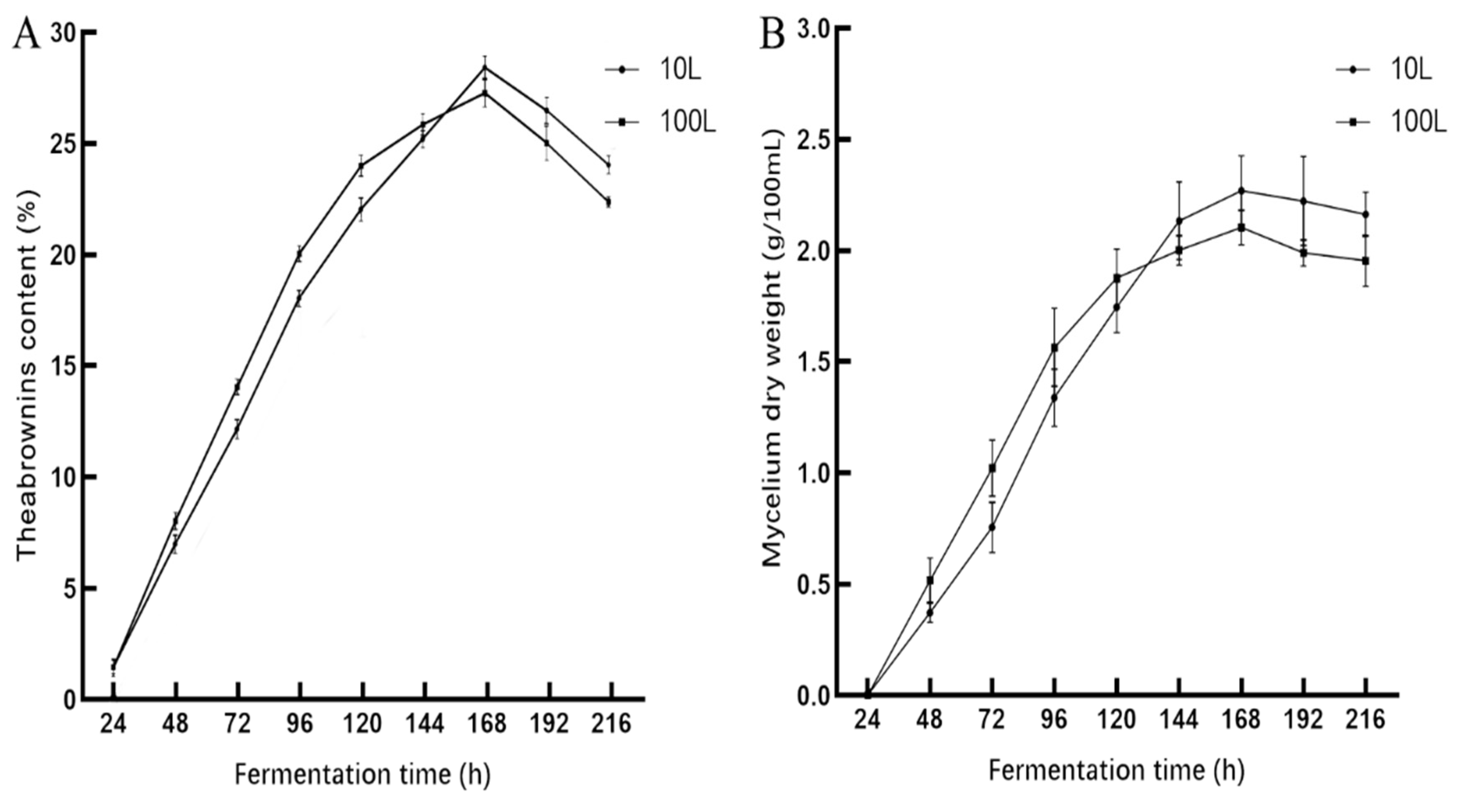
5.5. Expanded Culture in a 10 L Fermentor
5.6. Expanded Culture from a 100 L Fermentor
5.7. Analysis of the Chemical Composition of Theabrownins in Liquid Fermentation of Aspergillus niger
5.7.1. Analysis of Total Phenolic Content in Theabrownins
5.7.2. Determination of Acidic Functional Groups in Theabrownins
5.8. Antioxidant Activity Analysis of Theabrownins
5.8.1. Determination of the Reducing Power of Potassium Ferricyanide
5.8.2. Hydroxyl Radical Scavenging Activities
5.8.3. The Scavenging Ability of Theabrownins to Superoxide Anion Radical (O2−•)
5.8.4. The DPPH Free-Radical Scavenging Ability of Theabrownins
6. Discussion
7. Conclusions
Author Contributions
Funding
Institutional Review Board Statement
Informed Consent Statement
Data Availability Statement
Conflicts of Interest
References
- Gong, J.; Tang, C.; Peng, C. Characterization of the chemical differences between solvent extracts from pu-erh tea and dian hong black tea by cp–py–gc/ms. J. Anal. Appl. Pyrolysis 2012, 95, 189–197. [Google Scholar] [CrossRef]
- Gong, J.; Peng, C.; Chen, T.; Gao, B.; Zhou, H. Effects of theabrownin from pu-erh tea on the metabolism of serum lipids in rats: Mechanism of action. J. Food Sci. 2010, 75, H182–H189. [Google Scholar] [CrossRef] [PubMed]
- Chu, S.; Hong, F.; Yang, J.; Liu, G.; Wang, X. A randomized double-blind placebo-controlled study of pu’er tea extract on the regulation of metabolic syndrome. Chin. J. Integr. Med. 2011, 17, 492. [Google Scholar] [CrossRef] [PubMed]
- Deng, X.; Hou, Y.; Zhou, H.; Li, Y.; Xue, Z.; Xue, X.; Huang, G.; Huang, K.; He, X.; Xu, W. Hypolipidemic, anti-inflammatory, and anti-atherosclerotic effects of tea before and after microbial fermentation. Food Sci. Nutr. 2021, 9, 1160–1170. [Google Scholar] [CrossRef]
- Xiong, C.; Peng, Y.; Liu, B.; Cui, W.; Liu, X. Anti-obesity, anti-atherosclerotic and anti-oxidant effects of pu-erh tea on a high fat diet-induced obese rat model. J. Biosci. Med. 2019, 07, 120–130. [Google Scholar] [CrossRef]
- Huang, F.; Zheng, X.; Ma, X.; Jiang, R.; Zhou, W.; Zhou, S.; Zhang, Y.; Lei, S.; Wang, S.; Kuang, J. Theabrownin from pu-erh tea attenuates hypercholesterolemia via modulation of gut microbiota and bile acid metabolism. Nat. Commun. 2019, 10, 4971. [Google Scholar] [CrossRef]
- Fu, J.; Jiang, C.; Wu, M.; Mei, R.; Yang, A.; Tao, H.; Chen, X.; Zhang, J.; Huang, L.; Zhao, X. Theabrownin induces cell apoptosis and cell cycle arrest of oligodendroglioma and astrocytoma in different pathways. Front. Pharmacol. 2021, 12, 664003. [Google Scholar] [CrossRef]
