Development of a Mouthwash Using Freeze-Drying Technique: An Optimization Study
Abstract
:1. Introduction
2. Materials and Methods
2.1. Materials
2.2. Methods
2.2.1. In Vitro Evaluation of the Cetraria islandica Extract
Cell Culture
Preparation of Extract Solutions
Antibacterial Activity
2.2.2. Preparation of Mouthwash Samples
2.2.3. Freeze-Drying of Mouthwash Samples
2.2.4. Characterization of Mouthwash Samples
Texture Analysis
Reconstitution Time
Weight Loss Percentage
Viscosity Measurement of the Reconstituted Mouthwashes
Experimental Design
2.2.5. Optimal Mouthwash Formulation
- Texture analysis,
- Reconstitution time,
- The weight loss percent,
- Viscosity measurement of the reconstituted mouthwash.
3. Results and Discussion
3.1. Evaluation of the Cetraria Islandica Extract
3.1.1. In Vitro Testing
3.1.2. Antibacterial Activity
3.2. Development and Evaluation of the Cetraria islandica Extract Mouthwash
3.2.1. Experimental Design
3.2.2. Evaluation of the Quality of Fit
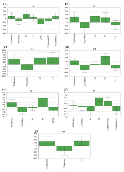
3.2.3. The Effect of the Formulation Factors on the Mechanical Profile of the Freeze-Dried Mouthwashes
3.2.4. The Effect of the Formulation Factors on the Weight Loss Percentage (Y8) of the Freeze-Dried Mouthwashes
3.2.5. The Effect of the Formulation Factors on the Reconstitution Time (Y9) of the Freeze-Dried Mouthwashes
3.2.6. The Effect of the Formulation Factors on the Viscosity (Y10) of the Reconstituted Mouthwashes
3.2.7. Optimization of the Cetraria islandica Mouthwash Formulation
4. Conclusions
Author Contributions
Funding
Data Availability Statement
Conflicts of Interest
References
- Commission Implementing Regulation (EU). Directive 2019/904 and Implementing Regulation 2020/2151. Available online: https://eur-lex.europa.eu/eli/reg_impl/2020/2151 (accessed on 8 September 2021).
- Gubitosa, J.; Rizzi, V.; Fini, P.; Cosma, P. Hair Care Cosmetics: From Traditional Shampoo to Solid Clay and Herbal Shampoo, A Review. Cosmetics 2019, 6, 13. [Google Scholar] [CrossRef] [Green Version]
- Verri, W.A.; Vicentini, F.T.; Baracat, M.M.; Georgetti, S.R.; Cardoso, R.D.; Cunha, T.M.; Ferreira, S.H.; Cunha, F.Q.; Fonseca, M.J.; Casagrande, R. Flavonoids as Anti-Inflammatory and Analgesic Drugs: Mechanisms of Action and Perspectives in the Development of Pharmaceutical Forms; Elsevier: Amsterdam, The Netherlands, 2012; Volume 36, pp. 297–330. [Google Scholar] [CrossRef]
- Luque García, J.L.; Luque de Castro, M.D. Acceleration and Automation of Solid Sample Treatment, 1st ed.; Elsevier: Amsterdam, The Netherlands, 2002. [Google Scholar]
- Allemand, J.-L.G.; Masso, S.J.J.; Simonnet, A.M.C.; Vidal, S.C. Freeze-Dried Makeup Product, Corresponding Compositions and Method for Making Same. U.S. Patent Application No 11/910,368, 10 December 2009. [Google Scholar]
- Committee on Herbal Medicinal Products (HMPC), Assessment Report on Cetraria islandica (L.) Acharius s.l., Thallus. Available online: https://www.ema.europa.eu/en/documents/herbal-report/final-assessment-report-cetraria-islandica-l-acharius-sl-thallus-first-version_en.pdf (accessed on 8 September 2021).
