Next Article in Journal
Transcriptome Analyses of In Vitro Exercise Models by Clenbuterol Supplementation or Electrical Pulse Stimulation
Next Article in Special Issue
Wearable Sensory Apparatus for Real-Time Feedback in Wearable Robotics
Previous Article in Journal
Three-Dimensional Buckling Analysis of Functionally Graded Saturated Porous Rectangular Plates under Combined Loading Conditions
Previous Article in Special Issue
Quantitative Analysis of Different Multi-Wavelength PPG Devices and Methods for Noninvasive In-Vivo Estimation of Glycated Hemoglobin
 
 
Font Type:
Arial Georgia Verdana
Font Size:
Aa Aa Aa
Line Spacing:
Column Width:
Background:
Article

Two-Stage Adaptive Relay Selection and Power Allocation Strategy for Cooperative CR-NOMA Networks in Underlay Spectrum Sharing

1
School of Sciences, Lanzhou University of Technology, Lanzhou 730050, China
2
School of Electrical and Information Engineering, Lanzhou University of Technology, Lanzhou 730050, China
3
Department of Communications, Universidad Politécnica de Valencia, 46022 Valencia, Spain
*
Authors to whom correspondence should be addressed.
Appl. Sci. 2021, 11(21), 10433; https://doi.org/10.3390/app112110433
Submission received: 25 September 2021 / Revised: 2 November 2021 / Accepted: 4 November 2021 / Published: 6 November 2021
(This article belongs to the Special Issue Advances in Data Analysis for Wearable Sensors)

Abstract

:
In this paper, we consider a novel cooperative underlay cognitive radio network based on non-orthogonal multiple access (CR-NOMA) with adaptive relay selection and power allocation. In secondary networks, dedicated relay assistance and user assistance are used to achieve communication between the base station and the far (and near) user. Here, a two-stage adaptive relay selection and power allocation strategy is proposed to maximize the achievable data rate of the far user while ensuring the service quality of near user. Furthermore, the closed-form expressions of outage probability of two secondary users are derived, respectively, under interference power constraints, revealing the impact of transmit power, number of relays, interference threshold and target data rate on system outage probability. Numerical results and simulations validate the advantages of the established cooperation and show that the proposed adaptive relay selection and power allocation strategy has better outage performance.

1. Introduction

Industrial Internet is a significant breakthrough to accelerate the commercial deployment of 5G [1]. However, the unprecedented increase of spectrum occupancy makes the improvement of spectrum efficiency become a research hotspot in academia and industry. As one of the key technologies to implement 5G wireless communication, non-orthogonal multiple access (NOMA) has received much attention due to the characteristics of high spectrum utilization, low latency, and large-scale connectivity [2,3,4]. Cognitive radio networks (CRNs) can effectively alleviate the problem of spectrum shortage and spectrum underutilization by dynamically reusing the frequency assigned to the primary user [5]. Combined with the above advantages, cognitive radio networks based on non-orthogonal multiple access (CR-NOMA) are expected to further improve spectrum utilization efficiency and communication reliability.
Power-domain NOMA transmits multiple information streams with different powers over the overlapping channel in time/frequency/code domain. Classical cooperative NOMA systems are generally divided into two categories: one uses the dedicated relay to assist communication between the source and the user, and the other uses the user as a relay [6]. The cooperative NOMA scheme was proposed in [7] for the first time. Authors in [8] investigated a downlink cooperative NOMA scenario with two users, in which the near user acted as a full-duplex (FD) relay for the far user. NOMA systems with dedicated relay have achieved a large number of research achievements [9,10,11,12,13]. In multi-relay networks, relay selection is a low-complexity approach that can achieve the desired full diversity gain [14,15]. In [9], a two-stage max-min relay selection strategy based on the cooperative NOMA system was proposed to ensure the quality of service (QoS) requirements of users. However, the outage performance obtained by using the fixed power allocation scheme is not optimal. Authors in [10] developed a two-stage relay selection strategy based on decode-and-forward (DF) and amplify-and-forward (AF) relays with adaptive power allocation. This scheme not only obtained full diversity gain, but also reduced the outage probability of the cooperative NOMA system. Two relay selection strategies named two-stage weighted-max-min (WMM) with fixed power allocation and max-weighted-harmonic-mean (MWHM) with adaptive power allocation were proposed in [11], and research results confirmed that the reasonable power allocation coefficient has an important effect on system performance. To extend the work of [10,11], researchers in [16] established an optimization model by taking rate fairness and imperfect channel into consideration.
However, the above cooperative NOMA systems considered user cooperation and relay cooperation separately. It is obvious that if both user cooperation and dedicated relay cooperation are adopted, diversity gain and overall system performance will be improved. Coordinated direct and relay transmission into NOMA systems was introduced by [17], where the far user obtained the side information from the relay or near user. Compared with non-coordinated direct and relay transmission, the scheme in [17] achieved greater capacity gain. An AF relay selection strategy was proposed for a two-user downlink NOMA system in [18], where the near user was likely to be the optimal relay if it could decode the superimposed signal successfully; otherwise, an optimal relay was selected to serve both users. However, power adaptation was not considered in [17,18]. Therefore, the authors in [6] extended the model of [18] and proposed a two-stage relay selection scheme with power adaptation to obtain N + 1 full diversity gain for users, where N is the number of relays.
In addition, dynamic spectrum or bandwidth allocation effectively improves the utilization of network resources by rationalizing their allocation [19]. For example, cognitive radio is a classical technology to solve the problem of spectrum scarcity. The integration of CRNs and NOMA could further improve spectrum efficiency, and the core idea of CR-NOMA is to provide opportunistic services for secondary users while ensuring the QoS of primary users. Recently, many works have been carried out to evaluate and analyze the performance of cooperative CR-NOMA networks, in which relay selection and power allocation are the focus. Overlay CR-NOMA networks with user cooperation were considered in [20,21]. In [20], the signals of primary users and secondary users were relayed by secondary transmitters; while in [21], the optimal decoded secondary user was selected to relay the signals of undecoded users. A different overlay relay cooperation was proposed in [22] in which a dedicated NOMA-based relay was used to forward assistant signals to primary users and secondary users. However, the above research do not consider the cooperative coexistence of user cooperation and dedicated relay cooperation, nor do they consider the power adaption.
Unlike the overlay mode, the underlay mode of CRNs pays more attention to ensuring the performance of secondary networks under interference constraints. In an underlay CR-NOMA system [23], signals of two secondary users were forwarded using the dedicated NOMA-based relay. In [24], authors investigated the performance of two-hop underlay CR-NOMA networks under interference constraints, but using a single relay could not ensure reliable communication at the user side. Thus, extending the model to multi-relay cooperation is necessary. In [25], authors analyzed the outage performance of CR-NOMA networks with AF relays by using the partial relay selection method, and results indicated that the adoption of adaptive power allocation strategy helps to improve system performance. In [26], authors studied the impact of multiple antennas and cooperative NOMA users on the performance of CR-NOMA, in which the multi-antenna base station selected the user with strong channel gain as a relay to help another user with poor channel gain. Results showed that the cell edge user with poor channel gain can benefit from cooperative NOMA and opportunistic relay transmission [26]. Different from the above research, authors in [27,28] considered the coexistence of direct link and relay-cooperative links between the far user and base station, in which relays existed to compensate for the reduction of reliability and coverage of cognitive networks due to power constraints. However, user cooperation is not considered in [23,24,25,27,28]. The scenario developed in [29] considered the link from near user to far user in addition to links from relays to far user, but the transmit power constraints were not fully taken into account.
However, cooperative CR-NOMA in underlay spectrum sharing mode still has the following problems: (i) most CR-NOMA systems only consider partial interference links; (ii) partial relay selection strategy based on the first hop may not result in the optimal outage performance; (iii) fixed power allocation coefficient cannot guarantee optimal system performance; (iv) the links between near user and relays, near user and far user should be considered, as this can effectively improve communication efficiency.
Inspired by [6,28], this paper investigates adaptive relay selection and power allocation in cooperative underlay CR-NOMA networks by considering mutual interference and constraints between primary network and secondary network. In order to guarantee the reliable transmission of the primary network, transmit powers of secondary source and the selected relay are restricted. The main contributions are summarized as follows:
  • A novel cooperation scheme is established for underlay CR-NOMA networks, where dedicated relay cooperation and user cooperation are used in secondary network to achieve communication between the base station and the far (and near) user.
  • A two-stage adaptive relay selection and power allocation strategy is proposed to maximize the achievable data rate of the far user and to obtain the optimal power allocation coefficient on the premise of guaranteeing the QoS of near user. Through the proposed strategy, the challenging issue of whether only the far user needs assistance or both the near and the far users need assistance is addressed.
  • A novel decoding order for successive interference cancellation (SIC) is introduced to the secondary users. Both secondary users can adaptively adjust their decoding order in the second time slot according to the decoding status of the near user in the first time slot, which is different from the existing works that mostly depend on the channel quality.
  • The closed-form expressions of outage probabilities of secondary users are obtained by deriving the corresponding distribution functions, and the impact of transmit power, number of relays, interference threshold and target data rate on the system outage probability is revealed.
  • Numerical results and simulations validate the advantages of the established cooperation, and the proposed adaptive relay selection and power allocation strategy shows better outage performance compared to the existing schemes.
This paper is organized as follows. In Section 2, we describe the system model and transmission process. Then, a two-stage adaptive relay selection and power allocation strategy is introduced in Section 3. Section 4 investigates the outage probabilities of two secondary users and the numerical results are presented in Section 5. Finally, Section 6 concludes this paper.

2. System Model and Transmission Process

Firstly, we develop a cooperative underlay CR-NOMA network model. Then, by describing the signal model, we propose the transmission process and analyze the achievable data rate at the receiver. Four possible decoding results at U1 are given, and the transmit powers of the secondary and the candidate relay sets are expressed, respectively.

