The Performance Evolution of Match Play Styles in the Spanish Professional Basketball League
Abstract
1. Introduction
2. Materials and Methods
2.1. Sample and Variables
2.2. Statistical Analysis
3. Results
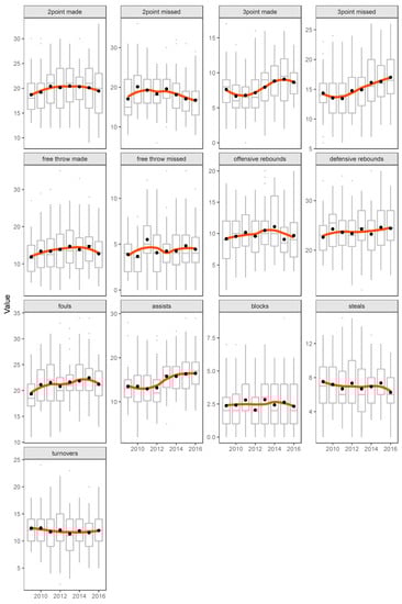
3.1. Dynamics of Team’s Performance
3.2. Multivariate Team Performance Dynamics
4. Discussion
5. Conclusions
Author Contributions
Funding
Acknowledgments
Conflicts of Interest
References
- Vračar, P.; Štrumbelj, E.; Kononenko, I. Modelling basketball play-by-play data. Expert Syst. Appl. 2016, 44, 58–66. [Google Scholar] [CrossRef]
- Sampaio, J.; Gonçalves, B.; Mateus, N.; Shaoliang, Z.; Leite, N. Chapter 6 Basketball. In Modelling and Simulation in Sport and Exercise; Baca, A., Perl, J., Eds.; Routledge: Oxon, UK, 2018; pp. 108–126. [Google Scholar]
- Neuman, Y.; Vilenchik, D. Modeling Small Systems through the Relative Entropy Lattice. IEEE Access 2019, 7, 43591–43597. [Google Scholar] [CrossRef]
- Neuman, Y.; Israeli, N.; Vilenchik, D.; Cohen, Y. The Adaptive Behavior of a Soccer Team: An Entropy-Based Analysis. Entropy 2018, 20, 758. [Google Scholar] [CrossRef]
- Sampaio, J.; Janeira, M. Statistical analyses of basketball team performance: Understanding teams’ wins and losses according to a different index of ball possessions. Int. J. Perform. Anal. Sport 2003, 3, 40–49. [Google Scholar] [CrossRef]
- Ibáñez, S.J.; Sampaio, J.; Feu, S.; Lorenzo, A.; Gómez, M.A.; Ortega, E. Basketball game-related statistics that discriminate between teams’ season-long success. Eur. J. Sport Sci. 2008, 8, 369–372. [Google Scholar] [CrossRef]
- García, J.; Ibáñez, S.J.; De Santos, R.M.; Leite, N.; Sampaio, J. Identifying basketball performance indicators in regular season and playoff games. J. Hum. Kinet. 2013, 36, 161–168. [Google Scholar] [CrossRef]
- Ibáñez, S.J.; García, J.; Feu, S.; Lorenzo, A.; Sampaio, J. Effects of consecutive basketball games on the game-related statistics that discriminate winner and losing teams. J. Sports Sci. Med. 2009, 8, 458. [Google Scholar]
- Pluta, B.; Andrzejewski, M.; Lira, J. The effects of rule changes on basketball game results in the men’s European basketball championships. Hun. Mov. 2014, 15, 204–208. [Google Scholar] [CrossRef]
- Ibañez, S.J.; García-Rubio, J.; Gómez, M.Á.; Gonzalez-Espinosa, S. The impact of rule modifications on elite basketball teams’ performance. J. Hum. Kinet. 2018, 64, 181–193. [Google Scholar] [CrossRef]
- Pérez-Ferreirós, A.; Kalén, A.; Rey, E. Short-and mid-term effects of the 2010 rule changes on game-related statistics in European basketball championships: An interrupted time series analysis. Int. J. Sports Sci. Coach. 2018, 13, 1081–1089. [Google Scholar] [CrossRef]
- Gomez, M.; Lorenzo, A.; Sampaio, J.; Ibáñez, S.; Ortega, E. Game-related statistics that discriminated winning and losing teams from the Spanish men’s professional basketball teams. Coll. Antropol. 2008, 32, 451–456. [Google Scholar]
- Leicht, A.S.; Gomez, M.A.; Woods, C.T. Team performance indicators explain outcome during Women’s basketball matches at the Olympic Games. Sports 2017, 5, 96. [Google Scholar] [CrossRef] [PubMed]
- Leicht, A.S.; Gomez, M.A.; Woods, C.T. Explaining match outcome during the men’s basketball tournament at the Olympic Games. J. Sports Sci. Med. 2017, 16, 468–473. [Google Scholar] [PubMed]
- Jaguszewki, M. Increasing role of three-point field goals in National Basketball Association. Trends Sport Sci. 2020, 27, 5–11. [Google Scholar]
- Woods, C.T.; Robertson, S.; Collier, N.F. Evolution of game-play in the Australian Football League from 2001 to 2015. J. Sports Sci. 2017, 35, 1879–1887. [Google Scholar] [CrossRef]
- Zhang, S.; Lorenzo, A.; Woods, C.T.; Leicht, A.S.; Gomez, M.A. Evolution of game-play characteristics within-season for the National Basketball Association. Int. J. Sports Sci. Coach. 2019, 14, 355–362. [Google Scholar] [CrossRef]
- Bruce, L.; Brooks, E.R.; Woods, C.T. Team and seasonal performance indicator evolution in the ANZ Championship netball league. J. Sports Sci. 2018, 36, 2771–2777. [Google Scholar] [CrossRef]
