An Investigation into the Water Retention Behaviour of an Unsaturated Natural Fissured Clay
Abstract
1. Introduction
2. Materials and Methods
2.1. Paola Doce Fissured Clay: Index Properties and Key Structural Features
2.2. Suction Measurement Methods: Filter Paper Technique and High-Capacity Tensiometers
3. Results
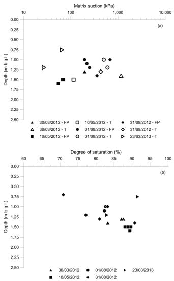
3.1. State of the Material at Shallow Depths during the Year
3.2. Typical Drying Paths of the Paola Doce Fissured Clay
3.3. Comparison between Filter Paper and High-Capacity Tensiometer Measurement Techniques
3.4. Drying Paths of all the Tested Specimens
4. Discussion and Conclusions
Author Contributions
Funding
Institutional Review Board Statement
Informed Consent Statement
Data Availability Statement
Acknowledgments
Conflicts of Interest
References
- Esu, F. Behaviour of slopes in structurally complex formations. In Proceedings of the Symposium on the Geotechnics of Structurally Complex Formations, Capri, Italy, 19–21 September 1977. [Google Scholar]
- Terzaghi, K. Mechanisms of Landslides; Geological Society of America: Berkley, CA, USA, 1950. [Google Scholar]
- Picarelli, L.; Urciuoli, G.; Ramondini, M.; Comegna, L. Main features of mudslides in tectonised highly fissured clay shales. Landslides 2005, 2, 15–30. [Google Scholar] [CrossRef]
- Picarelli, L.; Urciuoli, G.; Mandolini, A.; Ramondini, M. Softening and instability of natural slopes in highly fissured plastic clay shales. Nat. Hazard Earth Syst. Sci. 2006, 6, 529–539. [Google Scholar] [CrossRef][Green Version]
- Comegna, L.; Picarelli, L. Anisotropy of a shear zone. Géotechnique 2008, 58, 737–742. [Google Scholar] [CrossRef]
- Rosone, M.; Ziccarelli, M.; Ferrari, A.; Airò Farulla, C. On the reactivation of a large landslide induced by rainfall in highly fissured clays. Eng. Geol. 2018, 235, 20–38. [Google Scholar] [CrossRef]
- Peranic, J.; Arbanas, M.S.; Arbanas, Z. Importance of the unsaturated zone in landslide reactivation on flysch slopes: Observations from Valici Landslide, Croatia. Landslides 2021, 18, 3737–3751. [Google Scholar] [CrossRef]
- Peranic, J.; Moscariello, M.; Cuomo, S.; Arbanas, Z. Hydro-mechanical properties of unsaturated residual soil from a flysch rock. Eng. Geol. 2020, 269, 105546. [Google Scholar] [CrossRef]
- Vitone, C.; Cotecchia, F. The influence of intense fissuring on the mechanical behaviour of clays. Géotechnique 2011, 61, 1003–1018. [Google Scholar] [CrossRef]
- Vitone, C.; Guglielmi, S.; Pedone, G.; Cotecchia, F. Effects of micro- to meso-features on the permeability of fissured clays. Géotech. Lett. 2019, 9, 369–376. [Google Scholar] [CrossRef]
- Cotecchia, F.; Santaloia, F.; Tagarelli, V. Towards a geo-hydro-mechanical characterization of landslide classes: Preliminary results. Appl. Sci. 2020, 10, 7960. [Google Scholar] [CrossRef]
- Cotecchia, F.; Pedone, G.; Bottiglieri, O.; Santaloia, F.; Vitone, C. Slope-atmosphere interaction in a tectonized clayey slope: A case study. Ital. Geotech. J. 2014, 1, 34–61. [Google Scholar]
- Pedone, G. Interpretation of Slow and Deep Landslides Triggered by Slope-Atmosphere Interaction in Slopes Formed of Fissured Clayey Turbidites. Ph.D. Thesis, Technical University of Bari, Bari, Italy, 27 February 2014. [Google Scholar]
- Cotecchia, F.; Vitone, C.; Santaloia, F.; Pedone, G.; Bottiglieri, O. Slope instability processes in intensely fissured clays: Case histories in the Southern Apennines. Landslides 2015, 12, 877–893. [Google Scholar] [CrossRef]
- Cotecchia, F.; Santaloia, F.; Lollino, P.; Vitone, C.; Pedone, G.; Bottiglieri, O. From a phenomenological to a geomechanical approach to landslide hazard analysis. Eur. J. Environ. Civ. Eng. 2016, 20, 1004–1031. [Google Scholar] [CrossRef]
