A Method for the Design and Optimization of Nonlinear Tuned Damping Concepts to Mitigate Self-Excited Drill String Vibrations Using Multiple Scales Lindstedt-Poincaré
Abstract
1. Introduction
2. Modeling
2.1. Extended Drill String Model
2.2. Minimal Model of a Drill String and Damper
2.3. Adaption and Simplification of the Minimal Model
3. Applying Multiple Scales Lindstedt-Poincarè
3.1. Multiple Scales Lindstedt-Poincarè
3.2. Applying MSLP on the Damper with Cubic Nonlinearity
3.3. Including Friction in MSLP
4. Advantages and Limitations of MSLP
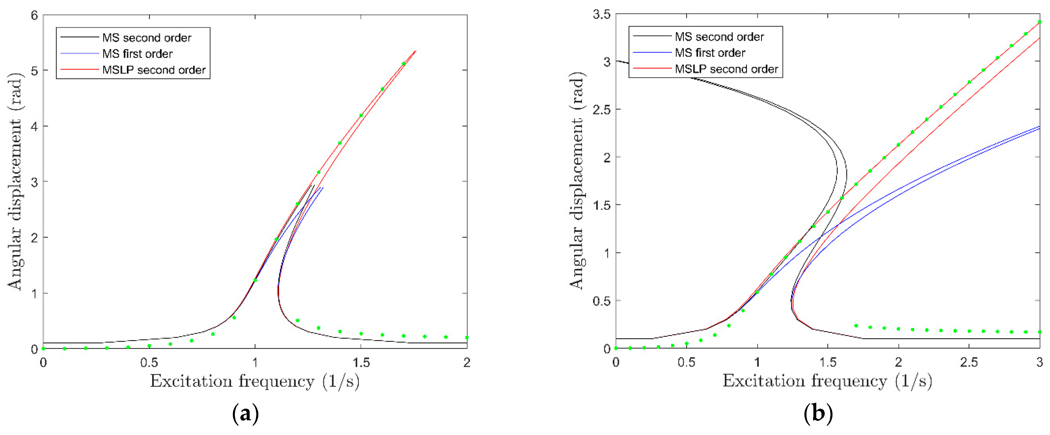
4.1. Comparing MSLP and MS
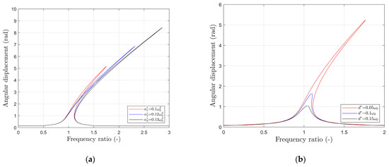
4.2. Limits of the Operating Range
4.3. Parameter Dependency of the Operating Range
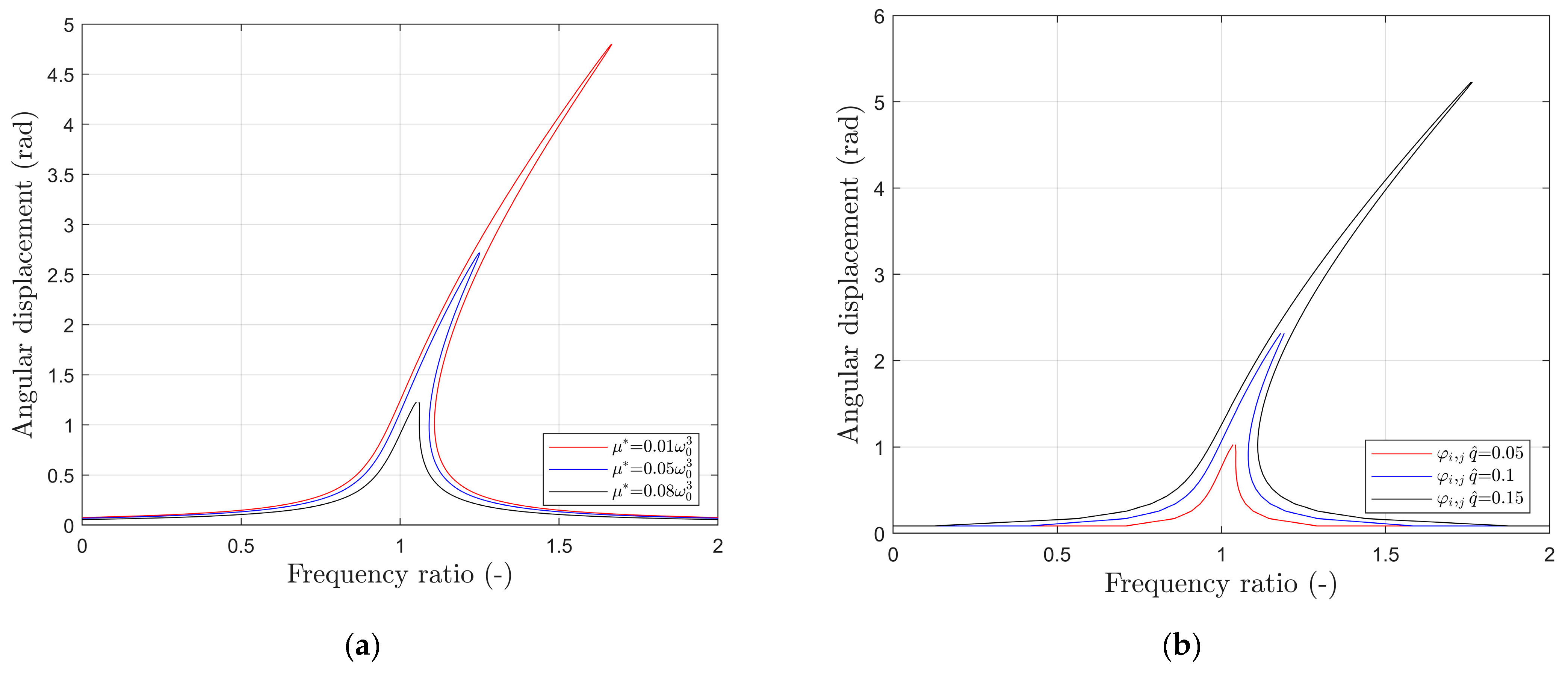
5. Parameter Influences
5.1. Influence and Normalization of the Angular Natural Frequency
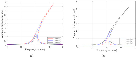
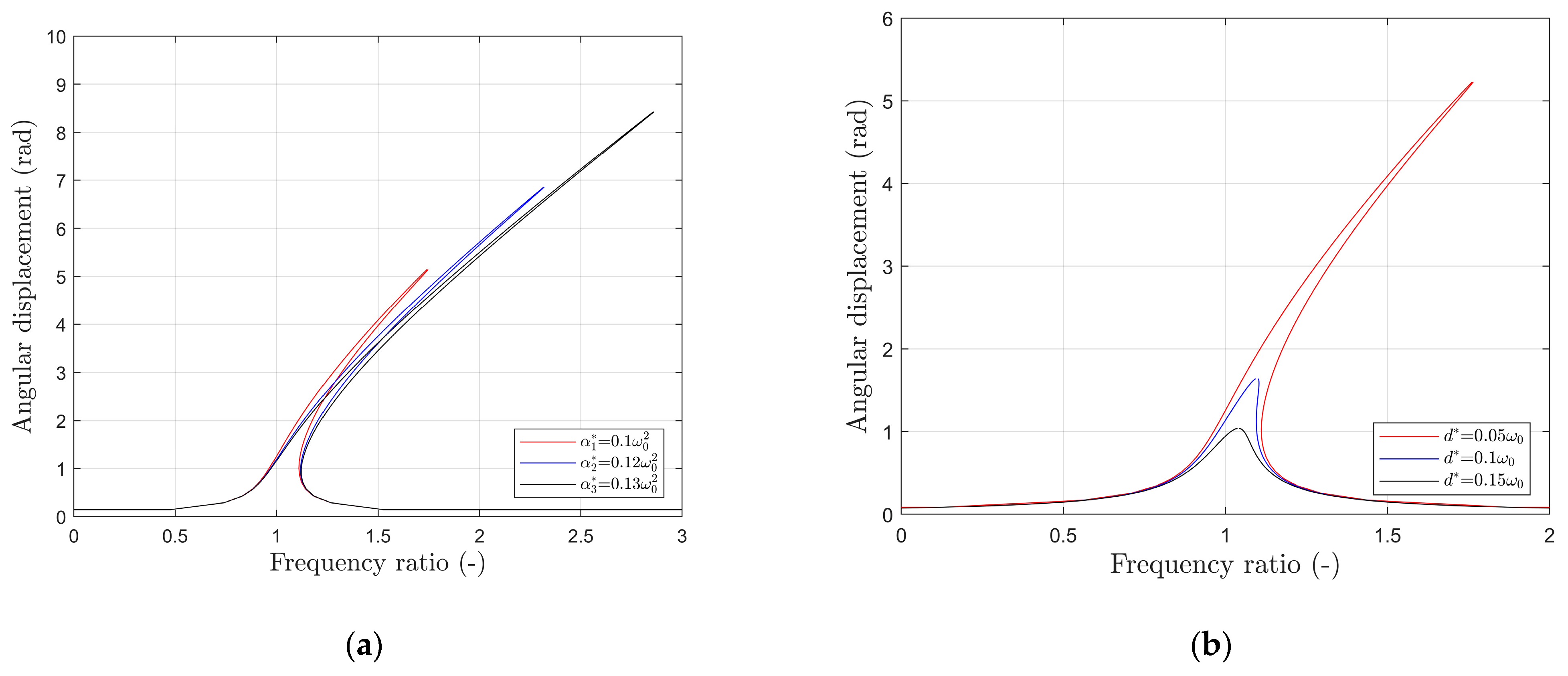
5.2. Influence of the Normalized Parameters on the Dynamic Response of the Damper
6. Transfer to Self-Excited Drill String Vibrations
6.1. Energy Dissipation and Equivalent Damping
6.2. Influence of the Critical Torsional Mode
6.3. Comparison with Time Domain Simulations
6.4. Damper Design for Self-Excited Drill String Vibrations
7. Conclusions
Author Contributions
Funding
Acknowledgments
Conflicts of Interest
References
- Reckmann, H.; Jogi, P.; Kpetehoto, F.T.; Chandrasekaran, S.; Macpherson, J.D. MWD Failure Rates Due to Drilling Dynamics. In Proceedings of the IADC/SPE Drilling Conference and Exhibition, New Orleans, LA, USA, 2–4 February 2010; Society of Petroleum Engineers: Richardson, TX, USA, 2010. [Google Scholar]
- Bowler, A.I.; Logesparan, L.; Sugiura, J.; Jeffryes, B.P.; Harmer, R.J.; Ignova, M. Continuous High-Frequency Measurements of the Drilling Process Provide New Insights into Drilling System Response and Transitions between Vibration Modes. In Proceedings of the SPE Annual Technical Conference and Exhibition, Amsterdam, The Netherlands, 27 October 2014; Society of Petroleum Engineers: Richardson, TX, USA, 2014. [Google Scholar]
- Cunningham, R.A. Analysis of Downhole Measurements of Drill String Forces and Motions. J. Eng. Ind. 1968, 90, 208–216. [Google Scholar] [CrossRef]
