Featured Application
A new near-nature ecological technique was proposed to protect against local scour induced by drop structures and bridge piers, and its protective effective was investigated through a series of experimental tests. According to the experimental result, this study suggests the potential application and optimal assignment of the proposed method.
Abstract
This paper proposes a near-nature ecological technique, which can consist of a wide range of materials, to protect against pier scouring. The proposed technique can involve the use of many long strips that behave like water weeds. This paper studied a protection method against pier scour by using long strips in a submerged overfall, particularly for a pier located at the maximum depth area of overfall scour. The length and size of the strips were chosen as factors to study their protective effect. Our results showed that this approach slowed the flow velocity between the installed strips and bed. The sediment in flow might accordingly move slowly or even settle down. Thus, the pier could be kept stable and safe by the installation of those strips. Experimental results show that the protective effect is more efficient when the strip length is closer to the pier and has a small diameter. Moreover, the maximum protective effect reached 45.5% scour reduction. Varied lengths provided different protective effects against overfall scour. These findings show that this near-nature ecological technique could be a good and economical solution for pier protection in submerged overfalls.
1. Introduction
Overfall often takes place at the downstream of a grade-control structure, dam, or reservoir, and scours the riverbed, thus posing a risk to the stability of local structures (i.e., bridge piers) [1,2,3,4]. The investigation of local scour has been researched for many years. According to Schoklitsch (1932) [5], the maximum scour depth induced by drop structures and bridge piers is related to water table differences between its downstream and upstream, discharge per unit width, tailwater depth, and median diameter of riverbed sediment. The above pioneering work generated much scientific and engineering interest in the following years. Varied empirical formulas have been proposed for the estimation of local scour due to drop structures and bridge piers under different conditions of structure types, approach flow, and bed material [6,7,8,9,10,11,12,13,14,15]. Such contributions are important to effectively control overfall-induced scour and diminish the scour around piers, an area that is influenced by scour hole.
To prevent local scour below drop structures and at bridge piers, construction work for protection and/or stilling basin is generally conducted in engineering practice to resist scour and/or diminish overfall energy [16]. The frequently applied protective construction involves the use of rectangular concrete block, irregular block, and ding-shaped block to resist scour and energy dissipation [17]. A flow-altering device can be another option to minimize scouring through flow adjustment [16], such as by mitigating the down-flow motion by using a collar plate near the base of piers, decreasing the flow velocity by using a series of surface guide panels around the pier, and decreasing the eddy near the pier by using counter-eddy bottom panels [18,19,20,21,22]. Among the engineering methods for natural river management, near-nature ecological engineering has been attracting attention, especially in developed and developing countries [23,24,25]. This study aims to develop a near-nature ecological structure to control the local scour induced by drop structures and bridge piers.
The use of geosynthetic components to control erosion and sediment materials has been considered a more economic and effective solution than costly concrete structures in some circumstances since the late 1950s [26,27]. Generally, geosynthetic components range from temporary work such as hydraulic mulch geofibers, plastic erosion control meshes and netting, erosion control blankets and reinforcement mats, geotextiles, and fabric-formed revetments [25,28]. Their applications were introduced and discussed in past studies [29,30,31,32]. With the awareness of the need for environment protection nowadays, geosynthetic materials need to be less disruptive to the environment. Many naturally occurring textile products can be used to solve geo-environmental engineering problems. For example, southeast and southwest Nigeria have an abundance of vegetation from which soft fibers such as flax, hemp, jute, and coir are obtained [33]. Many of these natural fibers, such as malvaceae and penduculata, are used by farmers in these regions to stabilize soil and control erosion.
To solve river erosion, the authors have conducted many field investigations and found that the sediment protected by hard man-made concrete structure sometimes performs worse than sediment protected by water weeds growing in the river. The effect of vegetation on the change of flow features, i.e., flow velocity, flow turbulence, wave dissipation, and drag force, has been studied widely [34,35,36,37,38,39]. Due to the effect of vegetation, the flow-induced bed shear stress can be reduced so that the capacity of sediment motion can be weakened [35,36,37,38,39,40,41]. Therefore, the authors introduced a new way to control sediment and erosion in a river. This paper proposes a new technique composed of easily obtained materials and installation method aimed at controlling erosion and sediment movement in the river. This simple technique uses long strips that behave like natural water weeds to provide shelter on the riverbed. The protective effect on a bridge pier against pier- and submerged overfall-induced scour is demonstrated with strips of varying lengths and sizes, proving the effectiveness of the proposed technique.
In this study, we propose a new near-nature ecological structure called Cheng Kung artificial water weeds (CKAW) to control the local scour induced by drop structures and bridge piers. The concept of artificial water weeds is introduced in Section 2. A series of laboratory tests was conducted to investigate the protective effect of artificial water weeds on local scour. The implementation of the experiment and the estimation of the protective effect are illustrated in Section 3. Then, the protective effect of artificial water weeds is discussed and shown in Section 4. The potential application and optimal assignment of artificial water weeds for local scour control are presented in the final section.