- Jin, W.; Zhou, L.; Yan, B.; Yan, L.; Liu, F.; Tong, P.; Yu, W.; Dong, X.; Xie, L.; Zhang, J. Theabrownin triggers DNA damage to suppress human osteosarcoma u2 os cells by activating p53 signalling pathway. J. Cell. Mol. Med. 2018, 22, 4423–4436. [Google Scholar] [CrossRef]
- Yao, Y.; Bai, Y.; Zhang, Y.; Wan, H.; Hu, Y.; Wu, Z.; Li, X.; Song, W.; Chen, X. Physicochemical and colon cancer cell inhibitory properties of theabrownins prepared by weak alkali oxidation of tea polyphenols. Plant Foods Hum. Nutr. 2022, 77, 405–411. [Google Scholar]
- Chen, X.; Yuan, Y.; Wang, B.; Chen, Y.; Hu, Y.; Zhou, W.; Song, W.; Wu, Z.; Li, X. Characterization of theabrownins prepared from tea polyphenols by enzymatic and chemical oxidation and its inhibitory effect on colon cancer cells. Front. Nutr. 2022, 9, 308. [Google Scholar]
- Li, Z.; Feifei, W.; Wangdong, J.; Bo, Y.; Xin, C.; Yingfei, H.; Weiji, Y.; Wenlin, D.; Qiang, Z.; Yonghua, G. Theabrownin inhibits cell cycle progression and tumor growth of lung carcinoma through c-myc-related mechanism. Front. Pharmacol. 2017, 8, 75. [Google Scholar] [CrossRef]
- Wu, S.; Yen, G.C.; Wang, B.S.; Chiu, C.K.; Yen, W.J.; Chang, L.W.; Duh, P.D. Antimutagenic and antimicrobial activities of pu-erh tea. LWT-Food Sci. Technol. 2007, 40, 506–512. [Google Scholar] [CrossRef]
- Wang, Y.; Zhao, A.; Du, H.; Liu, Y.; Qi, B.; Yang, X. Theabrownin from fu brick tea exhibits the thermogenic function of adipocytes in high-fat-diet-induced obesity. J. Agric. Food Chem. 2021, 69, 11900–11911. [Google Scholar] [CrossRef] [PubMed]
- Wang, Q.; Peng, C.; Gong, J.; Sirisansaneeyakul, S. Antioxidative effect of large molecular polymeric pigments extracted from zijuan pu-erh tea in vitro and in vivo. Kasetsart J.-Nat. Sci. 2013, 47, 739–747. [Google Scholar]
- Xu, J.; Yan, B.; Zhang, L.; Zhou, L.; Zhang, J.; Yu, W.; Dong, X.; Yao, L.; Shan, L. Theabrownin induces apoptosis and tumor inhibition of hepatocellular carcinoma huh7 cells through ask1-jnk-c-jun pathway. OncoTargets Ther. 2020, 13, 8977. [Google Scholar] [CrossRef] [PubMed]
- Yue, S.; Peng, C.; Zhao, D.; Xia, X.; Tan, C.; Wang, Q.; Gong, J. Theabrownin isolated from pu-erh tea regulates bacteroidetes to improve metabolic syndrome of rats induced by high-fat, high-sugar and high-salt diet. J. Sci. Food Agric. 2022, 102, 4250–4265. [Google Scholar] [CrossRef] [PubMed]
- Wang, Q.; Peng, C.; Gong, J. Effects of enzymatic action on the formation of theabrownin during solid state fermentation of pu-erh tea. J. Sci. Food Agric. 2011, 91, 2412–2418. [Google Scholar] [CrossRef]
- Wang, Y.; Zhang, M.; Zhang, Z.; Lu, H.; Gao, X.; Yue, P. High-theabrownins instant dark tea product by aspergillus niger via submerged fermentation: A-glucosidase and pancreatic lipase inhibition and antioxidant activity. J. Sci. Food Agric. 2017, 97, 5100–5106. [Google Scholar] [CrossRef]
