Next Article in Journal
Analysis of Tizen Security Model and Ways of Bypassing It on Smart TV Platform
Previous Article in Journal
Application of Radiation Technology in Removing Endocrine Micropollutants from Waters and Wastewaters—A Review
 
 
Font Type:
Arial Georgia Verdana
Font Size:
Aa Aa Aa
Line Spacing:
Column Width:
Background:
Article

Distraction Potential of Vehicle-Based On-Road Projection

1
Institute of Product Development, Gottfried Wilhelm Leibniz Universität Hannover, An der Universität 1, 30823 Garbsen, Germany
2
Cluster of Excellence PhoenixD (Photonics, Optics, and Engineering—Innovation across Disciplines), Welfengarten 1A, 30167 Hannover, Germany
3
NFDI4Ing—National Research Data Infrastructure for Engineering Sciences, Seffenter Weg 23, 52074 Aachen, Germany
*
Author to whom correspondence should be addressed.
Appl. Sci. 2021, 11(24), 12030; https://doi.org/10.3390/app112412030
Submission received: 6 October 2021 / Revised: 3 December 2021 / Accepted: 3 December 2021 / Published: 17 December 2021
(This article belongs to the Section Transportation and Future Mobility)

Abstract

With regard to autonomous driving, on-road projections cannot only be used for communication with the driver but also with other road users. Our study aims to investigate the distraction potential for other road users when on-road projections (e.g., for driver assistance) are used to communicate with the driver of the projecting vehicle. We perform this investigation in a blind study with 38 test persons who are overtaken six times on a constant motorway section by the projection vehicle. The distraction potential is examined with an eye-tracking system, which detects the direction of the subjects’ gaze. In addition, the subjects’ physiological perception of the headlight projection is recorded with a questionnaire afterward. Several test subjects looked at the projection for less than one second, which is well below the critical threshold for the distraction of 1.6 s. In the interviews, on the other hand, only one of the 38 test persons stated that a projection on the road was recognized. For the examined scenario, it is therefore deduced that on-road projections with the selected symbol shape and brightness do not lead to critical distraction.

1. Introduction

Distraction and inattention are of great importance for road safety. It is estimated that driver inattention is involved in almost half of all accidents in the US [1]. Many studies examine distraction in the traffic environment for general as well as specific situations [2,3,4,5,6,7,8,9,10,11,12,13,14,15,16,17].
On-road projections are an upcoming technology to assist the driver in critical situations and enable communication between autonomous driving vehicles and other road users [18,19,20,21,22,23,24,25,26,27,28,29,30,31,32,33,34,35]. Initial studies show that on-road projections increase road safety for drivers, especially for inexperienced ones [36,37,38,39]. For example, the projection of guidelines improves the centering of the car on the lane [22]. Krahnstöver’s “fishbones” are another example of road projections designed to enable communication with both the vehicle driver and other road users [35].
Currently, some Mercedes-Benz and Audi vehicles are available in the U.S., EU, China and Gulf States that may project lines, such as guidance lines in road work scenarios, symbols, such as directional symbols for lane correction when leaving a lane, and animations, such as light shows when opening and closing the vehicle [40,41,42,43,44].
This potentially creates a conflict between targeted communication with drivers or other road users and unintentional distraction of other traffic participants. Because people in road traffic are trained to perceive potential dangers even peripherally [45]—projections for drivers of other vehicles can fall within the corresponding field of vision and accordingly can lead to noticeable distraction.

1.1. State of the Art

In addition to the aforementioned studies that point out the benefits of on-road projections for drivers, the impact on other road users is also part of investigated [46,47,48,49,50,51]. These studies are often based on a relatively small number of participants. Frequently, the experimental conditions are insufficiently specified or the studies take place in artificially generated scenarios, so that they can only be transferred to real traffic situations with reservations.
In the study by Jahn and Neumann [49], a construction site situation with two lanes is recreated on an unlit, closed test track. Nineteen test persons are driving on the right lane through the construction site several times while being overtaken on the left by a projection vehicle. The distraction potential is analyzed based on the driver’s eye movements using an eye-tracking system. The duration of gaze fixations on the left lane is significantly higher with activated on-road projections than without. Overall, the duration of gaze aversion from one’s own lane is not rated as critical. This is supported by an additional collection of subjective data with the help of a questionnaire. In a study by Polin and Khanh [50], statistically verifiable differences in the gaze behavior of other nearby car drivers are demonstrated in various traffic situations in which a test vehicle projected various symbols onto the road. These distractions are also classified as non-critical.

1.2. Definition of Distraction

In the following, distraction is defined according to Regan et al. as the presence of too many competing activities, so that safe driving is not possible [52]. The various sources of distraction can be divided into four basic types, namely visual, auditory, biomechanical and cognitive distraction according to the European Commission [53]. Thereby, secondary tasks, such as other visual tasks, are associated with high risk [54], as the driver receives most of the information in road traffic through the eyes [55].
The duration of a distraction is used in the literature [56,57,58,59,60] as a major criterion to evaluate the risk for traffic safety. In comparatively older literature sources, two seconds are used as a threshold value for a critical distraction for glances away from the road [56,57]. Klauer et al. [58] show that there is no significant effect below two seconds of distraction compared to normal “baseline driving”, where the gaze is mainly directed at the traffic in front of the driver. In contrast, glances away from the road lasting longer than two seconds almost double the risk of an accident relative to “baseline driving”. A more recent simulator study by Horrey and Wickens [59] shows that looking at objects inside the car for more than 1.6 s significantly increases the accident rate due to distraction. According to Theeuwes [60], glances that are not directed at the traffic for more than 1.6 s are also critical. In the context of this study, glances away from one’s own lane that last longer than 1.6 s are assessed as distractions. This corresponds to the more critical of the two literature values. On the other hand, only glances longer than 120 ms in a specific area are considered in the evaluation to ignore so-called fly throughs according to DIN EN ISO 15007-1 [61].
Drivers attempt to compensate for distracted driving by reducing speed [9,10,11,12], increasing distance to the preceding vehicle [13,14,15] and neglecting other driving tasks such as looking in the rearview mirror [16,17].
According to Stutts et al. [1] and Oviedo-Trespalacios et al. [62], various age groups differ in their distraction behavior, so the age of the test subjects should cover as wide a range as possible.

2. Study Design

In contrast to existing studies, the distraction potential of on-road projections in realistic traffic situations and with a bigger pool of test persons are being investigated. Taking into account possible influencing factors, this chapter develops a suitable test scenario to evaluate the distraction potential. For this purpose, an appropriate test route and questionnaire are designed to answer the following questions:
Before knowing the study purpose (Part I)
  • How long do test persons look at the projections?
  • Is there a difference in the gaze behavior between static and dynamic projections?
  • Do the test persons consciously see the projections?
After being told the study purpose (Part II)
  • How well is the projected symbol perceived by the test persons?
Figure 1 shows various factors influencing the study, divided into six categories as an Ishikawa diagram [63]. For reproducible study results, it is essential to exclude as many influencing factors as possible, to keep them constant, or at least to limit them.

