A Model Test of the Dynamic Stiffnesses and Bearing Capacities of Different Types of Bridge Foundations
Abstract
1. Introduction
2. Test Outline
2.1. Foundation Models and Test Method
2.2. Soil Parameter Test
3. TRM Test
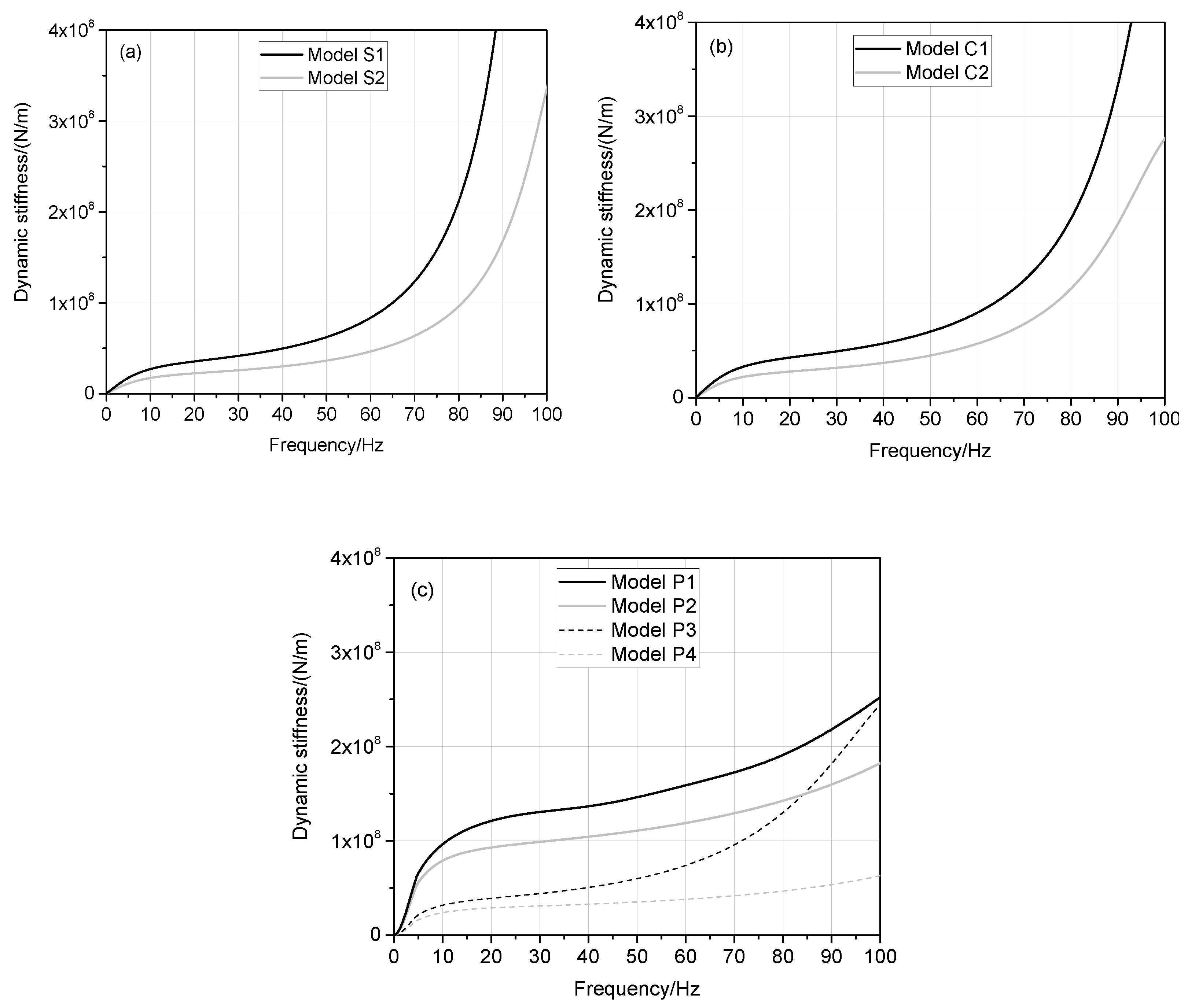
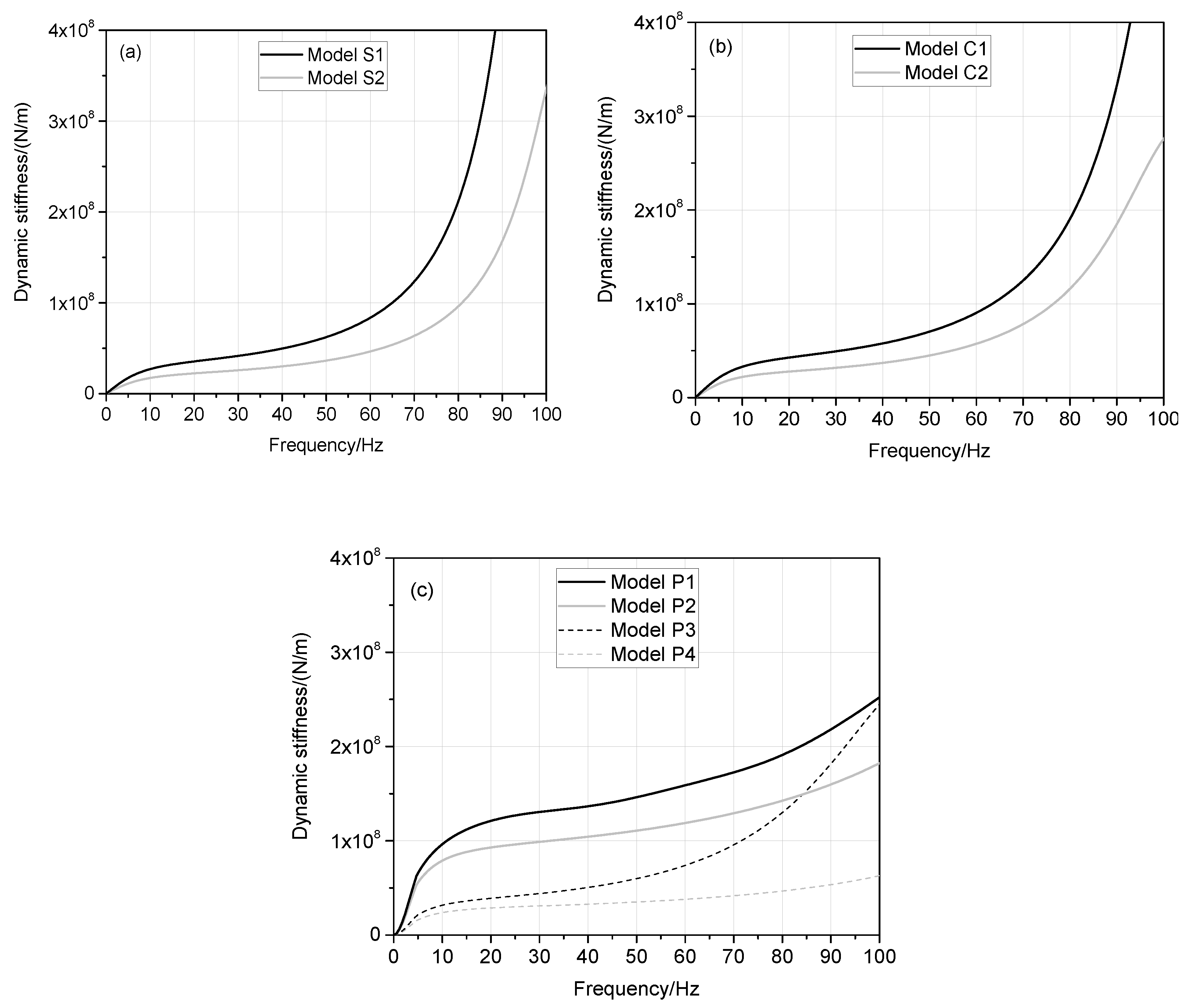
3.1. Foundation Fully Buried in the Soil
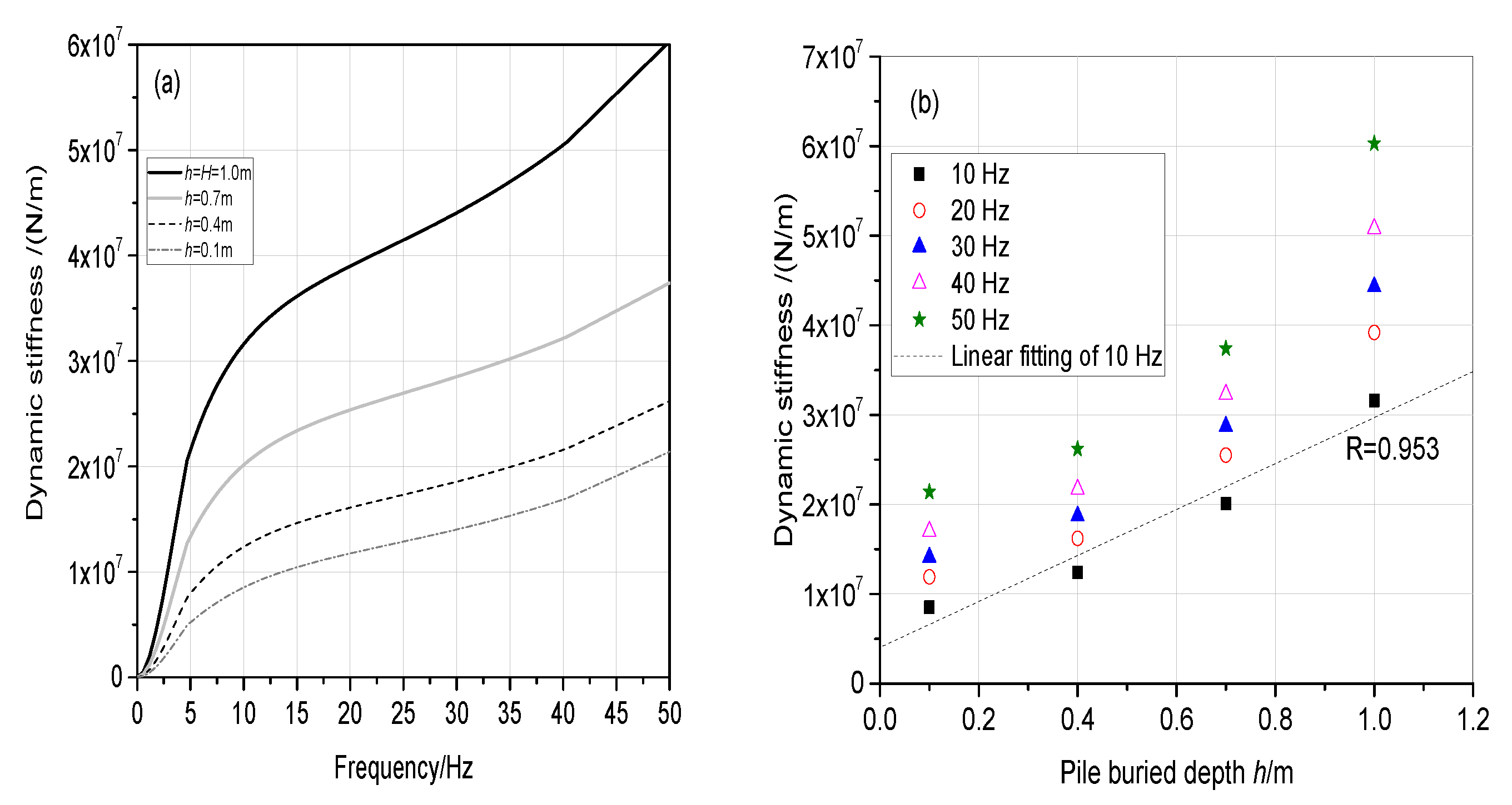
3.2. Change Foundation Constraint State
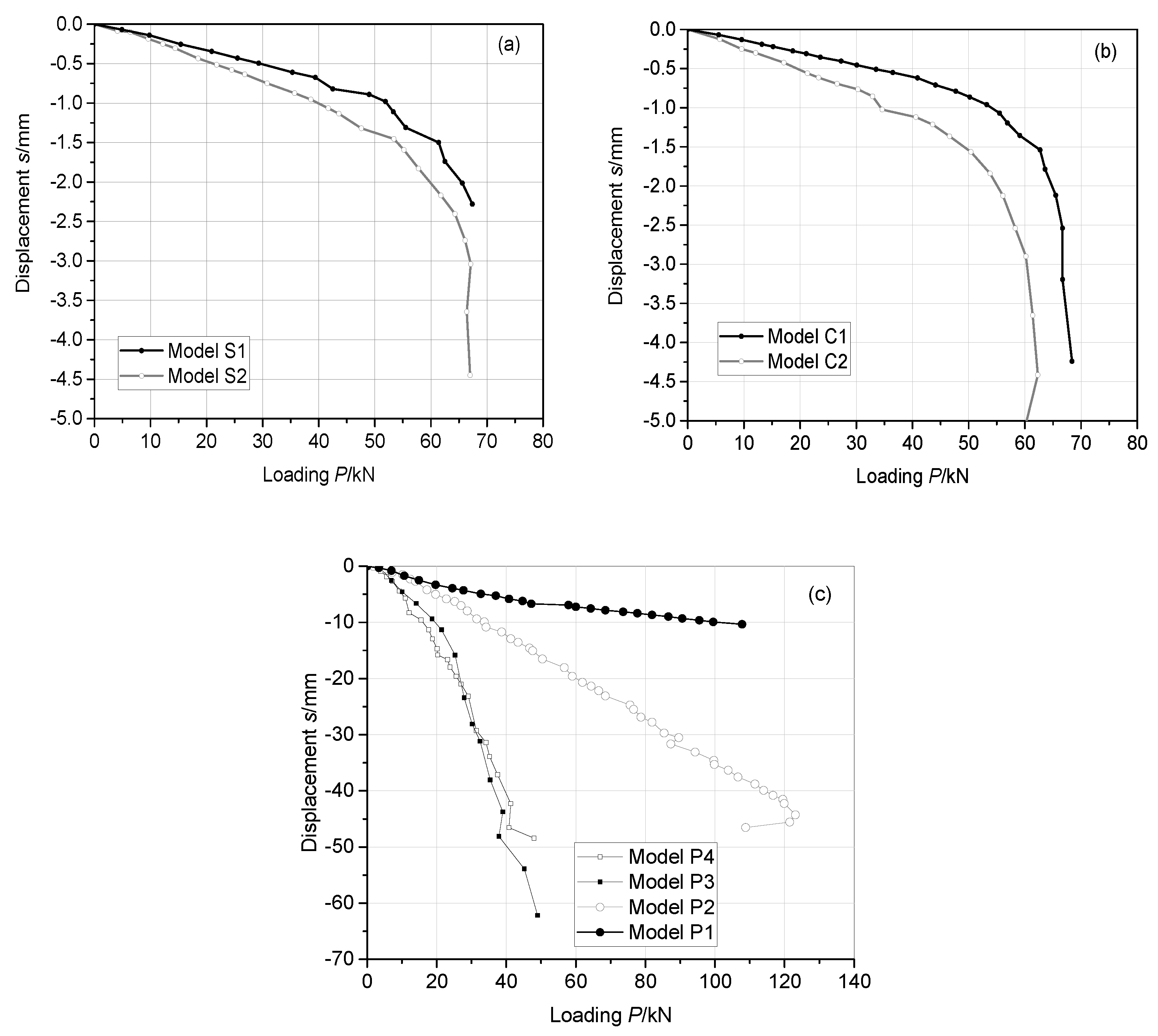
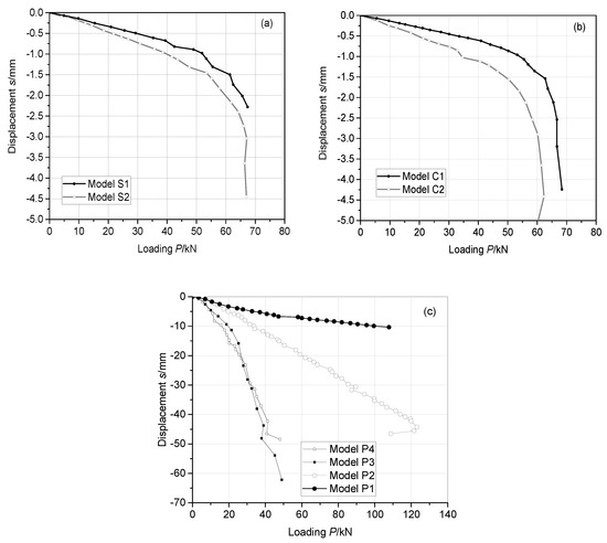
4. SLT Results
5. Conclusions
- The index of dynamic stiffness can adequately reflect the foundation bearing capacity. Further, it can recognise changes in the foundation constraint state, such as vertical supporting stiffness on the foundation bottom, side, or bottom contact area, pile length, and pile buried.
- There is an obvious correlation between the dynamic and static stiffnesses.
- The TRM can be employed to evaluate different foundation types, including spread, caisson, and grouped pile foundations.
Author Contributions
Funding
Institutional Review Board Statement
Informed Consent Statement
Data Availability Statement
