Performance Analysis of RIS-Assisted FSO Communications over Fisher–Snedecor Turbulence Channels
Abstract
:1. Introduction
2. Fisher–Snedecor Composite Fading Model
3. FSO RIS-ACs Link over F-S TI fading Channels
3.1. Probability Density Function ()
3.2. Cumulative Distribution Function ()
3.3. Moment Generating Function ()
4. Performance Analysis of an FSO RIS-ACs Link over F-S TI fading Channels
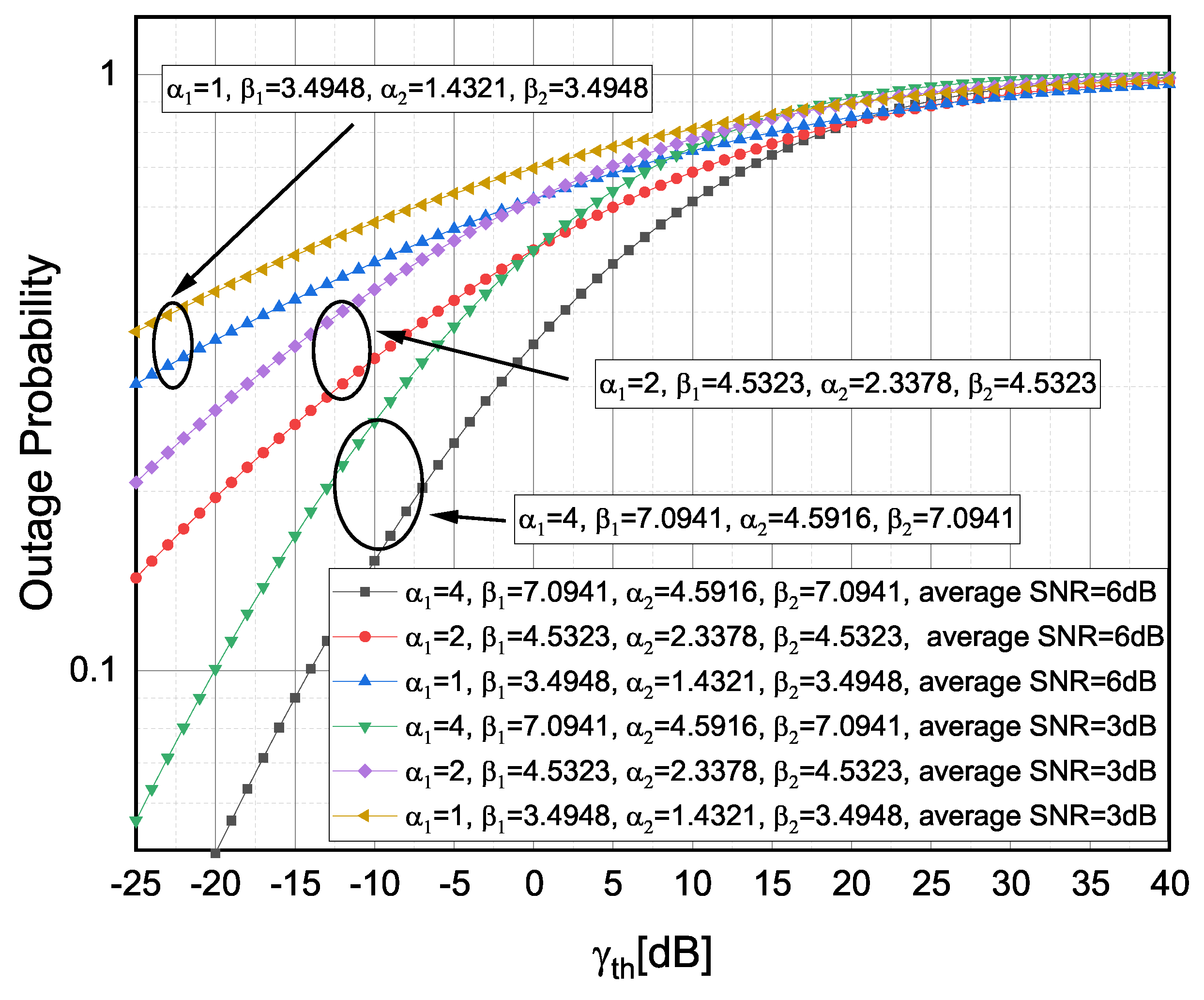
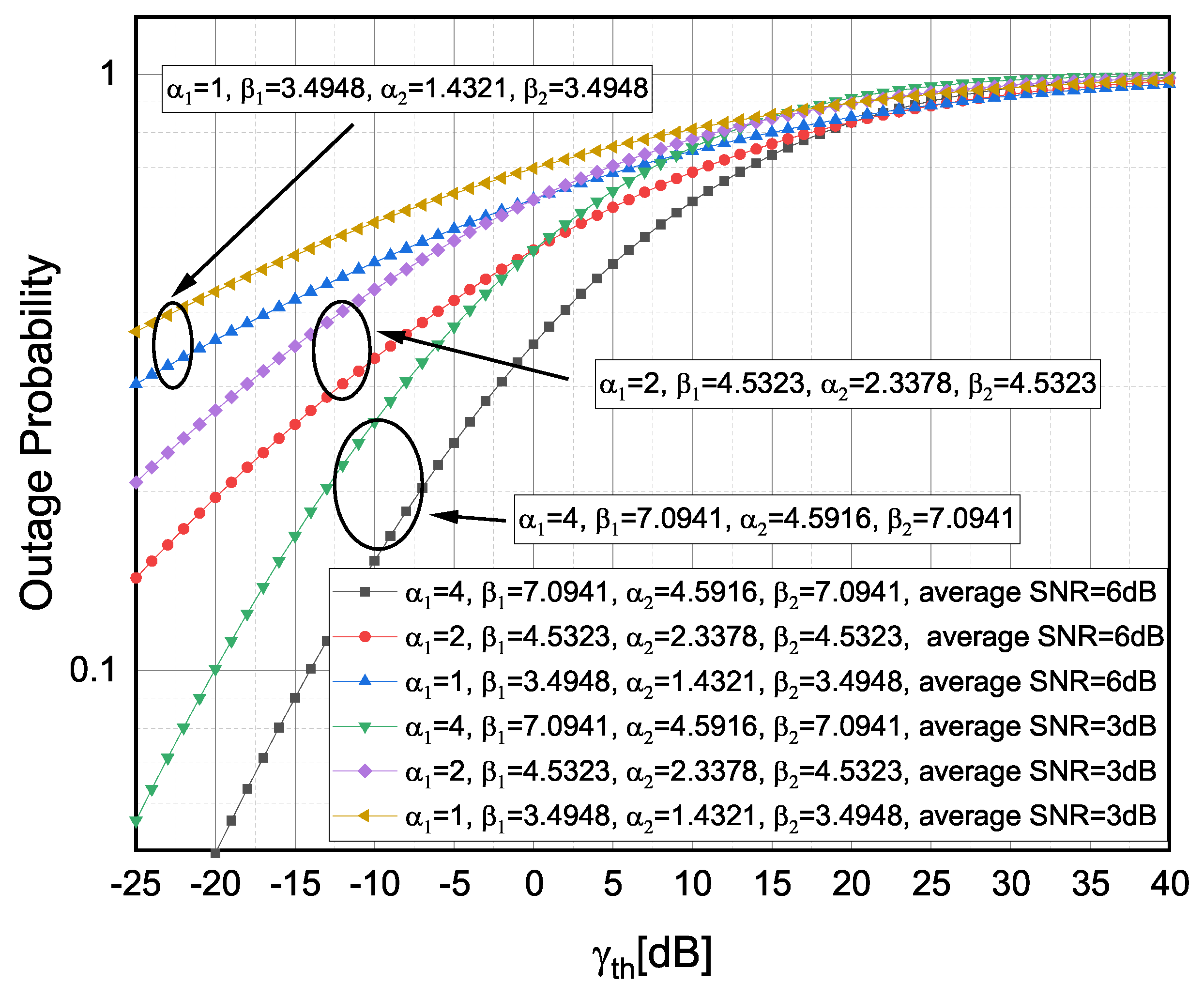
4.1. Outage Probability ()
4.2. Average Bit Error Rate ()
4.3. Channel Capacity ()
5. Second-Order (S-O) Performance Analysis of FSO RIS-ACs Link over F-S TI Fading Channels
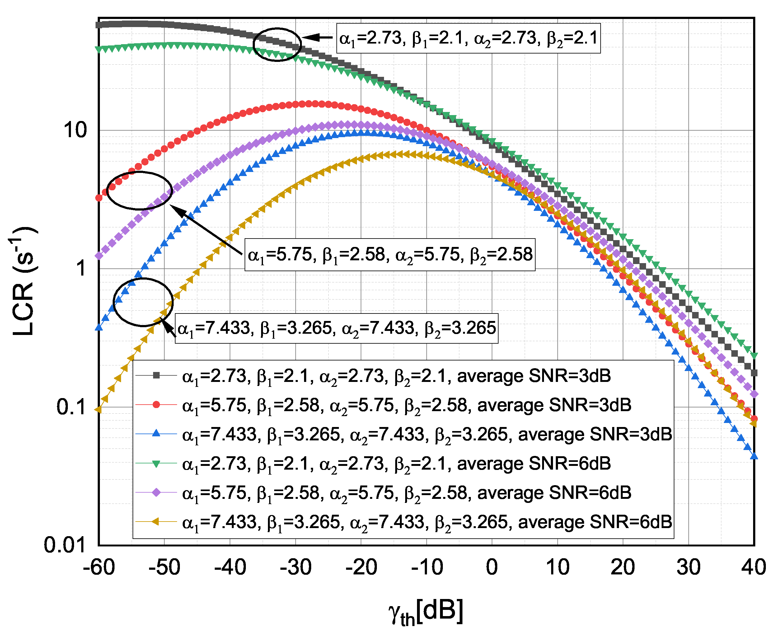
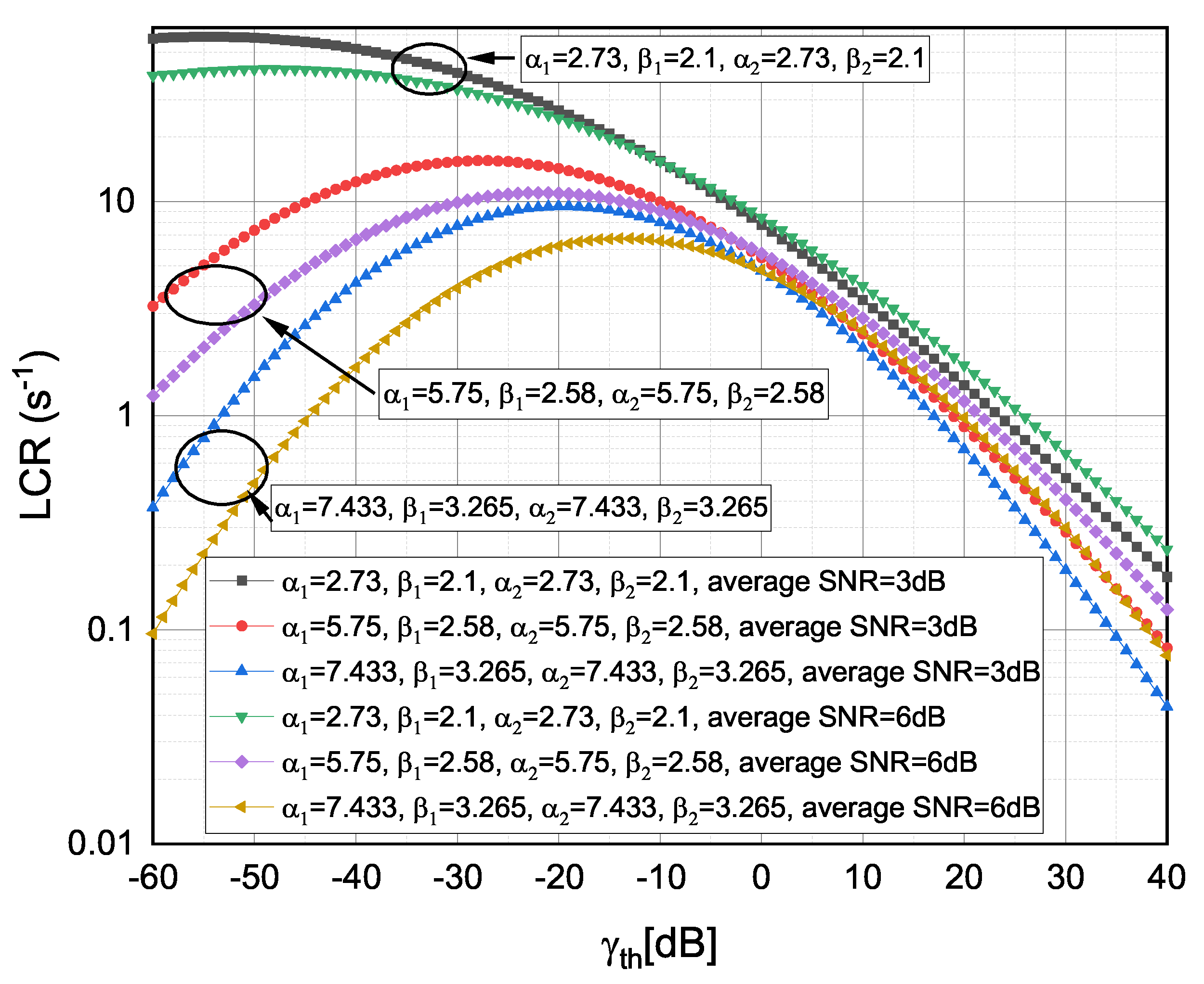
5.1. Level Crossing Rate ()
5.2. Average Fade Duration ()
6. Numerical Results
6.1. Numerical Results for F-O Performance Metrics
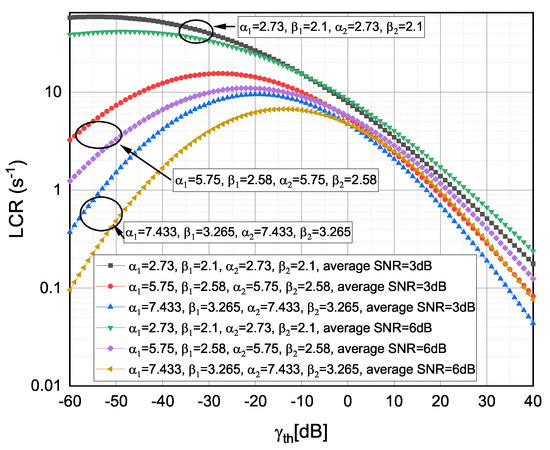
6.2. Numerical Results for S-O Performance Metrics
7. Conclusions
Author Contributions
Funding
Institutional Review Board Statement
Informed Consent Statement
Data Availability Statement
Acknowledgments
Conflicts of Interest
Abbreviations
| 5G | 5th generation |
| 6G | 6th generation |
| ACs | Assisted communications |
| AFD, | Average fade duration |
| AWGN | Additive white Gaussian noise |
| BE | Burst error |
| BER, | Bit error rate |
| Channel capacity | |
| CBFSK | Coherent binary frequency shift keying |
| CBPSK | Coherent binary phase shift keying |
| CDF, | Cumulative distribution function |
| C-F | Closed-form |
| DBPSK | Differential binary phase shift keying |
| F-O | First-order |
| F-S | Fisher–Snedecor |
| FSO | Free-space optical |
| G | Gamma |
| G-G | Gamma–gamma |
| i.i.d | Independent and identically distributed |
| I-G | Inverse gamma |