2.1. Environment

The study takes place in road traffic in order to determine the distraction potential of the on-road projection as realistically as possible.
In order to achieve sustained visibility of the projection in moving traffic, both the projection vehicle and the subject vehicle drive in the same direction. This way, we create a critical situation that might lead to long distraction times. This requires a multi-lane road outside of town to avoid disturbing ambient light sources. The visibility duration depends on the differential velocity. The subject is overtaken by the projection vehicle, as this is an easier driving task for the subject than overtaking by themselves (Figure 2). Subjects can more easily turn the attention away from their own lane and perceive the projection. With this scenario we minimize the potential risk for other road users.
The study is carried out on a German motorway (right-hand traffic) in a section of the A2 between B6/A2 Garbsen slip road (point S in Figure 3) and Lauenau exit (point T1). This motorway section has three lanes in each direction and a traffic guiding system that allows a maximum speed of 120 km/h from starting point S over point T1 to point 5. In case of extraordinary incidents such as traffic jams or accidents, the speed limit is reduced. Points 1, 3, 4 and 6 are service areas. Points 2 and 5 are motorway exits where a quick turning maneuver is possible. In this way, the test track offers six places where the projection vehicle can depart after an invented overtaking maneuver in order to get behind the test vehicle without being seen. For each test drive, a randomly generated sequence of symbol projections (2× off, 2× static and 2× dynamic) is determined. The test drive ends at point 6, as shown in Figure 3, and the interview is conducted with the test person. Results are presented in Section 3.
This is followed by the second part of the test drive, in which the situation is resolved, and the test person learns about the projection vehicle. The study is continued with four more overtaking maneuvers (orange points in Figure 3), in which the test person is overtaken alternately with static and dynamic projection to compare both projection types with each other. To ensure that the projection is recognized, the subject is informed about each overtaking maneuver. After the ride, another short interview takes place in which the test person evaluates the distraction of the static and dynamic projection.
The road surface in the test section offers various types of asphalt. To ensure sufficient visibility of the projection, test drives are not carried out in adverse weather conditions such as rain, snow and fog, or when the road surface is wet. The earliest start time for the study is the beginning of nautical twilight (the sun is at least 6° below the horizon). With a clear sky and full moon, a maximum ambient illuminance of about 0.3 lx occurs. This way, the projection appears clearly visible to the driver of the projection vehicle. This choice of test scenario ensures that the test person can see the light projection reproducibly.
For the scheduled test, other non-involved vehicles are advantageous so that the projection vehicle does not receive the sole attention of the subject. If the test person is being overtaken by many passive vehicles, gathered information can later be used as a reference value for the gaze time. However, the traffic density should remain low so that all scheduled overtaking maneuvers can be performed. In order to avoid traffic jams, the tests take place outside of rush hours. An increased traffic volume during the holiday season, due to special transports or police operations cannot be avoided.

2.2. Subject Vehicle

Two different SUVs are used as subject vehicles. Before the actual test drive begins, all test persons are allowed to drive the test vehicle for ten minutes in order to get used to the car and the implemented measurement equipment. The experimenter sits in the back seat and occasionally gives driving instructions, such as setting a speed for certain sections of the route. For the study the test person drives with a constant speed of 100 km/h (±5 km/h) on the right lane of the three-lane motorway (speed limit 120 km/h).

2.3. Projection Vehicle

The projection vehicle, which is commercially available in luxury class cars, is equipped with a DMD-based projection system. The projection system is integrated into the headlamp. The projection vehicle overtakes the subject vehicle with a constant speed of 115 km/h (±5 km/h) in the adjacent lane, which gives an average differential speed of approximately 15 km/h.
The light projection is operated by a co-driver in the projection vehicle, who also manually activates and deactivates it in order to model the dynamic projection.

2.4. On-Road Projection

In order to obtain a sufficiently large database for a statistical evaluation of the experiment, it is necessary that only one projection symbol (for this study an excavator) is selected. For the dynamic projection, a frequency of roughly 1 Hz with 0.5 s dark time is chosen. Besides this, symbol, activation time, position and size of the projection are kept constant.
The luminous intensity of the black-and-white-projection is also fixed, the resulting contrast on the street surface varies depending on the ambient conditions. In order to determine typical values for this contrast, it is measured with a luminance camera on a closed-off country road between 10 p.m. and midnight on new, dry asphalt. The test vehicle is positioned in the left lane at the same forward position as the subject vehicle (see Figure 4), statically simulating an overtaking situation.
The maximum illuminance created by ambient light (without projection) is 0.28 lx. The luminance of the projection is measured both from the viewpoint of the driver of the projection vehicle and from the viewpoint of the test person in the other vehicle. Between the bucket and the cab of the projected excavator, a minimum luminance of approx. 0.1 cd/m² is achieved, while the maximum luminance in the cab is 1.8 cd/m². Hence, the DMD headlamp achieves a maximum light-dark contrast according to DIN EN ISO 15008 of 18:1 for the excavator symbol.
When the low beam of the projection vehicle is switched on, the minimum luminance increases to 1.6 cd/m² and the maximum luminance to 3.0 cd/m². This reduces the maximum contrast of the projection symbol to 1.875:1.
From the perspective of the test vehicle, the maximum luminance is 3.1 cd/m² when both vehicles have activated the low beam. The minimum luminance is at 2.0 cd/m², resulting in a contrast of 1.55:1.

2.5. Human

People of different ages, driving experiences and gender are selected as test persons in order to obtain a representative average of road users. All subjects receive an information sheet (see Figure A1 in the Appendix A) before driving to take part in the study with the same prior knowledge to ensure comparability of the results. Before driving, it is checked in the interest of road safety whether the test person has sufficient vigilance and wears a visual aid if this should be necessary.
A total of 39 subjects participates in the study, 15 are female and 24 are male. The age varies between 19 and 69 years, and the mean age is 30.2 ± 11.3 years. The subjects are living in Germany for at least a few years, are used to Latin letters and Arabic numerals and read texts from left to right. All these aspects are important when it comes to interpreting the potential perceived projection. The annual driving performance varies between less than 1000 km and around 60,000 km, with an average of 10,218 km.
It must be ensured that the subjects do not know in advance what the actual goal of the study is. Such prior knowledge would influence the behavior of the test persons during the study and thus distort the measurement results. Therefore, a different goal is presented when communicating the study to the test persons, which should not lead to a conscious or unconscious falsification of the real study result by the test persons. For this reason, the measurement of the adaptation time of the pupils at different glare levels is specified as the study objective. This as well explains the use of the eye-tracking system.