- Mittal, B. How to Integrate Quality by Efficient Design (QbED) in Product Development, 1st ed.; Academic Press: Cambridge, MA, USA, 2019. [Google Scholar]
- Beg, S.; Rahman, M.; Iman, S.S.; Alruwaili, N.K.; Al Robaian, M.; Panda, S.K. Pharmaceutical Drug Product Development and Process Optimization Effective Use of Quality by Design; Apple Academic Press: Palm Bay, FL, USA, 2020. [Google Scholar]
- Atlas, R.M. Handbook of Microbiological Media; CRC Press: Washington, DC, USA, 2010. [Google Scholar]
- Carpa, R.; Dragan-Bularda, M.; Muntean, V. Microbiologie Generala-Lucrari Practice; Presa Universitara Clujeana: Cluj-Napoca, Romania, 2014; pp. 56–82. [Google Scholar]
- Ögmundsdóttir, H.M.; Zoëga, G.M.; Gissurarson, S.R.; Ingolfsdottir, K. Anti-proliferative Effects of Lichen-derived Inhibitors of 5-Lipoxygenase on Malignant Cell-lines and Mitogen-stimulated Lymphocytes. J. Pharm. Pharmacol. 2011, 50, 107–115. [Google Scholar] [CrossRef] [PubMed]
- Garbacz, K.; Jarzembowski, T.; Kwapisz, E.; Daca, A.; Witkowski, J. Do the oral Staphylococcus aureus strains from denture wearers have a greater pathogenicity potential? J. Oral Microbiol. 2018, 11, 1536193. [Google Scholar] [CrossRef] [PubMed]
- Komiyama, E.Y.; Lepesqueur, L.S.; Yassuda, C.G.; Samaranayake, L.P.; Parahitiyawa, N.B.; Balducci, I. Koga-Ito CY. Enterococcus Species in the Oral Cavity: Prevalence, Virulence Factors and Antimicrobial Susceptibility. PLoS ONE 2016, 11, e0163001. [Google Scholar] [CrossRef] [Green Version]
- Dülger, B.; Gücin, F.; Aslan, A. Antimicrobial Activity of the Lichen Cetraria islandica (L.) Ach. Turk. J. Biol. 1998, 22, 111–118. [Google Scholar]
- Patriche, S.; Ghinea, I.O.; Adam, G.; Gurau, G.; Furdui, B.; Dinica, R.M.; Rebegea, L.-F.; Lupoae, M. Characterization of Bioactive Compounds from Romanian Cetraria islandica (L) Ach. Rev. Chim. 2019, 70, 2186–2191. [Google Scholar] [CrossRef]
- Freysdottir, J.; Omarsdottir, S.; Ingolfsdottir, K.; Vikingsson, A.; Olafsdottir, E. In vitro and in vivo immunomodulating effects of traditionally prepared extract and purified compounds from Cetraria islandica. Int. Immunopharmacol. 2008, 8, 423–430. [Google Scholar] [CrossRef] [PubMed]
- Grujičić, D.; Stošić, I.; Kosanic, M.; Stanojkovic, T.; Ranković, B.; Milošević-Djordjević, O. Evaluation of in vitro antioxidant, antimicrobial, genotoxic and anticancer activities of lichen Cetraria islandica. Cytotechnology 2014, 66, 803–813. [Google Scholar] [CrossRef] [PubMed]
- Dumortier, G.; Grossiord, J.L.; Agnely, F.; Chaumeil, J.C. A Review of Poloxamer 407 Pharmaceutical and Pharmacological Characteristics. Pharm. Res. 2006, 23, 2709–2728. [Google Scholar] [CrossRef] [PubMed]
- Lee, M.K.; Kim, M.Y.; Kim, S.; Lee, J. Cryoprotectants for freeze drying of drug nano-suspensions: Effect of freezing rate. J. Pharm. Sci. 2009, 98, 4808–4817. [Google Scholar] [CrossRef] [PubMed]