2.1. System Model

As shown in Figure 1, we consider a communication scenario working in underlay mode. The primary network consists of a pair of primary users, the primary transmitter (PT) and the primary receiver (PR). The secondary network is a downlink NOMA system, consisting of a base station (BS), multiple relays ( R n ,   n = 1 ,   2 ,   ,   N ), a near user (U1) and a far user (U2). While PT sends a message to PR, BS broadcasts a superimposed signal composed of U1 and U2 messages. U1 can receive the signal via the direct link BS→U1. However, due to serious shadow or path loss, U2 obtains the signal via relay nodes. The characteristic of the system model is that if U1 fails to decode the signal from the direct link, relays are first sought for help. Otherwise, U1 has a chance to become a candidate to assist U2. The system model is also based on the following assumptions:
  • All communication links and interference links are quasi-static Rayleigh fading channels, i.e., h X Y C N ( 0 , λ X Y ) where X Y denotes the link X Y between the transmitting node X and the receiving node Y ;
  • Each channel is affected by additive white Gaussian noise (AWGN) with the mean of 0 and the variance of σ 2 ;
  • All nodes (including transmitters, receivers and DF-based relays) with single antenna work in half-duplex (HD) mode and can perfectly receive channel state information (CSI);
  • BS uses fixed power allocation while relays can adaptively adjust their power allocation coefficient;
  • The transmit power of BS, R n and U1 is adaptive constrained in underlay mode.

2.2. Transmission Process

In underlay CR-NOMA networks, the primary and secondary networks transmit messages simultaneously within the same spectrum. In the primary network, PT sends a signal, x P , to PR with the transmit power, P T , where E { | x P | 2 } = 1 . In the secondary network, the transmission process consists of direct transmission stage and cooperative transmission stage, which are completed in two time slots as follows.

2.2.1. Direct Transmission Stage of the First Time Slot

In the first time slot, BS broadcasts the superimposed signals of U1 and U2 via the superimposed coding (SC). After receiving the signal, decoding result from U1 will be sent to all relays, and the decodable relays will be divided into two candidate sets. The details are as follows.
BS broadcasts a superimposed signal, x S = α 1 x 1 + α 2 x 2 , which can be received by U1 and the potential relays with the transmit power, PS. Here, x 1 and x 2 are the signals for U1 and U2 with E { | x 1 | 2 } = E { | x 2 | 2 } = 1 , and α 1 and α 2 denote the power allocation coefficients at BS for messages x 1 and x 2 with α 1 + α 2 = 1 and α 2 α 1 0 , respectively. Therefore, the received signal at the n-th relay can be expressed as
y S R n = P T h T R n x P + P S h S R n x S + η R n
where η R n is AWGN at the n-th relay R n .
Then, SIC technique is used to try to decode the received superimposed signal. The signal with high power (or poor channel quality) is first decoded, i.e., at the n-th relay, x 2 is first decoded and x 1 is treated as interference, and then x 1 can be decoded only after x 2 successfully decodes and cancels. Therefore, the achievable rates of x 2 and x 1 at the relay R n are given by
R S R n x 2 = 1 2 l o g 2 ( 1 + α 2 ρ S | h S R n | 2 ρ T | h T R n | 2 + α 1 ρ S | h S R n | 2 + 1 )   and   R S R n x 1 = 1 2 l o g 2 ( 1 + α 1 ρ S | h S R n | 2 ρ T | h T R n | 2 + 1 )
respectively, where ρ T = P T / σ 2 and ρ S = P S / σ 2 are the transmit signal-to-noise ratio (SNR). Relays that can successfully decode x 1 and x 2 are divided into two candidate sets, S 1 = { n | n N , R S R n x 2 R 2 } and S 2 = { n | n N , R S R n x 2 R 2 , R S R n x 1 R 1 } , respectively, where R 1 and R 2 denote the target data rates of x 1 and x 2 at the receiving nodes, respectively.
The received signal at U1 can be expressed as
y S U 1 = P T h T U 1 x P + P S h S U 1 x S + η U 1
where η U 1 is AWGN at U1. After using SIC, the achievable rates of x 2 and x 1 at U1 are given, respectively, as
R S U 1 x 2 = 1 2 l o g 2 ( 1 + α 2 ρ S | h S U 1 | 2 ρ T | h T U 1 | 2 + α 1 ρ S | h S U 1 | 2 + 1 )   and   R S U 1 x 1 = 1 2 l o g 2 ( 1 + α 1 ρ S | h S U 1 | 2 ρ T | h T U 1 | 2 + 1 )
Note that the prerequisite for a receiving node to decode x 1 is that x 2 has been successfully detected and cancelled, i.e., R S R n x 1 and R S U 1 x 1 are achievable under the conditions that R S R n x 2 R 2 and R S U 1 x 2 R 2 in Equation (2) and Equation (4), respectively.
At the end of the first time slot, the decoding result is sent to relays as a signaling. There are two possible cases: (1) U1 fails to get the desired message in the first time slot. Then, it will send a signaling to relays and an optimal relay from the candidate set will be selected to forward the superimposed signal to U1 and U2 in the next time slot; (2) U1 successfully decodes the desired message. Then, a signaling will be sent by U1 and an optimal relay from the candidate set or U1 will be selected to forward the signal that U2 expects. Note that U1 sends the signaling to relays instead of BS [30,31,32].
Then, we can obtain the signaling sent by U1 at the end of the first slot. Let Θ ( Θ { 11 , 10 , 01 , 00 } ) denote the signaling sent by U1. As shown in Table 1, Θ = 11 indicates that U1 successfully decodes x 2 and x 1 and does not need the help of relays; Θ = 10 means U1 correctly decodes x 2 but cannot detect x 1 , so it needs the help of relays; Θ = 01 indicates that U1 fails to decode x 2 but successfully detects x 1 , so if U1 can receive x 2 in the next time slot, it can successfully extract x 1 from the superimposed signal obtained in the first slot; Θ = 00 is that U1 fails to decode x 2 and x 1 even if x 2 is obtained in the next slot.

2.2.2. Cooperative Transmission Stage of the Second Time Slot

In the second time slot, the cooperative links are activated. An optimal relay is selected to forward the signal from BS by using adaptive power allocation coefficients. There are two possible scenarios:
(1)
Relay R n is selected as the optimal relay. R n will re-encode the decoded signal and generate a new superimposed signal, x R n Θ = β n 1 Θ x 1 + β n 2 Θ x 2 , according to SC. Here β n 1 Θ and β n 2 Θ denote the power allocation coefficients at the optimal relay for messages x 1 and x 2 with β n 1 Θ 0 ,   β n 2 Θ 0 and β n 1 Θ + β n 2 Θ = 1 , respectively. U2 is not affected by PT because it is far from PT. Therefore, the received signal at U2 and U1 can be expressed as
y R n U 2 = P R h R n U 2 x R n Θ + η U 2
and
y R n U 1 = P T h T U 1 x P + P R h R n U 1 x R n Θ + η U 1
respectively, where P R is the transmit power of relays and U1.
(2)
U1 is selected as the optimal relay. Then, U1 will forward x 2 with full power because it has successfully decoded both x 1 and x 2 . The received signal at U2 is
y U 1 U 2 = P R h U 1 U 2 x 2 + η U 2
and the achievable rate of x 2 at U2 is given by
R U 1 U 2 x 2 = 1 2 l o g 2 ( 1 + ρ R | h U 1 U 2 | 2 )
where ρ R = P R / σ 2 is the transmit SNR for relays and U1.

2.3. Transmit Power Constraints in Secondary Networks

In underlay mode, primary and secondary users in CRNs can work within the same spectrum simultaneously. However, if the secondary network has no transmit power constraint, it will cause serious signal interference to the primary network. Therefore, in order to ensure the performance of the primary network, in this paper, BS and the selected relay adaptively adjust their transmit powers.
Next, I t h is defined as a threshold and represents the maximum tolerable interference level of primary network, at which reliable communication can be guaranteed. Assuming that the maximum permissible transmit powers of BS and relays are P 1 and P 2 , respectively, the transmit powers of BS and relays are constrained as [33].
P S = m i n { I t h | h S R | 2 , P 1 }   and   P R = m i n { I t h | h R n R | 2 , P 2 } .
Especially, when U1 is used as an optimal relay, h R n R in (9) will be replaced by h U 1 R .