- Dareing, D.W.; Livesay, B.J. Longitudinal and Angular Drill-String Vibrations with Damping. J. Eng. Ind. 1968, 90, 671–679. [Google Scholar] [CrossRef]
- Hohl, A.; Kulke, V.; Kueck, A.; Heinisch, D.; Herbig, C.; Ostermeyer, G.-P.; Reckmann, H. Best Practices for Operations in HFTO Prone Applications. Available online: https://onepetro.org/SPEAPOG/proceedings-abstract/20APOG/3-20APOG/D033S024R001/451737 (accessed on 9 February 2021).
- Ritto, T.G.; Soize, C.; Sampaio, R. Probabilistic model identification of the bit–rock-interaction-model uncertainties in nonlinear dynamics of a drill-string. Mech. Res. Commun. 2010, 37, 584–589. [Google Scholar] [CrossRef]
- Fu, C.; Xu, Y.; Yang, Y.; Lu, K.; Gu, F.; Ball, A. Response analysis of an accelerating unbalanced rotating system with both random and interval variables. J. Sound Vib. 2020, 466, 115047. [Google Scholar] [CrossRef]
- Hohl, A.; Tergeist, M.; Oueslati, H.; Jain, J.R.; Herbig, C.; Ostermeyer, G.-P.; Reckmann, H. Derivation and experimental validation of an analytical criterion for the identification of self-excited modes in drilling systems. J. Sound Vib. 2015, 342, 290–302. [Google Scholar] [CrossRef]
- Zhang, Z.; Shen, Y.; Chen, W.; Shi, J.; Bonstaff, W.; Tang, K.; Smith, D.L.; Arevalo, Y.I.; Jeffryes, B. Continuous High Frequency Measurement Improves Understanding of High Frequency Torsional Oscillation in North America Land Drilling. In Proceedings of the SPE Annual Technical Conference and Exhibition, San Antonio, TX, USA, 9 October 2017; Society of Petroleum Engineers: Richardson, TX, USA, 2017. [Google Scholar]
- Ledgerwood, L.W.; Hoffmann, O.J.-m.; Jain, J.R.; El Hakam, C.; Herbig, C.; Spencer, R. Downhole Vibration Measurement, Monitoring, and Modeling Reveal Stick/Slip as a Primary Cause of PDC-Bit Damage in Today. In Proceedings of the SPE Annual Technical Conference and Exhibition, Florence, Italy, 19 September 2019; Society of Petroleum Engineers: Richardson, TX, USA, 2010. [Google Scholar]
- Pastusek, P.E.; Sullivan, E.; Harris, T.M. Development and Utilization of a Bit Based Data Acquisition System in Hard Rock PDC Applications. In Proceedings of the SPE/IADC Drilling Conference, Amsterdam, The Netherlands, 20 February 2007; Society of Petroleum Engineers: Richardson, TX, USA, 2007. [Google Scholar]