Conflicts of Interest
References
- Carnevale, M.; Collina, A.; Peirlinck, T. A feasibility study of the drive-by method for damage detection in railway bridges. Appl. Sci. 2019, 9, 160. [Google Scholar] [CrossRef]
- Mousavi, M.; Holloway, D.; Olivier, J.C. Using a moving load to simultaneously detect location and severity of damage in a simply supported beam. J. Vib. Control. 2019, 25, 2108–2123. [Google Scholar] [CrossRef]
- Dai, G.L.; Gong, W.M.; Zhao, X.L.; Zhou, X. Static Testing of Pile-Base Post-Grouting Piles of the Suramadu Bridge. Geotech. Test. J. 2011, 34, 34–49. [Google Scholar]
- Chandrasekaran, S.; Banerjee, S. Retrofit optimization for resilience enhancement of bridges under multihazard scenario. J. Struct. Eng. 2016, 142, C4015012. [Google Scholar] [CrossRef]
- Jung, W.; Yune, C.; Lee, I. Evaluation of Performance Simulation for Bridge Substructure Due to Types of Scour. J. Korean Geoenviron. Soc. 2013, 14, 5–11. [Google Scholar]
- Zhang, X.Y.; Chen, X.C.; Wang, Y.; Ding, M.; Lu, J.; Ma, H. Quasi-static test of the precast-concrete pile foundation for railway bridge construction. Adv. Concr. Constr. 2020, 10, 49–59. [Google Scholar]