| I-F | Integral-form |
| IM–DD | Intensity modulation–direct detection |
| LCR, | Level crossing rate |
| MGF, | Moment generating function |
| NBFSK | Non-coherent binary frequency shift keying |
| OOK | On–off keying |
| OP, | Outage probability |
| PDF, | Probability density function |
| RF | Radiofrequency |
| RIS | Re-configurable intelligent surface |
| RIS-D | Re-configurable intelligent surface to destination |
| RV | Random variable |
| SNR | Signal to noise ratio |
| SISO | Single-input single-output |
| SSI | Spherical scintillation index |
| S-O | Second-order |
| S-RIS | Source to re-configurable intelligent surface |
| TI fading | Turbulence-induced fading |
| VLC | Visible light communication |
References
- Alghamdi, R.; Alhadrami, R.; Alhothali, D.; Almorad, H.; Faisal, A.; Helal, S.; Shalabi, R.; Asfour, R.; Hammad, N.; Shams, A.; et al. Intelligent surfaces for 6G wireless networks: A survey of optimization and performance analysis techniques. IEEE Access 2020, 8, 202795–202818. [Google Scholar] [CrossRef]
- Liu, Y.; Liu, X.; Mu, X.; Hou, T.; Xu, J.; Di Renzo, M.; Al-Dhahir, N. Reconfigurable intelligent surfaces: Principles and opportunities. IEEE Commun. Surv. Tutor. 2021, 23, 1546–1577. [Google Scholar] [CrossRef]
- Di Renzo, M.; Zappone, A.; Debbah, M.; Alouini, M.-S.; Yuen, C.; De Rosny, J.; Tretyakov, S. Smart Radio Environments Empowered by Reconfigurable Intelligent Surfaces: How It Works, State of Research, and The Road Ahead. IEEE J. Sel. Areas Commun. 2020, 38, 2450–2525. [Google Scholar] [CrossRef]
- Tang, W.; Chen, M.Z.; Chen, X.; Dai, J.Y.; Han, Y.; Di Renzo, M.; Zeng, Y.; Jin, S.; Cheng, Q.; Cui, T.J. Wireless communications with reconfigurable intelligent surface: Path loss modeling and experimental measurement. IEEE Trans. Wirel. Commun. 2021, 20, 421–439. [Google Scholar] [CrossRef]
