Abstract
In this work, spent bleaching clay (SBC) was treated with ethyl acetate and impregnation with 3-amino-5-hydroxypyrazole (AHIBC) that utilized as economical sorbent material. The uptake of yttrium ions from aqueous solution using AHIBC was studied under batch process as a function of pH of the solution, contact time, adsorbent dosage, Yttrium ions concentration, and ambient temperature. The adsorption equilibrium was achieved at the value of pH = 6.0 and agitation time of 60 min at room temperature. The utmost adsorption capacity of Y(III) ions on AHIBC was 171.32 mg·g−1. Kinetic, isotherm, and thermodynamic models were applied to the experimental data obtained. Adsorption follows a pseudo–second–order kinetic model, while the adsorption isotherm fits the Langmuir model. A negative value of Gibbs free energy ΔG° revealed that the adsorption of the Y ions on the AHIBC adsorbent was spontaneously in nature. In addition, the electrostatic interaction process between the metal ions and AHIBC was favorable. The negative value of ΔH° states that Y ions adsorption was an exothermic process. Desorption efficiency reduced from 97% to 80% after eight consecutive rounds.
1. Introduction
Rare earth elements (REEs) hold lanthanides in the periodic table, which have atomic numbers from 57 to 71 alongside scandium “Sc” of atomic number 21 and yttrium “Y” with the atomic number 39, as they exhibit the same chemical properties [1,2,3,4]. The REEs are mainly categorized based on their electron configuration into two groups: light and heavy rare earth elements. Yttrium is classified as a heavy REEs; it has a trivalent oxidation state and is considered toxic material to human beings. Exposure to compounds containing yttrium can cause lung disease. However, yttrium plays a vital role in our life, as it is used in extensive applications, especially the production of hydrogen storage cells, rechargeable batteries, memories of computers and laptops, LCD, plasma screens, catalysts, high-performance magnets, fiber optic laser cables, and nuclear reactors. Moreover, yttrium is applicable in the industry of pigments, fertilizers, and medical imaging [5,6,7]. Yttrium is often used as an additive in alloys. It increases the strength of aluminium and magnesium alloys. It is also used in the making of microwave filters for radar and has been used as a catalyst in polymerization of ethene. The radioactive isotope yttrium—90 has some medical uses; it can be used to treat some cancers, such as liver cancer.
Recovery of yttrium from their aqueous solution, particularly wastewater, can be conducted by several techniques, such as: solvent extraction [8,9,10,11,12,13], flotation, direct precipitation [14], adsorption [15,16,17,18,19], and solid-phase extraction [20,21,22]. In general, the adsorption process is widely used for uptaking yttrium ions from an aqueous solution. It is a simple technique and less cost; it also has high performance compared with other techniques. Activated carbon, natural and synthetic zeolites, resins, and clay minerals have been used as adsorbent materials. Today, researchers are interested in using low–cost adsorbent materials.
Activated bleaching earth, which is activated with acid, mostly consists of SiO2 (65–75%) and Al2O3 (15–20%); it mainly consists of montmorillonite clay. This clay is used during the refinery process of edible oil industry to improve its quality, as it has immense capacity to remove undesirable residues and colored materials [23,24,25,26,27,28,29,30,31]. After the bleaching process, its color changes from white to brownish. A massive amount of spent bleaching clay is produced in the industry of edible oil as a by-product each year. In general, the residue was disposed to landfill without any treatment. It is noteworthy that several environmental problems were found because of the disposal of the spent bleaching clay. It contains up to 30% (w/w) of pyrogenic nature of the unsaturated oil, which rapidly oxidizes on the surface of clay to the point of spontaneous ignition, as well as has an unpleasant odor. Recently, the disposal process costs edible oil manufacturers much money each year. As a result, several studies were performed to recycle the spent bleaching clay and use it as an environmentally non-hazardous adsorbent material in the elimination of heavy elements from their aqueous solutions [32,33,34,35].
In this study, the spent bleaching clay was treated and modified with the organic reagent to enhance its adsorption efficiency. The ability of the new adsorbent material to uptake Y(III) ions was investigated regarding the influence of pH, agitation time, the sorbent dosage, initial Y(III) ions concentration, and temperature. Likewise, the sorption processes kinetics, equilibrium, and thermodynamics were calculated given known models.
2. Materials and Methods
2.1. Preparation of Sorbent Material
Spent bleaching clay was gained from Oils and Soap Production Co. in Alexandria, Egypt. Ethyl acetate was used to remedy the spent bleaching clay to remove the impurities and residual oil [29]. Then, 5 g of the treated bleaching clay was dispersed in 10 mL deionized water and mixed well by 0.1 g of 3-amino-5-hydroxypyrazole in 50 mL ethanol with stirring at 25 °C for about 60 min until entire homogenization was achieved, followed by leaving the slurry till evaporation occurred at 60 °C.
X-ray diffraction configuration for treated bleaching clay and 3-Amino-5-hydroxypyrazole impregnated bleaching clay (AHIBC) were obtained via Philips APD-3722 diffractometer by the 2θ from 4–80°. Scanning electron microscope (SEM), Philips XL 30, at low vacuum and 30 kV was employed to examine the physical structure of the clay samples, while Nova 2000 series, high-speed gas sorption (Quantachrone Corporation, Boynton Beach, FL, USA) was utilized to examine the surface area of samples by N2 adsorption at 77 K. FTIR (Shimadzu IR Prestige–21, Kyoto, Japan) was employed to study the functional groups of clay, the spectra recorded by IR resolution Software in the mid-IR region with 2 cm−1 resolution and 200 successive scans.
2.2. Sorption Studies
With the purpose of setting the optimum parameters affecting the extraction of the studied yttrium ions from either solution, a series of experiments were applied using 1000 mg·L−1 synthetic solution of yttrium ions (4.308 g Y(NO3)3·6H2O of Sigma-Aldrich, St. Louis, MO, USA in 1000 mL acidified distilled H2O by 15 mL concentrated HCl) with constant volume at 200 rpm stirring rate. Effect of pH on the Y(III) ions sorption was tested at the pH (3.0–7.0) using 0.1 M of HCl and 0.1 M of NaOH, while the adsorption time was studied from 10 to 120 min. Effect of adsorbent dosage was investigated from 10 to 400 mg, different initial Y(III) ions concentrations were established in the range of 25 to 600 mg·L−1, and the temperature was varied between 25 and 55 °C. These experiments were conducted in duplicate by batch technique. After filtration, samples were analyzed using ICP–OES (Prodigy High Dispersion ICP, Teledyne-Leeman Labs, Hudson, NH, USA).