- Kanlayavattanakul, M.; Lourith, N. Biopolysaccharides for Skin Hydrating Cosmetics; Springer: New York, NY, USA, 2015; pp. 1867–1892. [Google Scholar]
- Gottschalck, T.E.; Bailey, J.E. International Cosmetic Ingredient Dictionary and Handbook, 12th ed.; The Personal Care Products Council: Washington, DC, USA, 2008. [Google Scholar]
- Dahiya, P.; Kamal, R. Hyaluronic acid: A boon in periodontal therapy. N. Am. J. Med Sci. 2013, 5, 309–315. [Google Scholar] [CrossRef] [PubMed]
- Iurian, S.; Tomuta, I.; Bogdan, C.; Rus, L.; Tokes, T.; Barbu-Tudoran, L.; Achim, M.; Moldovan, M.L.; Leucuta, S. Defining the design space for freeze-dried orodispersible tablets with meloxicam. Drug Dev. Ind. Pharm. 2016, 42, 1977–1989. [Google Scholar] [CrossRef] [PubMed]
- Thapa, P.; Jeong, S.H. Effects of Formulation and Process Variables on Gastroretentive Floating Tablets with A High-Dose Soluble Drug and Experimental Design Approach. Pharmaceutics 2018, 10, 161. [Google Scholar] [CrossRef] [PubMed] [Green Version]
- Kumar, K.N.; Mallik, S.; Sarkar, K. Role of freeze-drying in the presence of mannitol on the echogenicity of echogenic liposomes. J. Acoust. Soc. Am. 2017, 142, 3670–3676. [Google Scholar] [CrossRef] [PubMed]
- Suciu, Ș.; Iurian, S.; Bogdan, C.; Rus, L.; Porav, A.S.; Borodi, G.; Tomuță, I. Design of experiments approach to assess the impact of API particle size on freeze-dried bulking agents. Farmacia 2021, 69, 279–289. [Google Scholar] [CrossRef]
- Jones, R.J.; Rajabi-Siahboomi, A.; Levina, M.; Perrie, Y.; Mohammed, A.R. The Influence of Formulation and Manufacturing Process Parameters on the Characteristics of Lyophilized Orally Disintegrating Tablets. Pharmaceutics 2011, 3, 440–457. [Google Scholar] [CrossRef] [PubMed] [Green Version]
- Casian, T.; Iurian, S.; Bogdan, C.; Rus, L.; Moldovan, M.L.; Tomuta, I. QbD for pediatric oral lyophilisates development: Risk assessment followed by screening and optimization. Drug Dev. Ind. Pharm. 2017, 43, 1932–1944. [Google Scholar] [CrossRef] [PubMed]
- Zhao, Y.; Wang, M.; Xu, B. A comprehensive review on secondary metabolites and health-promoting effects of edible lichen. J. Funct. Foods 2021, 80, 104283. [Google Scholar] [CrossRef]
- Zacharski, D.M.; Esch, S.; Konig, S.; Mormann, M.; Brandt, S.; Ulrich-Merzenich, G.; Hensel, A. Β-1.3/1.4-Glucan lichenan from Cetraria islandica (L.)) ACH. Induces cellular differentiation of human keratinocytes. Fitoterapia 2018, 129, 226–236. [Google Scholar] [CrossRef] [PubMed]






| Quantity w/v% | |||||||||||
|---|---|---|---|---|---|---|---|---|---|---|---|
| Ingredient | F1 | F2 | F3 | F4 | F5 | F6 | F7 | F8 | F9 | F10 | F11 |
| Mannitol | 3.00 | - | 7.00 | - | 3.00 | - | 7.00 | - | 5.00 | 5.00 | 5.00 |
| Sorbitol | - | 3.00 | - | 7.00 | - | 3.00 | - | 7.00 | - | - | - |
| Poloxamer | 5.00 | 5.00 | 5.00 | 5.00 | 5.00 | 5.00 | 5.00 | 5.00 | 5.00 | 5.00 | 5.00 |
| Methylcellulose | - | - | - | - | 0.50 | 0.50 | 0.50 | 0.50 | 0.25 | 0.25 | 0.25 |