- Di Renzo, M.; Ntontin, K.; Song, J.; Danufane, F.H.; Qian, X.; Lazarakis, F.; De Rosny, J.; Phan-Huy, D.T.; Simeone, O.; Zhang, R.; et al. Reconfigurable intelligent surfaces vs. relaying: Differences, similarities, and performance comparison. IEEE Open J. Commun. Soc. 2020, 1, 798–807. [Google Scholar] [CrossRef]
- Perović, N.; Di Renzo, M.; Flanagan, F. Channel Capacity Optimization Using Reconfigurable Intelligent Surfaces in Indoor mmWave Environments. In Proceedings of the ICC 2020—2020 IEEE International Conference on Communications (ICC), Dublin, Ireland, 7–11 June 2020; pp. 1–7. [Google Scholar]
- Abumarshoud, H.; Mohjazi, L.; Dobre, O.A.; Di Renzo, M.; Imran, M.A.; Haas, H. LiFi Through Reconfigurable Intelligent Surfaces: A New Frontier for 6G? arXiv 2021, arXiv:2104.02390. [Google Scholar]
- Ndjiongue, A.R.; Ngatched, T.M.N.; Dobre, O.A.; Haas, H. Re-configurable Intelligent Surface-based VLC Receivers Using Tunable Liquid-crystals: The Concept. J. Lightwave Technol. 2021, 39, 3193–3200. [Google Scholar] [CrossRef]
- Al-Habash, A.; Andrews, L.C.; Phillips, R.L. Mathematical model for the irradiance probability density function of a laser beam propagating through turbulent media. Opt. Eng. 2001, 40, 1554–1562. [Google Scholar] [CrossRef]
- Bayaki, E.; Schober, R.; Mallik, R. Performance analysis of MIMO free-space optical systems in gamma-gamma fading. IEEE Trans. Commun. 2009, 57, 3415–3424. [Google Scholar] [CrossRef]
- Moradi, H.; Falahpour, M.; Refai, H.H.; LoPresti, P.G.; Atiquzzaman, M. BER analysis of optical wireless signals through lognormal fading channels with perfect CSI. In Proceedings of the 17th International Conference on Telecommunications, Bali, Indonesia, 7–11 June 2010; pp. 493–497. [Google Scholar]