2.6. Human Reaction

The reactions of the subjects can be deduced from the changes in blood pressure, pulse or eye movements. Strong steering movements, as well as significant acceleration or deceleration, may also represent possible reactions to road traffic. For this study, the subjects’ eye gaze behavior is considered to be the crucial reaction since glances away from their own lane are evaluated as potential distractions. This aspect can be measured reliably with an eye-tracking system. The eye-tracking system uses a Dikablis Glasses 3 with Ergoneers’ D-LAB measurement and analysis software. For a largely automated evaluation, which is as independent as possible from the head movements of the subjects, QR-code similar squares are used as static markers in the test vehicle (see Figure 5). In this way vehicle-related areas of interest (AOI) can be defined for the evaluation process.

3. Study Results

The results of the main study are divided into two experimental parts. In the first part, the test persons are not informed about the on-road projection. In the second part, they are made aware of each individual overtaking maneuver of the projection vehicle.

3.1. Part I

A total of 39 subjects participated in the study. For one subject, the gaze data cannot be used due to a faulty calibration of the eye-tracking system. Only the overtaking maneuvers are examined according to the following definition: While the test person is being overtaken by the projection car, the projection car’s headlamps are visible to the test person in the left exterior mirror (blue box in Figure 5). As the distance between both vehicles decreases, one headlamp disappears in the mirror. This moment is taken as the starting point for the evaluation period. The overtaking maneuver is considered to be completed as soon as the rear of the projection vehicle has passed the left A-pillar of the test vehicle from the driver’s point of view. Typically, when maintaining the differential speed of 15 km/h, this takes 6 s.
Some overtaking maneuvers cannot be carried out due to the traffic situation or technical difficulties, so in total, 221 overtaking maneuvers are carried out, of which 76 are with dynamic projection, 74 with static projection and 71 without projection.
Figure 6 shows the relative number of glances to the individual areas of interest (AOI). The glances at the red AOI “projection area” (see Figure 5) are divided into glances at the projection vehicle itself and glances in front of it when a projection is switched on. In the second case, looking at this area offers the possibility to see the on-road projection.
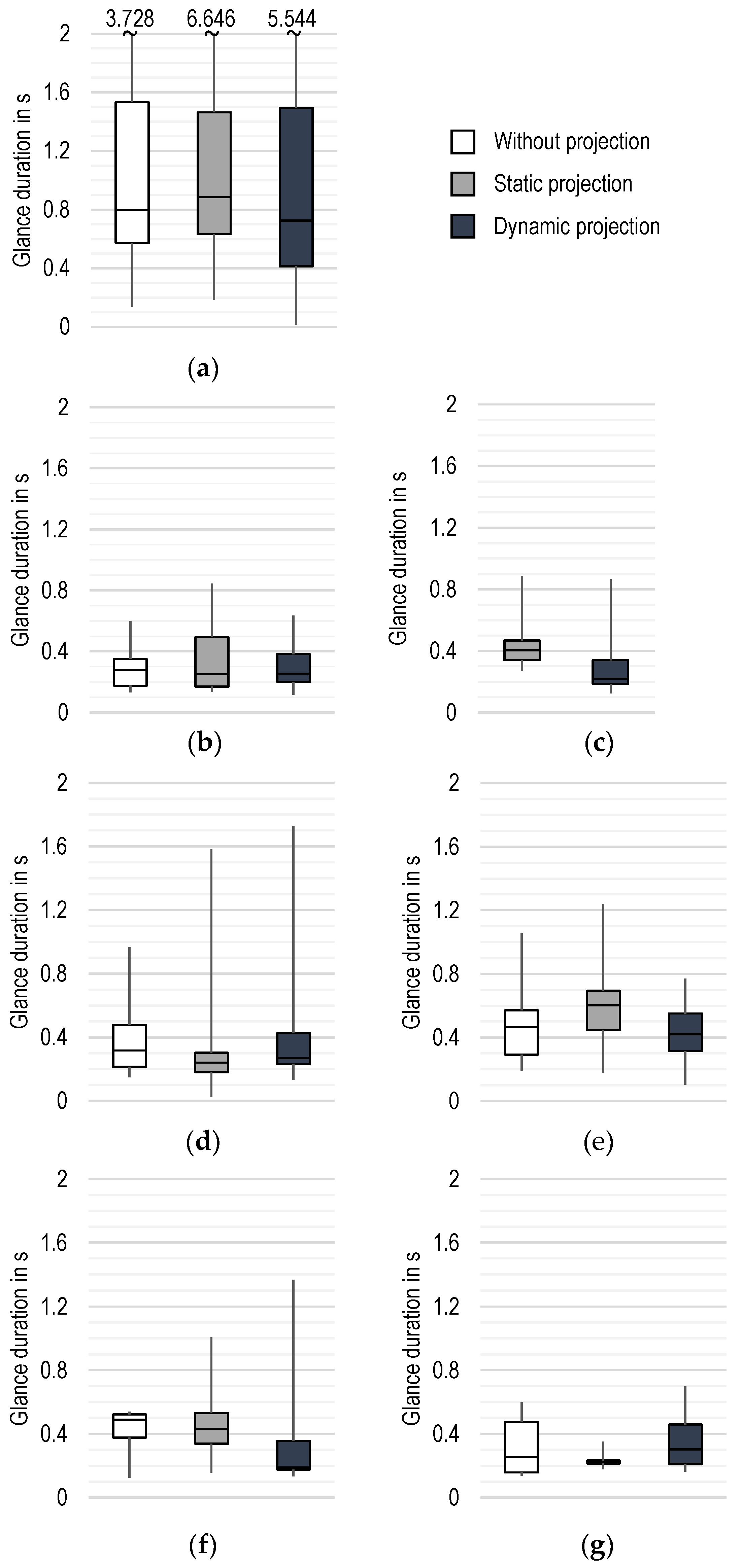
With dynamic projection, 430 glances from 38 test persons are recorded during the overtaking maneuvers. The highest proportion of glances is clearly on the own lane. Six test persons look in front of the projection vehicle and potentially see the projected pattern (in total seven glances). The gaze duration of these seven glances ranges from 125 ms to 867 ms with an average of 323 ms (see Figure 7), and, with the exception of the most extended gaze, between 125 ms and 340 ms.
While static projection, four out of 395 glances in front of the vehicle are recorded from three persons (glance durations between 272 ms and 886 ms, average 492 ms).
The distraction potential can be classified as non-critical overall. On the one hand, the gaze times are significantly shorter than even the more critical literature value of 1.6 s on distraction defined in Section 1. On the other hand, no conspicuous feature (e.g., steering behavior, acceleration and leaving the lane) in the driving behavior of the test persons is visible.
The first part of the experiment ends with a questionnaire (see Figure A2 and Figure A3 in the Appendix A) in which 37 out of 38 subjects state that they did not notice any light projection. Only one subject stated that he noticed two overtaking maneuvers with static projection. During the first overtaking maneuver with static projection, this subject looked at the projection for 886 ms and 272 ms during the second overtaking maneuver. The projection vehicle, on the other hand, is noticed by some subjects, mainly because of the license plate from a remote location in Germany and the luxury vehicle class. With this information, the questions about the first part of the experiment (compare Section 2) can now be answered:
How long do test persons look at the projections?
Based on the eye-tracking data, 11 glances of 8 different test persons are directed at the projection on the street. This is a percentage of 1.33% out of a total of 825 glances. The duration of the glances at the projection is in the range of the duration of the glances at the interior, the overtaking projection vehicle and the exterior mirror (see Figure 7). The duration of the glances is well below the value for critical distraction. The maximum glance duration at the on-road projection measured in this study is 886 ms.
Is there a difference in the gaze behavior between static and dynamic projections?
The number of glances for dynamic projections is higher than for static ones. This might indicate a higher distraction potential of dynamic projections. For a more reliable evaluation of this connection, a study with an increased number of participants is necessary. The average duration of glances at dynamic and static projections, however, is comparable.
Do the test persons consciously see the projections?
Of 38 test subjects evaluated, one states that he has seen the projection (in this case static) in the real traffic situation. However, the symbol itself is not identified.
From this first part, we conclude that the visual attractiveness of the investigated projections is low in real traffic situations. Based on this data, no evidence for a critical distraction of other road users is given. However, further studies are recommended in order to evaluate the influence of significantly higher symbol contrasts and larger or colored symbols.