2. Concept of Artificial Water Weeds and Its Protective Effect against Pier Scouring
Water weeds (Figure 1) protect riverbed sediment from being picked up by flow due to a toppling effect and slow the flow velocity close to the bed. The proposed CKAW technique uses an artificial material that similarly to natural water weeds in flow. CKAW is shown in Figure 2. Figure 2a shows the response behavior of the artificial water weeds to water flow. CKAW has two major parts (Figure 2b): one is a fixed part that secure CKAW on the riverbed or structure, and the other is a swinging part that arranges flow and reduces the flow velocity close to the bed by swinging with its long and slender strip.
Figure 1.
Water weeds topple due to flow.
Figure 2.
(a) Swinging of CKAW due to flow; (b) details of CKAW.
The variables in the protective effect of CKAW include the length, shape (i.e., circular, rectangular), size, material composition, specific gravity, arrangement of water weeds, and density of water weeds. The length affects the influence area of CKAW on the flume bed, the different shapes provide different flow stabilizing effects, and the size affects how the weeds swing—slender strips correspond to better movement with the flow. The material affects the stiffness of the strips and weed swing, and the specific gravity determines whether the strips float or sink. The arrangement of the water weeds is consistent with the change in geocondition—the denser the water weeds are, the more difficult the water flow becomes through the space between strips. Among the variables, this paper discusses two major ones: length and size. The density of water weeds (Rd) is a controlled variable, and as shown in Figure 2b, it can be defined as
where B represents the width of CKAW, n represents the number of strips, ba is the width of the strip, and ba = Da, Da is the diameter of the strip is the strip is circular. Rd in this paper is Rd = 1.
The flexibility of the artificial water weeds plays an important factor in arranging the approaching flow and reducing its impact on the local scour. To consider water weeds as a bundle of flexible rods, the flexibility of the rod depends on the material property, size, shape, and length of the rod. For a rigid rod, the flexibility coefficient, f = l/EA, can be used to represent the deflection per unit load, where l is the length of the rod, E is the Young’s modulus, and A is the cross-section of the rod. In rods made of the same material, the degree of deflection depends on l/A when they are subjected to force. In the rods with the same length, a small cross-section corresponds to increased flexibility of the rod. In rods with the same size, a greater length corresponds to increased flexibility of the rod. However, for a rod made of softer material, representing its flexibility coefficient using f is difficult because this sort of material deflects greatly once a force is applied. To represent flexibility of a rod made of softer material, this paper uses a flexibility index (Fi), Fi = La/, in which La represents length of the very soft rod, and A represents its size.
For an extremely soft rod, such as a strip, its flexibility index, which is different from that of rigid rod, is redefined as follows to obtain a reliable value:
- Parts of strip are cut with different length La for tests.
- The cross-section of each strip is measured.
- A smooth and moist glass is used as an experiment platform (Figure 3).
Figure 3. Schematic of bent arc test on the strip. - The strip is submerged into water and then placed on the platform after it absorbs water fully.
- A thin strip is used to roll forward from the center of the strip so that the strip deflects due to the viscosity of water and friction of the glass.
- The bent width, Lw, is measured after the bent arc of the strips stabilizes.
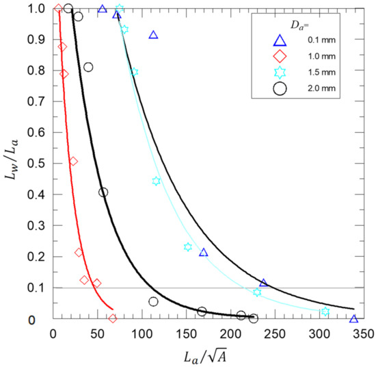
Figure 4. Relationship between Lw/La and La/ of strips made of different materials and sizes.
Strips made with four different diameters of the circular cross-section and materials, listed in Table 1, were tested. The relationship between the ratio of bent width Lw and the length of strip La, (Lw/La) and La/ is shown in Table 1 and plotted in Figure 4. Lw/La and La/ show an exponential relationship in Equation (2), and the correlation coefficient is more than 0.9. This equation represents the degree of the bent arc along with the change in length while the strip is made of a certain material.
Table 1.
Flexibility index of strips made of different materials and sizes.
Figure 4 shows that when Lw/La = 0.1, an obvious change of La/ occurs. Therefore, we define the flexibility index as La/ at Lw/La = 0.1, as shown in Equation (3).
This index is a characteristic of material property. When Fi is smaller, it represents that the strip is softer; for a perfect rigid rod, as Lw/La = 0.1 is required, a very large La is needed, and Fi is defined as infinite at this moment.
For flexibility of a flow arranging strip with length L in real, Fp represents the flexibility parameter of arranging strips placed on site. Fp denotes the ratio of L/ to Fi defined in Equation (4). When the value of Fp is large, then it means the arranging strips are soft. The perfect rigid strips have a value of Fp = 0.
The hydraulic characteristic of CKAW’s protective effect is explained in Figure 5. When flow passes through a submerged overfall, the velocity can be divided into horizontal and vertical components. Vx and Vz represent the flow velocity in the original condition, and Vpx and Vpz represent the flow velocity in a riverbed sheltered by CKAW. Assuming that the resultant velocity in the front fringe of horizontal platform in the protected and unprotected conditions is the same, the only change in the flow velocity is the direction of the component. After passing through the strips, the flow tends to transfer to x component and shows Vpx > Vx and Vpz < Vz. The flume bed is sheltered from scour because the scouring energy is diminished, thus reducing the scour depth.
