Experimental Study of Mitigation of Wind-Induced Vibration in Asymmetric Cable-Stayed Bridge Using Sharp Wind Fairings
Abstract
:1. Introduction
2. Wind-Resistant Design Parameters and Modal Analysis
2.1. Determination of Basic Design Parameters
2.2. Modal Analysis
- (1)
- To gain further understanding of the inherent dynamic properties of bridge structures and to propose design solutions for improving wind resistance.
- (2)
- Provide design frequencies and vibration modes for sectional model and full bridge aeroelastic model testing.
- (3)
- Provide design parameters for calculating wind vibration response.
3. Sectional Model Wind Tunnel Test
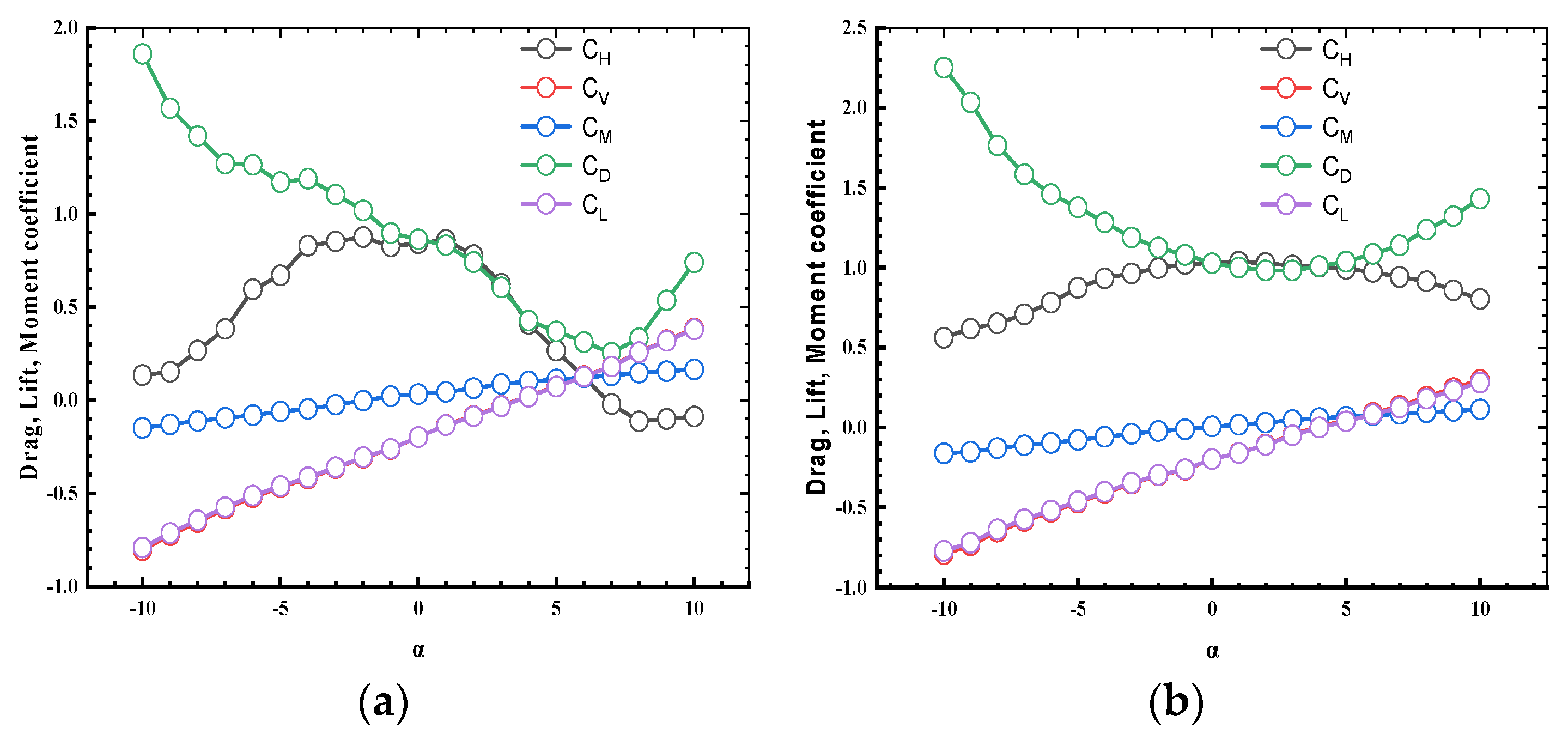
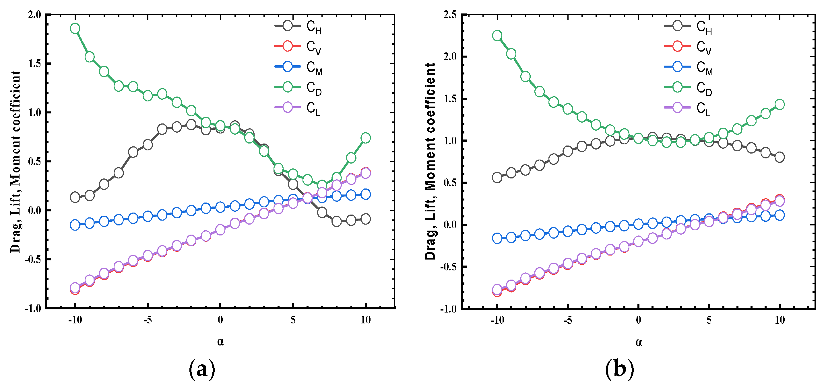
3.1. Aerodynamic Coefficient
3.2. Vortex-Induced Vibrations
3.3. Flutter Instability
4. Full Bridge Aeroelastic Model
4.1. Modelling Parameters
4.2. Model Design and Manufacture
4.3. Model Validation
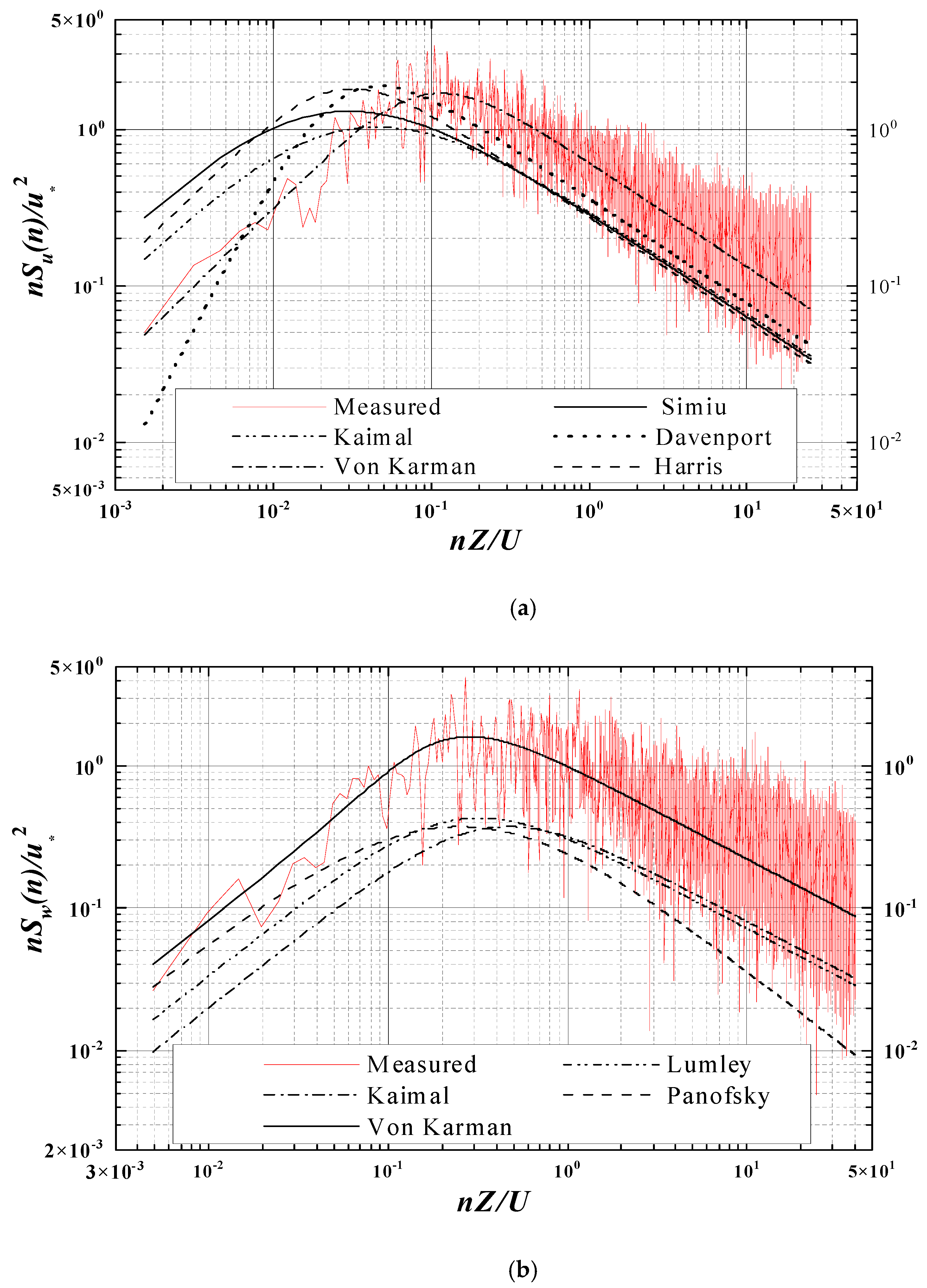
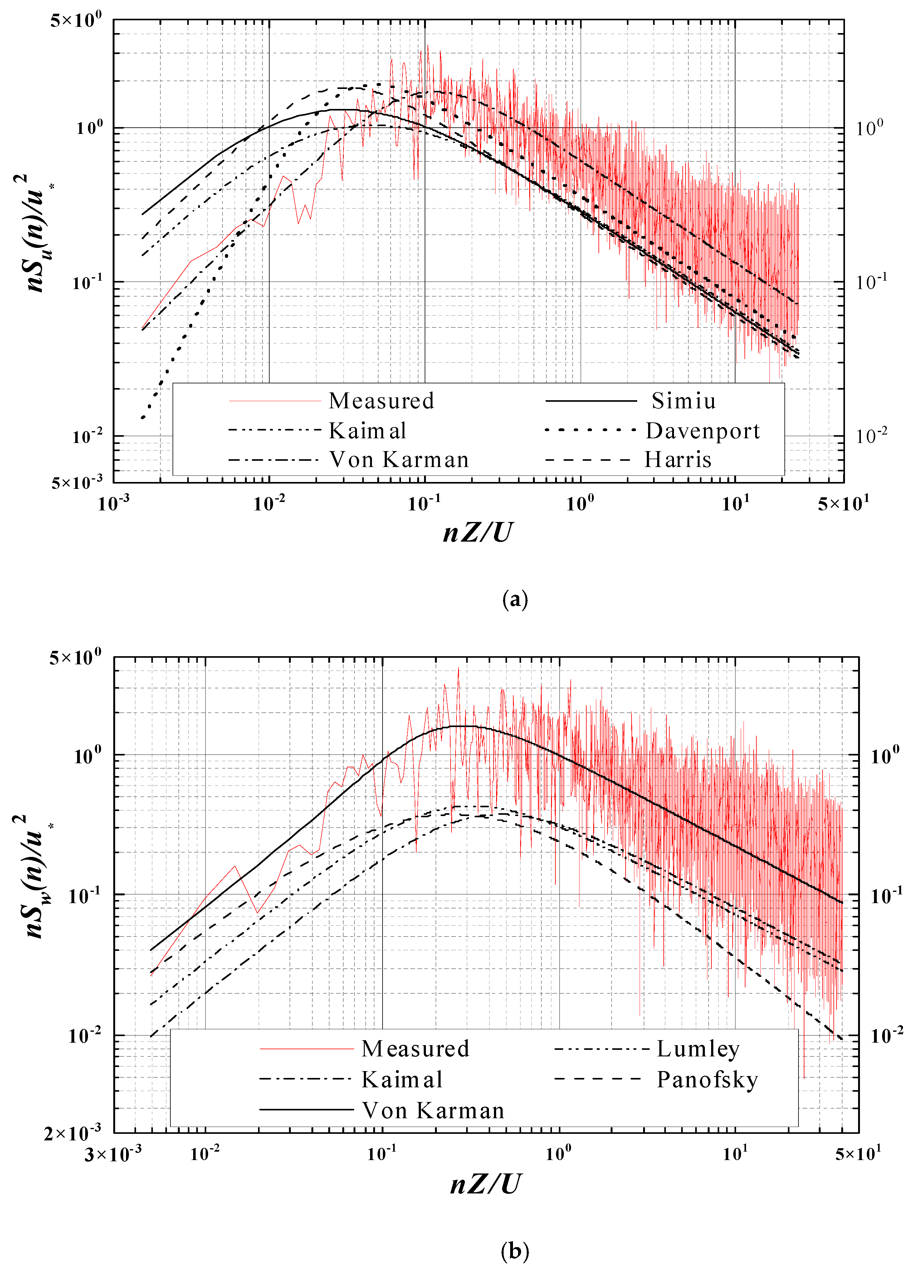
4.4. Simulation of Wind Field
4.5. Measurement Point Arrangement
5. Major Test Results and Findings
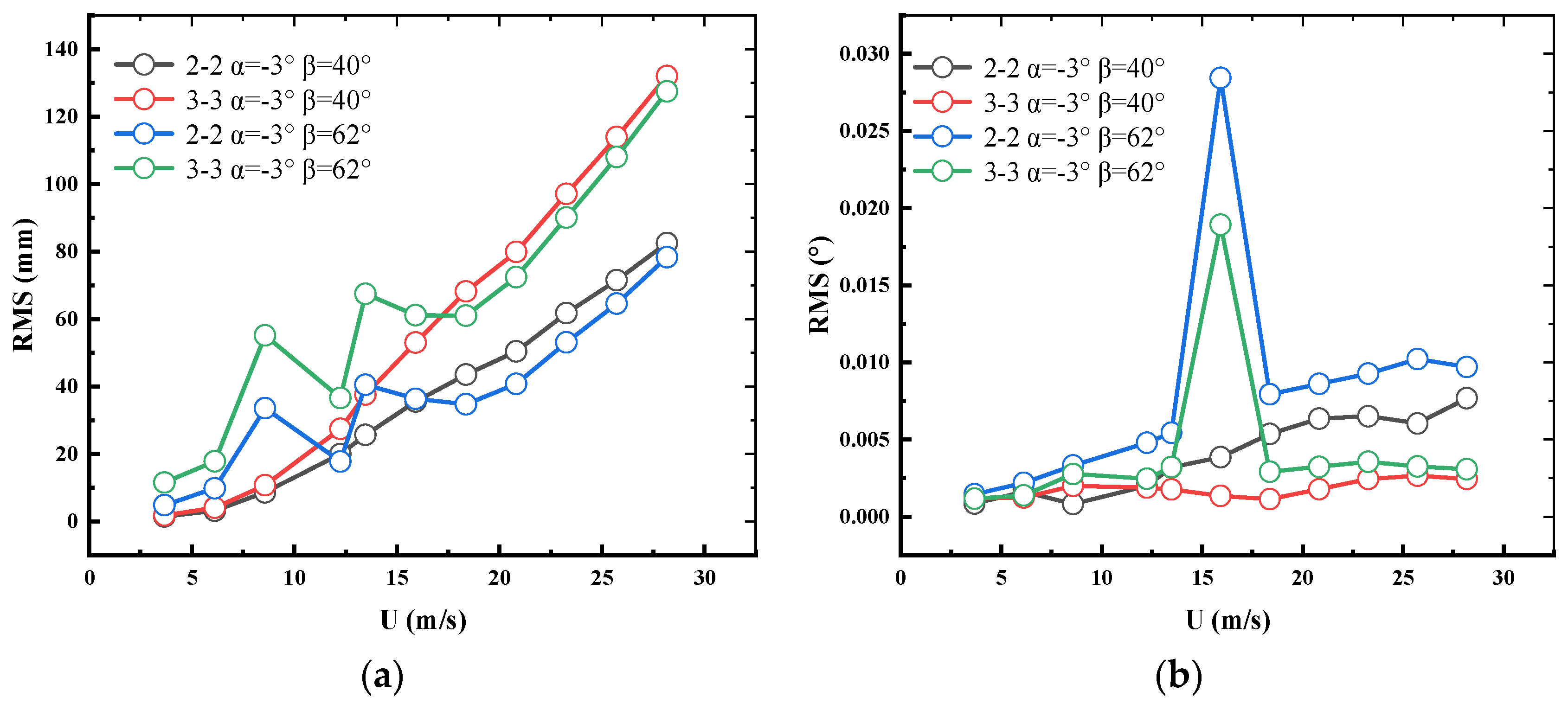
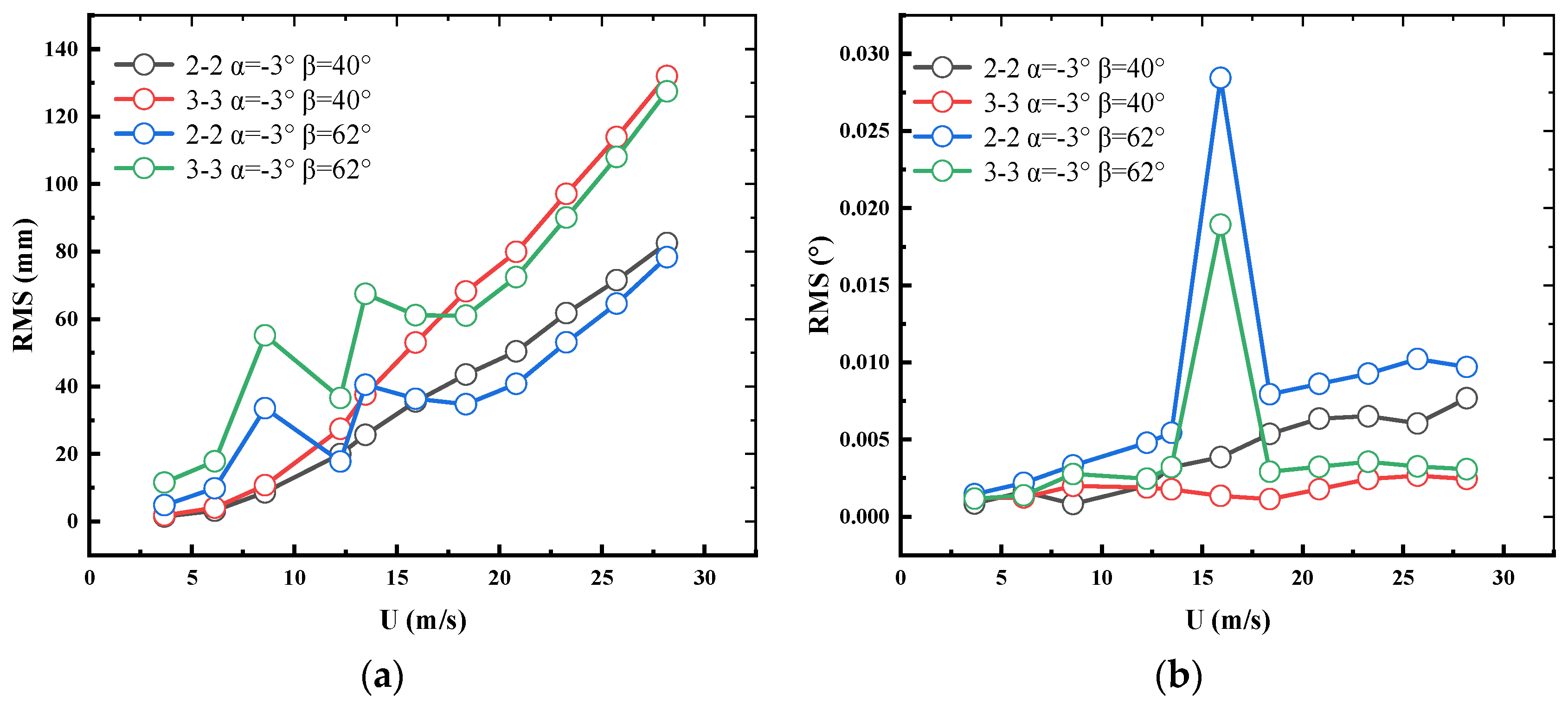
5.1. Vortex-Induced Vibrations in Uniform Wind