The adsorption efficiency E (%) and adsorption capacity qe (mg·g−1) are presented in equations below:
where Co is the concentration of initial Y(III) ions (mg·L−1), Ce is the concentration of Y(III) ions at equilibrium (mg·L−1), V is the volume of aqueous solution (L), and m is the adsorbent material mass (g).
3. Results and Discussion
3.1. Sorption Study
3-Amino-5-hydroxypyrazole impregnated bleaching clay (AHIBC) was utilized as adsorbent material for adsorption of Y(III) from their solution. The adsorption efficiency of Y(III) was investigated to set the optimum conditions: pH value, agitation time, sorbent dose, initial Y(III) concentration, and temperature of the system.
3.1.1. Effect of pH
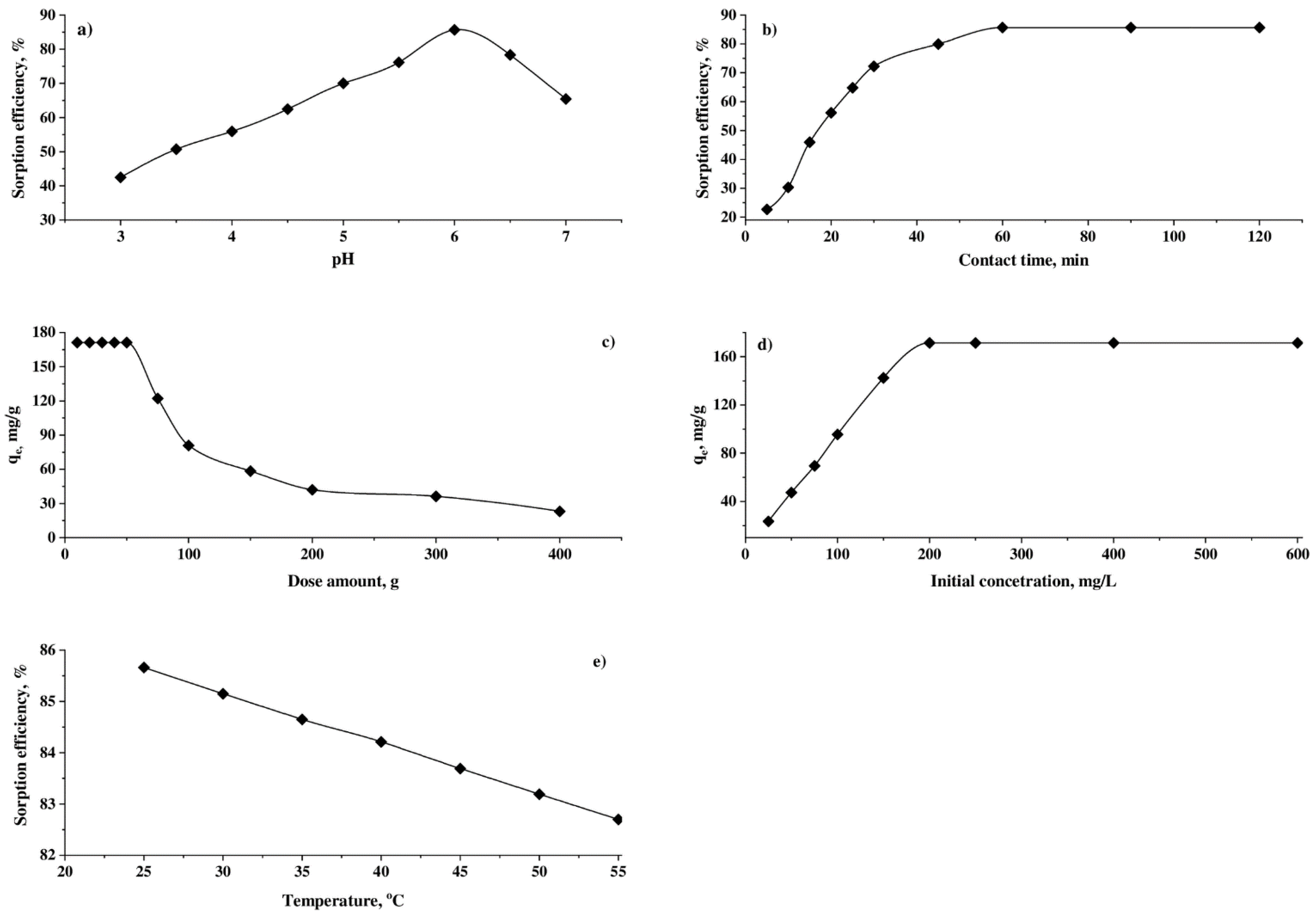
The pH of the solution is a remarkable factor that controls the adsorption process. The impact of pH values on the adsorption capacity of Y(III) from liquid solutions is performed and displayed in Figure 1a. Several experiments were performed in different pH range from 3.0 to 7.0, while the other experimental factors were kept constant at 200 mg·L−1 initial Y(III) concentration, 50 mL of solution for 60 min contact time, and 50 mg adsorbent dose of AHIBC at 25 °C. The AHIBC has a pH of 3.0.
Figure 1.
Influence of adsorption parameters on the uptake capacity of Y ions (a) pH (200 mg·L−1 yttrium ions concentration, 50 mL volume, 60 min contact time, 0.05 g adsorbent dose, room temperature), (b) contact time (pH 6.0, 50 mL volume, 200 mg·L−1 yttrium ions concentration, 0.05 g adsorbent dose, room temperature), (c) adsorbent dose (50 mL volume, 200 mg·L−1 yttrium ions concentration, 60 min contact time, pH 6.0, room temperature), (d) initial yttrium ions concentration (50 mL volume, 60 min contact time, pH 6.0, room temperature, 0.05 g adsorbent dose), and (e) temperature (200 mg·L−1 yttrium ions concentration, pH 6.0, 50 mL volume, 60 min contact time, 0.05 g adsorbent dose).
From the obtained data, it appeared that the adsorption efficiency of Y(III) was gradually increased from 42.63% to 85.66% with raising the pH from 3.0 to 6.0. However, Y(III) adsorption efficiency decreased to 65.44% by raising the pH from 6.0 to 7.0 value. The reduced uptake on the AHIBC at the acidic medium is because of the predominance of hydrogen ions in the solution, which has a large ability to be adsorbed on the active sites, thus its leading to competing with the Y3+ cations during adsorption processes, according to the following equations:
≡Si–O− + H2O + H+ ↔ ≡Si–OH2+ + OH−,
≡Al–O− + H2O + H+ ↔ ≡Si–OH2+ + OH−.
By raising the pH, the concentration of H+ ions decreases. Accordingly, the adsorption efficiency increased to the utmost adsorption at pH 6.0. At the pH > 6.0, a low Y(III) sorption value was observed; this may indicate that some Y(III) ions were precipitated as Y(OH)3, forming white gelatinous precipitate [36]. Accordingly, the pH 6.0 was selected as an optimum pH in running the following experiments for Y(III) recovery.