- Chen, Q.; Zhang, M.; Chen, M.; Li, M.; Gao, X. Influence of eurotium cristatum and aspergillus niger individual and collaborative inoculation on volatile profile in liquid-state fermentation of instant dark teas. Food Chem. 2021, 350, 129234. [Google Scholar] [CrossRef]
- Wang, Q.; Belščak-Cvitanović, A.; Durgo, K.; Chisti, Y.; Gong, J.; Sirisansaneeyakul, S.; Komes, D. Physicochemical properties and biological activities of a high-theabrownins instant pu-erh tea produced using aspergillus tubingensis. LWT 2018, 90, 598–605. [Google Scholar] [CrossRef]
- Zhou, B.; Ma, C.; Ren, X.; Xia, T.; Li, X.; Wu, Y. Production of theophylline via aerobic fermentation of pu-erh tea using tea-derived fungi. BMC Microbiol. 2019, 19, 261. [Google Scholar] [CrossRef] [PubMed]
- An, T.; Chen, M.; Zu, Z.; Chen, Q.; Lu, H.; Yue, P.; Gao, X. Untargeted and targeted metabolomics reveal changes in the chemical constituents of instant dark tea during liquid-state fermentation by eurotium cristatum. Food Res. Int. 2021, 148, 110623. [Google Scholar] [CrossRef] [PubMed]
- Ma, Y.; Ling, T.-J.; Su, X.-Q.; Jiang, B.; Nian, B.; Chen, L.J.; Liu, M.-L.; Zhang, Z.-y.; Wang, D.-P.; Mu, Y.-Y.; et al. Integrated proteomics and metabolomics analysis of tea leaves fermented by aspergillus niger, aspergillus tamarii and aspergillus fumigatus. Food Chem. 2020, 334, 127560. [Google Scholar] [CrossRef] [PubMed]
- Salar, S.; Jafarian, S.; Mortazavi, A.; Nasiraie, L.R. Effect of hurdle technology of gentle pasteurisation and drying process on bioactive proteins, antioxidant activity and microbial quality of cow and buffalo colostrum. Int. Dairy J. 2021, 121, 105138. [Google Scholar] [CrossRef]
- Jiang, J.; Zhang, M.; An, T.; Zu, Z.; Song, P.; Chen, M.; Yue, P.; Gao, X. Preparation of instant dark tea by liquid-state fermentation using sequential inoculation with eurotium cristatum and aspergillus niger: Processes optimization, physiochemical characteristics and antioxidant activity. LWT 2022, 162, 113379. [Google Scholar] [CrossRef]
- Wang, Y.; Zhang, M.; Zhang, Z.; Jiang, J.; Gao, X.; Yue, P. Multiple responses optimization of instant dark tea production by submerged fermentation using response surface methodology. J. Food Sci. Technol. 2018, 55, 2579–2586. [Google Scholar] [CrossRef]
- El-Sayed, A.S.A.; Shindia, A.A.; Ali, G.S.; Yassin, M.A.; Hussein, H.; Awad, S.A.; Ammar, H.A. Production and bioprocess optimization of antitumor epothilone b analogue from aspergillus fumigatus, endophyte of catharanthus roseus, with response surface methodology. Enzyme Microb. Technol. 2021, 143, 109718. [Google Scholar] [CrossRef]
