Influence of a Landslide on a Tunnel in Loess-Bedrock Ground
Abstract
:1. Introduction
2. Methodology
2.1. Model Preparation
2.2. Test Methods
2.3. Numerical Simulations
3. Results
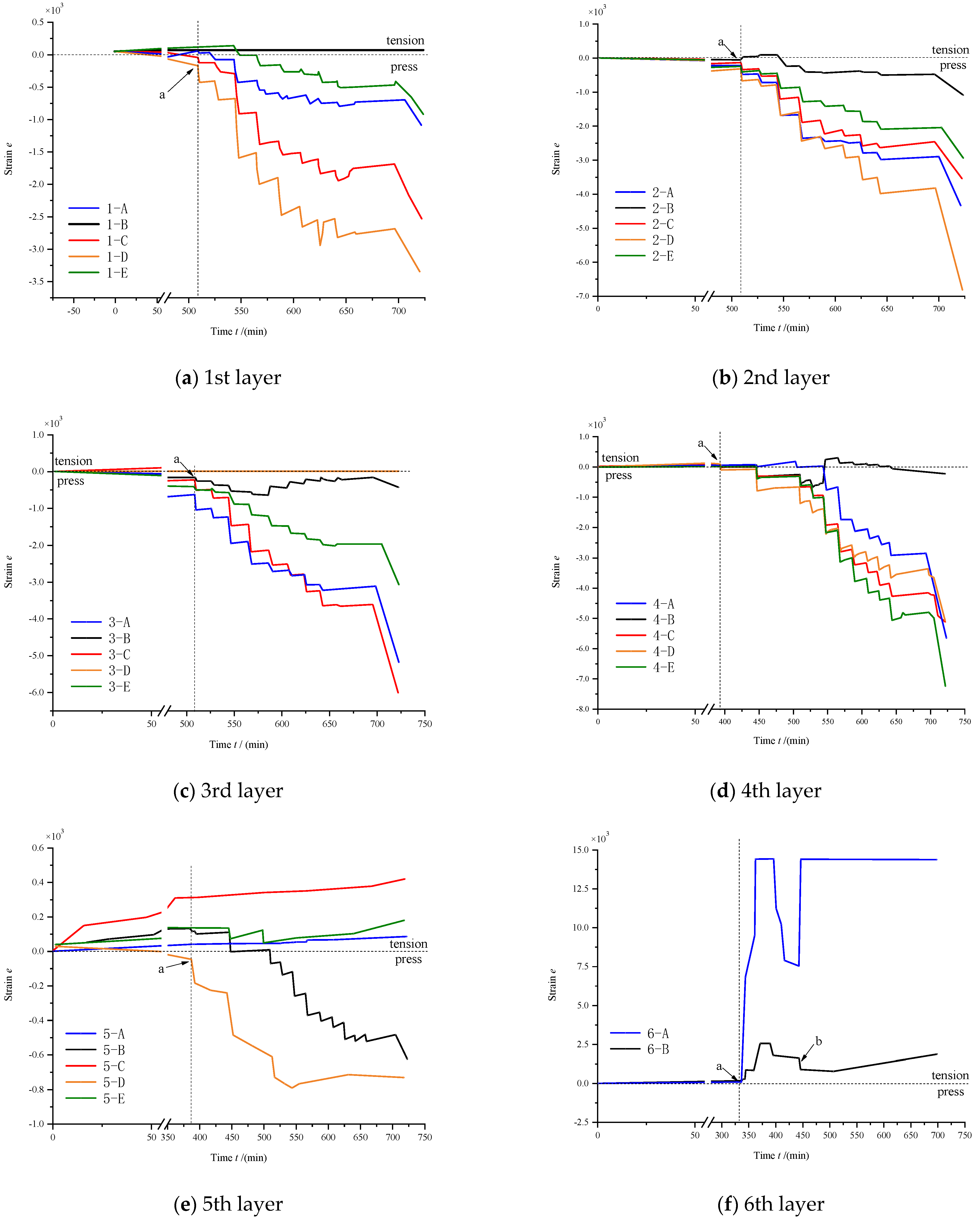
3.1. Mechanical Behaviors and Displacements
3.2. Lateral Deformation
3.3. Deformation of Loess-Bedrock Interface
4. Discussion
5. Conclusions
Author Contributions
Funding
Institutional Review Board Statement
Informed Consent Statement
Data Availability Statement
Conflicts of Interest
References
- Li, Y.; Mo, P. A unified landslide classification system for loess slopes: A critical review. Geomorphology 2019, 340, 67–83. [Google Scholar] [CrossRef]
- Yang, X.; Wang, Y.; Sun, Z. The shearing anisotropy characteristics on the interface of loess with bedrock. Bull. Eng. Geol. Environ. 2020, 79, 5205–5212. [Google Scholar] [CrossRef]
- Zhang, Y.; Yang, J.; Yang, F. Field investigation and numerical analysis of landslide induced by tunneling. Eng. Fail. Anal. 2015, 47, 25–33. [Google Scholar] [CrossRef]
- Wang, F.W.; Zhang, Y.M.; Huo, Z.T.; Matsumoto, T.; Huang, B.L. The July 14, 2003 Qianjiangping landslide, Three Gorges Reservoir, China. Landslides 2004, 1, 157–162. [Google Scholar] [CrossRef]
- Yin, Y.; Huang, B.; Zhang, Q.; Yan, G.; Dai, Z. Research on recently occurred reservoir-induced Kamenziwan rockslide in Three Gorges Reservoir, China. Landslides 2020, 17, 1935–1949. [Google Scholar] [CrossRef]
- Wang, J.; Xiao, L.; Zhang, J.; Zhu, Y. Deformation characteristics and failure mechanisms of a rainfall-induced complex landslide in Wanzhou County, Three Gorges Reservoir, China. Landslides 2019, 17, 419–431. [Google Scholar] [CrossRef]
- Zhang, Q. Study on Dynamic Response Characteristics of Large Section Loess Tunnel Opening Considering Slope Elevation. Master’s Thesis, Lanzhou Jiaotong University, Lanzhou, China, 2017. (In Chinese). [Google Scholar]
- Wang, P.; Wang, H.; Chai, S. Derived mechanism and deformation characteristics of slope slip surface on loess-weathered rock interface. Chin. J. Rock Mech. Eng. 2018, 37, 4027–4037. [Google Scholar]
- Jiao, Y.Y.; Wang, Z.H.; Wang, X.Z.; Adoko, A.C.; Yang, Z.X. Stability assessment of an ancient landslide crossed by two coal mine tunnels. Eng. Geol. 2013, 159, 36–44. [Google Scholar] [CrossRef]