5.2. Flutter in Uniform Wind
5.3. Flutter in Simulated Turbulent Wind Field of Boundary Layer
6. Conclusions
- The modification of wind fairing angles will affect the VIV performance of the flat steel box girder cable-stayed bridge, according to the sectional model wind tunnel test. The vortex energy created by the sharper wind fairing under the influence of the incoming flow is smaller and has a higher frequency. The VIV can be efficiently mitigated by using sharper wind fairing. In this paper, however, just two distinct wind fairing angles are used to demonstrate how they affect VIV. It is necessary to do a more in-depth quantitative investigation of the law of VIV as they change with wind fairing angles.
- The bridge’s mode shapes are different from symmetrical structure, according to numerical calculations and mode tests. The maximum displacement of the of first torsion mode shape is at the closure rather than the mid-span due to the asymmetric structure. This conclusion was also supported by the results of the full bridge aeroelastic model testing.
- The bridge sectional model has a positive slope lift coefficient and moment coefficient, and the ratio of torsional and vertical frequency in the service state is larger than 2, indicating that it has stronger wind resistance stability. Furthermore, the flutter critical wind speed is substantially greater than the flutter checking wind speed under uniform and turbulent wind, according to the full bridge aeroelastic model testing. As a result, the bridge has enough aerodynamic stability in the service state.
- Uniform wind causes minimal amplitude vertical and torsional VIV that are substantially below the limits, while there is no VIV in the turbulent wind. Consequently, the odds of vertical or torsional VIV exceeding the permissible amplitude in the service state are exceedingly remote.