| Allantoin | 5.00 | 5.00 | 5.00 | 5.00 | 5.00 | 5.00 | 5.00 | 5.00 | 5.00 | 5.00 | 5.00 |
| Hyaluronic acid | 0.125 | 0.125 | 0.125 | 0.125 | 0.125 | 0.125 | 0.125 | 0.125 | 0.125 | 0.125 | 0.125 |
| Cetraria islandica extract | 5.00 | 5.00 | 5.00 | 5.00 | 5.00 | 5.00 | 5.00 | 5.00 | 5.00 | 5.00 | 5.00 |
| Flavoring agent | 0.50 | 0.50 | 0.50 | 0.50 | 0.50 | 0.50 | 0.50 | 0.50 | 0.50 | 0.50 | 0.50 |
| Sample | Escherichia coli | Staphylococcus aureus | Enterococcus faecalis |
|---|---|---|---|
| (mm) | |||
| Cetraria islandica extract | 0 | 7 ± 0.00 | 8.5 ± 0.70 |
| Control | 0 | 0 | 0 |
| Y1 | Y2 | Y3 | Y4 | Y5 | Y6 | Y7 | Y8 | Y9 | Y10 | |
|---|---|---|---|---|---|---|---|---|---|---|
| Rigidity at 2 mm (g) | Rigidity at 4 mm (g) | Load at target (g) | Fracturability (g) | 1st Fracture work done (mJ) | 1st Fracture deformation (mm) | Mean load (g) | Weight loss % | Reconstitution time | Viscosity (cP) | |
| F1 | 703.50 ± 140.71 | 758.67 ± 118.31 | 1042.50 ± 207.03 | 738.83 ± 163.25 | 4.95 ± 2.02 | 1.44 ± 0.45 | 487.23 ± 86.40 | 5.78 ±1.35 | 46.00 ± 4.58 | 6.61 ± 0.11 |
| F2 | 36.30 ± 22.60 | 262.50 ± 62.60 | 524.50 ± 190.00 | 151.17 ± 173.96 | 1.31 ± 1.81 | 1.79 ± 1.72 | 31.73 ± 11.47 | 39.58 ± 12.76 | 39.00 ± 5 | 6.31 ± 0.15 |
| F3 | 1244.00 ± 49.39 | 1736.00 ± 35.77 | 2147.67 ± 167.61 | 1232.67 ± 109.58 | 9.63 ± 4.71 | 1.53 ± 0.37 | 868.57 ± 26.46 | 4.93 ± 0.35 | 51.00 ± 5 | 6.97 ± 0.09 |
| F4 | 885.17 ± 161.82 | 1470.00 ± 223.34 | 2289.50 ± 389.54 | 716.00 ± 78.56 | 2.41 ± 0.65 | 0.76 ± 0.11 | 661.10 ± 118.05 | 48.73±9.50 | 31.00 ± 2.64 | 8.28 ± 0.03 |
| F5 | 860.83 ± 208.11 | 1844.50 ± 196.44 | 3020.83 ± 443.61 | 2322.67 ± 1652.61 | 41.68 ± 35.45 | 3.57 ± 2.46 | 629.13 ± 146.88 | 3.61±1.27 | 95.00 ± 6.24 | 10.30 ± 0.10 |
| F6 | 625.00 ± 28.70 | 1046.83 ± 94.40 | 1555.00 ± 202.21 | 1555.00 ± 202.21 | 34.99 ± 2.62 | 4.99 ± 0.01 | 409.77 ± 22.61 | 4.93±0.02 | 91.00 ± 3 | 11.53 ± 0.15 |
| F7 | 997.50 ± 79.38 | 1831.33 ± 88.97 | 3634.00 ± 348.84 | 1839.50 ± 1567.23 | 26.47 ± 32.20 | 2.69 ± 2.02 | 710.83 ± 77.03 | 2.47±0.27 | 60.33 ± 8.62 | 10.33 ± 0.05 |
| F8 | 1297.17 ± 253.33 | 1836.83 ± 333.32 | 3123.83 ± 852.02 | 1419.33 ± 238.16 | 8.50 ± 2.64 | 1.47 ± 0.29 | 868.73 ± 239.34 | 7.73±4.67 | 90.00 ± 4.58 | 8.57 ± 0.06 |
| F9 | 1098.17 ± 229.28 | 1682.67 ± 282.89 | 2383.50 ± 483.05 | 1082.50 ± 295.28 | 8.91 ± 5.48 | 1.49 ± 0.42 | 770.27 ± 125.43 | 3.53±0.24 | 114.00 ± 3.60 | 8.94 ± 0.03 |
| F10 | 1401.30 ± 198.56 | 2206.83 ± 121.00 | 3566.33 ± 201.66 | 1390.33 ± 166.97 | 13.79 ± 2.41 | 1.78 ± 0.14 | 963.90 ± 172.15 | 1.54±0.82 | 111.67 ± 3.51 | 10.47 ± 0.15 |
| F11 | 1508.50 ± 87.72 | 2171.67 ± 147.07 | 3460.67 ± 407.48 | 1503.83 ± 183.35 | 12.00 ± 5.55 | 1.47 ± 0.44 | 1116.27 ± 97.59 | 3.48±0.58 | 103.00 ± 6.24 | 8.99 ± 0.01 |
| Parameter | Response | R2 | Q2 | p-Value | Lack of Fit | F-Value | Model Validity | Reproducibility |
|---|---|---|---|---|---|---|---|---|