3. Two-Stage Adaptive Relay Selection and Power Allocation Strategy

In this section, a two-stage adaptive relay selection and power allocation strategy is proposed to maximize the achievable data rate of x 2 at U2 while guaranteeing the QoS of U1. The selection criteria of the optimal relay change adaptively according to the signal sent by U1 at the end of the first time slot (i.e., the decoding result of U1). After all relays receive the signal, the candidate sets will be determined, and the optimal relay will be selected from the candidate sets or U1 to transmit the user’s desired signal. There are two stages:
  • In the first stage, the relays are selected from the candidate sets to ensure that the achievable rate of the transmitted signal is not lower than the target data rate of U1;
  • In the second stage, a relay that maximizes the achievable rate of x 2 at U2 is selected from the relays determined in the first stage.
Power allocation of the optimal relay is adaptive. That means the power allocation needs to ensure the QoS of U1 first, then the remaining power is allocated to U2. After sending the signaling, U1 will adjust its decoding order in the second time slot according to decoding result. In particular, if U1 fails to decode its own signal in the first time slot, it will be considered as a “weak user” in the second time slot. Therefore, according to the signaling sent by U1, four relay selection criteria with power allocation are designed as follows.
  • Case 1: U1 successfully decodes x 2 and x 1 ( Θ = 11 )
In this case, U1 successfully decodes x 2 and x 1 in the first time slot and does not need the assistance from relays in the second time slot. The optimal relay from S 1 or U1 is selected to transmit x 2 to U2.
If R n ,   n S 1 is selected, the power allocation coefficient will be set as β n 2 11 = 1 . It means that R n will send x R n 11 = x 2 with full power to U2. Based on Equation (5), the achievable rate of x 2 at U2 is given by
R R n U 2 x 2 , 11 = 1 2 l o g 2 ( 1 + ρ R | h R n U 2 | 2 )
If all the relays cannot meet the target data rate requirements of U2, U1 is used as the optimal relay. The criterion for determining the optimal relay R n * is given by
n * = { 0 , m a x n S 1 { R R n U 2 x 2 , 11 } < R 2 , a r g m a x n S 1 { R R n U 2 x 2 , 11 } , o t h e r w i s e .
where n * = 0 suggests that U1 is selected as the optimal relay. Different from the selection strategy in [29], relay participation is preferred in this paper.
  • Case 2: U1 successfully decodes x 2 but fails to decode x 1   ( Θ = 10 )
In this case, both U1 and U2 need the assistance from relays in the second time slot. The optimal relay is selected from S 2 . Assuming that R n ,   n S 2 is selected, it will generate a new superimposed signal x R n 10 = β n 1 10 x 1 + β n 2 10 x 2 based on SC to serve U1 and U2. Note that U1 is considered as the weak user in the second slot because it fails to decode its own signal in the first slot. Based on SIC, x 1 is decoded first after U2 receives the superimposed signal. Based on Equation (5), the achievable rates of x 1 and x 2 at U2 can be expressed as
R R n U 2 x 1 , 10 = 1 2 l o g 2 ( 1 + β n 1 10 ρ R | h R n U 2 | 2 β n 2 10 ρ R | h R n U 2 | 2 + 1 )   and   R R n U 2 x 2 , 10 = 1 2 l o g 2 ( 1 + β n 2 10 ρ R | h R n U 2 | 2 )
Since U1 has successfully decoded x 2 in the first time slot, it can remove x 2 from the superimposed signal received in the second time slot. Thus, U1 can decode x 1 without interference from x 2 . Therefore, based on Equation (6), the achievable rate of x 1 at U1 is given by
R R n U 1 x 1 , 10 = 1 2 l o g 2 ( 1 + β n 1 10 ρ R | h R n U 1 | 2 ρ T | h T U 1 | 2 + 1 )
The prerequisite for U2 to decode x 2 is that x 1 is successfully decoded and canceled, i.e., U2 must satisfy the condition of R R n U 2 x 1 , 10 R 1 . In addition, in order to ensure the QoS of U1, the signal x 1 at U1 should satisfy the decoding requirements of R R n U 2 x 1 , 10 R 1 . Therefore, in this case, the criterion for determining the optimal relay R n * is given by
n * = a r g m a x n S 2 { R R n U 2 x 2 , 10 }   subject   to   R R n U 1 x 1 , 10 R 1   and   R R n U 2 x 1 , 10 R 1
From Equations (12)–(14), the optimal power allocation coefficient can be obtained by
β n 2 10 = m i n { [ ρ R | h R n U 2 | 2 γ 1 ] + ρ R | h R n U 2 | 2 ( 1 + γ 1 ) , [ ρ R | h R n U 1 | 2 γ 1 ( ρ T | h T U 1 | 2 + 1 ) ] + ρ R | h R n U 1 | 2 } ,
where γ 1 = 2 2 R 1 1 , γ 2 = 2 2 R 2 1 , and [ x ] + = m a x { 0 , x } .
  • Case 3: U1 fails to decode x 2 but successfully detects x 1 ( Θ = 01 )
In this case, U1 fails to decode x 2 but successfully detects x 1 in the first time slot. Thus, if U1 obtains x 2 in the next slot, it can successfully extract x 1 from the superimposed signal obtained in the first slot. The optimal relay is selected from S 1 . Suppose that R n ,   n S 1 is selected, the power allocation coefficient is set as β n 2 01 = 1 . This means that R n will send x R n 01 = x 2 with full power to serve U1 and U2. Based on Equations (5) and (6), the achievable rate of x 2 at U2 and U1 can be given as
R R n U 2 x 2 , 01 = 1 2 l o g 2 ( 1 + ρ R | h R n U 2 | 2 )   and   R R n U 1 x 2 , 01 = 1 2 l o g 2 ( 1 + ρ R | h R n U 1 | 2 ρ T | h T U 1 | 2 + 1 )
Then, the criterion for determining the optimal relay R n * is given by
n * = a r g m a x n S 1 { R R n U 2 x 2 , 01 }   subject   to   R R n U 1 x 2 , 01 R 2
  • Case 4: U1 fails to decode x 2 and x 1 ( Θ = 00 )
In this case, both U1 and U2 need the assistance from relays in the second slot. The optimal relay is selected from S 2 . Assuming that R n ,   n S 2 is selected, it will generate a new superimposed signal x R n 00 = β n 1 00 x 1 + β n 2 00 x 2 based on SC to serve U1 and U2. U1 is also considered as the weak user in this case. Based on SIC, x 1 is decoded firstly after U1 and U2 receive the superimposed signal. Based on Equation (5), the achievable rates of x 1 and x 2 at U2 are given as
R R n U 2 x 1 , 00 = 1 2 l o g 2 ( 1 + β n 1 00 ρ R | h R n U 2 | 2 β n 2 00 ρ R | h R n U 2 | 2 + 1 )   and   R R n U 2 x 2 , 00 = 1 2 l o g 2 ( 1 + β n 2 00 ρ R | h R n U 2 | 2 )
Unlike case 2, U1 does not get any signal in the first time slot. The achievable rate of x 1 at U1 in the second time slot is given by
R R n U 1 x 1 , 00 = 1 2 l o g 2 ( 1 + β n 1 00 ρ R | h R n U 1 | 2 ρ T | h T U 1 | 2 + β n 2 00 ρ R | h R n U 1 | 2 + 1 )
Similarly, the criterion for determining the optimal relay R n * is given by
n * = a r g m a x n S 2 { R R n U 2 x 2 , 00 }   subject   to   R R n U 1 x 1 , 00 R 1   and   R R n U 2 x 1 , 00 R 1 .
Then, the optimal power allocation coefficient can be obtained by
β n 2 00 = m i n { [ ρ R | h R n U 2 | 2 γ 1 ] + ρ R | h R n U 2 | 2 ( 1 + γ 1 ) , [ ρ R | h R n U 1 | 2 γ 1 ( ρ T | h T U 1 | 2 + 1 ) ] + ρ R | h R n U 1 | 2 ( 1 + γ 1 ) } .
The above four cases correspond to four decoding results of U1 at the end of the first time slot. The adaptability of relay selection is reflected in that each decoding result of U1 has its own relay selection criteria. Based on the proposed two-stage adaptive relay selection and power allocation strategy, we evaluate the performance of the cooperative underlay CR-NOMA network.

4. Outage Performance

Outage probability reflects the ability of the user in the system to receive and decode data correctly. The outage probabilities of U1 and U2 are obtained based on the cumulative distribution functions (CDFs) and probability density function (PDF).
A characteristics function is defined, i.e., I { A } = 1 for the event A occurs and I { A } = 0 for otherwise, which will be used in the following. In order to facilitate the derivation of outage probability expressions, the following propositions are presented.
Proposition 1.
Defining a random variable ρ | h | 2 where ρ = P / σ 2 , P = m i n { I t h / | h 0 | 2 , P 0 } , h 0 C N ( 0 , λ 0 ) , h C N ( 0 , λ ) and σ 2 , I t h , P 0 are constants, the CDF of ρ | h | 2 is given by
F ρ | h | 2 ( x ) = 1 e x p ( σ 2 x λ P 0 ) ( 1 λ 0 σ 2 x λ I t h + λ 0 σ 2 x e x p ( I t h λ 0 P 0 ) ) .
Proof. 
Noting that F | h 0 2 | ( x ) = 1 e x p ( x / λ 0 ) , since h 0 C N ( 0 , λ 0 ) , the random variable P = m i n { I t h / | h 0 | 2 , P 0 } can be written as
P = { P 0 , | h 0 | 2 I t h / P 0 , I t h / | h 0 | 2 , | h 0 | 2 I t h / P 0 .
Therefore, for a given | h 0 | 2 , the CDF of the random variable ρ | h | 2 can be given by
F ρ | h | 2 ( x ) = 0 P r { ρ | h | 2 x h 0 | 2 = y } f | h 0 | 2 ( y ) d y
where P r { ρ | h | 2 x h 0 | 2 = y }
= P r { ρ | h | 2 x h 0 | 2 = y , y I t h P 0 } I { y I t h P 0 } + P r { ρ | h | 2 x h 0 | 2 = y , y > I t h P 0 } I { y > I t h P 0 } = ( 1 e x p ( σ 2 x λ P 0 ) ) I { y I t h P 0 } + ( 1 e x p ( σ 2 x y λ I t h ) ) I { y > I t h P 0 } ;
f | h 0 | 2 ( y ) = 1 / λ 0 e x p ( y / λ 0 )
Substituting Equations (25) and (26) into (24), and after some algebraic manipulations, we can obtain Equation (22), which completes the proof for Proposition 1. □
Proposition 2.
Defining a random variable ρ | h | 2 + 1 where ρ = P / σ 2 , h C N ( 0 , λ ) h C N ( 0 , λ ) and σ 2 , P are constants, the CDF and PDF of ρ | h | 2 + 1 are given, respectively, as
F ρ | h | 2 + 1 ( x ) = [ 1 e x p ( σ 2 ( x 1 ) λ P ) ] I { x 1 }   and   f ρ | h | 2 + 1 ( x ) = [ σ 2 λ P e x p ( σ 2 ( x 1 ) λ P ) ] I { x 1 }
Proof obviously.
The following two theorems provide the closed-form expressions for the outage probabilities achieved by the two-stage adaptive relay selection and power allocation of two users in the proposed cooperative underlay CR-NOMA network.
Theorem 1.
The outage probability for U2 in cooperative underlay CR-NOMA networks with the proposed two-stage adaptive relay selection and power allocation strategy is given by
P 2 = σ 2 λ T U 1 P T e x p ( σ 2 λ T U 1 P T ) ( Q 1 Q 2 ) [ 1 e x p ( σ 2 γ 2 λ U 1 U 2 P 2 ) ( 1 λ U 1 R σ 2 γ 2 λ U 1 U 2 I t h + λ U 1 R σ 2 γ 2 e x p ( I t h λ U 1 R P 2 ) ) ] × n = 1 N [ σ 2 λ T R n P T e x p ( σ 2 λ T R n P T ) ( Q 5 Q 6 ) ( 1 e x p ( σ 2 γ 2 λ R n U 2 P 2 ) ( 1 λ R n R σ 2 γ 2 λ R n U 2 I t h + λ R n R σ 2 γ 2 e x p ( I t h λ R n R P 2 ) ) ) ]   + [ 1 σ 2 λ T U 1 P T e x p ( σ 2 λ T U 1 P T ) ( Q 3 Q 4 ) ] × n = 1 N [ 1 e x p ( σ 2 γ 0 λ R n U 2 P 2 ) ( 1 λ R n R σ 2 γ 0 λ R n U 2 I t h + λ R n R σ 2 γ 0 e x p ( I t h λ R n R P 2 ) ) × e x p ( σ 2 ( 1 + γ 1 ) γ 2 λ R n U 2 P 2 ) ( 1 λ R n R σ 2 ( 1 + γ 1 ) γ 2 λ R n U 2 I t h + λ R n R σ 2 ( 1 + γ 1 ) γ 2 e x p ( I t h λ R n R P 2 ) ) × σ 4 λ T R n P T λ T U 1 P T e x p ( σ 2 λ T R n P T + σ 2 λ T U 1 P T ) ( Q 7 Q 8 ) ( Q 9 Q 10 ) ] + σ 2 λ T U 1 P T e x p ( σ 2 λ T U 1 P T ) [ ( Q 2 Q 1 ) ( Q 4 Q 3 ) ] × { n = 1 N [ 1 e x p ( σ 2 γ 2 λ R n U 2 P 2 ) ( 1 λ R n R σ 2 γ 2 λ R n U 2 I t h + λ R n R σ 2 γ 2 e x p ( I t h λ R n R P 2 ) ) × σ 4 λ T R n P T λ T U 1 P T e x p ( σ 2 λ T R n P T + σ 2 λ T U 1 P T ) ( Q 5 Q 6 ) ( Q 11 Q 12 ) ] , α 2 1 γ 1 γ 0 , n = 1 N [ 1 e x p ( σ 2 γ 2 λ R n U 2 P 2 ) ( 1 λ R n R σ 2 γ 2 λ R n U 2 I t h + λ R n R σ 2 γ 0 e x p ( I t h λ R n R P 2 ) ) × e x p ( σ 2 γ 2 λ R n U 2 P 2 ) ( 1 λ R n R σ 2 γ 2 λ R n U 2 I t h + λ R n R σ 2 γ 2 e x p ( I t h λ R n R P 2 ) ) × σ 4 λ T R n P T λ T U 1 P T e x p ( σ 2 λ T R n P T + σ 2 λ T U 1 P T ) ( Q 7 Q 8 ) ( Q 9 Q 10 ) ] , α 2 > 1 γ 1 γ 0 .
where γ 0 = γ 1 + γ 2 + γ 1 γ 2 , γ α = γ 2 / ( α 2 α 1 γ 2 ) and Q 1 ~ Q 12 can be found in Appendix A.
Proof. See Appendix A. □
Theorem 2.
The outage probability for U1 in cooperative underlay CR-NOMA networks with the proposed two-stage adaptive relay selection and power allocation strategy is given by
P 1 = [ 1 σ 2 λ T U 1 P T e x p ( σ 2 λ T U 1 P T ) ( Q 3 Q 4 ) ] × n = 1 N [ σ 2 λ T R n P T e x p ( σ 4 λ T R n P T λ T U 1 P T + σ 2 λ T U 1 P T ) ( Q 7 Q 8 ) ( Q 9 Q 10 ) ] + σ 2 λ T U 1 P T e x p ( σ 2 λ T U 1 P T ) [ ( Q 2 Q 1 ) ( Q 4 Q 3 ) ] × { n = 1 N [ 1 σ 4 λ T R n P T λ T U 1 P T e x p ( σ 2 λ T R n P T + σ 2 λ T U 1 P T ) ( Q 5 Q 6 ) ( Q 11 Q 12 ) ] , α 2 1 γ 1 γ 0 , n = 1 N [ 1 σ 4 λ T R n P T λ T U 1 P T e x p ( σ 2 λ T R n P T + σ 2 λ T U 1 P T ) ( Q 7 Q 8 ) ( Q 9 Q 10 ) ] , α 2 > 1 γ 1 γ 0 .
Proof. See Appendix B. □