- Barla, G.; Debernardi, D.; Perino, A. Lessons learned from deep-seated landslides activated by tunnel excavation. Geomech. Und Tunn. 2015, 8, 394–401. [Google Scholar] [CrossRef]
- Vassallo, R.; Mishra, M.; Santarsiero, G.; Masi, A. Modeling of Landslide–Tunnel Interaction: The Varco d’Izzo Case Study. Geotech. Geol. Eng. 2019, 37, 5507–5531. [Google Scholar] [CrossRef]
- Alfaro, P.; Delgado, J.; Esposito, C.; Tortosa, F.G.; Marmoni, G.M.; Martino, S. Time-dependent modelling of a mountain front retreat due to a fold-to-fault controlled lateral spreading. Tectonophysics 2019, 773, 228233. [Google Scholar] [CrossRef]
- Gattinoni, P.; Consonni, M.; Francani, V.; Leonelli, G.; Lorenzo, C. Tunnelling in landslide areas connected to deep seated gravitational deformations: An example in Central Alps (northern Italy). Tunn. Undergr. Space Technol. 2019, 93, 103100. [Google Scholar] [CrossRef]
- Apuani, T.; Masetti, M.; Rossi, M. Stress–strain–time numerical modelling of a deep-seated gravitational slope deformation: Preliminary results. Quat. Int. 2007, 171, 80–89. [Google Scholar] [CrossRef]
- Tao, Z.; Zhou, D. Model test study on deformation mechanism of tunnel in landslide area. J. Eng. Geol. 2003, 3, 323–327. (In Chinese) [Google Scholar]
- Gao, F.; Sun, C.; Tan, X. Shaking table test study on seismic response of tunnels with different buried depth. Rock Soil Mech. 2015, 36, 2517–2522. (In Chinese) [Google Scholar]
- Zhang, Z.; Wang, T.; Wu, S.; Tang, H.; Liang, C. Seismic performance of loess-mudstone slope in Tianshui–Centrifuge model tests and numerical analysis. Eng. Geol. 2017, 222, 225–235. [Google Scholar] [CrossRef]
- Zou, S. Study on deformation law of loess tunnel with different characteristics. Ph.D. Thesis, Shijiazhuang Tiedao University, Shijiazhuang, China, 2016. (In Chinese). [Google Scholar]
- Wu, H.; Chen, X.; Ai, H. Model test study on deformation mechanism of tunnel-landslide parallel system. J. Railw. Eng. 2016, 33, 87–91, 124. (In Chinese) [Google Scholar]
- Peng, J.; Fan, Z.; Wu, D.; Zhuang, J.; Dai, F.; Chen, W.; Zhao, C. Heavy rainfall triggered loess-mudstone landslide and subsequent debris flow in Tianshui, China. Eng. Geol. 2015, 186, 79–90. [Google Scholar] [CrossRef]
- Bandini, A.; Berry, P.; Boldini, D. Tunnelling-induced landslides: The Val di Sambro tunnel case study. Eng. Geol. 2015, 196, 71–87. [Google Scholar] [CrossRef]