Author Contributions
Funding
Institutional Review Board Statement
Informed Consent Statement
Conflicts of Interest
Abbreviations
| Symbol | Description | Symbol | Description |
| Us10 | design basic wind speed of bridge | kc | conversion coefficient of basic wind speed surface category |
| U10 | basic wind speed | Ud | the design reference wind speed |
| kf | wind resistance risk factor | Z | base height of component |
| α0 | exponent of mean wind profile | Uf | flutter checking wind speed |
| γf | partial coefficient of flutter stability | γt | partial coefficient of spatial influence of wind speed fluctuation |
| γα | partial coefficient of attack angle effect | CH | drag coefficient(body axis) |
| CV | lift coefficient(body axis) | CM | moment coefficient |
| CD | drag coefficient(wind axis) | CL | lift coefficient(wind axis) |
| hv | vertical VIV amplitude | γv | the VIV coefficient |
| fv | first vertical mode frequency | θt | torsional VIV amplitude |
| ft | first torsional mode frequency | B | section width |
References
- Larsen, A.; Esdahl, S.; Andersen, J.E.; Vejrum, T. Storeblt suspension bridge—Vortex shedding excitation and mitigation by guide vanes. J. Wind Eng. Ind. Aerodyn. 2000, 88, 283–296. [Google Scholar] [CrossRef]
- Larsen, A. Aerodynamic aspects of the final design of the 1624 m suspension bridge across the Great Belt. J. Wind Eng. Ind. Aerodyn. 1993, 48, 261–285. [Google Scholar] [CrossRef]
- Li, H.; Laima, S.; Ou, J.; Zhao, X.; Zhou, W.; Yu, Y.; Li, N.; Liu, Z. Investigation of vortex-induced vibration of a suspension bridge with two separated steel box girders based on field measurements. Eng. Struct. 2011, 33, 1894–1907. [Google Scholar] [CrossRef]
- Li, H.; Laima, S.; Zhang, Q.; Li, N.; Liu, Z. Field monitoring and validation of vortex-induced vibrations of a long-span suspension bridge. J. Wind Eng. Ind. Aerodyn. 2014, 124, 54–67. [Google Scholar] [CrossRef]
- Ge, Y.; Zhu, L.; Xu, K. Review and Reflection on Vortex-induced Vibration of Main Girders of Long-span Bridges. China J. Highw. Transp. 2019, 32, 1–18. [Google Scholar] [CrossRef]
- Zhu, L.; Wang, M.; Wang, D.; Guo, Z.; Cao, F. Flutter and buffeting performances of Third Nanjing Bridge over Yangtze River under yaw wind via aeroelastic model test. J. Wind Eng. Ind. Aerodyn. 2007, 95, 1579–1606. [Google Scholar] [CrossRef]
- Scanlan, R. FHWA-RD-80-50 Final Report; FHWA: Washington, DC, USA, 1981. [Google Scholar]
- Vickery, B.; Basu, R. Across-wind vibrations of structures of circular cross-section. Part I. Development of a mathematical model for two-dimensional conditions. J. Wind Eng. Ind. Aerodyn. 1983, 12, 49–73. [Google Scholar] [CrossRef]
- Diana, G.; Resta, F.; Belloli, M.; Rocchi, D. On the vortex shedding forcing on suspension bridge deck. J. Wind Eng. Ind. Aerodyn. 2006, 94, 341–363. [Google Scholar] [CrossRef]
- Meng, X. Nonliner Behavior and Mechanism of Vertical Vortex-Induced Vibration of Longspan Steel-Box-Deck Bridges; Tongji University: Shanghai, China, 2013. [Google Scholar]
- Liu, Y. Non-linear Aerodynamic Model and Non-stationary Whole-process Wind Response of Long-Span Bridges; Tongji University: Shanghai, China, 2014. [Google Scholar]
- Yan, L.; Zhu, L.; He, X.; Flay, R. Experimental determination of aerodynamic admittance functions of a bridge deck considering oscillation effect. J. Wind Eng. Ind. Aerodyn. 2019, 190, 83–97. [Google Scholar] [CrossRef]
- Kavrakov, I.; Argentini, T.; Omarini, S.; Rocchi, D.; Morgenthal, G. Determination of complex aerodynamic admittance of bridge decks under deterministic gusts using the Vortex Particle Method. J. Wind Eng. Ind. Aerodyn. 2019, 193, 103971. [Google Scholar] [CrossRef] [Green Version]
- Wang, Q. The Study on Nonlinear Motion-Induced Aerodynamic Force and Nonlinear Aerodynamic Stability of Long-Span Bridge Girder. Doctor Dissertation, Southwest Jiaotong University, Chengdu, China, 2011. [Google Scholar] [CrossRef]