- Maran, J.P.; Manikandan, S.; Thirugnanasambandham, K.; Nivetha, C.V.; Dinesh, R. Box–behnken design based statistical modeling for ultrasound-assisted extraction of corn silk polysaccharide. Carbohydr. Polym. 2013, 92, 604–611. [Google Scholar] [CrossRef]
- Tran, T.H.; Dao, T.P.; Nguyen, D.C.; Lam, T.D.; Do, S.T.; Toan, T.Q.; Huong, N.; Vo, D.V.; Giang, B.L.; Nguyen, T.D. Application of box–behnken design with response surface methodology for modeling and optimizing microwave-assisted hydro-distillation of essential oil from citrus reticulata blanco peel. IOP Conf. Ser. Mater. Sci. Eng. 2019, 542, 012043. [Google Scholar] [CrossRef]
- Liu, Y.; Luo, L.; Liao, C.; Chen, L.; Wang, J.; Zeng, L. Effects of brewing conditions on the phytochemical composition, sensory qualities and antioxidant activity of green tea infusion: A study using response surface methodology. Food Chem. 2018, 269, 24–34. [Google Scholar] [CrossRef]
- Zou, Y.; Qi, G.; Xu, T.; Chen, S.; Liu, T.; Huang, Y. Optimal extraction parameters of theabrownin from sichuan dark tea. Afr. J. Tradit. Complement. Altern. Med. 2016, 13, 191. [Google Scholar] [CrossRef]
- Li, T.; Du, L.; Xiao, D.; Li, C.; Xu, Y. Comparative study on theabrownins in pu-erh tea and its powder fermented in liquid state. Mod. Food Sci. Technol. 2014, 30, 93–97. [Google Scholar]
- Vattem, D.A.; Lin, Y.T.; Labbe, R.G.; Shetty, K. Phenolic antioxidant mobilization in cranberry pomace by solid-state bioprocessing using food grade fungus lentinus edodes and effect on antimicrobial activity against select food borne pathogens. Innov. Food Sci. Emerging Technol. 2004, 5, 81–91. [Google Scholar] [CrossRef]
- Qin, Y.; Gong, J.; Zhang, H.; Zhou, H.; He, J.; Li, B. Quantitative determination of functional groups in theabrownine from pu-erh tea based on bacl_2 and ca(ch_3coo)_2 precipitation methods. Chem. Ind. For. Prod. 2010, 30, 107–112. [Google Scholar]
- Tarafdar, A.; Kumar, Y.; Kaur, B.P.; Badgujar, P.C. High-pressure microfluidization of sugarcane juice: Effect on total phenols, total flavonoids, antioxidant activity, and microbiological quality. J. Food Process. Preserv. 2021, 45, e15428. [Google Scholar] [CrossRef]
- Su, Y.; Li, l. Structural characterization and antioxidant activity of polysaccharide from four auriculariales. Carbohydr. Polym. 2019, 229, 115407. [Google Scholar] [CrossRef]
- Wang, Z.; Zheng, C.; Ma, C.; Ma, B.; Wang, J.; Zhou, B.; Xia, T. Comparative analysis of chemical constituents and antioxidant activity in tea-leaves microbial fermentation of seven tea-derived fungi from ripened pu-erh tea. LWT-Food Sci. Technol. 2021, 142, 111006. [Google Scholar] [CrossRef]