5. Numerical Simulations

This section provides computer simulations to evaluate the outage performance for the proposed cooperative underlay CR-NOMA networks. Monte Carlo simulations over 10 6 are also provided to validate the correctness of the mathematical derivations. Suppose that λ X Y = d X Y ζ , where d X Y denotes the distance between the transmitting node X and the receiving node Y , and ζ is the path loss exponent. Without loss of generality, we set d T U 1 = d T R n = d S R n = d R n U 2 = d R n R = d U 1 U 2 = d U 1 R = d , d S U 1 = 2 d , d S R = 1.5 d , d R n U 1 = 0.5 d , ζ = 3 , σ 2 = 1 and P 1 = P 2 = P 0 , where it is assumed that d = 10 for simplicity and all relays have the same average channel gain.
Figure 2 illustrates the outage probability of the secondary users (U1 and U2) versus the maximum transmit power P 0 of the secondary for different number of relays. Firstly, it can be seen that both U1 and U2 have better outage performance as the increase of P 0 in secondary. Secondly, one can see that the proposed two-stage adaptive relay selection strategy can achieve better outage performance as the number of relays increases, since the more relays there are, the more decodable relays will be included in the candidate set. Furthermore, it can be observed that the outage probability of U1 is always lower than that of U2, mainly because U1 has both a direct link from the BS and a cooperative link from the optimal relay, while U2 has only a link from the optimal relay. In addition, we compare the proposed cooperative scheme with the one without the link U1→U2, and the results show that the former has better outage performance. With the increase of the number of relays, the gap between the outage probability of U2 caused by these two schemes gradually becomes smaller, because the existence of the link U1→U2 is harmonized by the excessive number of relays.
Figure 3 and Figure 4 show the impact of the transmit power of the primary and the interference threshold on the secondary outage performance for the different number of relays, respectively. Obviously, the impact of the transmit power constraint and interference constraint imposed by the primary on the secondary cannot be ignored. On the one hand, too high transmit power of the primary can significantly degrade the signal quality of the secondary network; on the other hand, a lower interference threshold, while ensuring QoS in the primary, may cause the secondary to adjust to a suitable (lower) transmit power. However, if the interference threshold constraint is relaxed, the outage probability of U1 and U2 will stabilize when I t h > 35   dB . This result shows that the outage performance improves until a certain lower limit of the outage probability determined by the interference constraint of the primary network.
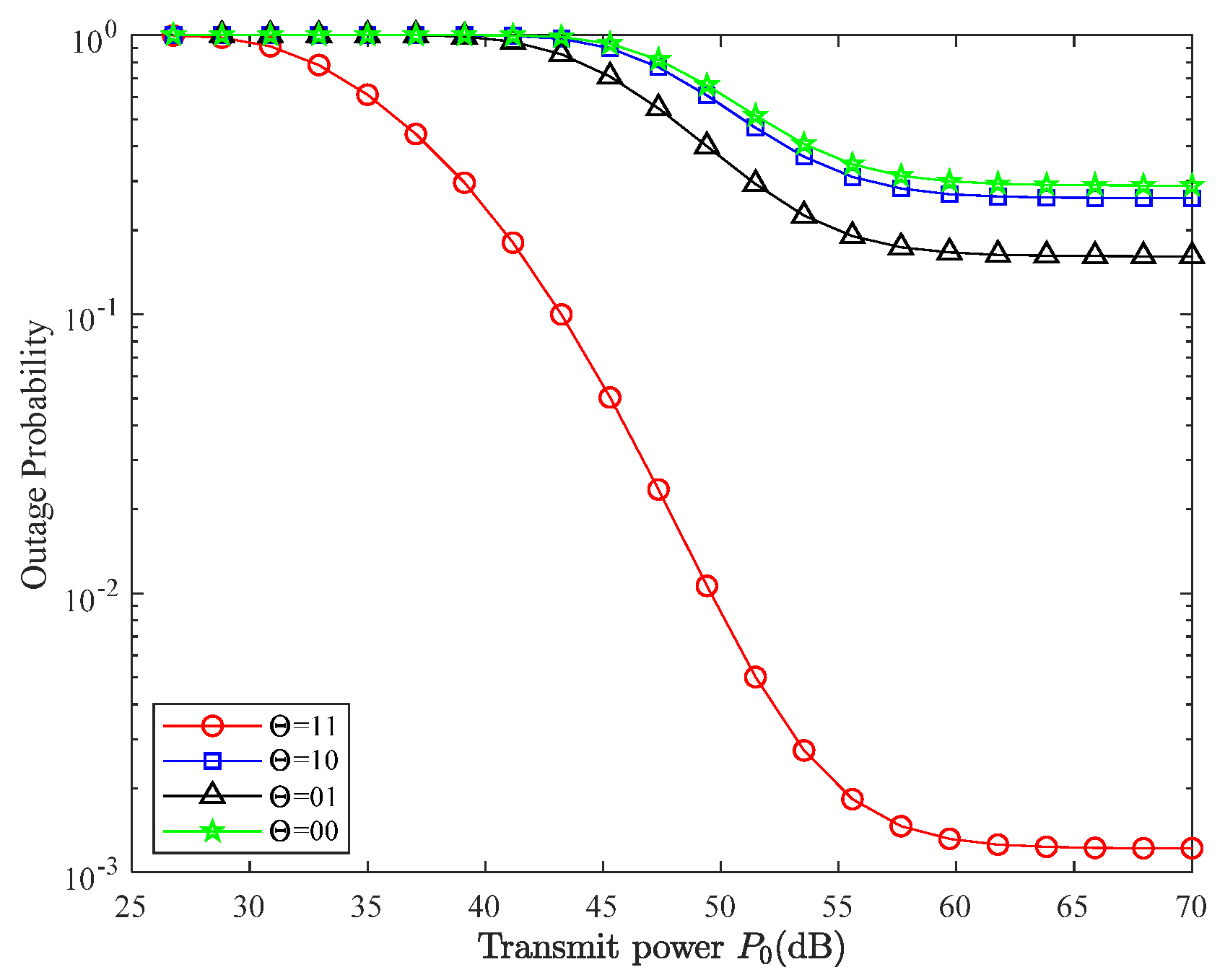
Figure 5 plots the outage probability of U2 versus the maximum transmit power P 0 for different signaling. At the end of the first slot, U1 sends four kinds of signaling to the relays according to its decoding results. When Θ { 11 , 01 } , the optimal relay assists U2 with full power. In particular, when Θ = 11 , U1 will give aid to U2 as much as possible if there is no relay that satisfies the condition. However, when Θ { 10 , 00 } , the optimal relay allocates power to U1 and U2 with adaptive power allocation strategy, and opportunistically serves U2 while satisfying the QoS of U1. Therefore, the outage performance of Θ { 11 , 01 } is better than that of Θ { 10 , 00 } , and U2 has the best outage performance when Θ = 11 . As shown in Figure 3, The outage probability is the lowest when Θ = 11 , followed by Θ = 01 , and similar when Θ = 10 and Θ = 00 , which just verifies the correctness of the above analysis.
In Figure 6, we investigate how the power allocation factor α 2 at BS affects the outage probability of the secondary users for different target rates. As α 2 increases, the outage probability decreases and then increases for both U1 and U2, which implies that an optimal α 2 can be found to optimize the outage performance of the secondary. Compared to the cooperative scheme without the link U1→U2, the proposed cooperation achieves optimal outage performance by allocating less power to U2 since the presence of the link U1→U2 improves the diversity gain. It can also be observed that the outage performance is enhanced significantly with low target rates, indicating that the high target data rate of the user side will adversely affect the system outage performance. When decreasing the target rate, the gap between the outage probability of two users gradually decreases, because the achievable rate at the far user is maximized through adaptive power allocation.
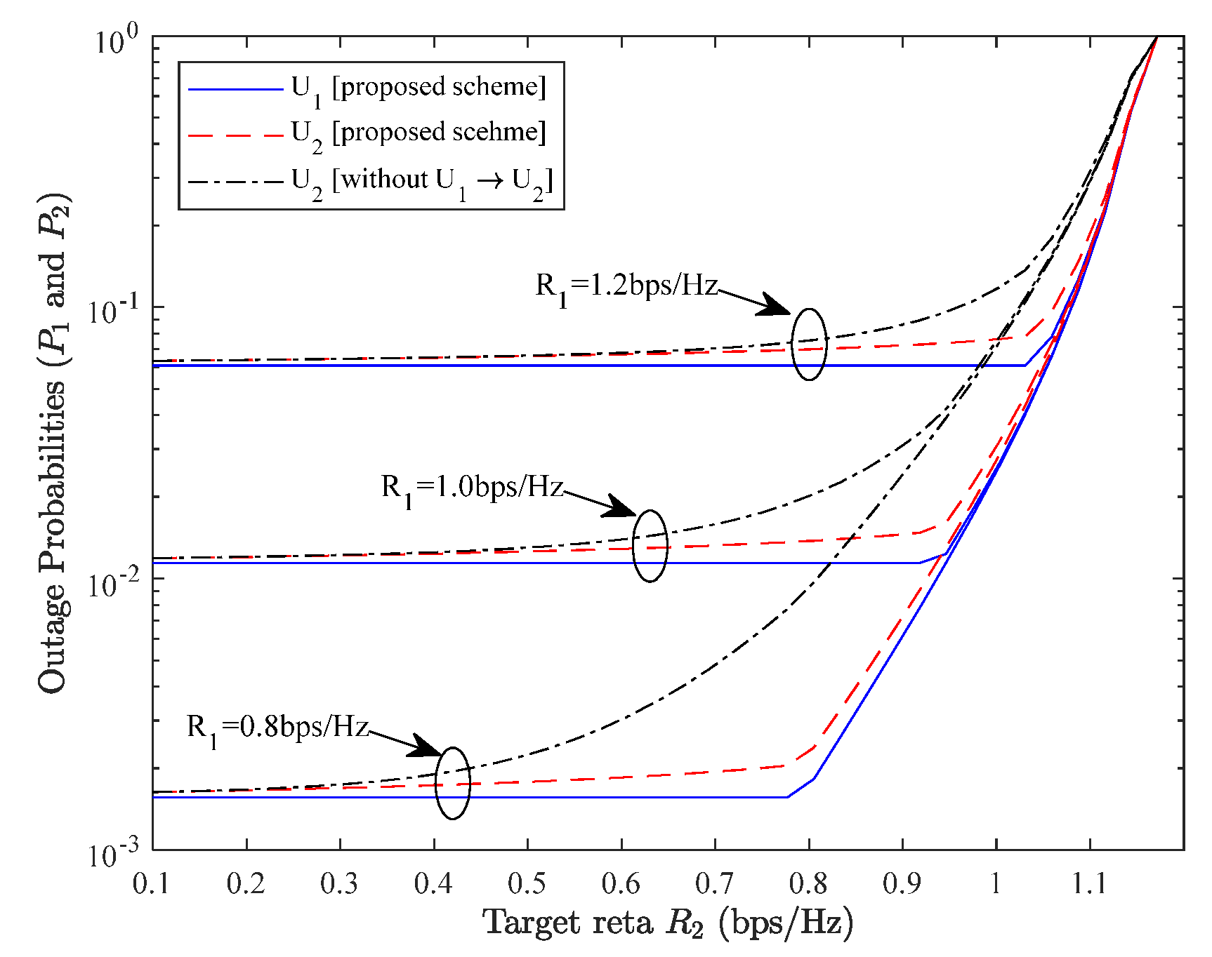
Figure 7 shows the impact of target rate R 2 on the secondary outage performance for different R 1 . With the increase of R 2 , the outage probability of two users first remains stable and then increases rapidly in the higher R 2 range. For a given R 2 , a higher R 1 leads to a higher outage probability. This result further confirms that it is not advisable to set too high a data rate at the user side, especially for the far user. Because the QoS of the near user is guaranteed first, and then the far user is opportunistically assisted, it is difficult to achieve a high data rate at the far user.