- Ansari, I.S.; Yilmaz, F.; Alouini, M.-S. Performance Analysis of Free-Space Optical Links Over Málaga (M) Turbulence Channels With Pointing Errors. IEEE Trans. Wirel. Commun. 2016, 15, 91–102. [Google Scholar] [CrossRef] [Green Version]
- Peppas, K.P.; Alexandropoulos, G.C.; Xenos, E.D.; Maras, A. The Fischer–Snedecor F-Distribution Model for Turbulence-Induced Fading in Free-Space Optical Systems. J. Lightwave Technol. 2020, 38, 1286–1295. [Google Scholar] [CrossRef]
- Badarneh, O.S.; Derbas, R.; Almehmadi, F.S.; El Bouanani, F.; Muhaidat, S. Performance Analysis of FSO Communications Over F Turbulence Channels With Pointing Errors. IEEE Commun. Lett. 2021, 25, 926–930. [Google Scholar] [CrossRef]
- Badarneh, O.S.; Mesleh, R. Diversity analysis of simultaneous mmWave and free-space-optical transmission over F-distribution channel models. J. Opt. Commun. Netw. 2020, 12, 324–334. [Google Scholar] [CrossRef]
- Han, L.; Wang, Y.; Liu, X.; Li, B. Secrecy performance of FSO using HD and IM/DD detection technique over F-distribution turbulence channel with pointing error. IEEE Commun. Lett. 2021, 10, 2245–2248. [Google Scholar] [CrossRef]
- Yoo, S.K.; Cotton, S.L.; Sofotasios, P.C.; Matthaiou, M.; Valkama, M.; Karagiannidis, G.K. The Fisher–Snedecor F Distribution: A Simple and Accurate Composite Fading Model. IEEE Commun. Lett. 2017, 21, 1661–1664. [Google Scholar] [CrossRef] [Green Version]
- Maričić, S.; Milošević, N.; Drajić, D.; Milić, D.; Anastasov, J. Physical Layer Intercept Probability in Wireless Sensor Networks over Fisher—Snedecor F Fading Channels. Electronics 2021, 10, 1368. [Google Scholar] [CrossRef]
- Zhang, J.; Du, H.; Sun, Q.; Ai, B.; Ng, D.W.K. Physical Layer Security Enhancement With Reconfigurable Intelligent Surface-Aided Networks. IEEE Trans. Inf. Forensics Secur. 2021, 16, 3480–3495. [Google Scholar] [CrossRef]