- Peng, X.; Feng, C.; Wang, X.; Gu, H.; Yang, L. Chemical composition and antioxidant activity of essential oils from barks of pinus pumila using microwave-assisted hydrodistillation after screw extrusion treatment. Ind. Crops Prod. 2021, 166, 113489. [Google Scholar] [CrossRef]
- Marklund, S.; Marklund, G. Involvement of the superoxide anion radical in the autoxidation of pyrogallol and a convenient assay for superoxide dismutase. Eur. J. Biochem. 1974, 47, 469–474. [Google Scholar] [CrossRef]
- Li, X. Improved pyrogallol autoxidation method: A reliable and cheap superoxide-scavenging assay suitable for all antioxidants. J. Agric. Food Chem. 2012, 60, 6418. [Google Scholar] [CrossRef]
- Jayabalan, R.; Subathradevi, P.; Marimuthu, S.; Sathishkumar, M.; Swaminathan, K. Changes in free-radical scavenging ability of kombucha tea during fermentation. Food Chem. 2008, 109, 227–234. [Google Scholar] [CrossRef] [PubMed]
- Wettasinghe, M.; Shahidi, F. Scavenging of reactive-oxygen species and dpph free radicals by extracts of borage and evening primrose meals. Food Chem. 2000, 70, 17–26. [Google Scholar] [CrossRef]
- Kurutas, B.E. The importance of antioxidants which play the role in cellular response against oxidative/nitrosative stress: Current state. Nutr. J. 2015, 15, 71. [Google Scholar] [CrossRef] [PubMed]
- Fan, J.; Fan, C.; Dong, W.; Gao, B.; Yuan, W.; Gong, J. Free radical scavenging and anti-oxidative activities of an ethanol-soluble pigment extract prepared from fermented zijuan pu-erh tea. Food Chem. Toxicol. 2013, 59, 527–533. [Google Scholar] [CrossRef]
- Mrabet, A.; García-Borrego, A.; Jiménez-Araujo, A.; Fernández-Bolaños, J.; Sindic, M.; Rodríguez-Gutiérrez, G. Phenolic extracts obtained from thermally treated secondary varieties of dates: Antimicrobial and antioxidant properties. LWT-Food Sci. Technol. 2017, 79, 416–422. [Google Scholar] [CrossRef]
- Kim, H.-M.; Kim, E.-M.; Lee, E.-S.; Park, N.H.; Hong, Y.D.; Jung, J.-Y. Theabrownin in black tea suppresses uvb-induced matrix metalloproteinase-1 expression in hacat keratinocytes. Biotechnol. Bioprocess Eng. 2022, 27, 379–385. [Google Scholar] [CrossRef]
- Yue, S.; Shan, B.; Peng, C.; Tan, C.; Wang, Q.; Gong, J. Theabrownin-targeted regulation of intestinal microorganisms to improve glucose and lipid metabolism in goto-kakizaki rats. Food Funct. 2022, 13, 1921–1940. [Google Scholar] [CrossRef]






| Code | Factor | Low Level (−1) | High Level (1) |
|---|---|---|---|
| X1 | SC (g/L) | 4% | 8% |
| X2 | FLR (g/mL) | 1:20 | 1:35 |
| X3 | BC (CFU/mL) | 1 × 106 | 1 × 107 |
| X4 | FD (d) | 5 | 7 |