Figure 5.
Illustration of CKAW’s protective effect. (a) Without the installation of CKAW; (b) With the installation of CKAW.
In restraining overfall-induced scour, the main factor is to control the downward flow velocity Vy and restrain pier-induced scour. Thus, controlling Vx is a main factor. A greater contraction effect of pier induces, a larger Vx and local scour at the pier will occur. In this paper, the topography of the flume bed was measured after the local scour reached an equilibrium state. The interaction between scour depth (ds) and CKAW is discussed in detail in the following sections.
3. Experimentation and Methodology
3.1. Experimental Setup
All the experiments in this study were conducted in a flume with a length of 15 m and a width of 1 m (Figure 6). The flume was made of a steel frame with 0.8 m high transparent reinforced glass on the side wall. A local deepen area with a length of 2 m, a width of 1 m, and a depth of 0.4 m was designed 7 m downstream of the entrance of the flume for fully developing the scour hole. The hunched platform was 4.4 m in length and was used to keep the flow steady. The height difference between the top of the platform and the flume bed downstream was 0.08 m. A circular pier with a diameter of 0.08 m (b) was placed 0.75 m (Ld) downstream of the hunched platform. The ratio of the channel width and pier’s diameter is larger than 10; thus, the side wall effect can be ignored [21]. A 0.0.73 m high gate was designed at the end of the flume to elevate the water table. All flow from upstream was stored in a tank at the tail of the flume. The water was then pumped from the tank to the upstream entrance and reentered the flume after being filtered.
Figure 6.
Setup of the experiment flume.
The laboratory test was performed in clear-water and live-bed conditions. As shown in Figure 6, sand was placed in the deeper area. At the rest of the bottom, sand with 0.025 cm depth was filled to maintain the same roughness of the downstream flume bed and prevent discontinuous roughness of flume bed from inducing scour. No sediment supplement from upstream was used in this experiment work. The threshold of sediment motion can be designed according to the filled sand and the hydraulic boundary condition of the experiment flume [35,42,43]. The live bed in the experiment was filled with sand, of which the median diameter (D50) of sediment was 0.46 mm, the geometric standard deviation (σg) was 1.69, and the specific gravity specific (Gs) was 2.64. When the ratio of the pier’s diameter and the median diameter is larger than 50, the local depth of the pier scour is not influenced by sediment size [44]. Although the maximum depth of the pier scour cannot neglect the armor effect and the viscous effect, the relative change in the depth of the pier scour due to the CKAW is not affected in this study [21,43,45,46]. For the consideration of the hydraulic boundary conditions, the flow depth and flow velocity were designed to reach the threshold of sediment motion in the clear-water condition. The discharge in the flume was 0.0247 m3/s. The upstream flow depth (hu) at the hunched overfall platform was 0.051 m, and the average velocity (Vu) was 0.484 m/s. The flow depth (hd) and average velocity (Vd) after overfall were 0.125 m and 0.198 m/s, respectively. The Froude number of flow was 0.685 and 0.179 before and after overfall, respectively. Melville and Sutherland (1988) suggested that the critical mean approach flow velocity (Vc) can be estimated as 0.329 m/s using
where V*c is the shear velocity when sediment is used, and it can be determined as 0.018 m/s by using the Shields diagram [47]. The flow intensity of downstream (Vd/Vc) was maintained at 0.6. It is greater than 0.5, thus satisfying the occurrence condition of scour in clear water [44]. The aforementioned conditions in this study are summarized in Table 2.
Table 2.
Experiment conditions.
3.2. Experimental Procedure
The implementation of the experiments can be separated into two parts. First, the installation of CKAW was set according to the experimental design. Second, the topography of riverbed was measured after the local scour reached an equilibrium state. The detailed procedures of the experiment are illustrated as follows.
This paper investigated the effect of CKAW on protecting against scour from bridge piers and discussed the influence of different sizes and lengths of the strips in detail. The rest of the variables were kept the same for a convenient comparison. Generally speaking, the strip size influences its swinging motion and ability to protect the flume bed. The strip length affects the protection range and extent. The strips can be made of nylon, which is the same material as Chinese knots, with different sizes and larger density than water. CKAW were installed from the front fringe of the platform in one layer with a close arrangement (Rd = 1) in this test, as shown in the right side of Figure 6. The material composition of CKAW and the experiment conditions are listed in Table 3. The protective effect of pier scour due to the size of the strips was investigated by using four different sizes of strips as Cases 1, 2, 3, and 4. In Cases 1 to 3, the cross-section of single strip has a circular shape, and Da = 0.1, 1, and 2 mm, respectively. In Case 4, the cross-section of a single strip has a rectangular shape (ba = 25 mm and bs = 0.25 mm). The protective effect against pier scour due to the length of strips was studied by using four different lengths of strips as Cases 2, 5, 6, and 7 (i.e., L/Ld = 1/3, 1/2, 2/3, and 1). The flexibility parameter of CKAW is a function of the strips’ size and length, as shown in Equation (4); thus, the protective effect due to the flexibility parameter can be understood from these seven experimental tests. To clarify the effect of CKAW against scour, a contrast test without CKAW was performed and named Case 0. The parameters of the total running cases are listed in Table 3.