- Zhu, L.; Gao, G. A nonlinear self-excited force model for soft flutter phenomenon of a twin-side-girder bridge section. J. Vib. Shock 2016, 35, 29–35. [Google Scholar] [CrossRef]
- Gao, G.; Zhu, L.; Han, W.; Li, J. Nonlinear post-flutter behavior and self-excited force model of a twin-side-girder bridge deck. J. Wind Eng. Ind. Aerodyn. 2018, 177, 227–241. [Google Scholar] [CrossRef]
- Diana, G.; Rocchi, D.; Argentini, T.; Muggiasca, S. Aerodynamic instability of a bridge deck section model: Linear and nonlinear approach to force modeling. J. Wind Eng. Ind. Aerodyn. 2010, 98, 363–374. [Google Scholar] [CrossRef]
- Laima, S.; Li, H.; Chen, W.; Ou, J. Effects of attachments on aerodynamic characteristics and vortex-induced vibration of twin-box girder. J. Fluids Struct. 2018, 77, 115–133. [Google Scholar] [CrossRef]
- Hu, C.; Zhao, L.; Ge, Y. Mechanism of suppression of vortex-induced vibrations of a streamlined closed-box girder using additional small-scale components. J. Wind Eng. Ind. Aerodyn. 2019, 189, 314–331. [Google Scholar] [CrossRef]
- He, X.; Zhang, B.; Zou, Y.; Yi, L.; Cai, C. Experimental Research on Wind-resistant Performance of mainBridge of Wuhu Changjiang River rail- Road bridge. Bridge Constr. 2019, 49, 6. [Google Scholar]
- Song, J.; Ding, W.; Ding, Q.; Zhou, Z.; Zhao, L.; Xu, J. Experimental study on wind resistance of Hubei Jingyue Yangtze River Highway Bridge. In Proceedings of the 15th National Conference on Structural Wind Engineering, Beijing, China, 1–6 September 2019. [Google Scholar]
- Wang, X.; Zeng, Y. Study on vortex induced vibration characteristics and vibration control measures of main girder of Luzhou Huangyi Changjiang River Bridge. HIGHWAY 2018, 63, 4. [Google Scholar]
- Larsen, A.; Larose, G. Dynamic wind effects on suspension and cable-stayed bridges. J. Sound Vib. 2015, 334, 2–28. [Google Scholar] [CrossRef]
- Wang, Q.; Liao, H.; Li, M.; Ma, C. Influence of Aerodynamic Shape of Streamline Box Girder on Bridge Flutter and Vortex-induced Vibration. J. Highw. Transp. Res. Dev. 2012, 29, 44–50. [Google Scholar] [CrossRef]
- Meng, X.L.; Guo, Z.S.; Ding, Q.S.; Zhu, L.D. Influence of windfairing angle on vortex-induced vibrations and flutter performances of closed and semi-closed box decks. Eng. Mech. 2011, 28, 184–188. [Google Scholar]
- Diana, G.; Yamasaki, Y.; Larsen, A.; Rocchi, D.; Giappino, S.; Argentini, T.; Pagani, A.; Villani, M.; Somaschini, C.; Portentoso, M. Construction stages of the long span suspension Izmit Bay Bridge: Wind tunnel test assessment. J. Wind Eng. Ind. Aerodyn. 2013, 123, 300–310. [Google Scholar] [CrossRef]
- Sham, S.; Wyatt, T.A. Construction aerodynamics of cable-stayed bridges for record spans: Stonecutters Bridge. Structures 2016, 8, 94–110. [Google Scholar] [CrossRef]
- Tang, H.; Zhang, H.; Mo, W.; Li, Y. Flutter performance of box girders with different wind fairings at large angles of attack. Wind Struct. 2021, 32, 509–520. [Google Scholar] [CrossRef]
- Li, Y.; Chen, K.; Wang, B. Optimal measures for vortex-induced vibration of a bluff girder with separated twin-box. J. Vib. Shock 2018, 37, 7. [Google Scholar]
- Sato, H. Wind-resistant design manual for highway bridges in Japan. J. Wind Eng. Ind. Aerodyn. 2003, 91, 1499–1509. [Google Scholar] [CrossRef]
- Chen, Z.; Huang, Z. Analysis of main Factors Influencing Allowable magnitude ofVertical Vortex- induced Vibration of long- span bridges. China J. Highw. Transp. 2015, 28, 8. [Google Scholar]
- Fujino, Y.; Siringoringo, D. Vibration Mechanisms and Controls of Long-Span Bridges: A Review. Struct. Eng. Int. J. Int. Assoc. Bridge Struct. Eng. 2013, 23, 248–268. [Google Scholar] [CrossRef]
- Simiu, E.; Scanlan, R.H. Wind Effects on Structures: Fundamentals and Applications to Design; Wiley: New York, NY, USA, 1996. [Google Scholar]
- Morfiadakis, E.E.; Glinou, G.L.; Koulouvari, M.J. The suitability of the von Karman spectrum for the structure of turbulence in a complex terrain wind farm. J. Wind Eng. Ind. Aerodyn. 1996, 62, 237–257. [Google Scholar] [CrossRef]