6. Conclusions

In this paper, we analyzed the outage performance of cooperative underlay CR-NOMA networks with a novel cooperation involving dedicated relay cooperation and user cooperation. At the end of the first time slot, four possible decoding results were derived at the near user. Accordingly, a two-stage adaptive relay selection and power allocation strategy in the secondary time slot was presented. By discussing the decoding results, four relay selection criteria and the corresponding power allocation coefficients were obtained. Finally, we derived the closed-form expressions of the outage probability for the two secondary users, and revealed the impacts of essential parameters on outage performance of the secondary network, such as transmit power, number of relays, interference threshold, and target data rate. The Monte Carlo simulations verified the correctness of the theoretical analysis.
Compared to the existing cooperative scheme without the link U1→U2, the proposed cooperation with a two-stage adaptive relay selection and power allocation strategy can significantly improve the system outage performance when the number of relays is small. Moreover, the proposed strategy improves the rate fairness of users and achieves the optimal value of outage performance for all users by allocating less power to the far user. Furthermore, we also verify that a low target data rate at the receiver side is more conducive to achieving a lower outage probability, which is consistent with the results for the NOMA system presented in [34].

Author Contributions

W.L. researched the literatures, conceived the study concepts, designed the algorithm, and took charge of the original draft preparation; S.L. improved the mathematical models, provided the systematic research and analysis methodology, and edited the manuscript, and supervised the completion of the refinement of the paper; V.P. gave valuable suggestions for revision; N.Y. and S.Y. completed some numerical simulations, and checked formula deducing and English grammar. All authors have read and agreed to the published version of the manuscript.

Funding

This research was funded in part by the National Natural Science Foundation of China under Grant 61663024, in part by the Hongliu First Class Discipline Development Project of Lanzhou University of Technology, and in part by the Excellent Postgraduate “Innovation Star” Project of Gansu Province under Grant 2021CXZX-537.

Data Availability Statement

The data supporting this article are from previously reported studies and datasets, which have been cited.

Conflicts of Interest

The authors declare no conflict of interest.