| Rigidity 2mm | Y1 | 0.87 | 0.56 | 0.029 | 0.529 | 6.65 | 0.84 | 0.74 |
| Rigidity 4mm | Y2 | 0.80 | 0.62 | 0.028 | 0.411 | 5.94 | 0.78 | 0.77 |
| Load at target | Y3 | 0.79 | 0.65 | 0.009 | 0.677 | 8.62 | 0.90 | 0.61 |
| Fracturability | Y4 | 0.94 | 0.72 | 0.001 | 0.721 | 24.43 | 0.92 | 0.86 |
| 1st fracture work | Y5 | 0.94 | 0.64 | 0.001 | 0.258 | 22.28 | 0.66 | 0.96 |
| 1st fracture deformation | Y6 | 0.90 | 0.69 | 0.004 | 0.171 | 13.77 | 0.56 | 0.96 |
| Mean load | Y7 | 0.60 | 0.31 | 0.026 | 0.427 | 5.96 | 0.79 | 0.66 |
| Weight loss percentage | Y8 | 0.92 | 0.79 | 0.002 | 0.730 | 13.64 | 0.92 | 0.80 |
| Reconstitution time | Y9 | 0.94 | 0.73 | 0.005 | 0.167 | 15.06 | 0.55 | 0.96 |
| Viscosity | Y10 | 0.80 | 0.49 | 0.027 | 0.360 | 6.03 | 0.74 | 0.80 |
| Factor | Value | Ingredient | Quantity (w/v%) |
|---|---|---|---|
| Filler Type (X1) | Mannitol | Mannitol | 7.00 |
| % filler (X2) | 7 | Poloxamer 407 | 5.00 |
| % MC (X3) | 0.5 | Methylcellulose | 0.50 |
![]() | Allantoin | 5.00 | |
| Hyaluronic acid | 0.125 | ||
| Cetraria islandica extract | 5.00 | ||
| Flavoring agent | 0.50 |
| Response | Predicted Value(Mean ± σ) | Experimental Value(Mean ± σ) | Residual |
|---|---|---|---|
| Fracturability (g) | 1826.85 | 1951 ± 123 | +124.15 |
| Weight loss (%) | 2.59 | 2.39 ± 0.91 | −0.20 |
| Reconstitution time (s) | 74.71 | 80 ± 6.56 | +5.29 |
| Viscosity (cP) | 9.84 | 8.42 ± 0.28 | −1.42 |
Publisher’s Note: MDPI stays neutral with regard to jurisdictional claims in published maps and institutional affiliations. |
© 2021 by the authors. Licensee MDPI, Basel, Switzerland. This article is an open access article distributed under the terms and conditions of the Creative Commons Attribution (CC BY) license (https://creativecommons.org/licenses/by/4.0/).
Share and Cite
Iurian, S.M.; Adespei, D.-R.; Pop, A.; Fizeșan, I.; Carpa, R.; Moldovan, M.L.; Loghin, F.; Achim, M.; Bogdan, C. Development of a Mouthwash Using Freeze-Drying Technique: An Optimization Study. Appl. Sci. 2021, 11, 9609. https://doi.org/10.3390/app11209609
Iurian SM, Adespei D-R, Pop A, Fizeșan I, Carpa R, Moldovan ML, Loghin F, Achim M, Bogdan C. Development of a Mouthwash Using Freeze-Drying Technique: An Optimization Study. Applied Sciences. 2021; 11(20):9609. https://doi.org/10.3390/app11209609
Chicago/Turabian StyleIurian, Sonia M., Diana-Roxana Adespei, Anca Pop, Ionel Fizeșan, Rahela Carpa, Mirela L. Moldovan, Felicia Loghin, Marcela Achim, and Cătălina Bogdan. 2021. "Development of a Mouthwash Using Freeze-Drying Technique: An Optimization Study" Applied Sciences 11, no. 20: 9609. https://doi.org/10.3390/app11209609
APA StyleIurian, S. M., Adespei, D.-R., Pop, A., Fizeșan, I., Carpa, R., Moldovan, M. L., Loghin, F., Achim, M., & Bogdan, C. (2021). Development of a Mouthwash Using Freeze-Drying Technique: An Optimization Study. Applied Sciences, 11(20), 9609. https://doi.org/10.3390/app11209609