| X5 | FT (℃) | 28 | 32 |
| X6 | RS (r/min) | 120 | 180 |
| Factor | Level | ||
|---|---|---|---|
| −1 | 0 | 1 | |
| FLR (g/mL) | 1: 25 | 1: 30 | 1: 35 |
| BC (CFU/mL) | 1 × 106 | 1 × 107 | 1 × 108 |
| RS (r/min) | 150 | 180 | 210 |
| Run | SC (X1) | FLR (X2) | BC (X3) | FD (X4) | FT (X5) | RS (X6) | Theabrownins Content (%) |
|---|---|---|---|---|---|---|---|
| 1 | 1 (8%) | −1 (1: 20) | 1 (1 × 107) | −1 (5) | −1 (28) | −1 (120) | 27.24 |
| 2 | 1 (8%) | 1 (1: 35) | −1 (1 × 106) | 1 (7) | −1 (28) | −1 (120) | 20.49 |
| 3 | −1 (4%) | 1 (1: 35) | 1 (1 × 107) | −1 (5) | 1 (32) | −1 (120) | 22.47 |
| 4 | 1 (8%) | −1 (1: 20) | 1 (1 × 107) | 1 (7) | −1 (28) | 1 (180) | 28.67 |
| 5 | 1 (8%) | 1 (1: 35) | −1 (1 × 106) | 1 (7) | 1 (32) | −1 (120) | 18.79 |
| 6 | 1 (8%) | 1 (1: 35) | 1 (1 × 107) | −1 (5) | 1 (32) | 1 (180) | 23.12 |
| 7 | −1 (4%) | 1 (1: 35) | 1 (1 × 107) | 1 (7) | −1 (28) | 1 (180) | 23.45 |
| 8 | −1 (4%) | −1 (1: 20) | 1 (1 × 107) | 1 (7) | 1 (32) | −1 (120) | 26.83 |
| 9 | −1 (4%) | −1 (1: 20) | −1 (1 × 106) | 1 (7) | 1 (32) | 1 (180) | 25.76 |
| 10 | 1 (8%) | −1 (1: 20) | −1 (1 × 106) | −1 (5) | 1 (32) | 1 (180) | 26.12 |
| 11 | −1 (4%) | 1 (1: 35) | −1 (1 × 106) | −1 (5) | −1 (28) | 1 (180) | 21.36 |
| 12 | −1 (4%) | −1 (1: 20) | −1 (1 × 106) | −1 (5) | −1 (28) | −1 (120) | 24.63 |
| Variance Source | SS | d.f. | MS | F-Value | p-Value | Significance |
|---|---|---|---|---|---|---|
| Model | 96.78 | 6 | 16.13 | 61.91 | 0.0002 * | ** |
| X1 | 4.083 × 10−4 | 1 | 4.083 × 10−3 | 1.567 × 10−3 | 0.9700 | |
| X2 | 72.87 | 1 | 72.87 | 279.65 | <0.0001 | ** |
| X3 | 17.84 | 1 | 17.84 | 68.46 | 0.0004 | ** |
| X4 | 0.075 | 1 | 0.075 | 0.29 | 0.6141 | |
| X5 | 0.63 | 1 | 0.63 | 2.42 | 0.1806 | |
| X6 | 5.37 | 1 | 5.37 | 20.62 | 0.0062 | ** |
| Residual | 1.30 | 5 | 0.26 | |||
| sum | 98.08 | 11 |
| Serial Number | FLR (g/mL) | BC (CFU/mL) | RS (r/min) | Theabrownins Content (%) |
|---|---|---|---|---|
| 1 | 0 (1:30) | 1 (1 × 108) | −1 (150) | 25.01 |
| 2 | −1 (1:25) | 0 (1 × 107) | 1 (210) | 19.43 |
| 3 | −1 (1:25) | −1 (1 × 106) | 0 (180) | 18.23 |
| 4 | 0 (1:30) | 0 (1 × 107) | 0 (180) | 29.5 |
| 5 | 1 (1:35) | 0 (1 × 107) | 1 (210) | 24.15 |
| 6 | 0 (1:30) | 0 (1 × 107) | 0 (180) | 28.53 |
| 7 | 0 (1:30) | 0 (1 × 107) | 0 (180) | 28.97 |
| 8 | 0 (1:30) | 1 (1 × 108) | 1 (210) | 27.98 |
| 9 | −1 (1:25) | 1 (1 × 108) | 0 (180) | 18.87 |
| 10 | 0 (1:30) | −1 (1 × 106) | −1 (150) | 25.67 |
| 11 | 1 (1:35) | 0 (1 × 107) | −1 (150) | 23.01 |
| 12 | 0 (1:30) | 0 (1 × 107) | 0 (180) | 28.44 |
| 13 | 0 (1:30) | 0 (1 × 107) | 0 (180) | 28.86 |
| 14 | 0 (1:30) | −1 (1 × 106) | 1 (210) | 24.11 |
| 15 | −1 (1:25) | 0 (1 × 107) | −1 (150) | 17.67 |