3.1.2. Effect of Contact Time
The influence of contact time on the adsorption efficiency of Y(III) from their solution by AHIBC was performed in the range from 5 to 120 min, whereas the adsorption factors were fixed at 50 mL volume of 200 mg·L−1 of Y(III), pH 6.0 at 25 °C temperature, and 50 mg of adsorbent dosage.
As seen in Figure 1b, after 5 min of contact time, the amount of Y(III) adsorbent was 22.65%. There was a gradual increase of the sorption efficiency of Y(III) from 22.65 to 85.66% with increasing the agitation time to 60 min. However, increasing the contact time up to 120 min has no noticeable impact on the adsorption efficiency. Consequently, the equilibrium time for adsorption of Y(III) on AHIBC was achieved after 60 min. In view of that, the ideal contact time considered for advanced studies is 60 min.
3.1.3. Effect of Adsorbent Dose
To attain the influence of AHIBC mass on Y(III) adsorption efficiency, a series of experiments were performed on the adsorbent dose of AHIBC in the range between 10 and 400 mg under constant conditions at pH of solution 6.0, contact time of 60 min, and 50 mL volume of 200 mg·L−1 of Y(III) solution at room temperature.
The effect of adsorbent dose was stated in terms of maximum uptake of Y(III) (qe). The obtained result, shown in Figure 1c, exposes that the Y(III) adsorption efficiency was 171.32 mg·g−1 as the mass of the AHIBC adsorbent boosts from 10 to 50 mg. It was obvious that all exposed active sites were fully covered, whereas the adsorption capacity of AHIBC reduced from 171.32 to 122.20 mg·g−1 at 75 mg and continued to decrease progressively to 22.98 mg·g−1 with increasing the adsorbent dose of AHIBC to 400 mg. The subsequent decrease is due to the presence of more active sites on the surface of the adsorbent. The utmost adsorption efficiency of AHIBC was 171.32 mg·g−1. At a higher dose of the AHIBC, more active sites became accessible for ion exchange procedures due to the increase of surface area. Thus, the 50 mg adsorbent dose was selected for the next experiments. It was obvious that the adsorption capacity of AHIBC was higher than the adsorption capacity of other adsorbent materials reported in earlier studies, as listed in Table 1 below.
Table 1.
Comparison of adsorption capacity of different sorbent materials.
3.1.4. Effect of Initial Concentration
The impact of initial concentration is a substantial parameter on the adsorption process. Some batch experiments were conducted to examine the influence of the initial concentration of yttrium ions on the adsorption using 50 mg of AHIBC. These experiments were performed by using 50 mL of different concentrations of Y(III) solutions ranging from 25 to 600 mg·L−1 with pH 6.0. The adsorption process continued for 60 min agitation time at room temperature.
The result presented in Figure 1d reveals that the initial ions concentration was increased; the amount of Y(III) adsorbed from aqueous solution (qe in mg·g−1) increased gradually with raising the initial ions concentration in the solution until it achieved a maximum adsorption efficiency at initial Y(III) concentration of 200 mg·L−1. The loaded yttrium ions amounts (qe) remained constant thereafter, 200 mg·L−1. It was expressed that the working adsorbent reached to its saturation capacity. That is because all the active sites of the studied AHIBC were occupied and blocked with the metal ions from the aqueous solution. The result affirms that the adsorption capacity of the metal ions loaded on the AHIBC adsorbent was 171.32 mg·g−1.
3.1.5. Effect of Temperature
The temperature effect on the adsorption of yttrium ions was conducted in a temperature varying in the range of 25–55 °C. All the experiments were executed at pH value 6.0, 50 mL of liquid solution with initial concentration 200 mg·L−1 of yttrium ions, and 50 mg amount of AHIBC for 60 min constant time. Figure 1e shows that the adsorption efficiency for AHIBC decreased from 85.66 to 82.70% when the temperature increased to 55 °C.
The increasing temperature led to the decomposition of organic solvent; hence, the active sites were decreased. The result pointed out to exothermicity chemical reaction. Consequently, the room temperature was considered ideal for the yttrium ions extraction using the AHIBC adsorbent.
3.2. Kinetic Characteristics
Different kinetic models have been employed to assess the adsorption reaction mechanism and control steps of the potential rate, such as pore diffusion, mass transport, and chemical reaction process. Lagergren’s pseudo-first-order, pseudo-second-order, Elovich, and intraparticle diffusion are the kinetic models used for the experimental results to expect the sorption process of the yttrium ions on 3-amino-5-hydroxypyrazole impregnated treated bleaching clay (AHIBC).
The pseudo-first-order model is calculated by the linear equation as the following:
where qe (mg·g−1) is the equilibrium adsorption capacity of Y(III), and qt (mg·g−1) is the amount of ions adsorbed after time t (min), while k1 (min−1) is the constant rate of pseudo-first-order. The plot of log(qe − qt) versus t proposed the applicability of the kinetic model of yttrium ions on AHIBC. The value of k1 was truly calculated from the slope, while qe was calculated from the intercept of the graph. The obtained result in Figure 2a and Table 2 established that the correlation coefficient R2, as well as qe(cal) value for adsorption mechanism, did not match with a pseudo-first-order kinetic model. With the aim of this result, the pseudo-first-order model is unrelated to the adsorption of Y(III) onto AHIBC.
Figure 2.
Kinetic models for Y(III) adsorbed on the AHIBC adsorbent (a) pseudo-first-order, (b) pseudo-second-order, (c) Elovich kinetic, and (d) intraparticle diffusion.
Table 2.
Kinetic models for Y(III) adsorbed on the AHIBC adsorbent.
The pseudo-second-order kinetic model was performed and is presented in the subsequent equation [37]:
where k2 is a constant rate of pseudo-second-order (g·mg−1·min−1). The model was more potential to foretell the kinetic performance of adsorption, with the chemical adsorption process being the rate-controlling step. If pseudo-second-order kinetic model is viable, the chart of t/qt against t should give a straight line. qe could be premeditated from the slope, and k2 was calculated from the intercept of the diagram.
From the data in Figure 2b and Table 2, the value of the correlation coefficients is about 0.99, almost close to unity. Additionally, both the values of calculated (qe) and experimental (qexp) adsorption capacity are close. The data recommend that the adsorption process of Y(III) on the AHIBC adsorbent was consistent with the pseudo-second-order model.