- Huang, X. Study on the Influence of Longitudinal Local Subsidence of Loess Tunnel Foundation on Mechanical Behavior of Structure. Master’s Thesis, Southwest Jiaotong University, Chengdu, China, 2017. (In Chinese). [Google Scholar]
- Qin, R.; Chen, X. Model test study on stress and deformation mechanism of tunnel-landslide system. Sci. Technol. Eng. 2017, 17, 363–367. (In Chinese) [Google Scholar]
- Pan, H.S.; Du, G.Y.; Wang, K.; Wang, L.; Xia, H.; Qin, D. Model test and numerical simulation of pressure arch in unlined loess tunnel. J. Southeast Univ. 2019, 49, 949–955. (In Chinese) [Google Scholar]
- Basu, D.; Rao, N. Analytical solutions for euler-bernoulli beam on visco-elastic foundation subjected to moving load. Int. J. Numer. Anal. Methods Geomech. 2013, 37, 945–960. [Google Scholar] [CrossRef]
- Chiwanga, M.; Valsangkar, A.J. Generalized beam element on two-parameter elastic foundation. J. Struct. Eng. 1988, 114, 1414–1430. [Google Scholar] [CrossRef]
- Dai, C.Q.; Wang, L.; Wang, Y.J. Deformation study of lining on overlap tunnels based on elastic foundation beam. Appl. Mech. Mater. 2011, 94–96, 1875–1878. [Google Scholar] [CrossRef]
- Yang, C.; Mo, H.; Chen, J. Segment opening calculation of shield tunnel based on double-sided elastic foundation beam when tunnel followed by well excavation. Electron. J. Geotech. Eng. 2013, 18, 6067–6079. [Google Scholar]
- Ma, J.; Peng, J.; Gao, X.; Xie, L. Effect of soil–structure interaction on the nonlinear response of an inextensional beam on elastic foundation. Arch. Appl. Mech. 2015, 85, 273–285. [Google Scholar] [CrossRef]
- Ota, K.; Kuraoka, S.; Takeshi, T. Numerical Analysis to Examine the Effect of Landslides on Tunnels. In Proceedings of the 7th International Conference on Case Histories in Geotechnical Engineering, Chicago, IL, USA, 29 April–4 May 2013; Volume 29. [Google Scholar]
- Zhou, M.; Fang, Q.; Peng, C. A mortar segment-to-segment contact method for stabilized total-Lagrangian smoothed particle hydrodynamics. Appl. Math. Model. 2022, 107, 20–38. [Google Scholar] [CrossRef]
- Fang, Q.; Wang, G.; Yu, F.C.; Du, J.M. Analytical algorithm for longitudinal deformation profile of a deep tunnel. J. Rock Mech. Geotech. Eng. 2021, 13, 845–854. [Google Scholar] [CrossRef]