- Dennis, H.; Mathäus, W.; Christian, H.; Andreas, H.; Hanno, R. High-Frequency Torsional Oscillation Laboratory Testing of an Entire Bottom Hole Assembly. In Proceedings of the Abu Dhabi International Petroleum Exhibition & Conference, Abu Dhabi, United Arab Emirates, 13 November 2017; Society of Petroleum Engineers: Richardson, TX, USA, 2017. [Google Scholar]
- Heinisch, D.; Kulke, V.; Peters, V.; Hohl, A.; Schepelmann, C.; Reckmann, H.; Ostermeyer, G.-P. Simulation and Testing of an Isolator Tool for High-Frequency Torsional Oscillation. In Proceedings of the Abu Dhabi International Petroleum Exhibition & Conference, Abu Dhabi, United Arab Emirates, 12 November 2018; Society of Petroleum Engineers: Richardson, TX, USA, 2018. [Google Scholar]
- Jain, J.R.; Oueslati, H.; Hohl, A.; Reckmann, H.; Ledgerwood III, L.W.; Tergeist, M.; Ostermeyer, I.h.G.-P.; Ostermeyer, G.P. High-Frequency Torsional Dynamics of Drilling Systems: An Analysis of the Bit-System Interaction. In Proceedings of the IADC/SPE Drilling Conference and Exhibition, Fort Worth, TX, USA, 4 March 2014; Society of Petroleum Engineers: Richardson, TX, USA, 2014. [Google Scholar]
- Oueslati, H.; Jain, J.R.; Reckmann, H.; Ledgerwood, L.W.; Pessier, R.; Chandrasekaran, S. New Insights into Drilling Dynamics Through High-Frequency Vibration Measurement and Modeling. In Proceedings of the SPE Annual Technical Conference and Exhibition, New Orleans, LA, USA, 30 September 2013; Society of Petroleum Engineers: Richardson, TX, USA, 2013. [Google Scholar]
- Hohl, A.; Tergeist, M.; Oueslati, H.; Herbig, C.; Ichaoui, M.; Ostermeyer, G.-P.; Reckmann, H. Prediction and Mitigation of Torsional Vibrations in Drilling Systems. In Proceedings of the IADC/SPE Drilling Conference and Exhibition, Fort Worth, TX, USA, 1 March 2016; Society of Petroleum Engineers: Richardson, TX, USA, 2016. [Google Scholar]
- Hohl, A.; Herbig, C.; Arevalo, P.; Reckmann, H.; Macpherson, J. Measurement of Dynamics Phenomena in Downhole Tools - Requirements, Theory and Interpretation. In Proceedings of the IADC/SPE Drilling Conference and Exhibition, Fort Worth, TX, USA, 6 March 2018; Society of Petroleum Engineers: Richardson, TX, USA, 2018. [Google Scholar]