- Pedone, G.; Ruggieri, G.; Trizzino, R. Characterisation of climatic variables used to identify instability thresholds in clay slopes. Géotech. Lett. 2018, 8, 231–239. [Google Scholar] [CrossRef]
- Cotecchia, F.; Tagarelli, V.; Pedone, G.; Ruggieri, G.; Guglielmi, S.; Santaloia, F. Analysis of climate-driven processes in clayey slopes for early warning system design. Proc. Inst. Civ. Eng.–Geotech. Eng. 2019, 172, 465–480. [Google Scholar] [CrossRef]
- Tagarelli, V.; Cotecchia, F. Deep movements in clayey slopes relating to climate: Modeling for early warning system design. In Geotechnical Research for Land Protection and Development, Proceedings of the CNRIG 2019. Lecture Notes in Civil Engineering, Lecco, Italy, 3–5 July 2019; Springer: Cham, Switzerland, 2020; Volume 40, pp. 205–214. [Google Scholar]
- Tagarelli, V.; Cotecchia, F. The effects of slope initialization on the numerical model predictions of the slope-vegetation-atmosphere interaction. Geosciences 2020, 10, 85. [Google Scholar] [CrossRef]
- Pedone, G.; Tsiampousi, A.; Cotecchia, F.; Zdravkovic, L. Coupled hydro-mechanical modelling of soil–vegetation–atmosphere interaction in natural clay slopes. Can. Geotech. J. 2022, 5, 272–290. [Google Scholar] [CrossRef]
- Tagarelli, V.; Cotecchia, F. Preliminary field data of selected deep-rooted vegetation effects on the slope-vegetation-atmosphere interaction: Results from an in-situ test. Ital. Geotech. J. 2022, 62–83. [Google Scholar] [CrossRef]
- Vitone, C.; Cotecchia, F.; Desreus, J.; Viggiani, G. An approach to the interpretation of the mechanical behaviour of intensely fissured clays. Soils Found. 2009, 49, 355–368. [Google Scholar] [CrossRef]
- Vitone, C.; Cotecchia, F.; Viggiani, G.; Hall, S.A. Localized deformation in intensely fissured clays studied by 2D digital image correlation. Acta Geotech. 2013, 8, 247–263. [Google Scholar] [CrossRef]
- Tudisco, E.; Vitone, C.; Mondello, C.; Viggiani, G.; Athanasopoulos, S.; Hall, S.A.; Cotecchia, F. Localised strain in fissured clays: The combined effect of fissure orientation and confining pressure. Acta Geotech. 2022, 17, 1585–1603. [Google Scholar] [CrossRef]
- Airò Farulla, C.; Jommi, C. Suction controlled wetting-drying cycles on a compacted scaly clay. In Proceedings of the International Conference on Problematic Soils, Famagusta, Northern Cyprus, 25–27 May 2005. [Google Scholar]
- Airò Farulla, C.; Ferrari, A.; Romero, E. Volume change behaviour of a compacted scaly clay during cyclic suction changes. Can. Geotech. J. 2010, 47, 688–703. [Google Scholar] [CrossRef]
- Rosone, M.; Ferrari, A. Water retention behaviour of compacted and reconstituted scaly clays. In Proceedings of the 4th European Conference on Unsaturated Soils, Lisbon, Portugal, 20–26 June 2020. [Google Scholar]
- Ridley, A.M.; Wray, W.K. Suction measurement: A review of current theory and practices. In Proceedings of the 1st International Conference on Unsaturated Soils, Paris, France, 6–8 September 1995. [Google Scholar]
- Cotecchia, F.; Santaloia, F. Compression behaviour of structurally complex marine clays. In Proceedings of the Nakase Memorial Symposium on ‘Soft Ground Engineering in Coastal Areas’, Yokosuka, Japan, 28–29 November 2002. [Google Scholar]
- Stokes, D.J. Environmental scanning electron microscopy for biology and polymer science. Microsc. Anal. 2012, 26, 67–71. [Google Scholar]
- Ridley, A.M.; Burland, J.B. A new instrument for the measurements of soil moisture suction. Géotechnique 1993, 43, 321–324. [Google Scholar] [CrossRef]
- Chandler, R.J.; Gutierrez, C.I. The filter paper method of suction measurements. Géotechnique 1986, 36, 265–268. [Google Scholar] [CrossRef]
- Marinho, F.A.M.; Oliveira, O.M. The filter paper method revisited. Geotech. Test. J. 2006, 29, 250–258. [Google Scholar]