Appendix A

Proof of Theorem 1.
The outage probability of cooperative networks with DF relays is defined as the probability that the achievable data rates of relays or users are less than the target data rates [10]. This means that the outage event occurs at U2 when all relays in the system do not help U2 achieve its target data rate. From the Law of Total Probability, the outage probability for U2 can be written as [6,10]
P 2 = Θ { 11 , 10 , 01 , 00 } P Θ P o u t , 2 Θ
where P Θ denotes the probability of the event that a signaling sent by U1 is Θ , and P o u t , 2 Θ represents the outage probability for U2 in the case of Θ .
Now let us focus on the derivation of P Θ . Based on Equation (4), the probability of the event that Θ = 11 is given by
P 11 = P r { R S U 1 x 2 R 2 , R S U 1 x 1 R 1 } = P r { α 2 ρ S | h S U 1 | 2 ρ T | h T U 1 | 2 + α 1 ρ S | h S U 1 | 2 + 1 γ 2 , α 1 ρ S | h S U 1 | 2 ρ T | h T U 1 | 2 + 1 γ 1 } = P r { ρ S | h S U 1 | 2 ( ρ T | h T U 1 | 2 + 1 ) φ 1 } = 0 [ 1 F ρ S | h S U 1 | 2 ( φ 1 y ) ] f ρ T | h T U 1 | 2 + 1 ( y ) d y = σ 2 λ T U 1 P T e x p ( σ 2 λ T U 1 P T ) ( Q 1 Q 2 ) .
where Q 1 and Q 2 are given, respectively, as
Q 1 = 1 e x p ( a 1 y ) d y = 1 a 1 e x p ( a 1 ) , Q 2 = e x p ( I t h λ S R P 1 ) 1 y b 1 + y e x p ( a 1 y ) d y = t = b 1 + y e x p ( I t h λ S R P 1 ) 1 + b 1 t b 1 t e x p ( a 1 ( t b 1 ) ) d y = e x p ( I t h λ S R P 1 ) e x p ( a 1 b 1 ) [ 1 + b 1 e x p ( a 1 t ) d y 1 + b 1 b 1 t e x p ( a 1 t ) d y ] = e x p ( I t h λ S R P 1 ) e x p ( a 1 b 1 ) [ 1 a 1 e x p ( a 1 a 1 b 1 ) b 1 E 1 ( a 1 + a 1 b 1 ) q ] .
In Q 1 and Q 2 , a 1 = σ 2 ( φ 1 λ T U 1 P T + λ S U 1 P 1 ) ( λ S U 1 P 1 λ T U 1 P T ) , b 1 = ( λ S U 1 I t h ) ( λ S R σ 2 φ 1 ) , φ 1 = m a x { γ α , γ 1 α 1 } , γ α = γ 2 ( α 2 α 1 γ 2 ) and q is obtained by exponential integral function E 1 ( x ) = E i ( x ) = 1 1 t e x p ( t ) d t and Equation (3.352.2) in [35].
The probability of the event that Θ = 10 is given by
P 10 = P r { R S U 1 x 2 R 2 , R S U 1 x 1 < R 1 } = P r { α 2 ρ S | h S U 1 | 2 ρ T | h T U 1 | 2 + α 1 ρ S | h S U 1 | 2 + 1 γ 2 , α 1 ρ S | h S U 1 | 2 ρ T | h T U 1 | 2 + 1 < γ 1 } = [ F ρ S | h S U 1 | 2 ( ( ρ T | h T U 1 | 2 + 1 ) φ 1 ) F ρ S | h S U 1 | 2 ( ( ρ T | h T U 1 | 2 + 1 ) φ 2 ) ] I { γ α < γ 2 α 1 } = σ 2 λ T U 1 P T e x p ( σ 2 λ T U 1 P T ) [ ( Q 2 Q 1 ) ( Q 4 Q 3 ) ] I { α 2 > 1 γ 1 γ 0 } ,
where Q 3 = 1 / a 2 e x p ( a 2 ) ,   Q 4 = e x p ( I t h ( λ S R P 1 ) ) e x p ( a 2 b 2 ) [ 1 a 2 e x p ( a 2 a 2 b 2 ) b 2 E 1 ( a 2 + a 2 b 2 ) ] . In Q 3 and Q 4 , a 2 = σ 2 ( φ 2 λ T U 1 P T + λ S U 1 P 1 ) ( λ S U 1 P 1 λ T U 1 P T ) , b 2 = ( λ S U 1 I t h ) ( λ S R σ 2 φ 2 ) , φ 2 = m i n { γ α , γ 1 / α 1 } and γ 0 = γ 1 + γ 2 + γ 1 γ 2 .
The probability of the event that Θ = 01 is given by
P 01 = P r { R S U 1 x 2 < R 2 , R S U 1 x 1 R 1 } = σ 2 λ T U 1 P T e x p ( σ 2 λ T U 1 P T ) [ ( Q 2 Q 1 ) ( Q 4 Q 3 ) ] I { α 2 1 γ 1 γ 0 }
The probability of the event that Θ = 00 is given by
P 00 = P r { R S U 1 x 2 < R 2 , R S U 1 x 1 < R 1 } = 1 + σ 2 λ T U 1 P T e x p ( σ 2 λ T U 1 P T ) ( Q 4 Q 3 ) .
which completes the derivation of P Θ . Then, let us focus on the derivation of P o u t , 2 Θ , which can be expressed as
P o u t , 2 Θ = { P r { R U 1 U 2 x 2 < R 2 } n = 1 N [ 1 P n , 2 Θ ] , Θ = 11 , n = 1 N [ 1 P n , 2 Θ ] , Θ { 10 , 01 , 00 } ,
where P r { R U 1 U 2 x 2 < R 2 } is the probability that U1 fails to help U2 decode x 2 . Based on Equation (8), we have
P r { R U 1 U 2 x 2 < R 2 } = P r { ρ R | h U 1 U 2 | 2 < γ 2 } = F ρ R | h U 1 U 2 | 2 ( γ 2 ) = 1 e x p ( σ 2 γ 2 λ U 1 U 2 P 2 ) ( 1 λ U 1 R σ 2 γ 2 λ U 1 U 2 I t h + λ U 1 R σ 2 γ 2 e x p ( I t h λ U 1 R P 2 ) ) .
and P n , 2 Θ in (A6) denotes the probability that the optimal relay successfully assists U2 to decode x 2 in the case of Θ ; that is, all relays in the candidate set have ability to make their achievable data rate reach the target data rate, i.e.,
P n , 2 Θ = { P r { R S R n x 2 R 2 } P r { R R n U 2 x 2 , Θ R 2 } , Θ { 11 , 01 } , P r { R S R n x 2 R 2 , R S R n x 1 R 1 } P r { R R n U 2 x 2 , Θ R 2 } , Θ { 10 , 00 } .
Based on Equation (2), Proposition 1 and Proposition 2, we can get
P r { R S R n x 2 R 2 } = P r { α 2 ρ S | h S R n | 2 ρ T | h T R n | 2 + α 1 ρ S | h S R n | 2 + 1 γ 2 } = P r { ρ S | h S R n | 2 ( ρ T | h T R n | 2 + 1 ) γ α } = 0 [ 1 F ρ S | h S R n | 2 ( γ α y ) ] f ρ T | h T R n | 2 + 1 ( y ) d y = σ 2 λ T R n P T e x p ( σ 2 λ T R n P T ) ( Q 5 Q 6 ) .
where Q 5 = 1 / a 3 e x p ( a 3 ) , Q 6 = e x p ( I t h ( λ S R P 1 ) ) e x p ( a 3 b 3 ) [ 1 a 3 e x p ( a 3 a 3 b 3 ) b 3 E 1 ( a 3 + a 3 b 3 ) ] . In Q 5 and Q 6 , a 3 = σ 2 ( γ α λ T R n P T + λ S R n P 1 ) ( λ S R n P 1 λ T R n P T ) and b 3 = ( λ S R n I t h ) ( λ S R σ 2 γ α ) . On the other hand, we can obtain
P r { R S R n x 2 R 2 , R S R n x 1 R 1 } = P r { α 2 ρ S | h S R n | 2 ρ T | h T R n | 2 + α 1 ρ S | h S R n | 2 + 1 γ 2 , α 1 ρ S | h S R n | 2 ρ T | h T R n | 2 + 1 γ 1 }       = P r { ρ S | h S R n | 2 ( ρ T | h T R n | 2 + 1 ) φ 1 } = 0 [ 1 F ρ S | h S R n | 2 ( φ 1 y ) ] f ρ T | h T R n | 2 + 1 ( y ) d y = σ 2 λ T R n P T e x p ( σ 2 λ T R n P T ) ( Q 7 Q 8 ) ,
where Q 7 = 1 / a 4 e x p ( a 4 ) , Q 8 = e x p ( I t h ( λ S R P 1 ) ) e x p ( a 4 b 4 ) [ 1 a 4 e x p ( a 4 a 4 b 4 ) b 4 E 1 ( a 4 + a 4 b 4 ) ] . In Q 7 and Q 8 , a 4 = σ 2 ( φ 1 λ T R n P T + λ S R n P 1 ) ( λ S R n P 1 λ T R n P T ) and b 4 = ( λ S R n I t h ) ( λ S R σ 2 φ 1 ) .
Based on the results of R R n U 2 x 2 , Θ given in Equations (10), (12), (16) and (18), we can obtain
(a) Θ = 11 :
P r { R R n U 2 x 2 , 11 R 2 } = P r { ρ R | h R n U 2 | 2 γ 2 } = 1 F ρ R | h R n U 2 | 2 ( γ 2 ) = e x p ( σ 2 γ 2 λ R n U 2 P 2 ) ( 1 λ R n R σ 2 γ 2 λ R n U 2 I t h + λ R n R σ 2 γ 2 e x p ( I t h λ R n R P 2 ) ) .
(b) Θ = 10 :
P r { R R n U 2 x 2 , 10 R 2 } = P r { β n 2 10 ρ R | h R n U 2 | 2 γ 2 } = P r { ρ R | h R n U 2 | 2 m i n { [ ρ R | h R n U 2 | 2 γ 1 ] + ρ R | h R n U 2 | 2 ( 1 + γ 1 ) , [ ρ R | h R n U 1 | 2 γ 1 ( ρ T | h T U 1 | 2 + 1 ) ] + ρ R | h R n U 1 | 2 } γ 2 } = P r { [ ρ R | h R n U 2 | 2 γ 1 ] + 1 + γ 1 γ 2 } I 1 P r { ρ R | h R n U 2 | 2 [ ρ R | h R n U 1 | 2 γ 1 ( ρ T | h T U 1 | 2 + 1 ) ] + ρ R | h R n U 1 | 2 γ 2 } I 2
where
I 1 = P r { ρ R | h R n U 2 | 2 γ 1 1 + γ 1 γ 2 , ρ R | h R n U 2 | 2 > γ 1 } = P r { ρ R | h R n U 2 | 2 > γ 0 , ρ R | h R n U 2 | 2 > γ 1 } = P r { ρ R | h R n U 2 | 2 > γ 0 } = 1 F ρ R | h R n U 2 | 2 ( γ 0 ) = e x p ( σ 2 γ 0 λ R n U 2 P 2 ) ( 1 λ R n R σ 2 γ 0 λ R n U 2 I t h + λ R n R σ 2 γ 0 e x p ( I t h λ R n R P 2 ) ) ,
I 2 = P r { ρ R | h R n U 2 | 2 [ ρ R | h R n U 1 | 2 γ 1 ( ρ T | h T U 1 | 2 + 1 ) ] ρ R | h R n U 1 | 2 γ 2 , ρ R | h R n U 1 | 2 > γ 1 ( ρ T | h T U 1 | 2 + 1 ) }       = P r { ρ R | h R n U 2 | 2 ρ R | h R n U 1 | 2 γ 2 ρ R | h R n U 1 | 2 γ 1 ( ρ T | h T U 1 | 2 + 1 ) , ρ R | h R n U 1 | 2 > γ 1 ( ρ T | h T U 1 | 2 + 1 ) } .
When ρ R , we have ρ R | h R n U 1 | 2 γ 2 ρ R | h R n U 1 | 2 γ 1 ( ρ T | h T U 1 | 2 + 1 ) γ 2 , and I 2 can be rewritten as
I 2 = P r { ρ R | h R n U 2 | 2 γ 2 , ρ R | h R n U 1 | 2 > γ 1 ( ρ T | h T U 1 | 2 + 1 ) } = P r { ρ R | h R n U 2 | 2 γ 2 } P r { ρ R | h R n U 1 | 2 > γ 1 ( ρ T | h T U 1 | 2 + 1 ) }
where P r { ρ R | h R n U 2 | 2 γ 2 } can be obtained from (A11), and
P r { ρ R | h R n U 1 | 2 > γ 1 ( ρ T | h T U 1 | 2 + 1 ) } = 0 [ 1 F ρ R | h R n U 1 | 2 ( γ 1 y ) ] f ρ T | h T U 1 | 2 + 1 ( y ) d y = σ 2 λ T U 1 P T e x p ( σ 2 λ T U 1 P T ) ( Q 9 Q 10 )
where Q 9 = 1 a 5 e x p ( a 5 ) , Q 10 = e x p ( I t h ( λ R n R P 2 ) ) e x p ( a 5 b 5 ) [ 1 a 5 e x p ( a 5 a 5 b 5 ) b 5 E 1 ( a 5 + a 5 b 5 ) ] . In Q 9 and Q 10 , a 5 = σ 2 ( γ 1 λ T U 1 P T + λ R n U 1 P 2 ) ( λ R n U 1 P 2 λ T U 1 P T ) and b 5 = ( λ R n U 1 I t h ) ( λ R n R σ 2 γ 1 ) .
Substituting (A13) and (A14) into (A12), the approximate expression of P r { R R n U 2 x 2 , 10 < R 2 } can be obtained as
P r { R R n U 2 x 2 , 10 R 2 } = e x p ( σ 2 γ 0 λ R n U 2 P 2 ) ( 1 λ R n R σ 2 γ 0 λ R n U 2 I t h + λ R n R σ 2 γ 0 e x p ( I t h λ R n R P 2 ) ) × e x p ( σ 2 γ 2 λ R n U 2 P 2 ) ( 1 λ R n R σ 2 γ 2 λ R n U 2 I t h + λ R n R σ 2 γ 2 e x p ( I t h λ R n R P 2 ) ) × σ 2 λ T U 1 P T e x p ( σ 2 λ T U 1 P T ) ( Q 9 Q 10 ) .
(c) Θ = 01 :
Note that the optimal relay must ensure that U1 successfully decodes x 2 , we have
P r { R R n U 2 x 2 , 01 R 2 } = P r { ρ R | h R n U 2 | 2 < γ 2 , ρ R | h R n U 1 | 2 ρ T | h T U 1 | 2 + 1 γ 2 } = P r { ρ R | h R n U 2 | 2 < γ 2 } P r { ρ R | h R n U 1 | 2 ( ρ T | h T U 1 | 2 + 1 ) γ 2 } = e x p ( σ 2 γ 2 λ R n U 2 P 2 ) ( 1 λ R n R σ 2 γ 2 λ R n U 2 I t h + λ R n R σ 2 γ 2 e x p ( I t h λ R n R P 2 ) ) × σ 2 λ T U 1 P T e x p ( σ 2 λ T U 1 P T ) ( Q 11 Q 12 ) .
where Q 11 = 1 a 6 e x p ( a 6 ) , Q 12 = e x p ( I t h ( λ R n R P 2 ) ) e x p ( a 6 b 6 ) [ 1 a 6 e x p ( a 6 a 6 b 6 ) b 6 E 1 ( a 6 + a 6 b 6 ) ] . In Q 11 and Q 12 , a 6 = σ 2 ( γ 2 λ T U 1 P T + λ R n U 1 P 2 ) ( λ R n U 1 P 2 + λ T U 1 P T ) and b 6 = λ R n U 1 I t h λ R n R σ 2 γ 2 .
(d) Θ = 00 :
By using the same derivation method as (b), we can obtain the approximate expression of P r { R R n U 2 x 2 , 00 R 2 } as
P r { R R n U 2 x 2 , 00 R 2 } = e x p ( σ 2 γ 0 λ R n U 2 P 2 ) ( 1 λ R n R σ 2 γ 0 λ R n U 2 I t h + λ R n R σ 2 γ 0 e x p ( I t h λ R n R P 2 ) ) × e x p ( σ 2 ( 1 + γ 1 ) γ 2 λ R n U 2 P 2 ) ( 1 λ R n R σ 2 ( 1 + γ 1 ) γ 2 λ R n U 2 I t h + λ R n R σ 2 ( 1 + γ 1 ) γ 2 e x p ( I t h λ R n R P 2 ) ) × σ 2 λ T U 1 P T e x p ( σ 2 λ T U 1 P T ) ( Q 9 Q 10 ) .
Finally, using (A1)–(A19), the outage probability for U2 in cooperative CR-NOMA networks can be obtained as Equation (28), which completes the proof of Theorem 1. □