- Prendergast, L.J.; Gavin, K. A review of bridge scour monitoring techniques. Int. J. Rock Mech. Min. Sci. 2014, 6, 138–149. [Google Scholar] [CrossRef]
- Makris, N.; Badoni, D.; Delis, E.; Gazetas, G. Prediction of observed bridge response with soil-pile-structure interaction. J. Struct. Eng. 1994, 120, 2992–3011. [Google Scholar] [CrossRef]
- Guin, J.; Banerjee, P.K. Coupled soil-pile-structure interaction analysis under seismic excitation. J. Struct. Eng. 1998, 124, 434–444. [Google Scholar] [CrossRef]
- Dutta, S.C.; Roy, R. A critical review on idealization and modeling for interaction among soil–foundation–structure system. Comput. Struct. 2002, 80, 1579–1594. [Google Scholar] [CrossRef]
- Avent, R.R.; Alawady, M.; Guthrie, L. Underwater bridge deterioration and the impact of bridge inspection in Mississippi. Transp. Res. Rec. J. Transp. Res. Board 1997, 1597, 52–60. [Google Scholar] [CrossRef]
- Avent, R.R.; Alawady, M. Bridge scour and substructure deterioration: Case study. J. Bridge Eng. 2005, 10, 247–254. [Google Scholar] [CrossRef]