- Andreas, H.; Eric, P.; Pedro, A. Real-Time System to Calculate the Maximum Load of High-Frequency Torsional Oscillations Independent of Sensor Positioning. In Proceedings of the SPE/IADC International Drilling Conference and Exhibition, Hague, The Netherlands, 4 March 2019; Society of Petroleum Engineers: Richardson, TX, USA, 2019. [Google Scholar]
- Hohl, A.; Kulke, V.; Kueck, A.; Herbig, C.; Reckmann, H.; Ostermeyer, G.-P. The Nature of the Interaction Between Stick/Slip and High-Frequency Torsional Oscillations. In Proceedings of the IADC/SPE International Drilling Conference and Exhibition, Galveston, TX, USA, 25 February 2020; Society of Petroleum Engineers: Richardson, TX, USA, 2020. [Google Scholar]
- Tondl, A. Quenching of self-excited vibrations equilibrium aspects. J. Sound Vib. 1975, 42, 251–260. [Google Scholar] [CrossRef]
- Tondl, A. Quenching of self-excited vibrations: Effect of dry friction. J. Sound Vib. 1976, 45, 285–294. [Google Scholar] [CrossRef]
- Kulke, V.; Ostermeyer, G.-P.; Tergeist, M.; Hohl, A. Semi-Analytical Approach for Derivation of an Equivalent Modal Friction-Damping Ratio and its Application in a Self-Excited Drilling System. In Volume 4: Dynamics, Vibration, and Control, Proceedings of the ASME 2019 International Mechanical Engineering Congress and Exposition, Salt Lake City, UT, USA, 11–14 November 2019; American Society of Mechanical Engineers: New York, NY, USA, 2019; ISBN 978-0-7918-5941-4. [Google Scholar]
- Kim, W.-J.; Perkins, N.C. Harmonic balance/Galerkin method for non-smooth dynamic systems. J. Sound Vib. 2003, 261, 213–224. [Google Scholar] [CrossRef]
- Krack, M.; Gross, J. Harmonic Balance for Nonlinear Vibration Problems; Springer International Publishing: Cham, Switzerland, 2019; ISBN 978-3-030-14022-9. [Google Scholar]
- Nakhla, M.; Vlach, J. A piecewise harmonic balance technique for determination of periodic response of nonlinear systems. IEEE Trans. Circuits Syst. 1976, 23, 85–91. [Google Scholar] [CrossRef]
- Nayfeh, A.H.; Mook, D.T. Nonlinear Oscillations; Wiley: New York, NY, USA, 1979; ISBN 0-471-03555-6. [Google Scholar]