- Li, Y.; Shi, W.; Aydin, A.; Beroya-Eitner, M.A.; Gao, G. Loess genesis and worldwide distribution. Earth-Sci. Rev. 2019, 201, 102947. [Google Scholar] [CrossRef]
- Wu, H.; Chen, X.; Ai, H. Model test study on deformation mechanism of tunnel-landslide skew system. J. Railw. Eng. 2016, 9, 19–23. (In Chinese) [Google Scholar]
- Zheng, H.B.; Li, P.F.; Ma, G.W.; Zhang, Q.B. Experimental investigation of mechanical characteristics for linings of twins tunnels with asymmetric cross-section. Tunn. Undergr. Space Technol. 2022, 119, 104209. [Google Scholar] [CrossRef]
- Chiu, Y.C.; Lee, C.H.; Wang, T.T. Lining crack evolution of an operational tunnel influenced by slope instability. Tunn. Undergr. Space Technol. 2017, 65, 167–178. [Google Scholar] [CrossRef]
- Yu, Y. Study on earthquake damage mechanism of lining structure of mountain tunnel. Int. Seism. 2014, 48. (In Chinese) [Google Scholar]

















| Natural Density p/(g/cm3) | Natural Moisture Content w/(%) | Specific Gravity γ | Liquid Limit WL/(%) | Plastic Limit WP/(%) | Grain Size Grading/(%) | Cohesion c/(kPa) | Friction Angle φ/(°) | ||
|---|---|---|---|---|---|---|---|---|---|
| >2 mm | 2~0.075 mm | <0.075 mm | |||||||
| 1.67 | 11.2 | 2.65 | 31 | 18 | 0.3 | 32.1 | 67.6 | 17 | 28 |
Publisher’s Note: MDPI stays neutral with regard to jurisdictional claims in published maps and institutional affiliations. |
© 2022 by the authors. Licensee MDPI, Basel, Switzerland. This article is an open access article distributed under the terms and conditions of the Creative Commons Attribution (CC BY) license (https://creativecommons.org/licenses/by/4.0/).
Share and Cite
Sun, Z.; Yang, X.; Lu, S.; Chen, Y.; Li, P. Influence of a Landslide on a Tunnel in Loess-Bedrock Ground. Appl. Sci. 2022, 12, 6750. https://doi.org/10.3390/app12136750
Sun Z, Yang X, Lu S, Chen Y, Li P. Influence of a Landslide on a Tunnel in Loess-Bedrock Ground. Applied Sciences. 2022; 12(13):6750. https://doi.org/10.3390/app12136750
Chicago/Turabian StyleSun, Zhijie, Xuanyu Yang, Shuai Lu, Yang Chen, and Pengfei Li. 2022. "Influence of a Landslide on a Tunnel in Loess-Bedrock Ground" Applied Sciences 12, no. 13: 6750. https://doi.org/10.3390/app12136750
APA StyleSun, Z., Yang, X., Lu, S., Chen, Y., & Li, P. (2022). Influence of a Landslide on a Tunnel in Loess-Bedrock Ground. Applied Sciences, 12(13), 6750. https://doi.org/10.3390/app12136750