- Zhan, J.W.; Xia, H.; Yao, J.B. Damage evaluation of bridge foundations considering subsoil properties. In Environmental Vibrations: Prediction, Monitoring, Mitigation and Evaluation (ISEV 2005); Taylor & Francis: Milton Park, UK, 2005; pp. 271–277. [Google Scholar]
- Kien, P.H. Application of impact vibration test method for bridge substructure evaluation. MATEC Web Conf. 2017, 138, 02017. [Google Scholar] [CrossRef][Green Version]
- Lombaert, G.; Degrande, G.; Kogut, J.; Francois, S. The experimental validation of a numerical model for the prediction of railway induced vibrations. J. Sound Vib. 2006, 297, 512–535. [Google Scholar] [CrossRef]
- Ma, M.; Li, M.H.; Qu, X.Y.; Zhang, H.G. Effect of passing metro trains on uncertainty of vibration source intensity: Monitoring tests. Measurement 2022, 193, 110992. [Google Scholar] [CrossRef]
- Sanchez-Quesada, J.C.; Moliner, E.; Romero, A.; Galvin, P.; Martinez-Rodrigo, M.D. Ballasted track interaction effects in railway bridges with simply-supported spans composed by adjacent twin single-track decks. Eng. Struct. 2021, 247, 113062. [Google Scholar] [CrossRef]