The Elovich kinetic model designated the chemical nature of the adsorption process of yttrium ions and was generally presented as a non-linear equation [38,39]. The integrated form is presented in the next equation as:
where α (mg·g−1·min−1) refers the rate of initial adsorption, and β (g·mg−1) is the Elovich constant relevant to coverage of the adsorbent surface, respectively. Figure 2c shows a graph of qt versus ln(t) with a linear relation. (1/β) is the slope, and the (1/β)ln(αβ) represents the intercept. The Elovich kinetic parameters (α, β are correlation coefficients) were calculated and are listed in Table 2. The coefficient of α is in relation to chemisorption rate, while β is related to surface coverage. The value of the determination coefficient (R2) is 0.92. These data state that the adsorption process of Y(III) was irrelevant to the Elovich model.
The intraparticle diffusion model between the adsorption capacity for the Y(III) adsorbed at time t (qt) and the square root of the time (t0.5) is a linear association and presented by the following equation:
where Kid is the initial rate constant of intraparticle diffusion (mg·g−1·min−0.5), t (min) is the time of the adsorption process, and I gives information about the boundary layer thickness. The Kid value is attained from the slope of the plot in Figure 2d. The obtained parameters are tabulated in Table 2. The value of R2 was 0.79, suggesting that the intraparticle diffusion process was not a rate-limiting step for the AHIBC adsorbent. Furthermore, the value of R2 reveals a significant degree of boundary layer control since the diagram of qt versus t0.5 did not pass across the origin. If a trendline in a diagram of qt against t0.5 reached the origin, the intraparticle diffusion was deemed a rate-limiting step. The calculated data indicated that the intraparticle diffusion model would not be the only rate-limiting step.
qt = Kidt0.5 + I,
3.3. Isotherm Characteristics
The adsorption isotherm is an effective, powerful technique used to analyze the retention process by ion exchange resin. The adsorption isotherm considers the essential necessity for resolving any adsorption system. The characterizations of adsorption isotherms provide the most valuable evidence, which indicates the diffusion mechanism of the adsorbed metal ions from the aqueous to the sorbent material when the equilibrium is attained. The investigation of the isotherm data by matching them to various isotherm patterns are the significant steps in determining a suitable model which can be used for designing the best purpose.
The Langmuir isotherm model is one of the most ordinary models that express the equilibrium case and is applied to evaluate the highest efficiency of the adsorbent to shackle the Y(III). It presumed that the adsorption of Y(III) takes place on the homogenous surface of the adsorbent as a saturated monolayer of adsorbed Y(III) at the constant of adsorption energy, and no movement of Y(III) on the surface of the adsorbent material [40]. The Langmuir isotherm model is stated using the next equation:
where Ce (mg·L−1) is the Y(III) concentration in solution at equilibrium, qe (mg·g−1) is the removal capacity per unit mass of the adsorbent at equilibrium, and qmax (mg·g−1) is the highest adsorbed amount per unit mass of sorbent material (maximum uptake capacity); b (L·mg−1) is a Langmuir constant related to the adsorption energy. Figure 3a demonstrates a graph of Ce/qe versus Ce. The calculated maximum capacity was 172.41 mg·g−1 (Table 3); it was much closer to experimental capacity (171.32 mg·g−1). In addition, the correlation coefficient (R2) value was closer to unity (0.99). It pointed toward the adsorption process of the yttrium ions being consistent with the Langmuir isotherm model and the adsorption of Y(III) being the monolayer on the surface of AHIBC sorbent.
Figure 3.
Isotherm models for the adsorption of Y(III) on AHIBC: (a) Langmuir isotherm, (b) Freundlich isotherm, (c) Dubinin–Radushkevich isotherm, and (d) Temkin isotherm.
Table 3.
Isotherm models for the Y(III) adsorbed on the AHIBC adsorbent.
The dimensional separation factor (RL) is generally expressed in the feasibility of the Langmuir model as the following equation:
where Cr (mg·L−1) is the reference of the Y(III) concentration in solution, and Cr is generally the uppermost liquid phase concentration encountered in a single adsorption system. As listed in Table 3, the calculated value of RL was less than 1 and higher than zero. Consequently, it was a favorable adsorption process. The obtained result illustrated that the Langmuir isotherm model complied with the adsorption process of Y(III).
The Freundlich isotherm model designated the yttrium ions adsorbed on the surface of the sorbent material. It was generally applied to study the surface energy, as well as the heterogeneity. It was assumed variable distribution energy for the yttrium ions adsorbed on active sites [41]. The following equation represents Freundlich isotherm:
where qe (mg·g−1) is the amount of Y(III) adsorbed at equilibrium, and Kf (mg·g−1) is the Freundlich constant associated with Y(III) adsorption capacity, whereas 1/n is a constant affiliated with the heterogeneity of the surface.
The plot of logqe versus logCe produced a regression line (Figure 3b). The adsorption parameters are presented in Table 2; Kf value was calculated from the intercept, and the value of 1/n was calculated from the slope. It was clear that the value of Kf was 49.52 mg·g−1; it was lower than the experimental adsorption efficiency of the yttrium ions by AHIBC. The value of R2 was 0.68, whereas the 1/n was less than 1, indicating that the removal of the yttrium ions by the AHIBC adsorbent was favorable. The result reveals that the Y ions did not cover the adsorbent material heterogeneously. Furthermore, the experimental data were not associated with the Freundlich model.
The Dubinin–Radushkevich (D–R) isotherm model distinguishes between both physical and chemical adsorption processes and defines the heterogeneity of adsorption of ions on the surface [42]. The next equation can calculate it:
where qD (mg g−1) is the monolayer capacity of D–R model, BD (mol2·kJ−2) is a constant associated with the energy of sorption process, and ε is a Polanyi potential correlated to the equilibrium concentration, and it was calculated by the next equation:
where the value of R is 8.314 J·mol−1·K−1 (gas constant), and T (K) is the absolute temperature. Figure 3c shows the graph of lnqe versus ε2; the values of qD and BD are listed in Table 3 and are calculated from intercept and slope, respectively. The BD constant is the free energy (E) of the adsorption process per mole of the yttrium ions migrated and adsorbed on the surface of AHIBC and could be calculated by the following relation:
lnqe = lnqD − BD (ε2),
As presented in Table 3, the E value was 0.94 kJ·mol−1 assuming the process of adsorption of the yttrium ions on the studied adsorbent was a physical nature [43]. Nevertheless, the correlation coefficient (R2) value was 0.789. Thus, the adsorption process of the yttrium ions on the AHIBC adsorbent was not corresponding to the Dubinin–Radushkevich adsorption isotherm.