Table 3.
Composition of CKAW and study cases.
A 24 h preliminary test without CKAW (Case 0) was implemented to obtain the equilibrium scour depth in clear-water conditions. The formation of the scour hole can take a long time to reach an equilibrium state in clear-water conditions [48]. In this study, a variation of scour depth (ds) < 0.05 b in 24 h is a criterion for the judgment of the equilibrium condition [48]. As shown in Figure 7, the evolution of scour depth in front of the pier in Case 0 is kept at a fixed value after 5 h runtime. The protective effect of CKAW can be estimated using the measurement of scour depth at the fifth hour. Therefore, the runtime for each test is set at the fifth hour in this paper, and the measured scour depth in front of the pier was used to investigate the protective effect of CKAW.
Figure 7.
Evolution of scour depth at 0° of pier without CKAW (Case 0).
The topography was measured after the pier scour reached an equilibrium state, and the protective effect of CKAW is discussed based on the experimental data. After the pier scour reached an equilibrium state, the water in the channel was leaked out from the experiment flume slowly without disturbing the sand bed. With help of three digital single-lens reflex cameras installed and fixed above the experiment flume, the topography of the sand bed can be obtained using post-processing software from the synchronized photographs. The measured topography of Case 0 in the equilibrium condition is depicted in Figure 8. The local scour was triggered around the pier, and the spatial distribution of scour depth was symmetrical. The maximum scour depth in Case 0 was found in front of the pier, and the measured value (dsn) was 11 cm. This study measured the topography of all experimental cases after the pier scour reached an equilibrium state, and then the maximum scour depth at pier (ds) can be obtained. Therefore, the protective effect due to CKAW can be estimated by
where Ps is the protective effect of CKAW. The water surface above the region of CKAW was also measured after the pier scour reached an equilibrium state, and the effect on water surface due to CKAW is discussed. Above the experiment flume, several movable probes were set up to detect the water surface. After the pier scour reached an equilibrium state, the water surface can be measured by these water level gauges. The measured water surface of Case 0 is plotted in Figure 9. The zero of coordinate X was given between the hunched platform and sand bed. The half length of surface wave () and the magnitude of surface wave () can be obtained as 10.5 and 3.4 cm, respectively. In the same way, this research can record the water surface of all experimental cases, and then the half length of the surface wave () and the magnitude of surface wave () can be found. The protective effect of CKAW on the water surface can be evaluated using the following formulas:
where Pl is the protective effect on the half length of surface wave due to CKAW, and Pm is the protective effect on the magnitude of surface wave due to CKAW.
Figure 8.
Topography of Case 0 (without CKAW) after the pier scour reached an equilibrium state (the erosion and deposition contour is 1 cm).
Figure 9.
Water surface of Case 0 (without CKAW) after the pier scour reached an equilibrium state.
4. Results and Discussions
4.1. Protective Effect Due to the Size of Strips of CKAW
Circular strips with diameters of 0.1, 1, and 2 mm and rectangular strips with dimensions of 25 mm × 0.25 mm were applied with a length of 25 cm, which was one-third of the distance from the overfall platform to the bridge pier to clarify the protective effect of the strip size. The change in the flume bed due to the protective effect of CKAW is shown in Figure 10a–d. In the case of the thinnest strip (Da = 0.1 mm) in Figure 10a, the change extent of the flume bed was less than that in the other cases, and the range and size of scour hole were reduced compared with the case without CKAW. A comparison between the protective effect of the circular strips shows that the larger strips had less protective effect; almost no protective effect was found in the case of Da = 2 mm (Figure 10c). The rectangular strip did not provide a good protective effect either (Figure 10d).
Figure 10.
Sand bed changes due to different sizes of strips (the erosion and deposition contour is 1 cm; a negative value means erosion). (a) Case 1: Da = 0.1 mm, L = 25 cm; (b) Case 2: Da = 1 mm, L = 25 cm; (c) Case 3: Da = 2 mm, L = 25 cm; (d) Case 4: rectangular shape (25 mm width, 0.25 mm thickness), L = 25 cm.
The protective effect due to the size of strips of CKAW is discussed based on the topography of Cases 0, 1, 2, 3, and 4. The difference of maximum scour depth at the pier (ds) between ones with and without CKAW is listed in Table 4. With the use of Equation (6), we learn that the best protective effect was achieved with strips that have the smallest diameter (Case 1), in which the protective effect (Ps) was 27.3%. This finding shows that CKAW protects the flume bed from being scoured by overfall and pier. When the diameter of the strips increased, the protective effect decreased, thus indicating that smaller strips better protected the flume bed from scour. This result occurred because when the thin strips were with more numbers than in other cases, they could slow the downward flow velocity more efficiently by the swinging strips and change it into horizontal flow downstream, as shown in Figure 5.
Table 4.
Protective effect with different size of strips.