3.2. Part II

As described in Section 2.1, the test persons are informed about each overtaking maneuver in the second part of this study. From the 38 test persons, two data sets are not available. Another test person changes the sitting position so much during the overtaking maneuvers that an evaluation of the gaze data is also not possible. Therefore, 35 data sets are evaluated.
While the definition of the starting point of an overtaking maneuver remains unchanged compared to the first part of this study, the end is individually adapted to the gaze behavior of the subject due to the more extended fixation of the projection compared to Part 1. An overtaking maneuver is considered complete when the driver no longer looks in front of the projection vehicle. According to this definition, an average overtaking maneuver takes about 8 s in this part. A total of 140 overtaking maneuvers with 70 static and 70 dynamic projections each are evaluated.
In the first part, the red AOI (see Figure 5) is subdivided into glances at the projection vehicle and glances at the on-road projection since the dominant portion of the glances is directed at the projection vehicle. In this second part, it is the other way around, so this subdivision of the red AOI is not necessary.
The gaze behavior changes significantly when an overtaking maneuver is indicated compared to the first part, as shown in Figure 8. The number of glances at the projection is now comparable to the number of glances at the own lane.
An average gaze of a subject at the projection lasts 1083 ms. The longest uninterrupted look at the projection is measured with 6.85 s. Some subjects compensate the distraction by reducing their speed, especially during long gaze periods. After each passing maneuver, the questions of the questionnaire regarding the noticeability of the projection are asked again. The dynamic projection is evaluated by the subjects as better noticeable than the static one (see Figure 9 left, where 7 stands for a high noticeability).
Furthermore, it can be stated that no significant information transfer takes place through the projection. Only two test persons were able to identify the excavator symbol correctly, and four test persons were at least able to recognize a vehicle. Seven test persons interpreted the projection as numbers or letters. In Figure 9 right, half a person has been added to the categories vehicle and letter/number, since one person do not decide whether the recognized projection should be a letter or a vehicle. The remaining 25 test persons were unable to identify the excavator symbol, even approximately (see Figure 9 right).
With this information, the following question about the second part of the experiment (compare Section 2) can now be answered:
How well is the projected symbol perceived by the test persons?
All test persons stated that they can perceive the projection. However, only two test persons were able to identify it as an excavator. Four to five other test persons still recognized a vehicle (compare Figure 9 right).
On average, the dynamic projections are rated one scale level better than the static projections on a score of one to seven. From the second part, it can be concluded that the projected light is visible to other road users, but information transfer to them is practically non-existent due to a lack of recognition of the correct symbol. The study shows that dynamic projections are slightly more noticeable than static ones. In further research, it is useful to consider if there is a difference in identifying the symbol whether the projection is static or dynamic.

4. Discussion

The visual attractiveness of the investigated on-road projection is low in real traffic situations if the subjects are not made aware of the projection. Possible reasons are, on the one hand, that the symbol contrast from the test person’s point of view is low (compare Section 2.4). On the other hand, the viewing angle of the projection is not optimal for the test subject, so that it is difficult to identify the symbol.
The evaluated projection system is intended as an assistance system to communicate with the driver of the projection vehicle. With the given contrast, the projected light is visible for other road users, but there is nearly no transmission of (correct) information. Further studies should consider whether, and, if so, under which boundary conditions, a potentially dangerous misinterpretation of the on-road projection is possible. Furthermore, it can be deduced from our study that the projected symbol needs to be made much more visible if a specific communication with other road users is intended.
It should also be taken into account that the results are based on only one test vehicle, which overtakes the test person every four minutes on average. Introducing such a projection system in a volume model could have an impact on road safety as then street projections are seen more often. If the surrounding road users get used to this function, as is the case with the wiping indicator, for example, this will not necessarily impair road safety. In the case of light projection, there will be separate symbols for different situations, which may differ for individual car brands or models. This can result in significantly longer viewing times when trying to identify a projected symbol correctly.

5. Conclusions

The distraction potential of on-road projections is investigated in a test person study. For this purpose, relevant influencing factors are analyzed, and a suitable test scenario is developed. Thirty-eight test persons drive the same motorway section without knowing that they will be overtaken several times by a projection vehicle. The distraction potential is examined with an eye-tracking system, which records the direction of the subjects’ gaze. In addition, the subjects’ perception of the headlight projection is recorded by means of a questionnaire. In order to be able to guarantee sufficiently long visibility of the symbol projection, the differential speed of both vehicles is set to approximately 15 km/h. In the first part of the study, several subjects look at the projection with a duration of less than one second, which is well below the critical threshold for the distraction of 1.6 s. In the interviews, on the other hand, only one of the 38 test persons states that the projection on the road is recognizable.
The study does not give a hint for critical distraction of the investigated on-road projection. For this selected scenario, it is therefore deduced that on-road projections with the selected symbol do not lead to critical distraction for the test persons when they are being overtaken. For significantly larger symbols or higher symbol contrasts as well as different driving situations, further investigations are required. This also applies for projections with text, in color, different flashing frequencies, or any combination of this, as well as the introduction of such a system into a volume model.
A cross-manufacturer information policy about these systems, the functions and projection symbols can help other road users to quickly get used to the functions and reliably recognize the displayed symbol with its meaning. In addition, the symbols for different situations should be clearly distinguishable and be designed in a similar way across manufacturers.
In a subsequent part of the study, the test persons are informed about the projection vehicle. When directly looking at the projection, the test persons rate the noticeability of the dynamic projection higher than the static one. However, most test persons do not identify the projected symbol correctly, therefore communication with other road users regarding autonomous driving is not reasonably possible with the tested system.