- Nayfeh, A.H. Resolving Controversies in the Application of the Method of Multiple Scales and the Generalized Method of Averaging. Nonlinear Dyn. 2005, 40, 61–102. [Google Scholar] [CrossRef]
- Pakdemirli, M.; Karahan, M.M.F.; Boyacı, H. A New Perturbation Algorithm With Better Convergence Properties: Multiple Scales Lindstedt Poincare Method. MCA 2009, 14, 31–44. [Google Scholar] [CrossRef]
- Pakdemirli, M.; Sarı, G. Solution of Quadratic Nonlinear Problems with Multiple Scales Lindstedt-Poincare Method. MCA 2015, 20, 137–150. [Google Scholar] [CrossRef]















Publisher’s Note: MDPI stays neutral with regard to jurisdictional claims in published maps and institutional affiliations. |
© 2021 by the authors. Licensee MDPI, Basel, Switzerland. This article is an open access article distributed under the terms and conditions of the Creative Commons Attribution (CC BY) license (http://creativecommons.org/licenses/by/4.0/).
Share and Cite
Kulke, V.; Thunich, P.; Schiefer, F.; Ostermeyer, G.-P. A Method for the Design and Optimization of Nonlinear Tuned Damping Concepts to Mitigate Self-Excited Drill String Vibrations Using Multiple Scales Lindstedt-Poincaré. Appl. Sci. 2021, 11, 1559. https://doi.org/10.3390/app11041559
Kulke V, Thunich P, Schiefer F, Ostermeyer G-P. A Method for the Design and Optimization of Nonlinear Tuned Damping Concepts to Mitigate Self-Excited Drill String Vibrations Using Multiple Scales Lindstedt-Poincaré. Applied Sciences. 2021; 11(4):1559. https://doi.org/10.3390/app11041559
Chicago/Turabian StyleKulke, Vincent, Paul Thunich, Frank Schiefer, and Georg-Peter Ostermeyer. 2021. "A Method for the Design and Optimization of Nonlinear Tuned Damping Concepts to Mitigate Self-Excited Drill String Vibrations Using Multiple Scales Lindstedt-Poincaré" Applied Sciences 11, no. 4: 1559. https://doi.org/10.3390/app11041559
APA StyleKulke, V., Thunich, P., Schiefer, F., & Ostermeyer, G.-P. (2021). A Method for the Design and Optimization of Nonlinear Tuned Damping Concepts to Mitigate Self-Excited Drill String Vibrations Using Multiple Scales Lindstedt-Poincaré. Applied Sciences, 11(4), 1559. https://doi.org/10.3390/app11041559