- Woods, C.; Leicht, A.S.; Jones, B.; Till, K. Game-play characteristics differ between the European Super League and National Rugby League: Implications for coaching and talent recruitment. Int. J. Sports Sci. Coach. 2018, 13, 1171–1176. [Google Scholar] [CrossRef]
- Oliver, D. Basketball on Paper Rules and Tools for Performance Analysis; Potomac Books, Inc.: Sterling, VA, USA, 2004. [Google Scholar]
- Gómez, M.; Ibáñez, S.J.; Parejo, I.; Furley, P. The use of classification and regression tree when classifying winning and losing basketball teams. Kinesiology 2017, 49, 47–56. [Google Scholar] [CrossRef]
- Faith, D.P.; Minchin, P.R.; Belbin, L. Compositional dissimilarity as a robust measure of ecological distance. Vegetatio 1987, 69, 57–68. [Google Scholar] [CrossRef]
- Minchin, P.R. An evaluation of the relative robustness of techniques for ecological ordination. In Theory and Models in Vegetation Science; Prentice, I.C., van der Maarel, E., Eds.; Springer: Dordrecht, The Netherlands, 1987; pp. 89–107. [Google Scholar]
- Taguchi, Y.H.; Oono, Y. Relational patterns of gene expression via non-metric multidimensional scaling analysis. Bioinformatics 2005, 21, 730–740. [Google Scholar] [CrossRef] [PubMed]
- Fox, R.A.; Flege, J.E.; Munro, M.J. The perception of English and Spanish vowels by native English and Spanish listeners: A multidimensional scaling analysis. J. Acoust. Soc. Am. 1995, 97, 2540–2551. [Google Scholar] [CrossRef] [PubMed]
- Wood, S.N. Thin plate regression splines. J. R. Stat. Soc. Ser. B 2003, 65, 95–114. [Google Scholar] [CrossRef]
- Oksanen, J.; Blanchet, G.F.; Kindt, R.; Legendre, P.; Minchin, P.; O’Hara, R.B. Vegan: Community Ecology Package. 2005. Available online: https://cran.r-project.org/web/packages/vegan/vegan.pdf (accessed on 12 June 2019).
- Cohen, J. Statistical Power Analysis for the Behavioral Sciences, 2nd ed.; Academic Press: Cambridge, MA, USA, 2003. [Google Scholar]
- Kelly, K. The MBESS R Package. 2016. Available online: https://cran.r-project.org/web/packages/MBESS/MBESS.pdf (accessed on 12 June 2019).
- Remmert, H. Analysis of group-tactical offensive behavior in elite basketball on the basis of a process orientated model. Eur. J. Sport Sci. 2003, 3, 1–12. [Google Scholar] [CrossRef]
- Trninić, S.; Dizdar, D.; Lukšić, E. Differences between winning and defeated top quality basketball teams in final tournaments of European club championship. Coll. Antropol. 2002, 26, 521–531. [Google Scholar]
- Courel-Ibáñez, J.; McRobert, A.P.; Ortega, E.; Cárdenas, D. Inside game effectiveness in NBA basketball: Analysis of collective interactions. Kinesiology 2018, 50, 218–227. [Google Scholar] [CrossRef]
- Klusemann, M.J.; Pyne, D.B.; Hopkins, W.G.; Drinkwater, E.J. Activity profiles and demands of seasonal and tournament basketball competition. Int. J. Sports Physiol. Perform. 2013, 8, 623–629. [Google Scholar] [CrossRef]
- Sampaio, J.; Lago, C.; Drinkwater, E.J. Explanations for the United States of America’s dominance in basketball at the Beijing Olympic Games (2008). J. Sports Sci. 2010, 28, 147–152. [Google Scholar] [CrossRef]



© 2020 by the authors. Licensee MDPI, Basel, Switzerland. This article is an open access article distributed under the terms and conditions of the Creative Commons Attribution (CC BY) license (http://creativecommons.org/licenses/by/4.0/).
Share and Cite
Gómez, M.-Á.; Medina, R.; Leicht, A.S.; Zhang, S.; Vaquera, A. The Performance Evolution of Match Play Styles in the Spanish Professional Basketball League. Appl. Sci. 2020, 10, 7056. https://doi.org/10.3390/app10207056
Gómez M-Á, Medina R, Leicht AS, Zhang S, Vaquera A. The Performance Evolution of Match Play Styles in the Spanish Professional Basketball League. Applied Sciences. 2020; 10(20):7056. https://doi.org/10.3390/app10207056
Chicago/Turabian StyleGómez, Miguel-Ángel, Ramón Medina, Anthony S. Leicht, Shaoliang Zhang, and Alejandro Vaquera. 2020. "The Performance Evolution of Match Play Styles in the Spanish Professional Basketball League" Applied Sciences 10, no. 20: 7056. https://doi.org/10.3390/app10207056
APA StyleGómez, M.-Á., Medina, R., Leicht, A. S., Zhang, S., & Vaquera, A. (2020). The Performance Evolution of Match Play Styles in the Spanish Professional Basketball League. Applied Sciences, 10(20), 7056. https://doi.org/10.3390/app10207056