Author Contributions

Conceptualization, T.G., T.B., A.W., S.B. and M.K.; methodology, T.B., A.W., S.B. and M.K.; software, T.G.; validation, T.G. and T.B.; formal analysis, M.K.; investigation, T.G. and S.B.; data curation, T.G. and T.B.; writing—original draft preparation, T.G. and A.W.; writing—review and editing, T.B., A.W., A.Z. and R.L.; visualization, T.G. and T.B.; supervision, R.L.; project administration, R.L.; funding acquisition, T.G. and R.L. All authors have read and agreed to the published version of the manuscript.

Funding

This research was funded by the Deutsche Forschungsgemeinschaft (DFG) under Germany’s Excellence Strategy within the Cluster of Excellence PhoenixD (EXC 2122, Project ID 390833453), by the Deutsche Forschungsgemeinschaft (DFG), initiative NFDI4Ing—National Research Data Infrastructure for Engineering Sciences (Project ID 442146713) and the Ministry for Science and Culture of Lower Saxony (MWK)—School for Additive Manufacturing SAM. The publication of this article was funded by the Open Access Fund of Leibniz Universität Hannover.

Institutional Review Board Statement

Not applicable.

Informed Consent Statement

Not applicable.

Data Availability Statement

All data generated or analyzed to support the findings of the present study are included this article. The raw data can be obtained from the authors, upon reasonable request.

Conflicts of Interest

A project partner provided the projection vehicle for the study. The results have been generated and evaluated independently.

Appendix A

Figure A1. Translated information sheet.
Figure A1. Translated information sheet.
Applsci 11 12030 g0a1
Figure A2. Translated questionnaire for the first part.
Figure A2. Translated questionnaire for the first part.
Applsci 11 12030 g0a2
Figure A3. Translated questionnaire for the second part.
Figure A3. Translated questionnaire for the second part.
Applsci 11 12030 g0a3