- Anastasov, J.A.; Cvetkovic, A.M.; Milic, D.N.; Djordjevic, G.; Milovic, D. Noisy Reference Loss for PSK Signal Detection over Fisher-Snedecor F Fading Channel. In Proceedings of the 17th International Conference on Telecommunications, Sirince, Turkey, 7–11 June 2010; pp. 493–497. [Google Scholar]
- Makarfi, A.; Rabie, K.; Kaiwartya, O.; Badarneh, O.; Nauryzbayev, G.; Kharel, R. Physical Layer Security in RIS-assisted Networks in Fisher-Snedecor Composite Fading. In Proceedings of the 12th International Symposium on Communication Systems, Networks and Digital Signal Processing (CSNDSP), Porto, Portugal, 20–22 July 2020. [Google Scholar]
- Yoo, S.K.; Cotton, S.L.; Sofotasios, P.C.; Muhaidat, S.; Karagiannidis, G.K. Level Crossing Rate and Average Fade Duration in F Composite Fading Channels. IEEE Wirel. Commun. Lett. 2020, 9, 281–284. [Google Scholar] [CrossRef]
- Cheng, W.; Wang, X. Bivariate Fisher–Snedecor F Distribution and its Applications in Wireless Communication Systems. IEEE Access 2020, 8, 146342–146360. [Google Scholar] [CrossRef]
- Ndjiongue, A.R.; Ngatched, T.; Dobre, O.; Armada, A.G.; Haas, H. Analysis of RIS-Based Terrestrial-FSO Link over G-G Turbulence with Distance and Jitter Ratios. J. Lightwave Technol. 2021, 39, 6746–6758. [Google Scholar] [CrossRef]
- Yang, L.; Guo, W.; Ansari, I.S. Mixed dual-hop FSO-RF communication systems through reconfigurable intelligent surface. IEEE Commun. Lett. 2020, 24, 1558–1562. [Google Scholar] [CrossRef]
- Najafi, M.; Schmauss, B.; Schober, R. Intelligent Reflecting Surfaces for Free Space Optical Communication Systems. IEEE Trans. Commun. 2021, 69, 6134–6151. [Google Scholar] [CrossRef]