The Temkin adsorption isotherm postulates that the heat of adsorption of all molecules declines linearly with the increment in the concealment of the adsorbent surface. In addition, the adsorption process is described by a consistent distribution of binding energy, up to topmost binding energy [44]. The Temkin isotherm is calculated based on the following equation:
where bT (kJ·mol−1) is the Temkin constant associated with the temperature of the adsorption, while KT (L·g−1) is the equilibrium constant correlated to the utmost binding energy. The constants were calculated from the diagram of qe against lnCe and were given in Figure 3d and Table 3. It was obvious that the value of R2 was 0.78, proposing that the yttrium ions adsorption process did not appropriate with the Temkin isotherm model.
3.4. Thermodynamic Characteristics
The impact of ambient temperature on the yttrium ions adsorption system was studied to identify not only the thermodynamic conditions but also the nature/feasibility of the adsorption process [45,46]. Thermodynamic conditions for adsorption of the yttrium ions by AHIBC were evaluated from the Van’t Hoff equations:
where Kd is the adsorption equilibrium constant (L g−1), ΔG° is Gibbs free energy of the yttrium ions adsorption (kJ mol−1), ΔS° is the changes in entropy of the yttrium ions adsorption (J mol−1 K−1), ΔH° is the changes in enthalpy of the yttrium ions adsorption (kJ mol−1), the universal gas constant R is 8.314 J mol−1 K−1, and T (K) refers to the absolute temperature. The thermodynamic conditions of the AHIBC adsorbent were evaluated by plotting logKd versus 1/T (Figure 4). It gives a straight line; the value of both ΔH° as well as the value of ΔS° was attained from both the slope and intercept, respectively, and presented in Table 4.
logKd = ∆S°/2.303R − ∆H°/2.303RT,
ΔG° = ΔH° − TΔS°,
Figure 4.
Graph of log Kd versus 1/T for Y(III) adsorbed on the AHIBC adsorbent.
Table 4.
Thermodynamic parameters of the Y(III) adsorption on the AHIBC adsorbent.
In the attained result, the value of ΔG° is negative, stating that the adsorption of Y(III) on the AHIBC adsorbent is feasible and spontaneous in nature. Additionally, the Gibbs free energy of the links reveals a favorable process for the chemical interaction between Y(III) and AHIBC.
3.5. Yttrium Ions Desorption
The desorption process of loaded Y(III) from AHIBC adsorbent was performed to reuse the adsorbent many times. Then, 1.0 M HCl solution was used to regenerate the AHIBC adsorbent, and 1:50 as S:L phase ratio for agitation time of 60 min at 25 °C temperature. The adsorption-desorption process occurred many times, till the efficiency of desorption decreased from 97% to 80% after eight consecutive rounds, proving the notable adsorption constancy of the AHIBC in the recovery of Y(III).
3.6. Characterization of Sorbent Material
3.6.1. XRD Analysis
XRD designs of the treated bleaching clay and 3-amino-5-hydroxypyrazole impregnated bleaching clay (AHIBC) are exposed in Figure 5. The two designs were chiefly composed of montmorillonite with a small quantity of quartz and kaolinite. The treated bleaching clay involves mostly of montmorillonite with individual peaks at 2θ = 7.2°, 19.76°, 27.42°, 36°, and 50.31° [47], and kaolinite has a peak at 2θ = 12.33° [48]. Moreover, quartz has a reflection peak at 2θ = 28.15°. The peak at 2θ = 7.2° with d(001) = 11.12 nm spacing specified that the treated bleaching clay is sodium montmorillonite [49]. The XRD design of AHIBC shows a shift of the 2θ from 7.2° to 6.22° by a distinct growth in the d(001) from 11.12 nm to 13.34 nm for AHIBC. It approved the combination of 3-amino-5-hydroxypyrazole in the interlayer of Na-montmorillonite.
Figure 5.
XRD spectra of (a) treated bleaching clay and (b) AHIBC.
3.6.2. Fourier Transform Infrared Spectrometer (FTIR)
The FTIR spectrum of treated bleaching clay (Figure 6a) showed a strong feature at 1049 cm−1 because of Si–O group stretching mode, while the features obtained at 470 and 790 cm−1 are due to the deformation mode of Si–O–Si, as well as Al–O–Si, respectively [50,51,52]. The peak of the stretching mode of OH group was observed at 3433 cm−1. The spectrum of AHIBC is demonstrated in Figure 6b; new bands observed between 1200–1430 cm−1 attributed to C–H bending mode. Features observed at 2800–2950 cm−1 were attributed to C–H stretching mode, and the strong band between 3550–3210 cm−1 could be assigned by stretching mode of OH. The bands of secondary amine (-NH) were obtained at 3210 cm−1. The stretching mode of C–N group for aromatic amine in 3-amino-5-hydroxypyrazole appeared at 1461 and 1150 cm−1.
Figure 6.
FTIR spectra of (a) treated bleaching clay, (b) AHIBC, and (c) Y(III) loaded on AHIBC surface.
The spectrum in Figure 6c illustrates that the sorption of Y(III) on the AHIBC is more likely attributable to the chemical attraction between their groups and cationic metal ions. The deprotonation of both hydroxyl and amino groups takes place at pH above 6.0, and they have negative charges that bind the positive metal ions in solution. This confirms that the mechanism of sorption of yttrium cations is an ionic exchange mechanism between the cationic metals ions, and the groups of the AHIBC and treated bleaching clay (silanol and aluminol groups) that have negative charges. After adsorption, the features at 3390 and 3210 cm−1 disappeared, while the features at 1461 and 1150 cm−1 (amine group) and 1620 cm−1 (phenolic group) had shifted towards the blue shift. Yttrium ions are sorbed to the surface of the AHIBC, and some bonds are created between the Y(III) and the functional groups of the adsorbent, as shown by the decrease in intensity and also shift of absorption peaks [53]. 3-amino-5-hydroxypyrazole forms a chelate with Y(III).
3.6.3. Surface Area Analyzer
The surface area of the SBC was calculated in accordance with BET equation as 234.91 m2/g; this result is consistent with previous study [54]. The surface area for 3-amino-5-hydroxypyrazole impregnated treated bleaching clay (AHIBC) is 257.24 m2/g. Apparently, the treatment of spent bleaching clay by ethyl acetate followed by 3-amino-5-hydroxypyrazole increased the surface area; therefore, it enhanced the adsorption capacity of spent bleaching clay.
3.6.4. Scanning Electron Microscope (SEM)
The physical structure of the adsorbent was characterized by SEM. Figure 7a represents the SEM image of treated bleaching clay with ethyl acetate; it shows irregular layer structure and roughness of the surface [29,35]. The SEM image in Figure 7b indicated the surface of AHIBC adsorbent. It is obvious that the rough surface turned to being relatively bright after modifying treated bleaching clay with 3-amino-5-hydroxypyrazole, suggesting that the organic reagent filled out most of the vacant pores. Yttrium ions seem to appear as bright spots on the surface of AHIBC, as displayed in Figure 7c, which emphasizes the adsorption of Y(III) on the sorption sites of AHIBC.