Figure 11 shows the changes in the centerline of the flume bed due to erosion and deposition. The scour depth of the flume bed around the bridge pier decreased after CKAW was applied. Case 1 shows an apparent difference from the others on the landforms in the front of the pier. Significant scour was found in the tail of the arranging strips; after that, a significant deposition was found almost close to the original flume bed. Case 1 shows the largest deposition at the back of the pier, indicating a weak sediment transport capacity near the bridge in Case 1 due to the protective effect.
Figure 11.
Change in centerline due to strip size (Z = 0 means initial bed, positive value means deposition and negative value means erosion).
Figure 12 shows the history of scour depth in front of the pier. The scour depth changed unstably without CKAW because while the overfall flow carried a greater amount of sediment than the one being washed away at the pier, deposition took place; otherwise, scour took place. While the submerged overfall was in an unstable flow condition, the sediment supplement was also unstable. When CKAW was applied, the scouring history was more stable. This finding implies a stable development of overfall-induced scour on the flume bed. When circular strips with different diameters were used, a smaller diameter corresponded to reduced scour. The scour depth in the cases with CKAW was greater than that in the case without CKAW before 100 min. However, the scour depth development reached a stable state in the cases with CKAW but kept increasing in the case without CKAW after that. Eventually, the differences could be observed. The scour depth with CKAW installation showed a larger value in the first 100 min because the flow velocity was transferred into Vx. Therefore, Vx was increased but Vz was decreased due to CKAW. The increased Vx induced a larger scour around the pier at the beginning until the scour hole reached a certain depth, and eventually, CKAW was able to slow down the velocity close to the flume bed.
Figure 12.
Developing history of scour depth at 0° of pier due to different sizes of strips.
For the case of rectangular arranging strips, its scour depth history was smaller than that of the others in the first 140 min. This finding indicates that a stronger protective effect was provided by the wider strips that transfer downward flow velocity better, thus providing better protection on the flume bed in the first 140 min. However, when the rectangular strips tangled up, which occurs easily with this type of shape, the scour depth started to increase intensively and reached a similar depth as in the case without CKAW. This finding shows that when CKAW strips tangle up, the scour depth increased because of the reduced protective effect.
The installation of CKAW was able to stabilize the vibration of the water surface, which was induced by the submerged overfall after the flow passed through the hunched platform, thereby stabilizing the sediment transport. The water table profile is shown in Figure 13, where the difference between peak and bottom was taken as the magnitude of water surface change to represent the scale of water surface vibration. This figure shows that the greatest vibration occurred in the case without CKAW, and the greatest reduction was found in Case 1, where the thinnest strips were applied, achieving a reduction of 1.3 cm or 38.2%. The wave moved downstream in Case 3, having a similar shape as the one without CKAW in Case 4. The half wave length in the case without CKAW was 1–1.5 cm longer than the one with CKAW. This finding proves that the wave length and magnitude reduced due to CKAW. All the results are listed in Table 4.
Figure 13.
Response of water surface due to different strip sizes.
4.2. Protective Effect Due to Length of Strips of CKAW
This section examines the protective effect due to 4 different lengths of strip, namely, one-third, one-half, two-third, and one times the location of maximum scour depth (Ld = 75 cm) (cf. Cases 2, 5, 6, and 7 in Table 3). The size of the strip in Case 2 (Da = 1 mm for circular strips) was used. The erosion and deposition distribution of the flume bed is shown in Figure 14. The beds deformed upstream were similar to each other, showing that the influence from the length was not significant upstream. The downstream scour reduced with longer strips. Therefore, CKAW had a greater protective effect when the length of strips reached the maximum scour depth.
Figure 14.
Sand bed changes due to different lengths of strips (the erosion and deposition contour is 1 cm; a negative value means erosion). (a) Case 2: Da = 1 mm, L = 25 cm; (b) Case 5: Da = 1 mm, L = 37.5 cm; (c) Case 6: Da = 1 mm, L = 50 cm; (d) Case 7: Da = 1 mm, L = 75 cm.
Figure 15 shows the change in the flume centerline with strips of different lengths. With longer strips, the scour in front of the pier was reduced. When the strips reached the pier’s location, the scour occurred only at the pier’s surrounding area, which was different from the other cases. For cases with lengths of Ld = 1/2 and Ld = 2/3, the scour distribution and the scour depth were similar to each other. The protective effect achieved with different lengths of strips is listed in Table 5. When the length of arranging strips reached the location of the pier (Case 7), the best protective effect (Ps) was achieved, being equal to 45.5%. The reason for this condition was thought to be that the velocity component in x direction Vx, which induced scour near the pier due to the contraction effect, was mainly dominated by the pier after the length of the strips reached a certain value. In other words, the CKAW capacity in transforming the velocity from vertical to horizontal component did not increase with the length without limitation, but reached a certain value instead. Overall, the CKAW provided good protection for the flume bed from the location of the overfall, in which a major velocity component was in the z direction Vz, when the strip length was close to the maximum scour depth. Eventually, the scour depth reduced.
Figure 15.
Change of centerline with CKAW with different lengths of strips.
Table 5.
Protective effect with different lengths of strips.