- Chapala, V.K.; Zafaruddin, S.M. Unified Performance Analysis of Reconfigurable Intelligent Surface Empowered Free Space Optical Communications. arXiv 2021, arXiv:2106.02000. [Google Scholar]
- Vetelino, F.S.; Young, C.; Andrews, L. Fade statistics and aperture averaging for Gaussian beam waves in moderate-to-strong turbulence. Appl. Opt. 2007, 46, 3780–3789. [Google Scholar] [CrossRef]
- Kim, K.H.; Higashino, T.; Tsukamoto, K.; Komaki, S. Optical fading analysis considering spectrum of optical scintillation in terrestrial free-space optical channel. In Proceedings of the IEEE International Conference on Space Optical Systems and Applications, Santa Monica, CA, USA, 11–13 May 2011; pp. 58–66. [Google Scholar]
- Jurado-Navas, A.; Garrido-Balsells, J.M.; Castillo-Vázquez, M.; Puerta-Notario, A.; Monroy, I.T.; Olmos, J.J. Fade statistics of M-turbulent optical links. EURASIP J. Wirel. Commun. Netw. 2017, 112, 1–9. [Google Scholar]
- Stefanović, C.; Panić, S.; Djosić, D.; Milić, D.; Stefanović, M. On the second order statistics of N-hop FSO communications over N-gamma-gamma turbulence induced fading channels. Phys. Commun. 2021, 45, 101289. [Google Scholar] [CrossRef]
- Issaid, C.B.; Alouini, M.S. Level Crossing Rate and Average Outage Duration of Free Space Optical Links. IEEE Trans. Commun. 2019, 67, 6234–6242. [Google Scholar] [CrossRef] [Green Version]
- Stefanovic, C.; Céspedes, M.M.; Roka, R.; Armada, A.G. Performance analysis of N-Fisher-Snedecor F fading and its application to N-hop FSO communications. In Proceedings of the 17th IEEE International Symposium on Wireless Communication Systems (ISWCS), Berlin, Germany, 6–9 September 2021. [Google Scholar]
- Le, H.D.; Pham, A.T. Level Crossing Rate and Average Fade Duration of Satellite-to-UAV FSO Channels. IEEE Photonics J. 2021, 13, 1–14. [Google Scholar] [CrossRef]