- Xu, L.H.; Ma, M. Dynamic response of the multilayered half-space medium due to the spatially periodic harmonic moving load. Soil Dyn. Earthq. Eng. 2022, 157, 107246. [Google Scholar] [CrossRef]
- Olson, L.D. Dynamic Bridge Substructure Evaluation and Monitoring; FHWA-RD-03-089; US Department of Transportation Federal Highway Administration: Washington, DC, USA, 2005.
- Fellenius, B.H.; Harris, D.E.; Anderson, D.G. Static loading test on a 45 m long pipe pile in Sandpoint, Idaho. Can. Geotech. J. 2004, 41, 613–628. [Google Scholar] [CrossRef]
- Budi, G.S.; Kosasi, M.; Wijaya, D.H. Bearing capacity of pile foundations embedded in clays and sands layer predicted using PDA test and static load test. Procedia Eng. 2015, 125, 406–410. [Google Scholar] [CrossRef]
- Muszynski, Z.; Rybak, J. Application of geodetic measuring methods for reliable evaluation of static load test results of foundation piles. Remote Sens. 2021, 13, 3082. [Google Scholar] [CrossRef]
- Wang, Z.Y.; Zhang, N.; Cai, G.J.; Li, Q.; Wang, J. Assessment of CPTU and static load test methods for predicting ultimate bearing capacity of pile. Mar. Georesour. Geotechnol. 2016, 35, 738–745. [Google Scholar] [CrossRef]