References

  1. Stutts, J.; Reinfurt, D.; Staplin, L.; Rodgman, E. The Role of Driver Distraction in Traffic Crashes; AAA Foundation for Traffic Safety: Washington, DC, USA, 2001. [Google Scholar]
  2. Kountouriotis, G.K.; Spyridakos, P.; Carsten, O.M.J.; Merat, N. Identifying cognitive distraction using steering wheel reversal rates. Accid. Anal. Prev. 2016, 96, 39–45. [Google Scholar] [CrossRef] [PubMed]
  3. Engström, J.; Johansson, E.; Östlund, J. Effects of visual and cognitive load in real and simulated motorway driving. Transp. Res. Part F Traffic Psychol. Behav. 2005, 8, 97–120. [Google Scholar] [CrossRef]
  4. Santos, J.; Merat, N.; Mouta, S.; Brookhuis, K.; de Waard, D. The interaction between driving and in-vehicle information systems: Comparison of results from laboratory, simulator and real-world studies. Transp. Res. Part F Traffic Psychol. Behav. 2005, 8, 135–146. [Google Scholar] [CrossRef]
  5. Liang, Y.; Lee, J.D. Combining cognitive and visual distractions: Less than the sum of its parts. Accid. Anal. Prev. 2010, 42, 881–890. [Google Scholar] [CrossRef]
  6. Victor, T.W.; Harbluk, J.L.; Engström, J.A. Sensitivity of eye-movement measures to in-vehicle task difficulty. Transp. Res. Part F Traffic Psychol. Behav. 2005, 8, 167–190. [Google Scholar] [CrossRef]
  7. Reyes, M.L.; Lee, J.D. Effects of cognitive load presence and duration on driver eye movements and event detection performance. Transp. Res. Part F Traffic Psychol. Behav. 2008, 11, 391–402. [Google Scholar] [CrossRef]
  8. Godthelp, H.; Milgram, P.; Blaauw, G.J. The development of a time-related measure to describe driving strategy. Hum. Factors J. Hum. Factors Ergon. Soc. 1984, 26, 257–268. [Google Scholar] [CrossRef]
  9. Alm, H.; Nilsson, L. The Effects of a Mobile Telephone Task on Driver Behaviour in a Car Following Situation. Accid. Anal. Prev. 1995, 27, 707–715. [Google Scholar] [CrossRef]
  10. Burns, P.C.; Parkes, A.; Burton, S.; Smith, R.K.; Burch, D. How Dangerous Is Driving with a Mobile Phone? Benchmarking the Impairment to Alcohol (TRL Report TRL547); TRL Limited: Berkshire, UK, 2002. [Google Scholar]
  11. Haigney, D.E.; Taylor, R.G.; Westerman, S.J. Concurrent mobile (cellular) phone use and driving performance: Task demand characteristics and compensatory processes. Transp. Res. Part F Traffic Psychol. Behav. 2000, 3, 113–121. [Google Scholar] [CrossRef]
  12. Rakauskas, M.E.; Gugerty, L.J.; Ward, N.J. Effects of naturalistic cell phone conversation on driving performance. J. Saf. Res. 2004, 35, 453–464. [Google Scholar] [CrossRef]
  13. Jamson, A.H.; Westerman, S.J.; Hockey, G.R.J.; Carsten, M.J. Speech-based e-mail and driver behavior: Effects of an in-vehicle message system interface. Hum. Factors J. Hum. Factors Ergon. Soc. 2004, 46, 625–639. [Google Scholar] [CrossRef] [PubMed]
  14. Strayer, D.L.; Drews, F.A. Profiles in driver distraction: Effects of cell phone conversations on younger and older drivers. Hum. Factors 2004, 46, 640–649. [Google Scholar] [CrossRef] [PubMed]
  15. Strayer, D.L.; Drews, F.A.; Johnston, W.A. Cell phone-induced failures of visual attention during simulated driving. J. Exp. Psychol. Appl. 2003, 9, 23–32. [Google Scholar] [CrossRef] [PubMed]
  16. Brookhuis, K.A.; de Vries, G.; de Waard, D. The effects of mobile telephoning on driving performance. Accid. Anal. Prev. 1991, 23, 309–316. [Google Scholar] [CrossRef]
  17. Harbluk, J.L.; Noy, Y.I.; Eizenman, M. The Impact of Cognitive Distraction on Driver Visual Behaviour and Vehicle Control (TP No. 13889 E); Transport Canada: Ottowa, ON, Canada, 2002.
  18. Rosenhahn, E.O.; Seibold, H.; Geywitz-Senn, J.; Rutkiewicz, I. Digital Light Millions of Pixels on the Road. ATZ Worldw. 2018, 120, 42–45. [Google Scholar] [CrossRef]
  19. Li, Y.; Knöchelmann, M.; Lachmayer, R. Beam Pre-Shaping Methods Using Lenslet Arrays for Area-Based High-Resolution Vehicle Headlamp Systems. Appl. Sci. 2020, 10, 4569. [Google Scholar] [CrossRef]
  20. Knöchelmann, M.; Held, M.P.; Kloppenburg, G.; Lachmayer, R. High-resolution headlamps—Technology analysis and system design. Adv. Opt. Technol. 2019, 8, 33–46. [Google Scholar] [CrossRef]
  21. Kloppenburg, G.; Wolf, A.; Lachmayer, R. High-resolution vehicle headlamps: Technologies and scanning prototype. Adv. Opt. Technol. 2016, 5, 147–155. [Google Scholar] [CrossRef][Green Version]
  22. Rosenhahn, E.O.; Link, F. Traffic Safety Benefits provided by High Resolution Headlamp Systems. In 13th International Symposium on Automotive Lightning-ISAL 2019-Proceedings of the Conference; Khanh, T.Q., Ed.; Herbert, Utz: München, Germany, 2019; pp. 239–248. ISBN 978–3–8316–4818–4. [Google Scholar]
  23. Busch, S.; Schlichting, A.; Brenner, C. Generation and communication of dynamic maps using light projection. Proc. ICA 2018, 1, 16. [Google Scholar] [CrossRef][Green Version]
  24. Kleinkes, M.; Pohlmann, W.; Wilks, C. Boost Safety & Styling–New HD-LED Systems for front and rear. In 13th International Symposium on Automotive Lightning-ISAL 2019-Proceedings of the Conference; Khanh, T.Q., Ed.; Herbert, Utz: München, Germany, 2019; pp. 249–258. ISBN 978–3–8316–4818–4. [Google Scholar]
  25. Roth, J.; Thamm, M.; Held, M.P.; Lachmayer, R. Micro-Pixel-LED-Headlights. In 13th International Symposium on Automotive Lightning-ISAL 2019-Proceedings of the Conference; Khanh, T.Q., Ed.; Herbert, Utz: München, Germany, 2019; pp. 259–268. ISBN 978–3–8316–4818–4. [Google Scholar]
  26. Lee, H. The Study of Functionality for Now and Future High Definition Lighting. In 13th International Symposium on Automotive Lightning-ISAL 2019-Proceedings of the Conference; Khanh, T.Q., Ed.; Herbert, Utz: München, Germany, 2019; pp. 299–308. ISBN 978–3–8316–4818–4. [Google Scholar]
  27. Jahn, P.; Cristea, I.; Neumann, C. High-Resolution Light-Based Driver-Assistance–Optimal Contrast for Symbols. In 12th International Symposium on Automotive Lightning-ISAL 2017-Proceedings of the Conference; Khanh, T.Q., Ed.; Herbert, Utz: München, Germany, 2017; pp. 43–52. ISBN 978-3-8316-4672-2. [Google Scholar]
  28. Bremer, C.; Lewerich, B.; Hendricks, F.; Neumann, C. LCoS projection system. In 13th International Symposium on Automotive Lightning-ISAL 2019-Proceedings of the Conference; Khanh, T.Q., Ed.; Herbert, Utz: München, Germany, 2019; pp. 331–341. ISBN 978–3–8316–4818–4. [Google Scholar]
  29. Reiss, B.; Cladé, S. Road Marking Solutions with Pixelized Light Source. In 13th International Symposium on Automotive Lightning-ISAL 2019-Proceedings of the Conference; Khanh, T.Q., Ed.; Herbert, Utz: München, Germany, 2019; pp. 343–352. ISBN 978–3–8316–4818–4. [Google Scholar]
  30. Gonçalves, W.; Issoufou, A.; Becherer, U. Optimized ADB Symbol Projection. In 13th International Symposium on Automotive Lightning-ISAL 2019-Proceedings of the Conference; Khanh, T.Q., Ed.; Herbert, Utz: München, Germany, 2019; pp. 355–361. ISBN 978–3–8316–4818–4. [Google Scholar]
  31. Shibata, Y.; Kito, M.; Ishida, H.; Goto, Y.; Kamijo, M. Requirement Performance of Road Projection Lamp in Conjunction with Turn Signal Lamp. In 13th International Symposium on Automotive Lightning-ISAL 2019-Proceedings of the Conference; Khanh, T.Q., Ed.; Herbert, Utz: München, Germany, 2019; pp. 362–373. ISBN 978–3–8316–4818–4. [Google Scholar]
  32. Azouigui, S.; Barbedette, B.; Saudrais, S.; Sortais, Y.; Bordel, S.; Neumann, C.; Jahn, P. Impact of Advanced Lighting Function based on Road Projection for Departing Indication in Parking Lots. In 13th International Symposium on Automotive Lightning-ISAL 2019-Proceedings of the Conference; Khanh, T.Q., Ed.; Herbert, Utz: München, Germany, 2019; pp. 375–384. ISBN 978–3–8316–4818–4. [Google Scholar]
  33. Reschke, J.; Rabenau, P.; Hamm, M.; Neumann, C. Symbolische Fahrzeug-Fußgänger-Interaktion. In VDI Berichte-2323 Optische Technologien in der Fahrzeugtechnik; VDI Verlag GmbH: Düsseldorf, Germany, 2018; Volume 2323, pp. 95–106. [Google Scholar] [CrossRef]
  34. Kloppenburg, G. Scannende Laser-Projektionseinheit Für Die Fahrzeugfrontbeleuchtung; TEWISS-Technik und Wissen GmbH: Garbsen, Germany, 2017; ISBN 978–3–95900–168–7. [Google Scholar]
  35. Krahnstöver, A.Z. Licht Führt!? Konzeption Und Evaluation Von Fahrmanöverunterstützung Durch Lichtbasierte Fahrerassistenzsysteme; (AutoUni–Schriftenreihe 98); Springer: Wiesbaden, Germany, 2017; ISBN 978–3–658–17161–2. [Google Scholar]
  36. Hamm, M.; Huhn, W.; Reschke, J. Ideas for Next Lighting Generations in Digitalization and Autonomous Driving. SAE Tech. Pap. 2018, 11, 2018-01-1038. [Google Scholar] [CrossRef]
  37. Budanow, M.; Neumann, C. Road projections as a new and intuitively understandable human-machine interface. Adv. Opt. Technol. 2019, 8, 77–84. [Google Scholar] [CrossRef]
  38. Budanow, M.; Neumann, C. Success of Driver Assistance through Light Projections on the Road. In 13th International Symposium on Automotive Lightning-ISAL 2019-Proceedings of the Conference; Khanh, T.Q., Ed.; Herbert, Utz: München, Germany, 2019; pp. 311–320. ISBN 978–3–8316–4818–4. [Google Scholar]
  39. Krieft, F.; Thoma, A.; Willeke, B.; Kubitza, B.; Kaup, M. Symbol Projections: Gain or Gadget? In 13th International Symposium on Automotive Lightning-ISAL 2019-Proceedings of the Conference; Khanh, T.Q., Ed.; Herbert, Utz: München, Germany, 2019; pp. 321–330. ISBN 978–3–8316–4818–4. [Google Scholar]