- Stefanovic, C.; Pratesi, M.; Santucci, F. Second order statistics of mixed RF-FSO relay systems and its application to vehicular networks. In Proceedings of the IEEE International Conference on Communications (ICC), Shanghai, China, 20–24 May 2019. [Google Scholar]
- Waseer, W.I.; Nawaz, S.J.; Gulfam, S.M.; Mughal, M.J. Second-order fading statistics of massive-MIMO vehicular radio communication channels. Trans. Emerg. Telecommun. Technol. 2018, 29, e3487. [Google Scholar] [CrossRef]
- Stefanovic, C.; Panic, S.; Bhatia, V.; Kumar, N. On second-order statistics of the composite channel models for UAV-to-ground communications with UAV selection. IEEE Open J. Commun. Soc. 2021, 2, 534–544. [Google Scholar] [CrossRef]
- Le, H.D.; Mai, V.V.; Nguyen, C.T.; Pham, A.T. Design and analysis of sliding window arq protocols with rate adaptation for burst transmission over fso turbulence channels. J. Opt. Commun. Netw. 2019, 11, 151–163. [Google Scholar] [CrossRef]
- Gradshteyn, I.S.; Ryzhik, I.M. The title of the cited contribution. In Table of Integrals, Series, and Products; Academic: New York, NY, USA, 2000. [Google Scholar]
- Yigit, Z.; Basar, E.; Altunbas, I. Low complexity adaptation for reconfigurable intelligent surface-based MIMO systems. IEEE Commun. Lett. 2020, 24, 2946–2950. [Google Scholar] [CrossRef]
- Wolfram Research Inc. The Mathematical Functions Site; Wolfram Research, Inc.: Champaign, IL, USA, 2010; Available online: https://functions.wolfram.com/ (accessed on 1 September 2021).
- Petkovic, M.; Cvetkovic, M.; Djordjevic, G.T.; Karagiannidis, G.K. Partial Relay Selection With Outdated Channel State Estimation in Mixed RF/FSO Systems. J. Lightwave Technol. 2015, 33, 2860–2867. [Google Scholar] [CrossRef]