Figure 16 shows the time history of flume bed changes at 0° point of the pier location. In the first 5 min, scour depth developed rapidly in the case with and without CKAW. Afterward, the protective effect was gradually observed. The cases with longer strips showed a slower development of scour depth, reaching the minimum scour depth eventually. As mentioned previously, the development of the scour hole was more stable in the case with CKAW. Once the length of the strip exceeded 0.5 Ld, the developing history of the scour hole was not deeper than the case without CKAW, thus implying a significant protective effect when the strip length covers half the distance to the pier location. Figure 17 shows the change in water surface with different strip lengths. The magnitude reduced when the strip length increased. In the case of L/Ld = 1, the reduced percentage of magnitude was up to 50%, as listed in Table 5, showing the influence of CKAW on stabilizing the water surface. When L/Ld exceeded 0.5, the wave transferred further downstream than in the case without CKAW.
Figure 16.
Developing history of scour depth at 0° of pier due to different strip lengths.
Figure 17.
Response of water surface due to different strip lengths.
4.3. Protective Effect Due to Flexibility of CKAW
As mentioned in Section 2, the swinging part of CKAW can arrange and weaken the approaching flow, thus reducing the overfall- and pier-induced scour depth. The material’s flexibility is a response to the size and length of CKAW. Through this experimental study, we found that the flexibility parameter of CKAW is an important index for the protective effect of scour depth and the stabilizing capability against approaching flow. On the basis of the experimental results in Table 4 and Table 5, Figure 18 depicts the relationship between flexibility parameter (Fp) and protective effect (Ps) on the scour depth. A linear relationship was found, with a correlation coefficient of 0.92, as shown in Equation (9).
Figure 18.
Relationship between protective effect (Ps) and flexibility parameter (Fp).
This equation presents that the flexibility parameter has a strong influence on the protective effect; a large flexibility parameter corresponds to increased protective effect. The flexibility parameter can be estimated by using Equation (5). This formula can be used to estimate whether any new synthetic fiber is suitable for CKAW.
5. Conclusions
Through a series of experiments, this study proposes a new technique called CKAW, which protects a bridge pier located in a submerged overfall flow from being scoured. CKAW involves a simple installation method and easily obtained materials, i.e., cotton, nylon, and silk. The flow condition considered in this paper includes two types of scour around the pier: one is bridge pier-induced local scour due to the contraction of flow, and the other is overfall-induced scour due to downward velocity. The dominant velocity component in pier-induced scour is mainly horizontal component Vx, and that in overfall-induced scour is mainly vertical component Vz. CKAW shows good protective performance in transforming the vertical velocity component into a horizontal one, therefore protecting the flume bed well in this test. Circular CKAW worked better than a flat rectangular CKAW, avoiding the tangling problem that easily occurs in the latter. According to a series of laboratory tests in clear-water and live-bed conditions, this study also shows that a thinner strip with a length (L) that reaches the pier location (Ld) performed better. According to the experimental tests in this study, the best setup conditions were found to be Da = 1 mm with a circular shape and L/Ld = 1. The best protective effect of scour depth at pier was up to 45.5%. Moreover, CKAW with a larger flexibility parameter (Fp) performed better in protecting the flume bed, and the best setup condition was found to be Fp = 18.3 in this experimental study. The durability of the protection due to CKAW performed well without any damage in the entire process of the experiments.
This paper presents preliminary research about a near-nature ecological technique for pier scour countermeasure. From a series of laboratory tests, the protective effects of the near-nature ecological technique against pier scouring can be estimated according to the geometric features, i.e., Da, L/Ld, and Fp. However, the performance of the proposed near-nature ecological technique in field application has not been investigated completely. In future studies, the experimental design is expected to be similar to the condition of the field site, i.e., a sand supplement from the upstream side of the flume, the durability of the protection, and the performance on the curve channel. Besides the investigation of the influence of geometry features, the influence of hydraulic and sediment features will be considered. In order to improve the laboratory test, the experimental design will reduce the effect of armor and viscosity, and the recorded data should also include the velocity field.
Author Contributions
Conceptualization, C.-K.H. and C.-W.L.; methodology, C.-K.H. and C.-W.L.; formal analysis, C.-K.H., C.-W.L. and W.-L.L.; manuscript writing, C.-W.L. and W.-L.L. All authors contributed to improving the paper. All authors have read and agreed to the published version of the manuscript.
Funding
This research received no external funding.
Institutional Review Board Statement
Not applicable.
Informed Consent Statement
Not applicable.
Data Availability Statement
Not applicable.
Conflicts of Interest
The authors declare no conflict of interest.