Figure 7.
SEM images of (a) treated bleaching clay, (b) AHIBC, and (c) Y ions loaded on AHIBC.
The EDX analysis of treated bleaching clay is given in Figure 8a, and it has been found that both the Si and Al atoms are the main constituents; the peak of Si has high intensity due to SiO2, the main component of clay. Fe and Mg are the minor substitute elements in this layer silicate mineral, whereas K, S, and Ti are in traces. Clearly, as is obvious in Figure 8b, the contents of metal elements of AHIBC are similar with high intensity of both carbon and oxygen atoms due to impregnation with 3-amino-5-hydroxypyrazole. Figure 8c illustrates the EDX analysis of Y(III) loaded on AHIBC. New peaks of Y(III) confirm that Yttrium ions were adsorbed on the surface of AHIBC. Thus, it may be reasonable to speculate that AHIBC has outstanding sorption properties and accessible sorption sites within its interlayer space.
Figure 8.
EDX spectra of (a) treated bleaching clay, (b) AHIBC, and (c) Y(III) loaded on AHIBC.
Lastly, the proposed mechanism for the ethyl acetate treatment and impregnation of spent bleaching clay with 3-amino-5-hydroxypyrazole, as well as the adsorption of Y(III) on AHIBC, is shown in Figure 9. According to the above characterizations, the adsorption of Y(III) on AHIBC adsorbent is chemisorption.
Figure 9.
Proposed mechanism of Y(III) loaded on AHIBC.
4. Conclusions
The treatment of spent bleaching earth with ethyl acetate and impregnation with 3-amino-5-hydroxypyrazole solved the environmental effects and produced a highly efficient adsorbent material. The AHIBC presents a good solution from an environmental and economic standpoint to recover Y(III) ions from effluent. The optimum adsorption conditions were obtained at pH = 6.0 at room temperature for an agitation time of 60 min. The utmost adsorption capacity of the yttrium ions on AHIBC adsorbent is 171.32 mg·g−1. The kinetic model of adsorption matches with the pseudo–second–order, whilst the Langmuir isotherm is compatible with the adsorption of Y(III). The thermodynamic conditions for adsorption of Y(III) on AHIBC are predestined by the Van ’t Hoff equation. The negative value of ΔG° points to the spontaneity of the adsorption process. The negative value of ΔH° demonstrates the process of Y(III) adsorption is exothermic. Furthermore, the negative value of ΔS° indicates the formation of ionic interaction between Y(III) and AHIBC is favorable.
Author Contributions
Conceptualization, A.K.S., M.F.C. and M.A.H.; methodology, A.K.S. and M.F.C.; software, A.K.S. and M.Y.H.; validation, H.I.M., S.A.M., M.U.K. and M.I.S.; formal analysis, A.K.S., M.U.K. and M.F.C.; investigation, M.A.H. and S.A.M.; resources, H.O. and E.M.E.; data curation, A.K.S. and M.Y.H.; writing—original draft preparation, A.K.S., M.A.H., M.F.C. and M.I.S.; writing—review and editing, A.K.S., M.Y.H. and M.F.C.; visualization, M.I.S.; supervision, M.U.K. and M.I.S.; project administration, M.U.K. and M.I.S.; funding acquisition, H.O. and E.M.E. All authors have read and agreed to the published version of the manuscript.
Funding
This study was funded by Taif University Researchers Supporting Project number (TURSP2020/157), Taif University Taif, Saudi Arabia.
Institutional Review Board Statement
Not applicable.
Informed Consent Statement
Not applicable.
Data Availability Statement
Not Applicable.
Acknowledgments
Authors would like to thank Taif University Researchers Supporting Project number (TURSP2020/157), Taif University Taif, Saudi Arabia.
Conflicts of Interest
The authors declare no conflict of interest.
References
- Marinov, G.M.; Marinova, A.P.; Milanova, M.M.; Happel, S.; Karaivanov, D.V.; Filosofov, D.V. Sorption of Rare-earth Elements and Ac on DN resin with HCl, HClO4, CH3COOH, CCl3COOH. Solvent Extr. Ion Exch. 2018, 36, 459–469. [Google Scholar] [CrossRef]
- Sakr, A.K.; Mohamed, S.A.; Mira, H.I.; Cheira, M.F. Successive Leaching of Uranium and Rare Earth Elements from El Sela Mineralization. J. Sci. Eng. Res. 2018, 5, 95–111. Available online: https://jsaer.com/archive/volume-5-issue-9-2018/ (accessed on 2 October 2021).