Appendix B

Proof of Theorem 2.
When Θ = 11 , the outage cannot happen at U1 since U1 has successfully acquired the desired signal at the end of the first time slot. In addition, the selected optimal relay must satisfy the QoS of U1; that is, as long as the optimal relay exists, U1 will not have an outage. Therefore, the outage event occurs at U1 only when there is no relay in the candidate sets that meet the requirements to be the optimal relay. This also means that when all the power is allocated to the signal to be sent to U1, the achievable rate still does not reach the target data rate.
From the Law of Total Probability and the analyses above, the outage probability U1 can be written as
P 1 = Θ { 10 , 01 , 00 } P Θ P o u t , 1 Θ
where P Θ denotes the probability for the event that a signaling sent by U1 is Θ , which is given by (A3)–(A5), and P o u t , 1 Θ = n = 1 N [ 1 P n , 1 Θ ] represents the outage probability for U1 in the case of Θ , which can be rewritten as
P n , 1 Θ = { P r { R R n U 1 x 2 , Θ R 2 | β n 2 Θ = 0 } P r { R S R n x 2 R 2 } , Θ = 01 , P r { R R n U 1 x 1 , Θ R 1 | β n 2 Θ = 0 } P r { R S R n x 2 R 2 , R S R n x 1 R 1 } , Θ { 10 , 00 } .
where P r { R S R n x 2 R 2 } and P r { R S R n x 2 R 2 , R S R n x 1 R 1 } are given by (A9) and (A10), respectively, and P r { R R n U 1 x 1 , Θ R 1 | β n 2 Θ = 0 } can be expressed as (A22)–(A24).
P r { R R n U 1 x 2 , 01 R 2 | β n 2 01 = 0 } = σ 2 λ T U 1 P T e x p ( σ 2 λ T U 1 P T ) ( Q 11 Q 12 ) ,
P r { R R n U 1 x 1 , 10 R 1 | β n 2 10 = 0 } = σ 2 λ T U 1 P T e x p ( σ 2 λ T U 1 P T ) ( Q 9 Q 10 ) ,
P r { R R n U 1 x 1 , 00 R 1 | β n 2 00 = 0 } = σ 2 λ T U 1 P T e x p ( σ 2 λ T U 1 P T ) ( Q 9 Q 10 ) .
Finally, using (A21)–(A24), the outage probability for U1 in cooperative CR-NOMA networks can be obtained as Equation (29), which completes the proof of Theorem 2. □