- Kaimal, J.C.; Wyngaard, J.C.; Izumi, Y.; Coté, O. Spectral characteristics of surface-layer turbulence. Q. J. R. Meteorol. Soc. 1972, 98, 563–589. [Google Scholar] [CrossRef]





















| States | Design Reference Wind Speed (m/s) | flutter Checking Wind Speed (m/s) | Static Wind Instability Test Wind Speed (m/s) |
|---|---|---|---|
| construction | 32.21 | 41.39 | 45.34 |
| service | 39.88 | 58.24 | 63.81 |
| Construction | Service | ||
|---|---|---|---|
| Mode Shape | Frequency (Hz) | Mode Shape | Frequency (Hz) |
| L1 | 0.1869 | V2-S | 0.2809 |
| V2 | 0.2688 | L3-S | 0.3613 |
| V4 | 0.4303 | V5-A | 0.4008 |
| T5 | 0.6030 | T8-S | 0.6268 |
| T14 | 1.4145 | T11-A | 0.9377 |
| States | Wind Attack Angle | Flow Field | Wind Speed Ratio | Vortex Vibration Limit | |
|---|---|---|---|---|---|
| Vertical (m) | Torsional (Deg) | ||||
| construction | −5°, −3°, 0°,+3°, +5° | 41.39 | 1:2.2 | 0.1488 | 0.1684 |
| service | −5°, −3°, 0°,+3°, +5° | 58.24 | 1:2.5 | 0.1424 | 0.1620 |
| Attack Angle | Construction | Service | ||||
|---|---|---|---|---|---|---|
| Test Critical Wind Speed (m/s) | Real Bridge Critical Wind Speed (m/s) | Flutter Checking Wind Speed (m/s) | Test Critical Wind Speed (m/s) | Real Bridge Critical Wind Speed (m/s) | Flutter Checking Wind Speed (m/s) | |
| >12 | >55.20 | 41.39 | >14 | >74.20 | 58.24 | |
| >12 | >55.20 | >14 | >74.20 | |||
| >12 | >55.20 | >14 | >74.20 | |||
| Property | Name | Scaling Factor | Value | Property | Name | Scaling Factor | Value |
|---|---|---|---|---|---|---|---|
| Length | λL | — | 1/150 | Frequency | λf | 1/(λL/λV) | 1501/2/1 |
| Wind speed | λV | λL1/2 | 1/1501/2 | Damping ratio | λξ | — | 1/1 |
| Density | λρ | — | 1/1 | Time | λt | — | 1/1501/2 |
| Mass per unit length | λm | λρ × λL2 | 1/1502 | Mass moment of inertia per unit length | λJ | λρ × λL4 | 1/1504 |
| Axial stiffness | λEA | λρ × λV2 × λL2 | 1/1503 | Torsional stiffness | λGJ | λρ × λV2 × λL4 | 1/1505 |
| Acceleration | λa | — | 1/1 | Bending stiffness | λEI | λρ × λV2 × λL4 | 1/1505 |
| Length | λL | — | 1/150 | Frequency | λf | 1/(λL/λV) | 1501/2/1 |
| Modes | Computed Frequency of Prototype | Design Values | Measured Values | Discrepancy (%) | Limit (%) | Damping Ratio (%) |
|---|---|---|---|---|---|---|
| 1V-S | 0.2809 | 3.440 | 3.312 | 3.73 | 5.00 | 0.75 |
| 2L-S | 0.3613 | 4.425 | 4.396 | 0.66 | 5.00 | — |
| 3V-A | 0.4008 | 4.909 | 4.940 | −0.64 | 5.00 | 0.90 |
| 4T-S | 0.6268 | 7.677 | 8.063 | −5.02 | 5.00 | 0.83 |
| 5T-A | 0.9378 | 11.486 | — | — | 5.00 | — |
Publisher’s Note: MDPI stays neutral with regard to jurisdictional claims in published maps and institutional affiliations. |
© 2021 by the authors. Licensee MDPI, Basel, Switzerland. This article is an open access article distributed under the terms and conditions of the Creative Commons Attribution (CC BY) license (https://creativecommons.org/licenses/by/4.0/).
Share and Cite
Zhao, G.; Wang, Z.; Zhu, S.; Hao, J.; Wang, J. Experimental Study of Mitigation of Wind-Induced Vibration in Asymmetric Cable-Stayed Bridge Using Sharp Wind Fairings. Appl. Sci. 2022, 12, 242. https://doi.org/10.3390/app12010242
Zhao G, Wang Z, Zhu S, Hao J, Wang J. Experimental Study of Mitigation of Wind-Induced Vibration in Asymmetric Cable-Stayed Bridge Using Sharp Wind Fairings. Applied Sciences. 2022; 12(1):242. https://doi.org/10.3390/app12010242
Chicago/Turabian StyleZhao, Guohui, Zhichao Wang, Shuo Zhu, Jianming Hao, and Jun Wang. 2022. "Experimental Study of Mitigation of Wind-Induced Vibration in Asymmetric Cable-Stayed Bridge Using Sharp Wind Fairings" Applied Sciences 12, no. 1: 242. https://doi.org/10.3390/app12010242
APA StyleZhao, G., Wang, Z., Zhu, S., Hao, J., & Wang, J. (2022). Experimental Study of Mitigation of Wind-Induced Vibration in Asymmetric Cable-Stayed Bridge Using Sharp Wind Fairings. Applied Sciences, 12(1), 242. https://doi.org/10.3390/app12010242