- Orabi, A.; El-Sheikh, E.; Hassanin, M.; El Kady, M.; Abdel-Khalek, M.; Mowafy, A. Extraction of rare earth elements from Abu–Tartour wet process phosphoric acid using synthesized salicylaldehyde azine. Miner. Eng. 2018, 122, 113–121. [Google Scholar] [CrossRef]
- Kumari, A.; Sinha, M.K.; Sahu, S.K.; Pandey, B.D. Solvent Extraction and Separation of Trivalent Lanthanides Using Cyphos IL 104, a Novel Phosphonium Ionic Liquid as Extractant. Solvent Extr. Ion Exch. 2016, 34, 469–484. [Google Scholar] [CrossRef]
- Hamza, M.F.; Salih, K.A.M.; Abdel-Rahman, A.A.-H.; Zayed, Y.E.; Wei, Y.; Liang, J.; Guibal, E. Sulfonic-functionalized algal/PEI beads for scandium, cerium and holmium sorption from aqueous solutions (synthetic and industrial samples). Chem. Eng. J. 2021, 403, 126399. [Google Scholar] [CrossRef]
- Cai, Y.; Wang, L.; Yu, S.; Sun, J.; Liu, B.; Dong, L. Regeneration of deactivated CeCo O2 catalyst by simple thermal treatment. J. Rare Earths 2019, 38, 899–905. [Google Scholar] [CrossRef]
- Lashen, T.; Cheira, M.; Zaki, D.; Allam, E.; Mohamed, S. Leaching and Recovery of Rare Earth Elements from Altered Alkaline Granite Rock from Nusab El-Balgum Area, south Western Desert, Egypt. Int. J. Adv. Res. 2016, 4, 787–801. [Google Scholar] [CrossRef]
- Li, K.; Chen, J.; Zou, D. Recovery of fluorine utilizing complex properties of cerium(IV) to obtain high purity CeF3 by solvent extraction. Sep. Purif. Technol. 2018, 191, 153–160. [Google Scholar] [CrossRef]
- Hassanin, M.A. Application of diol derivatives as a natural extractant for uranium from its solutions. Sep. Sci. Technol. 2020, 55, 1–11. [Google Scholar] [CrossRef]
- Xie, F.; Zhang, T.A.; Dreisinger, D.; Doyle, F. A critical review on solvent extraction of rare earths from aqueous solutions. Miner. Eng. 2014, 56, 10–28. [Google Scholar] [CrossRef]
- Rout, A.; Binnemans, K. Separation of rare earths from transition metals by liquid–liquid extraction from a molten salt hydrate to an ionic liquid phase. Dalton Trans. 2014, 43, 3186–3195. [Google Scholar] [CrossRef] [PubMed] [Green Version]
- Zsabka, P.; Van Hecke, K.; Adriaensen, L.; Wilden, A.; Modolo, G.; Verwerft, M.; Binnemans, K.; Cardinaels, T. Solvent Extraction of Am(III), Cm(III), and Ln(III) Ions from Simulated Highly Active Raffinate Solutions by TODGA Diluted in Aliquat-336 Nitrate Ionic Liquid. Solvent Extr. Ion Exch. 2018, 36, 519–541. [Google Scholar] [CrossRef]
- Villemin, D.; Didi, M. Extraction of rare earth and heavy metals, using ionic solvents as extraction medium (A Review). Orient. J. Chem. 2013, 29, 1267–1284. [Google Scholar] [CrossRef] [Green Version]
- Iglesias, M.; Anticó, E.; Salvado, V.; Masana, A.; Valiente, M. Effect of Y(III) distribution between aqueous nitrate and organic D2EHPA solutions on the Y(III) precipitation stripping using oxalic acid. Solvent Extr. Ion Exch. 1999, 17, 277–300. [Google Scholar] [CrossRef]
- Zhou, S.; Vu-Bac, N.; Arash, B.; Zhu, H.; Zhuang, X. Interface Characterization Between Polyethylene/Silica in Engineered Cementitious Composites by Molecular Dynamics Simulation. Molecules 2019, 24, 1497. [Google Scholar] [CrossRef] [PubMed] [Green Version]
- Zhuang, X.; Zhou, S. Molecular Dynamics Study of an Amorphous Polyethylene/Silica Interface with Shear Tests. Materials 2018, 11, 929. [Google Scholar] [CrossRef] [Green Version]
- Rangabhashiyam, S.; Vijayaraghavan, K. Biosorption of Tm(III) by free and polysulfone-immobilized Turbinaria conoides biomass. J. Ind. Eng. Chem. 2019, 80, 318–324. [Google Scholar] [CrossRef]
- Xiao, Y.; Huang, L.; Long, Z.; Feng, Z.; Wang, L. Adsorption ability of rare earth elements on clay minerals and its practical performance. J. Rare Earths 2016, 34, 543–548. [Google Scholar] [CrossRef]
- Naushad, M.; Alqadami, A.A.; Alothman, Z.; Alsohaimi, I.H.; Algamdi, M.S.; Aldawsari, A.M. Adsorption kinetics, isotherm and reusability studies for the removal of cationic dye from aqueous medium using arginine modified activated carbon. J. Mol. Liq. 2019, 293, 111442. [Google Scholar] [CrossRef]
- Fujimori, E.; Nagata, S.; Kumata, H.; Umemura, T. Investigation of adverse effect of coexisting aminopolycarboxylates on the determination of rare earth elements by ICP-MS after solid phase extraction using an iminodiacetate-based chelating-resin. Chemosphere 2018, 214, 288–294. [Google Scholar] [CrossRef]
- Bai, R.; Yang, F.; Meng, L.; Zhao, Z.; Guo, W.; Cai, C.; Zhang, Y. Polyethylenimine functionalized and scaffolded graphene aerogel and the application in the highly selective separation of thorium from rare earth. Mater. Des. 2021, 197, 109195. [Google Scholar] [CrossRef]
- Pyrzynska, K.; Kubiak, A.; Wysocka, I. Application of solid phase extraction procedures for rare earth elements determination in environmental samples. Talanta 2016, 154, 15–22. [Google Scholar] [CrossRef] [PubMed]
- Tsai, W.; Chang, Y.; Lai, C.; Lo, C. Adsorption of ethyl violet dye in aqueous solution by regenerated spent bleaching earth. J. Colloid Interface Sci. 2005, 289, 333–338. [Google Scholar] [CrossRef] [PubMed]
- Tsai, W.; Chang, Y.; Lai, C.; Lo, C. Adsorption of basic dyes in aqueous solution by clay adsorbent from regenerated bleaching earth. Appl. Clay Sci. 2005, 29, 149–154. [Google Scholar] [CrossRef]
- Tsai, W.; Lai, C.; Hsien, K. Adsorption kinetics of herbicide paraquat from aqueous solution onto activated bleaching earth. Chemosphere 2004, 55, 829–837. [Google Scholar] [CrossRef]
- Tsai, W.; Chen, H.; Hsien, W.; Lai, C.; Lee, M. Thermochemical regeneration of bleaching earth waste with zinc chloride. Resour. Conserv. Recycl. 2003, 39, 65–77. [Google Scholar] [CrossRef]
- Rajkumar, K.; Muthukumar, M.; Sivakumar, R. Novel approach for the treatment and recycle of wastewater from soya edible oil refinery industry—An economic perspective. Resour. Conserv. Recycl. 2010, 54, 752–758. [Google Scholar] [CrossRef]
- Dumont, M.-J.; Narine, S.S. Soapstock and deodorizer distillates from North American vegetable oils: Review on their characterization, extraction and utilization. Food Res. Int. 2007, 40, 957–974. [Google Scholar] [CrossRef]