  40. S-Class Configurator Headlamp Options (German). Available online: https://www.mercedes-benz.de/passengercars/mercedes-benz-cars/car-configurator.html/configuration/CCci/DE/de/de_DE__2230331__AJ-052_AU-201_GC-421_LE-L_LU-040_MJ-802_PC-P20-P44-P64-PBG_PS-953%23-M05%23_SA-01R-01U-02B-14U-16U-17U-218-233-235-243-249-266-275-282-292-321-325-33U-351-355-365-367-383-475-489-513-51U-534-537-546-581-587-628-642-70B-726-79B-868-871-873-881-883-891-897-927-942-969-971-B13-H02-K32-K33-K34-L2B-R01-U01-U10-U12-U19-U22-U35-U60-U79_SC-0U1-194-1B3-2U1-2U8-4V3-502-51B-6P5-7B4-8B1-8U1-8U8-998-K13-K27-K37-K40-K41-LS1-R7J/headlights (accessed on 5 October 2021).
  41. C-class Configurator Headlamp Options (German). Available online: https://www.mercedes-benz.de/passengercars/mercedes-benz-cars/car-configurator.html/configuration/CCci/DE/de/de_DE__2060411__AU-001_GC-421_LE-L_LU-040_MJ-802_PC-30P-D1I-D1P-D3L-P44-P49-P75-P76-PAX-PBG-PFB_SA-01U-02B-14U-16R-16U-17U-218-233-235-243-249-262-266-272-30U-310-318-325-33U-345-351-355-365-367-383-42U-43U-475-4B8-500-513-521-537-546-579-587-58U-628-677-70B-757-79B-7U1-859-876-893-897-927-94B-964-969-B01-B59-H00-K32-K33-K34-L3E-R01-U01-U10-U12-U60_SC-001-0B4-0U1-1B3-1U9-1V5-2U1-2U6-2U8-502-51B-6P5-7B4-8P8-8U8-8X2-998-AA5-B10-K06-K13-K31-K37-R7D/headlights (accessed on 5 October 2021).
  42. EQS Configurator Package (and Headlamp) Options (German). Available online: https://www.mercedes-benz.de/passengercars/mercedes-benz-cars/car-configurator.html/configuration/CCci/DE/de/de_DE__2971441__AU-201_LE-L_LU-197_MJ-802_PC-431-P14-P17-P20-P47-P49-P76-PAF-PAG-PAX-PBG-PDB_PS-S89%23_PV-DSQ_SA-01U-02B-13U-14U-16U-17U-201-215-233-235-241-242-243-249-262-266-272-275-287-290-292-294-299-309-30U-318-321-324-325-351-355-365-367-36U-384-42U-436-43U-475-489-500-501-513-51U-535-537-546-580-587-5B1-628-63B-70B-723-72B-775-79B-7U2-82B-83B-860-871-873-876-889-890-891-894-897-969-9B2-B51-B53-B59-H08-K32-K33-K34-L2B-R01-R84-U01-U10-U12-U19-U22-U25-U60_SC-0U1-1B3-2S0-2U8-502-51B-5V5-6P5-6S3-7B4-8B4-8P8-8U4-8U8-998-A02-BAC-EMA-EMQ-K12-K37-R7K/package_types (accessed on 5 October 2021).
  43. E-Tron Sportback (and E-Tron) Configurator Digital Matrix LED Headlamp (German). Available online: https://www.audi.de/de/brand/de/neuwagen/tron/audi-e-tron-sportback/exterieur.html#layer=/de/brand/de/neuwagen/tron/audi-e-tron-sportback.mediathek_infolayer.GPXCPXC.html (accessed on 5 October 2021).
  44. Preview of the A8 2022 (Facelift) with Digital Matrix LED Headlamp Available (German). Available online: https://www.audi.de/de/brand/de/neuwagen/a8/a8.html (accessed on 5 October 2021).
  45. Huestegge, L.; Böckler, A. Out of the corner of the driver’s eye: Peripheral processing of hazards in static traffic scenes. J. Vis. 2016, 16, 1–15. [Google Scholar] [CrossRef]
  46. Omerbegovic, S.; Reim, J.; Funk, C. Construction zone light: A study on safety and distraction. In 12th International Symposium on Automotive Lightning-ISAL 2017-Proceedings of the Conference; Khanh, T.Q., Ed.; Herbert, Utz: München, Germany, 2017; pp. 307–314. ISBN 978-3-8316-4672-2. [Google Scholar]
  47. Hamm, M. Real Driving Benefits and Research Findings with Digital Light Functions. In 13th International Symposium on Automotive Lightning-ISAL 2019-Proceedings of the Conference; Khanh, T.Q., Ed.; Herbert, Utz: München, Germany, 2019; pp. 229–238. ISBN 978–3–8316–4818–4. [Google Scholar]
  48. Hamm, M.; Huhn, W. Glare Investigations and Safety Research on Digital Light Technologies. SAE Tech. Pap. 2019, 01–0849. [Google Scholar] [CrossRef]
  49. Jahn, P.; Neumann, C. Ablenkpotenzial eines Baustellenlichtes auf andere Verkehrsteilnehmer. In Proceedings of the Lux Junior 2017: 14. Internationales Forum Für Den Lichttechnischen Nachwuchs, Dörnfeld an der Ilm, Germany, 8–10 September 2017. [Google Scholar]
  50. Polin, D.; Khanh, T.Q. Investigation on Headlights with High-resolution Projection Modules. ATZ Worldw. 2018, 120, 70–73. [Google Scholar] [CrossRef]
  51. Japan Automobile Standards Internationalization Center (JASIC). A Study on the Effects of Driver Assistance Projections on the Driver’s Perception of Nearby Traffic, UNECE. In Proceedings of the Simplification of the Lighting and Light Signalling Regulations (SLR), 38th Session, Geneva, Switzerland, 27–29 May 2020. [Google Scholar]
  52. Regan, M.A.; Hallett, C.; Gordon, C.P. Driver distraction and driver inattention: Definition, relationship and taxonomy. Accid. Anal. Prev. 2011, 43, 1771–1781. [Google Scholar] [CrossRef]
  53. Goldenbeld, C.; Regan, M. European Commission–Driver Distraction. 2015. Available online: https://ec.europa.eu/transport/road_safety/sites/roadsafety/files/ersosynthesis2015-driverdistraction25_en.pdf (accessed on 5 October 2021).
  54. Hanowski, R.J.; Hickman, J.S.; Olson, R.L.; Bocanegra, J. Evaluating the 2003 revised hours-of-service regulations for truck drivers: The impact of time-on-task on critical incident risk. Accid. Anal. Prev. 2009, 41, 268–275. [Google Scholar] [CrossRef] [PubMed]
  55. Sivak, M. The information that drivers use: Is it indeed 90% visual? Perception 1996, 25, 1081–1089. [Google Scholar] [CrossRef]
  56. Zwahlen, H.T.; Adams, C.C.; Schwartz, P.J. Safety aspects of cellular telephones in automobiles. In Proceedings of the ISATA Conference, Florence, Italy, 30 May–3 June 1988. [Google Scholar]
  57. Rockwell, T.H. Spare visual capacity in driving-revisited. In Vision in Vehicles II, Procedia–Social and Behavioral Sciences; Elsevier Science & Technology: Amsterdam, The Netherlands, 1988; pp. 317–324. ISBN 978–0-444-70423-8. [Google Scholar]
  58. Klauer, S.G.; Dingus, T.A.; Neale, V.L.; Sudweeks, J.D. The Impact of Driver Inattention on Near-Crash/Crash Risk: An Analysis Using the 100-Car Naturalistic Driving Study Data; National Technical Information Service: Alexandria, VA, USA, 2006.
  59. Horrey, W.J.; Wickens, C.D. In-vehicle glance distribution, tails, and models of crash risks. Transp. Res. Record 2007, 2018, 22–28. [Google Scholar] [CrossRef]
  60. Theeuwes, J. Visuele Afleiding in Het Verkeer; Vrije Universiteit: Amsterdam, The Netherlands, 2008. [Google Scholar]
  61. DIN EN ISO 15007-1: 2015-03: Road Vehicles-Measurement of Driver Visual Behaviour with Respect to Transport Information and Control Systems-Part 1: Definitions and Parameters (ISO 15007-1:2014); Deutsches Institut für Normung e.V.: Berlin, Germany, 2015. [CrossRef]
  62. Oviedo-Trespalacios, O.; Truelove, V.; Watson, B.; Hinton, J.A. The impact of road advertising signs on driver behaviour and implications for road safety: A critical systematic review. Transp. Res. Part A Policy Pr. 2019, 122, 85–98. [Google Scholar] [CrossRef]
  63. Ishikawa, K. Guide to Quality Control; Asian Productivity Organization: Tokyo, Japan, 1976; ISBN 92–833-1036–5.
  64. Driving Route from the Study for the Test Drive. Available online: https://routing.openstreetmap.de/?z=11&center=52.405561%2C9.768906&loc=52.418591%2C9.634795&loc=52.281956%2C9.348378&loc=52.427260%2C9.776330&loc=52.424830%2C9.616113&hl=de&alt=0&srv=0 (accessed on 10 March 2021).
Figure 1. Ishikawa diagram on main factors influencing subject studies in the traffic area.
Figure 1. Ishikawa diagram on main factors influencing subject studies in the traffic area.
Applsci 11 12030 g001
Figure 2. Symbol projection for overtaken vehicles.
Figure 2. Symbol projection for overtaken vehicles.
Applsci 11 12030 g002
Figure 3. Driving route from the study for the test drive, map data from [64].
Figure 3. Driving route from the study for the test drive, map data from [64].
Applsci 11 12030 g003
Figure 4. Position of the two vehicles when taking luminance images.
Figure 4. Position of the two vehicles when taking luminance images.
Applsci 11 12030 g004
Figure 5. Eye tracking recording from the subject vehicle with six areas of interest (AOI) and glowing QR-code similar squares for eye-tracking calibration.
Figure 5. Eye tracking recording from the subject vehicle with six areas of interest (AOI) and glowing QR-code similar squares for eye-tracking calibration.
Applsci 11 12030 g005
Figure 6. Relative number of glances during overtaking maneuvers.
Figure 6. Relative number of glances during overtaking maneuvers.
Applsci 11 12030 g006
Figure 7. Boxplots of the glance time while overtaking maneuvers on the (a) own lane (bars are cut off), (b) projection vehicle, (c) on-road projection, (d) right roadside, (e) interior, (f) left exterior mirror and (g) rear mirror.
Figure 7. Boxplots of the glance time while overtaking maneuvers on the (a) own lane (bars are cut off), (b) projection vehicle, (c) on-road projection, (d) right roadside, (e) interior, (f) left exterior mirror and (g) rear mirror.
Applsci 11 12030 g007
Figure 8. Relative number of glances during overtaking maneuvers.
Figure 8. Relative number of glances during overtaking maneuvers.
Applsci 11 12030 g008
Figure 9. (Left) Boxplot of the noticeability of the projections evaluated by the subjects. (Right) Number of subjects who assigned the projection to an object category.
Figure 9. (Left) Boxplot of the noticeability of the projections evaluated by the subjects. (Right) Number of subjects who assigned the projection to an object category.
Applsci 11 12030 g009
Publisher’s Note: MDPI stays neutral with regard to jurisdictional claims in published maps and institutional affiliations.