- Lopez-Martinez, F.J.; Kurniawan, E.; Islam, R.; Goldsmith, A. Average fade duration for amplify-and-forward relay networks in fading channels. IEEE Trans. Wirel. Commun. 2015, 14, 5454–5467. [Google Scholar] [CrossRef]
- Chau, Y.A.; Huang, K.Y.-T. Burst-error analysis of dual-hop fading channels based on the second-order channel statistics. IEEE Trans. Veh. Technol. 2010, 59, 3108–3115. [Google Scholar] [CrossRef]
- Hadzi-Velkov, Z.; Zlatanov, N.; Karagiannidis, G.K. On the second order statistics of the multihop Rayleigh fading channel. IEEE Trans. Commun. 2009, 33, 2860–2867. [Google Scholar] [CrossRef]
- Wayne, D.T. The PDF of Irradiance for a Free-Space Optical Communications Channel: A Physics Based Model. Ph.D. Thesis, College of Engineering and Computer Science, University of Central Florida, Orlando, FL, USA, 2010. [Google Scholar]







Publisher’s Note: MDPI stays neutral with regard to jurisdictional claims in published maps and institutional affiliations. |
© 2021 by the authors. Licensee MDPI, Basel, Switzerland. This article is an open access article distributed under the terms and conditions of the Creative Commons Attribution (CC BY) license (https://creativecommons.org/licenses/by/4.0/).
Share and Cite
Stefanovic, C.; Morales-Céspedes, M.; Armada, A.G.
Performance Analysis of RIS-Assisted FSO Communications over Fisher–Snedecor
Stefanovic C, Morales-Céspedes M, Armada AG.
Performance Analysis of RIS-Assisted FSO Communications over Fisher–Snedecor
Stefanovic, Caslav, Máximo Morales-Céspedes, and Ana García Armada.
2021. "Performance Analysis of RIS-Assisted FSO Communications over Fisher–Snedecor
Stefanovic, C., Morales-Céspedes, M., & Armada, A. G.
(2021). Performance Analysis of RIS-Assisted FSO Communications over Fisher–Snedecor