- Liu, S.W.; Zhang, S.M.; Zhang, J. Analysis on modification of the measured results of test pile due to the influence of reaction piles in static loading test. Geotech. Test. J. 2016, 39, 712–720. [Google Scholar]
- Baca, M.; Brzakala, W.; Rybak, J. Bi-directional static load tests of pile models. Appl. Sci. 2020, 10, 5492. [Google Scholar] [CrossRef]
- Liang, R.Y. New wave equation technique for high strain impact testing of driven piles. Geotech. Test. J. 2003, 26, 111–117. [Google Scholar]
- Svinkin, M.R. High-strain dynamic pile testing—Problems and pitfalls. J. Perform. Constr. Facil. 2010, 24, 99. [Google Scholar] [CrossRef]
- Liang, L.; Beim, J. Effect of soil resistance on the low strain mobility response of piles using impulse transient response method. In Proceedings of the 8th International Conference on the Application of Stress Wave Theory to Piles, Lisbon, Portugal, 8–10 September 2008. [Google Scholar]
- Davis, A.G. The nondestructive impulse response test in North America:1985–2021. NDTE Int. 2003, 36, 185–193. [Google Scholar] [CrossRef]
- Geotechnical Control Office Foundation Design and Construction; GEO Publication: Hong Kong, China, 2006.