- Cheira, M.F.; Mira, H.; Sakr, A.K.; Mohamed, S.A. Adsorption of U(VI) from acid solution on a low-cost sorbent: Equilibrium, kinetic, and thermodynamic assessments. Nucl. Sci. Tech. 2019, 30, 156. [Google Scholar] [CrossRef]
- Merikhy, A.; Heydari, A.; Eskandari, H.; Ghahraman-Rozegar, F. Carbonized Spent Bleaching Earth as a low-cost adsorbent: A Facile Revalorization Strategy via Response Surface Methodology. Chem. Eng. Process. Process Intensif. 2020, 158, 108167. [Google Scholar] [CrossRef]
- Al Zubaidi, I.; Al Tamimi, A.; Al-Zubaidi, M. Applications of de-oiling and reactivation of spent clay. Environ. Technol. Innov. 2021, 21, 101182. [Google Scholar] [CrossRef]
- Weng, C.-H.; Sharma, Y.; Chu, S.-H. Adsorption of Cr(VI) from aqueous solutions by spent activated clay. J. Hazard. Mater. 2008, 155, 65–75. [Google Scholar] [CrossRef] [PubMed]
- Mahmoud, N.S.; Atwa, S.T.; Sakr, A.K.; Abdel Geleel, M. Kinetic and thermodynamic study of the adsorption of Ni(II) using Spent Activated clay Mineral. N. Y. Sci. J. 2012, 5, 62–68. [Google Scholar] [CrossRef]
- Weng, C.-H.; Tsai, C.-Z.; Chu, S.-H.; Sharma, Y.C. Adsorption characteristics of copper(II) onto spent activated clay. Sep. Purif. Technol. 2007, 54, 187–197. [Google Scholar] [CrossRef]
- Abdel Geleel, M.; Atwa, S.T.; Sakr, A.K. Removal of Cr(III) from aqueous waste using spent activated clay. J. Am. Sci. 2013, 9, 256–262. [Google Scholar] [CrossRef]
- Moldoveanu, G.A.; Papangelakis, V.G. Recovery of rare earth elements adsorbed on clay minerals: I. Desorption mechanism. Hydrometallurgy 2012, 117–118, 71–78. [Google Scholar] [CrossRef]
- Cheira, M.F.; Kouraim, M.N.; Zidan, I.H.; Mohamed, W.S.; Hassanein, T.F. Adsorption of U(VI) from sulfate solution using montmorillonite/polyamide and nano-titanium oxide/polyamide nanocomposites. J. Environ. Chem. Eng. 2020, 8, 104427. [Google Scholar] [CrossRef]
- Wu, F.-C.; Tseng, R.-L.; Juang, R.-S. Characteristics of Elovich equation used for the analysis of adsorption kinetics in dye-chitosan systems. Chem. Eng. J. 2009, 150, 366–373. [Google Scholar] [CrossRef]
- McLintock, I.S. The Elovich Equation in Chemisorption Kinetics. Nature 1967, 216, 1204–1205. [Google Scholar] [CrossRef]
- Cheira, M.F. Performance of poly sulfonamide/nano-silica composite for adsorption of thorium ions from sulfate solution. SN Appl. Sci. 2020, 2, 398. [Google Scholar] [CrossRef] [Green Version]
- Zidan, I.H.; Cheira, M.F.; Bakry, A.R.; Atia, B.M. Potentiality of uranium recovery from G.Gattar leach liquor using Duolite ES-467 chelating resin: Kinetic, thermodynamic and isotherm features. Int. J. Environ. Anal. Chem. 2020, 100, 1–23. [Google Scholar] [CrossRef]
- Dubinin, M.M. The Potential Theory of Adsorption of Gases and Vapors for Adsorbents with Energetically Nonuniform Surfaces. Chem. Rev. 1960, 60, 235–241. [Google Scholar] [CrossRef]
- Cheira, M.F. Synthesis of aminophosphonate-functionalised ZnO/polystyrene-butadiene nanocomposite and its characteristics for uranium adsorption from phosphoric acid. Int. J. Environ. Anal. Chem. 2021, 101, 1710–1734. [Google Scholar] [CrossRef]
- Temkin, M.I.; Pyzhev, V. Kinetics of ammonia synthesis on promoted iron catalyst. Acta Phys. Chim. URSS 1940, 12, 327–356. [Google Scholar]
- Sayed, A.S.; Abdelmottaleb, M.; Cheira, M.F.; Abdel-Aziz, G.; Gomaa, H.; Hassanein, T.F. Date seed as an efficient, eco-friendly, and cost-effective bio-adsorbent for removal of thorium ions from acidic solutions. Aswan Univ. J. Environ. Stud. 2020, 1, 106–124. [Google Scholar] [CrossRef]
- Atia, B.M.; Khawassek, Y.M.; Hussein, G.M.; Gado, M.A.; El-Sheify, M.A.; Cheira, M.F. One-pot synthesis of pyridine dicarboxamide derivative and its application for uranium separation from acidic medium. J. Environ. Chem. Eng. 2021, 9, 105726. [Google Scholar] [CrossRef]
- Cheira, M.; Rashed, M.; Mohamed, A.; Hussein, G.; Awadallah, M. Removal of some harmful metal ions from wet-process phosphoric acid using murexide-reinforced activated bentonite. Mater. Today Chem. 2019, 14, 100176. [Google Scholar] [CrossRef]
- Sdiri, A.; Khairy, M.; Bouaziz, S.; El-Safty, S. A natural clayey adsorbent for selective removal of lead from aqueous solutions. Appl. Clay Sci. 2016, 126, 89–97. [Google Scholar] [CrossRef]
- Cheira, M.F.; Rashed, M.; Mohamed, A.E.; Zidan, I.H.; Awadallah, M.A. The performance of Alizarin impregnated bentonite for the displacement of some heavy metals ions from the wet phosphoric acid. Sep. Sci. Technol. 2020, 55, 3072–3088. [Google Scholar] [CrossRef]
- Tsai, W.; Chen, H.; Hsieh, M.; Sun, H.; Chien, S. Regeneration of spent bleaching earth by pyrolysis in a rotary furnace. J. Anal. Appl. Pyrolysis 2002, 63, 157–170. [Google Scholar] [CrossRef]
- Senturk, H.B.; Ozdes, D.; Gundogdu, A.; Duran, C.; Soylak, M. Removal of phenol from aqueous solutions by adsorption onto organomodified Tirebolu bentonite: Equilibrium, kinetic and thermodynamic study. J. Hazard. Mater. 2009, 172, 353–362. [Google Scholar] [CrossRef] [PubMed]
- Madejová, J. FTIR techniques in clay mineral studies. Vib. Spectrosc. 2003, 31, 1–10. [Google Scholar] [CrossRef]
- Wahab, M.A.; Jellali, S.; Jedidi, N. Ammonium biosorption onto sawdust: FTIR analysis, kinetics and adsorption isotherms modeling. Bioresour. Technol. 2010, 101, 5070–5075. [Google Scholar] [CrossRef] [PubMed]
- Naser, J.; Avbenake, O.P.; Dabai, F.N.; Jibril, B.Y. Regeneration of spent bleaching earth and conversion of recovered oil to biodiesel. Waste Manag. 2021, 126, 258–265. [Google Scholar] [CrossRef] [PubMed]
Publisher’s Note: MDPI stays neutral with regard to jurisdictional claims in published maps and institutional affiliations. |
© 2021 by the authors. Licensee MDPI, Basel, Switzerland. This article is an open access article distributed under the terms and conditions of the Creative Commons Attribution (CC BY) license (https://creativecommons.org/licenses/by/4.0/).