References

  1. Tavera Romero, C.A.; Ortiz, J.H.; Khalaf, O.I.; Ríos Prado, A. Business Intelligence: Business Evolution after Industry 4.0. Sustainability 2021, 13, 10026. [Google Scholar] [CrossRef]
  2. Ding, Z.; Lei, X.; Karagiannidis, G.K.; Schober, R.; Yuan, J.; Bhargava, V.K. A Survey on Non-Orthogonal Multiple Access for 5G Networks: Research Challenges and Future Trends. IEEE J. Sel. Areas Commun. 2017, 35, 2181–2195. [Google Scholar] [CrossRef] [Green Version]
  3. Anwar, A.; Seet, B.-C.; Hasan, M.A.; Li, X.J. A Survey on Application of Non-Orthogonal Multiple Access to Different Wireless Networks. Electronics 2019, 8, 1355. [Google Scholar] [CrossRef] [Green Version]
  4. Islam, S.M.R.; Avazov, N.; Dobre, O.A.; Kwak, K.-S. Power-Domain Non-Orthogonal Multiple Access (NOMA) in 5G Systems: Potentials and Challenges. IEEE Commun. Surv. Tutor. 2017, 19, 721–742. [Google Scholar] [CrossRef] [Green Version]
  5. Goldsmith, A.; Jafar, S.A.; Maric, I.; Srinivasa, S. Breaking Spectrum Gridlock with Cognitive Radios: An Information Theoretic Perspective. Proc. IEEE 2009, 97, 894–914. [Google Scholar] [CrossRef]
  6. Li, G.; Mishra, D.; Hu, Y.; Huang, Y.; Jiang, H. Adaptive Relay Selection Strategies for Cooperative NOMA Networks with User and Relay Cooperation. IEEE Trans. Veh. Technol. 2020, 69, 11728–11742. [Google Scholar] [CrossRef]
  7. Ding, Z.; Peng, M.; Poor, H.V. Cooperative Non-Orthogonal Multiple Access in 5G Systems. IEEE Commun. Lett. 2015, 19, 1462–1465. [Google Scholar] [CrossRef] [Green Version]
  8. Zhang, L.; Liu, J.; Xiao, M.; Wu, G.; Liang, Y.-C.; Li, S. Performance Analysis and Optimization in Downlink NOMA Systems with Cooperative Full-Duplex Relaying. IEEE J. Sel. Areas Commun. 2017, 35, 2398–2412. [Google Scholar] [CrossRef]
  9. Ding, Z.; Dai, H.; Poor, H.V. Relay Selection for Cooperative NOMA. IEEE Wirel. Commun. Lett. 2016, 5, 416–419. [Google Scholar] [CrossRef] [Green Version]
  10. Yang, Z.; Ding, Z.; Wu, Y.; Fan, P. Novel Relay Selection Strategies for Cooperative NOMA. IEEE Trans. Veh. Technol. 2017, 66, 10114–10123. [Google Scholar] [CrossRef]
  11. Xu, P.; Yang, Z.; Ding, Z.; Zhang, Z. Optimal Relay Selection Schemes for Cooperative NOMA. IEEE Trans. Veh. Technol. 2018, 67, 7851–7855. [Google Scholar] [CrossRef]
  12. Yu, Z.; Zhai, C.; Liu, J.; Xu, H. Cooperative Relaying Based Non-Orthogonal Multiple Access (NOMA) With Relay Selection. IEEE Trans. Veh. Technol. 2018, 67, 11606–11618. [Google Scholar] [CrossRef]
  13. Li, Y.; Li, Y.; Chu, X.; Ye, Y.; Zhang, H. Performance Analysis of Relay Selection in Cooperative NOMA Networks. IEEE Commun. Lett. 2019, 23, 760–763. [Google Scholar] [CrossRef]
  14. Bletsas, A.; Khisti, A.; Reed, D.P.; Lippman, A. A Simple Cooperative Diversity Method Based on Network Path Selection. IEEE J. Sel. Areas Commun. 2006, 24, 659–672. [Google Scholar] [CrossRef] [Green Version]
  15. Li, S.; Wang, F.; Gaber, J.; Zhou, Y. An Optimal Relay Number Selection Algorithm for Balancing Multiple Performance in Flying Ad Hoc Networks. IEEE Access 2020, 8, 225884–225901. [Google Scholar] [CrossRef]
  16. Lima, B.K.S.; da Costa, D.B.; Yang, L.; Lima, F.R.M.; Oliveira, R.; Dias, U.S. Adaptive Power Factor Allocation for Cooperative Full-Duplex NOMA Systems with Imperfect SIC and Rate Fairness. IEEE Trans. Veh. Technol. 2020, 69, 14061–14066. [Google Scholar] [CrossRef]
  17. Kim, J.-B.; Lee, I.-H. Non-Orthogonal Multiple Access in Coordinated Direct and Relay Transmission. IEEE Commun. Lett. 2015, 19, 2037–2040. [Google Scholar] [CrossRef]
  18. Li, G.; Mishra, D. Cooperative NOMA Networks: User Cooperation or Relay Cooperation? In Proceedings of the ICC 2020—2020 IEEE International Conference on Communications (ICC), Dublin, Ireland, 7–11 June 2020. [Google Scholar]
  19. Khalaf, O.I.; Abdulsahib, G.M. An Improved Efficient Bandwidth Allocation using TCP Connection for Switched Network. J. Appl. Sci. Eng. 2021, 24, 735–741. [Google Scholar]
  20. Lv, L.; Ni, Q.; Ding, Z.; Chen, J. Application of Non-Orthogonal Multiple Access in Cooperative Spectrum-Sharing Networks Over Nakagami-m Fading Channels. IEEE Trans. Veh. Technol. 2017, 66, 5506–5511. [Google Scholar] [CrossRef] [Green Version]
  21. Lv, L.; Chen, J.; Ni, Q. Cooperative Non-Orthogonal Multiple Access in Cognitive Radio. IEEE Commun. Lett. 2016, 20, 2059–2062. [Google Scholar] [CrossRef] [Green Version]
  22. Singh, S.; Bansal, M. Performance Analysis of NOMA-Based AF Cooperative Overlay System with Imperfect CSI and SIC. IEEE Access 2021, 9, 40263–40273. [Google Scholar] [CrossRef]
  23. Im, G.; Lee, J.H. Outage Probability for Cooperative NOMA Systems with Imperfect SIC in Cognitive Radio Networks. IEEE Commun. Lett. 2019, 23, 692–695. [Google Scholar] [CrossRef]
  24. Arzykulov, S.; Nauryzbayev, G.; Tsiftsis, T.A.; Maham, B. Performance Analysis of Underlay Cognitive Radio Nonorthogonal Multiple Access Networks. IEEE Trans. Veh. Technol. 2019, 68, 9318–9322. [Google Scholar] [CrossRef]
  25. Li, C.; Guo, D.; Guo, K.; Qin, Y.; Xu, R. Outage Performance of Partial Relay Selection in Underlay CR-NOMA Networks. In Proceedings of the 2019 28th Wireless and Optical Communications Conference (WOCC), Beijing, China, 9–10 May 2019. [Google Scholar]
  26. Lee, S.; Duong, T.Q.; da Costa, D.B.; Ha, D.-B.; Nguyen, S.Q. Underlay Cognitive Radio Networks with Cooperative Non-Orthogonal Multiple Access. IET Commun. 2018, 12, 359–366. [Google Scholar] [CrossRef]
  27. Chamisa, M.; Takawira, F.; Moualeu, J.M. Non-Orthogonal Multiple Access in Spectrum-Sharing Network under Interference Power Constraints. In Proceedings of the 2019 IEEE AFRICON, Accra, Ghana, 25–27 September 2019. [Google Scholar]
  28. Nguyen, T.-T.; Vu, T.-H.; Nguyen, T.-V.; da Costa, D.B.; Ho, C.D. Underlay Cognitive NOMA-Based Coordinated Direct and Relay Transmission. IEEE Wirel. Commun. Lett. 2021, 10, 854–858. [Google Scholar] [CrossRef]
  29. Sultan, K. optimal relay Selection Schemes for NOMA Based Cognitive Relay Networks in Underlay Spectrum Sharing. IEEE Access 2020, 8, 190160–190172. [Google Scholar] [CrossRef]
  30. Cai, D.; Ding, Z.; Fan, P.; Yang, Z. On the Performance of NOMA with Hybrid ARQ. IEEE Trans. Veh. Technol. 2018, 67, 10033–10038. [Google Scholar] [CrossRef] [Green Version]
  31. Choi, J. On HARQ-IR for Downlink NOMA Systems. IEEE Trans. Commun. 2016, 64, 3576–3584. [Google Scholar] [CrossRef]
  32. Yu, Z.; Zhai, C.; Ni, W.; Wang, D. Non-Orthogonal Multiple Access with Cooperative Truncated ARQ and Relay Selection. IEEE Access 2019, 7, 56228–56243. [Google Scholar] [CrossRef]
  33. Bariah, L.; Muhaidat, S.; Al-Dweik, A. Error Performance of NOMA-Based Cognitive Radio Networks with Partial Relay Selection and Interference Power Constraints. IEEE Trans. Commun. 2020, 68, 765–777. [Google Scholar] [CrossRef]
  34. Deng, D.; Fan, L.; Lei, X.; Tan, W.; Xie, D. Joint User and Relay Selection for Cooperative NOMA Networks. IEEE Access 2017, 5, 20220–20227. [Google Scholar] [CrossRef]
  35. Zwillinger, D.; Moll, V.; Gradshteyn, I.S.; Ryzhik, I.M. Table of Integrals, Series, and Products, 8th ed.; Academic Press: Boston, MA, USA, 2014. [Google Scholar]
Figure 1. System model.
Figure 1. System model.
Applsci 11 10433 g001
Figure 2. Outage probability of U1 and U2 versus P 0 with different number of relays, where P t = 30   dB , I t h = 25   dB , α 2 = 0.8 , R 2 = 1.2   bps / Hz and R 1 = 1.0   bps / Hz .
Figure 2. Outage probability of U1 and U2 versus P 0 with different number of relays, where P t = 30   dB , I t h = 25   dB , α 2 = 0.8 , R 2 = 1.2   bps / Hz and R 1 = 1.0   bps / Hz .
Applsci 11 10433 g002
Figure 3. Outage probability of U1 and U2 versus P t with different number of relays, where P 0 = 55   dB , I t h = 25   dB , α 2 = 0.8 , R 2 = 1.2   bps / Hz and R 1 = 1.0   bps / Hz .
Figure 3. Outage probability of U1 and U2 versus P t with different number of relays, where P 0 = 55   dB , I t h = 25   dB , α 2 = 0.8 , R 2 = 1.2   bps / Hz and R 1 = 1.0   bps / Hz .
Applsci 11 10433 g003
Figure 4. Outage probability of U1 and U2 versus I t h with different number of relays, where P 0 = 60   dB , P t = 40   dB , α 2 = 0.8 , R 2 = 1.2   bps / Hz and R 1 = 1.0   bps / Hz .
Figure 4. Outage probability of U1 and U2 versus I t h with different number of relays, where P 0 = 60   dB , P t = 40   dB , α 2 = 0.8 , R 2 = 1.2   bps / Hz and R 1 = 1.0   bps / Hz .
Applsci 11 10433 g004
Figure 5. Outage probability of U2 versus P 0 in different cases Θ , where P t = 30   dB , I t h = 25   dB , α 2 = 0.8 , R 2 = 1.2   bps / Hz and R 1 = 1.0   bps / Hz .
Figure 5. Outage probability of U2 versus P 0 in different cases Θ , where P t = 30   dB , I t h = 25   dB , α 2 = 0.8 , R 2 = 1.2   bps / Hz and R 1 = 1.0   bps / Hz .
Applsci 11 10433 g005
Figure 6. Outage probability of U1 and U2 versus α 2 with different target data rates, where P 0 = 60   dB , P t = 40   dB , I t h = 25   bps / Hz and N = 3 .
Figure 6. Outage probability of U1 and U2 versus α 2 with different target data rates, where P 0 = 60   dB , P t = 40   dB , I t h = 25   bps / Hz and N = 3 .
Applsci 11 10433 g006
Figure 7. Outage probability of U1 and U2 versus R 2 with different R 1 , where P 0 = 60   dB , P t = 40   dB , I t h = 25   bps / Hz , α 2 = 0.8 and N = 3 .
Figure 7. Outage probability of U1 and U2 versus R 2 with different R 1 , where P 0 = 60   dB , P t = 40   dB , I t h = 25   bps / Hz , α 2 = 0.8 and N = 3 .
Applsci 11 10433 g007
Table 1. The signaling sent by U1.
Table 1. The signaling sent by U1.
Θ The First Time SlotThe Second Time Slot
DescriptionsCandidate Relay Sets x R n Θ Decoding Order
11 R S U 1 x 2 R 2 , R S U 1 x 1 R 1 S 1 = { n | n N , R S R n x 2 R 2 } and U1 x 2 x 2 x 1
10 R S U 1 x 2 R 2 , R S U 1 x 1 < R 1 S 2 = { n | n N , R S R n x 2 R 2 , R S R n x 1 R 1 } β n 1 10 x 1 + β n 2 10 x 2 x 1 x 2
01 R S U 1 x 2 < R 2 , R S U 1 x 1 R 1 S 1 = { n | n N , R S R n x 2 R 2 } x 2 x 2 x 1
00 R S U 1 x 2 < R 2 , R S U 1 x 1 < R 1 S 2 = { n | n N , R S R n x 2 R 2 , R S R n x 1 R 1 } β n 1 00 x 1 + β n 2 00 x 2 x 1 x 2
Publisher’s Note: MDPI stays neutral with regard to jurisdictional claims in published maps and institutional affiliations.

Share and Cite

MDPI and ACS Style

Li, S.; Liang, W.; Pla, V.; Yang, N.; Yang, S. Two-Stage Adaptive Relay Selection and Power Allocation Strategy for Cooperative CR-NOMA Networks in Underlay Spectrum Sharing. Appl. Sci. 2021, 11, 10433. https://doi.org/10.3390/app112110433

AMA Style

Li S, Liang W, Pla V, Yang N, Yang S. Two-Stage Adaptive Relay Selection and Power Allocation Strategy for Cooperative CR-NOMA Networks in Underlay Spectrum Sharing. Applied Sciences. 2021; 11(21):10433. https://doi.org/10.3390/app112110433

Chicago/Turabian Style

Li, Suoping, Wenwu Liang, Vicent Pla, Nana Yang, and Sa Yang. 2021. "Two-Stage Adaptive Relay Selection and Power Allocation Strategy for Cooperative CR-NOMA Networks in Underlay Spectrum Sharing" Applied Sciences 11, no. 21: 10433. https://doi.org/10.3390/app112110433

APA Style

Li, S., Liang, W., Pla, V., Yang, N., & Yang, S. (2021). Two-Stage Adaptive Relay Selection and Power Allocation Strategy for Cooperative CR-NOMA Networks in Underlay Spectrum Sharing. Applied Sciences, 11(21), 10433. https://doi.org/10.3390/app112110433

Note that from the first issue of 2016, this journal uses article numbers instead of page numbers. See further details here.

Article Metrics

Back to TopTop