- Lo, K.F.; Ni, S.H.; Huang, Y.H. Non-destructive test for pile beneath bridge in the time, frequency, and time-frequency domains using transient loading. Nonlinear Dyn. 2010, 62, 349–360. [Google Scholar] [CrossRef]
- Liu, J.L.; Ma, M. Analysis of the dynamic stiffness and bearing capacity for pile foundations. Vibroeng. Procedia 2015, 5, 134–139. [Google Scholar]
- Ma, M.; Liu, J.; Ke, Z.; Gao, Y. Bearing capacity estimation of bridge piles using the impulse transient response method. Shock. Vib. 2016, 2016, 4187026. [Google Scholar] [CrossRef]
- Chu, J.H.; Ma, M.; Liu, J.B. Analysis of dynamic stiffness of bridge cap-pile system. Shock. Vib. 2018, 2018, 7645726. [Google Scholar] [CrossRef]
- Liu, J.L.; Ma, M. A full-scale experimental study of the vertical dynamic and static behavior of the pier-cap-piles system. Adv. Civ. Eng. 2020, 2020, 9430248. [Google Scholar] [CrossRef]
- Shi, L.; Qi, C. In-situ experimental investigation on pullout performances and horizontal bearing properties of bored piles. Springer Ser. Geomech. Geoengin. 2018, 204379, 234–247. [Google Scholar]























| Model | Dynamic Stiffness/(×107 N/m) | ||||
|---|---|---|---|---|---|
| 10 Hz | 20 Hz | 30 Hz | 40 Hz | 50 Hz | |
| Model S1 | 2.70 | 3.58 | 4.20 | 5.01 | 6.29 |
| Model S2 | 1.73 | 2.26 | 2.60 | 3.03 | 3.67 |
| Model C1 | 3.37 | 4.30 | 4.97 | 5.82 | 7.09 |
| Model C2 | 2.25 | 2.79 | 3.20 | 3.73 | 4.53 |
| Model P1 | 9.62 | 12.10 | 13.05 | 13.65 | 14.60 |
| Model P2 | 7.88 | 9.28 | 9.88 | 10.42 | 11.06 |
| Model P3 | 3.16 | 3.90 | 4.40 | 5.04 | 5.96 |
| Model P4 | 2.38 | 2.87 | 3.09 | 3.27 | 3.50 |
Publisher’s Note: MDPI stays neutral with regard to jurisdictional claims in published maps and institutional affiliations. |
© 2022 by the authors. Licensee MDPI, Basel, Switzerland. This article is an open access article distributed under the terms and conditions of the Creative Commons Attribution (CC BY) license (https://creativecommons.org/licenses/by/4.0/).
Share and Cite
Liu, J.; Ma, M. A Model Test of the Dynamic Stiffnesses and Bearing Capacities of Different Types of Bridge Foundations. Appl. Sci. 2022, 12, 4951. https://doi.org/10.3390/app12104951
Liu J, Ma M. A Model Test of the Dynamic Stiffnesses and Bearing Capacities of Different Types of Bridge Foundations. Applied Sciences. 2022; 12(10):4951. https://doi.org/10.3390/app12104951
Chicago/Turabian StyleLiu, Jianlei, and Meng Ma. 2022. "A Model Test of the Dynamic Stiffnesses and Bearing Capacities of Different Types of Bridge Foundations" Applied Sciences 12, no. 10: 4951. https://doi.org/10.3390/app12104951
APA StyleLiu, J., & Ma, M. (2022). A Model Test of the Dynamic Stiffnesses and Bearing Capacities of Different Types of Bridge Foundations. Applied Sciences, 12(10), 4951. https://doi.org/10.3390/app12104951