| 16 | 1 (1:35) | −1 (1 × 106) | 0 (180) | 23.42 |
| 17 | 1 (1:35) | 1 (1 × 108) | 0 (180) | 24.89 |
| Source | SS | d.f. | MS | F-Value | p-Value | Salience |
|---|---|---|---|---|---|---|
| Model | 255.37 | 9 | 28.37 | 152.66 | <0.0001 | ** |
| X2 | 56.55 | 1 | 56.55 | 304.26 | <0.0001 | ** |
| X3 | 3.54 | 1 | 3.54 | 19.03 | 0.0033 | ** |
| X6 | 2.32 | 1 | 2.32 | 12.49 | 0.0095 | ** |
| X2X3 | 0.17 | 1 | 0.17 | 0.93 | 0.3678 | |
| X2X6 | 0.096 | 1 | 0.096 | 0.52 | 0.4954 | |
| X3X6 | 5.13 | 1 | 5.13 | 27.60 | 0.0012 | ** |
| X22 | 155.01 | 1 | 155.01 | 833.97 | <0.0001 | ** |
| X32 | 8.73 | 1 | 8.73 | 46.97 | 0.0002 | ** |
| X62 | 12.57 | 1 | 12.57 | 67.60 | <0.0001 | ** |
| Residual | 1.30 | 1 | 0.19 | |||
| Lack of fit | 0.59 | 3 | 0.20 | 1.12 | 0.4400 | Not significant |
| Pure error | 0.71 | 4 | 0.18 | |||
| Sum | 256.67 | 16 |
| TBliquid | TBsolid | |
|---|---|---|
| Absorbance (A) | 0.453 ± 0.01 | 0.351 ± 0.014 |
| Tea polyphenol (%) | 25.74 ± 0.5 a | 20.06 ± 0.8 b |
| Theabrownins | Total Acid Groups (mmol/g) | Carboxyl (mmol/g) | Phenolic Hydroxyl (mmol/g) |
|---|---|---|---|
| Solid-state fermentation | 7.79 ± 0.12 b | 1.88 ± 0.11 b | 5.903 ± 0.23 b |
| Liquid fermentation | 27.93 ± 0.20 a | 7.32 ± 0.07 a | 20.28 ± 0.56 a |
Publisher’s Note: MDPI stays neutral with regard to jurisdictional claims in published maps and institutional affiliations. |
© 2022 by the authors. Licensee MDPI, Basel, Switzerland. This article is an open access article distributed under the terms and conditions of the Creative Commons Attribution (CC BY) license (https://creativecommons.org/licenses/by/4.0/).
Share and Cite
Wei, C.; Luo, C.-Y.; Yao, X.-Z.; Jiao, Y.-J.; Lu, L.-T. Optimization of the Theabrownins Process by Liquid Fermentation of Aspergillus niger and Their Antioxidant Activity. Appl. Sci. 2022, 12, 9720. https://doi.org/10.3390/app12199720
Wei C, Luo C-Y, Yao X-Z, Jiao Y-J, Lu L-T. Optimization of the Theabrownins Process by Liquid Fermentation of Aspergillus niger and Their Antioxidant Activity. Applied Sciences. 2022; 12(19):9720. https://doi.org/10.3390/app12199720
Chicago/Turabian StyleWei, Cheng, Chun-Yan Luo, Xin-Zhuan Yao, Yu-Jie Jiao, and Li-Tang Lu. 2022. "Optimization of the Theabrownins Process by Liquid Fermentation of Aspergillus niger and Their Antioxidant Activity" Applied Sciences 12, no. 19: 9720. https://doi.org/10.3390/app12199720
APA StyleWei, C., Luo, C.-Y., Yao, X.-Z., Jiao, Y.-J., & Lu, L.-T. (2022). Optimization of the Theabrownins Process by Liquid Fermentation of Aspergillus niger and Their Antioxidant Activity. Applied Sciences, 12(19), 9720. https://doi.org/10.3390/app12199720