References
- Bormann, N.E.; Julien, P.Y. Scour downstream of grade-control structures. J. Hydraul. Eng. 1991, 117, 579–594. [Google Scholar] [CrossRef]
- Gaudio, R.; Marion, A.; Bovolin, V. Morphological effects of bed sills in degrading rivers. J. Hydraul. Res. 2000, 38, 89–96. [Google Scholar] [CrossRef]
- Lenzi, M.A.; Marion, A.; Comiti, F.; Gaudio, R. Local scouring in low and high gradient streams at bed sills. J. Hydraul. Res. 2002, 40, 731–739. [Google Scholar] [CrossRef]
- Abdelhaleem, F.S.F. Effect of semi-circular baffle blocks on local scour downstream clear-overfall weirs. Ain Shams Eng. J. 2013, 4, 675–684. [Google Scholar] [CrossRef][Green Version]
- Schoklitsch, A. Kolkbildung unter Uverfallstrahlen. In Wasserwirtschaft 24; Springer: Vienna, Austria, 1932. [Google Scholar]
- Moore, W.L. Energy loss at the base of a free overfall. Trans. Am. Soc. Civ. Eng. 1943, 108, 1343–1360. [Google Scholar] [CrossRef]
- Little, W.C.; Murphey, J.B. Model study of low drop grade control structures. J. Hydraul. Div. 1982, 108, 1132–1146. [Google Scholar] [CrossRef]
- Chen, J.Y.; Hong, Y.M. Characterisitics of check dam scour hole by free over-fall flow. J. Chin. Inst. Eng. 2001, 24, 673–680. [Google Scholar] [CrossRef]
- Huang, C.K.; Chang, C.J. Characteristics of pier scour at downstream of overfall. J. Chin. Soil Water Conserv. 2003, 34, 251–259. Available online: http://www.cswcs.org.tw/Center/Journal/EachJournalList.aspx?SendVol=34&SendNo=3&SendPreview=765 (accessed on 24 April 2022).
- D’Agostino, V.; Ferro, V. Scour on alluvial bed downstream of grade-control structures. J. Hydraul. Eng. 2004, 130, 24–37. [Google Scholar] [CrossRef]
- Hoffmans, I.G.J.C.M. Closure problem to jet scour. J. Hydraul. Res. 2009, 47, 100–109. [Google Scholar] [CrossRef]
- Comiti, F.; Lenzi, M.A.; Mao, L. Local scouring at check dams in mountain rivers. In Check Dams, Morphological Adjustments and Erosion Control in Torrential Streams; Nova Science Publishers: Hauppauge, NY, USA, 2010; pp. 263–282. Available online: https://www.researchgate.net/publication/286118230_Local_scouring_at_check-dams_in_mountain_rivers (accessed on 24 April 2022).
- Yager, E.M.; Dietrich, W.E.; Kirchner, J.W.; McArdell, B.W. Prediction of sediment transport in step-pool channels. Water Resour. Res. 2012, 48, W01541. [Google Scholar] [CrossRef]
- Melville, B.W. Scour at various hydraulic structures: Sluice gates, submerged bridges and low weirs. Australas. J. Water Resour. 2014, 18, 101–117. [Google Scholar] [CrossRef]
- Lee, W.L.; Lu, C.W.; Huang, C.K. A study on interaction between overfall types and scour at bridge piers with a moving-bed experiment. Water 2021, 13, 152. [Google Scholar] [CrossRef]
- Melville, B.W.; Hadfield, A.C. Use of sacrificial piles as pier scour countermeasures. J. Hydraul. Eng. 1999, 125, 1221–1224. [Google Scholar] [CrossRef]
- Lee, W.L.; Lu, C.W.; Huang, C.K. Application of a single porous basket as a pier scour countermeasure. Water 2021, 13, 3052. [Google Scholar] [CrossRef]
- Chiew, Y.M. Scour protection at bridge piers. J. Hydraul. Eng. 1992, 118, 1260–1269. [Google Scholar] [CrossRef]
- Lauchlan, C.S. Countermeasures for Pier Scour. Ph.D. Thesis, University of Auckland, Auckland, New Zealand, 1999. Available online: https://trid.trb.org/view/855383 (accessed on 24 April 2022).
- Huang, C.K.; Tang, C.J.; Kuo, T.Y. Use of surface guide panels as pier scour countermeasures. Int. J. Sediment Res. 2005, 20, 117–128. [Google Scholar]
- Tafarojnoruz, A.; Gaudio, R.; Dey, S. Flow-altering countermeasures against scour at bridge piers: A review. J. Hydraul. Res. 2010, 48, 441–452. [Google Scholar] [CrossRef]
- Khaple, S.; Hanmaiahgari, P.R.; Gaudio, R.; Dey, S. Splitter plate as a flow-altering pier scour countermeasure. Acta Geophys. 2017, 65, 957–975. [Google Scholar] [CrossRef]
- Wu, H.L.; Feng, Z.Y. Ecological engineering methods for soil and water conservation in Taiwan. Ecol. Eng. 2006, 28, 333–344. [Google Scholar] [CrossRef]
- Evette, A.; Labonne, S.; Rey, F.; Liebault, F.; Jancke, O.; Girel, J. History of bioengineering techniques for erosion control in rivers in Western Europe. Environ. Manag. 2009, 43, 972–984. [Google Scholar] [CrossRef] [PubMed]
- Sanches Fernandes, L.F.; Sampaio Pinto, A.A.; Salgado Terêncio, D.P.; Leal Pacheco, F.A.; Vitor Cortes, R.M. Combination of ecological engineering procedures applied to morphological stabilization of estuarine banks after dredging. Water 2020, 12, 391. [Google Scholar] [CrossRef]
- Xu, J.; Li, Z. A review on ecological engineering based engineering management. Omega 2012, 40, 368–378. [Google Scholar] [CrossRef]
- Müller, W.W.; Saathoff, F. Geosynthetics in geoenvironmental engineering. Sci. Technol. Adv. Mater. 2015, 16, 034605. [Google Scholar] [CrossRef] [PubMed]
- Koerner, R.M. Emerging and future developments of selected geosynthetic applications. J. Geotech. Geoenviron. Eng. 2000, 126, 293–306. [Google Scholar] [CrossRef]
- Theisen, M.S. The role of geosynthetics in erosion and sediment control: An overview. Geotext. Geomembr. 1992, 11, 535–550. [Google Scholar] [CrossRef]
- Cancelli, A.; Monti, R.; Rimoldi, P. Comparative study of geosynthetics for erosion control. In Proceedings of the 4th International Conference Geotextiles and Geomembranes and Related Products, The Hague, The Netherlands, 28 May–1 June 1990; Volume 1, pp. 403–408. [Google Scholar]
- Calhoun, C.C. Development of Design Criteria and Acceptance Specifications for Plastic Cloth; Technical Report S-72-7; U.S. Army, Corps of Engineers, Commonwealth of Virginia, Waterways Experiment Station: Vicksburg, MS, USA, 1972; pp. 6–55.