Share and Cite

MDPI and ACS Style

Glück, T.; Biermann, T.; Wolf, A.; Budig, S.; Ziebehl, A.; Knöchelmann, M.; Lachmayer, R. Distraction Potential of Vehicle-Based On-Road Projection. Appl. Sci. 2021, 11, 12030. https://doi.org/10.3390/app112412030

AMA Style

Glück T, Biermann T, Wolf A, Budig S, Ziebehl A, Knöchelmann M, Lachmayer R. Distraction Potential of Vehicle-Based On-Road Projection. Applied Sciences. 2021; 11(24):12030. https://doi.org/10.3390/app112412030

Chicago/Turabian Style

Glück, Tobias, Tobias Biermann, Alexander Wolf, Sören Budig, Arved Ziebehl, Marvin Knöchelmann, and Roland Lachmayer. 2021. "Distraction Potential of Vehicle-Based On-Road Projection" Applied Sciences 11, no. 24: 12030. https://doi.org/10.3390/app112412030

APA Style

Glück, T., Biermann, T., Wolf, A., Budig, S., Ziebehl, A., Knöchelmann, M., & Lachmayer, R. (2021). Distraction Potential of Vehicle-Based On-Road Projection. Applied Sciences, 11(24), 12030. https://doi.org/10.3390/app112412030

Note that from the first issue of 2016, this journal uses article numbers instead of page numbers. See further details here.

Article Metrics

Back to TopTop