- Munoz-Castelblanco, J.A.; Pereira, J.M.; Delage, P.; Cui, Y.J. Suction measurements on a natural unsaturated soil: A reappraisal of the filter paper method. In Proceedings of the 5th International Conference on Unsaturated Soils, Barcelona, Spain, 1–12 October 2010. [Google Scholar]
- Bulut, R.; Lytton, R.L.; Wray, W.K. Soil suction measurements by filter paper. In Proceedings of the Geo-Institute Shallow Foundation and Soil Properties Committee Sessions at the ASCE 2001 Civil Engineering Conference, Houston, TX, USA, 10–13 October 2001. [Google Scholar]
- Marinho, F.A.M.; da Silva Gomes, J.E. The effect of contact on the filter paper method for measuring soil suction. Geotech. Test. J. 2011, 35, 172–181. [Google Scholar]
- Leong, E.C.; He, L.; Rahardjo, H. Factors affecting the filter paper method for total and matric suction measurements. Geotech. Test. J. 2002, 25, 322–333. [Google Scholar]
- Take, W.A.; Bolton, M.D. Tensiometer saturation and the reliable measurement of soil suction. Géotechnique 2003, 53, 159–172. [Google Scholar] [CrossRef]
- Toll, D.G.; Lourenco, S.D.N.; Mendes, J.; Gallipoli, D.; Evans, F.D.; Augarde, C.E.; Cui, Y.J.; Tang, A.M.; Rojas, J.C.; Pagano, L.; et al. Soil suction monitoring for landslides and slopes. Q. J. Eng. Geol. Hydrogeol. 2013, 44, 23–33. [Google Scholar] [CrossRef]
- Romero, E.; Gens, A.; Lloret, A. Water permeability, water retention and microstructure of unsaturated compacted Boom clay. Eng. Geol. 1999, 54, 117–127. [Google Scholar] [CrossRef]
- Fredlund, D.G.; Rahardjo, H. Soil Mechanics for Unsaturated Soils, 1st ed.; John Wiley & Sons: Hoboken, NJ, USA, 1993. [Google Scholar]
- Cafaro, F.; Cotecchia, F. Structure degradation and change in the mechanical behaviour of a stiff clay due to weathering. Géotechnique 2001, 51, 441–453. [Google Scholar] [CrossRef]
- Cafaro, F.; Cotecchia, F. Influence of the mechanical properties of consolidated clays on their water retention curve. Ital. Geotech. J. 2015, 49, 11–27. [Google Scholar]
- Cunningham, M.R.; Ridley, A.M.; Dineen, K.; Burland, J.B. The mechanical behaviour of a reconstituted unsaturated silty clay. Géotechnique 2003, 53, 183–194. [Google Scholar] [CrossRef]
- Ridley, A.M.; Dineen, K.; Burland, J.B.; Vaughan, P.R. Soil matrix suction: Some examples of its measurement and application in geotechnical engineering. Géotechnique 2003, 53, 241–253. [Google Scholar] [CrossRef]










Publisher’s Note: MDPI stays neutral with regard to jurisdictional claims in published maps and institutional affiliations. |
© 2022 by the authors. Licensee MDPI, Basel, Switzerland. This article is an open access article distributed under the terms and conditions of the Creative Commons Attribution (CC BY) license (https://creativecommons.org/licenses/by/4.0/).
Share and Cite
Pedone, G.; Cotecchia, F.; Tagarelli, V.; Bottiglieri, O.; Murthy, M.B.N. An Investigation into the Water Retention Behaviour of an Unsaturated Natural Fissured Clay. Appl. Sci. 2022, 12, 9533. https://doi.org/10.3390/app12199533
Pedone G, Cotecchia F, Tagarelli V, Bottiglieri O, Murthy MBN. An Investigation into the Water Retention Behaviour of an Unsaturated Natural Fissured Clay. Applied Sciences. 2022; 12(19):9533. https://doi.org/10.3390/app12199533
Chicago/Turabian StylePedone, Giuseppe, Federica Cotecchia, Vito Tagarelli, Osvaldo Bottiglieri, and Madhusudhan B. N. Murthy. 2022. "An Investigation into the Water Retention Behaviour of an Unsaturated Natural Fissured Clay" Applied Sciences 12, no. 19: 9533. https://doi.org/10.3390/app12199533
APA StylePedone, G., Cotecchia, F., Tagarelli, V., Bottiglieri, O., & Murthy, M. B. N. (2022). An Investigation into the Water Retention Behaviour of an Unsaturated Natural Fissured Clay. Applied Sciences, 12(19), 9533. https://doi.org/10.3390/app12199533