- Carroll, R.G. Geotextiles filter criteria. In Transportation Research Record; Transportation Research Board: Washington, DC, USA, 1983; pp. 46–53. [Google Scholar]
- Aguda, R.E. Use of Different Geofibres in Erosion Control on Road Embankments. Bachelor’s Thesis, Federal University of Technology Owerri, Ihiagwa, Nigeria, 1995. [Google Scholar]
- Etminan, V.; Lowe, R.J.; Ghisalberti, M. Canopy resistance on oscillatory flows. Coast. Eng. 2019, 152, 103502. [Google Scholar] [CrossRef]
- D’Ippolito, A.; Lauria, A.; Alfonsi, G.; Calomino, F. Investigation of flow resistance exerted by rigid emer-gent vegetation in open channel. Acta Geophys. 2019, 67, 971–986. [Google Scholar] [CrossRef]
- Liu, C.; Shan, Y.; Sun, W.; Yan, C.; Yang, K. An open channel with an emergent vegetation patch: Predict-ing the longitudinal profiles of velocities based on exponential decay. J. Hydrol. 2020, 582, 124429. [Google Scholar] [CrossRef]
- D’Ippolito, A.; Calomino, F.; Alfonsi, G.; Lauria, A. Drag coefficient of in-line emergent vegetation in open channel flow. Int. J. River Basin Manag. 2021, 1–11. [Google Scholar] [CrossRef]
- D’Ippolito, A.; Calomino, F.; Alfonsi, G.; Lauria, A. Flow resistance in open channel due to vegetation at reach scale: A review. Water 2021, 13, 116. [Google Scholar] [CrossRef]
- Lou, S.; Chen, M.; Ma, G.; Liu, S.; Wang, H. Sediment suspension affected by submerged rigid vegetation under waves, currents and combined wave–current flows. Coast. Eng. 2022, 173, 104082. [Google Scholar] [CrossRef]
- Reidenbach, M.A.; Timmerman, R. Interactive effects of seagrass and the microphytobenthos on sediment suspension within shallow coastal bays. Estuaries Coasts 2019, 42, 2038–2053. [Google Scholar] [CrossRef]
- Walter, R.K.; O’Leary, J.K.; Vitousek, S.; Taherkhani, M.; Geraghty, C.; Kitajima, A. Large-scale erosion driven by intertidal eelgrass loss in an estuarine environment. Estuarine. Coast. Shelf Sci. 2020, 243, 106910. [Google Scholar] [CrossRef]
- Dey, S.; Barbhuiya, A.K. Clear-water scour at abutments in thinly armored beds. J. Hydraul. Eng. 2004, 130, 622–634. [Google Scholar] [CrossRef]
- Tafarojnoruz, A.; Gaudio, R.; Calomino, F. Evaluation of flow-altering countermeasures against bridge pier scour. J. Hydraul. Eng. 2012, 138, 297–305. [Google Scholar] [CrossRef]
- Melville, B.W.; Coleman, S.E. Bridge Scour; Water Resources Publication: Littleton, CO, USA, 2000. [Google Scholar]
- Dey, S. Three-dimensional vortex flow field around a circular cylinder in a quasi-equilibrium scour hole. Sadhana 1995, 20, 871–885. [Google Scholar] [CrossRef]
- Oliveto, G.; Hager, W.H. Further results to time-dependent local scour at bridge elements. J. Hydraul. Eng. 2005, 131, 97–105. [Google Scholar] [CrossRef]
- Melville, B.W.; Sutherland, A.J. Design method for local scour at bridge piers. J. Hydraul. Eng. 1988, 114, 1210–1226. [Google Scholar] [CrossRef]
- Melville, B.W.; Chiew, Y.M. Time scale for local scour at bridge piers. J. Hydraul. Eng. 1999, 125, 59–65. [Google Scholar] [CrossRef]
Publisher’s Note: MDPI stays neutral with regard to jurisdictional claims in published maps and institutional affiliations. |
© 2022 by the authors. Licensee MDPI, Basel, Switzerland. This article is an open access article distributed under the terms and conditions of the Creative Commons Attribution (CC BY) license (https://creativecommons.org/licenses/by/4.0/).

















