Next Article in Journal
Design and Validation of Rule-Based Expert System by Using Kinect V2 for Real-Time Athlete Support
Next Article in Special Issue
Forecasting the Project Duration Average and Standard Deviation from Deterministic Schedule Information
Previous Article in Journal
Exploring a Multimodal Mixture-Of-YOLOs Framework for Advanced Real-Time Object Detection
Previous Article in Special Issue
Influence of Approaching Excavation on Adjacent Segments for Twin Tunnels
 
 
Font Type:
Arial Georgia Verdana
Font Size:
Aa Aa Aa
Line Spacing:
Column Width:
Background:
Article

Model Uncertainty for Displacement Prediction for Laterally Loaded Piles on Granular Fill

by
Manuel Bueno Aguado
1,
Félix Escolano Sánchez
2,* and
Eugenio Sanz Pérez
3
1
PROES, Calle General Yagüe 39, 28020 Madrid, Spain
2
Civil Engineering Department, Construction, Infrastructures and Transportation, Universidad Politécnica de Madrid (UPM), Alfonso XII 3, 28014 Madrid, Spain
3
Engineering and Morphology of the Land Department, Universidad Politécnica de Madrid (UPM), Profesor Aranguren 3, 28040 Madrid, Spain
*
Author to whom correspondence should be addressed.
Appl. Sci. 2020, 10(2), 613; https://doi.org/10.3390/app10020613
Submission received: 5 November 2019 / Revised: 3 January 2020 / Accepted: 9 January 2020 / Published: 15 January 2020

Abstract

:

Featured Application

Movement prediction based on semi-empirical models needs constant updated since construction procedures and motorization are improving quickly. This paper succeeds in providing insight on the uncertainty and accuracy of well-known mathematical models used in recent projects.

Abstract

Engineers are often concerned with the capability of a particular mathematical model to simulate a real-scale phenomenon. Model uncertainty is a relevant issue in order to assess the safety factor of a particular structure. In this paper, large-scale laterally loaded pile outputs are compared to predictions using well-known formulations. In this way, an insight on model uncertainty is presented. Both p-y method proposed by the API, and the horizontal reaction modulus proposed in many codes are used to predict displacement. Both are correlated to the site investigation. In this way, engineers are provided with a critical view of the available prediction methods to assess laterally loaded pile behaviour.

1. Introduction

Engineers are familiar with formulations written down in codes and technical handbooks that are used to solve geotechnical issues, however, they do not often have the opportunity to contrast their predictions, therefore the risk of using that formulation is not properly assessed.
Safety factor design methods are based in evaluating the uncertainty of any input introduces on the calculation. One of these inputs is the verification equation. It is usually named model uncertainty.
This paper is a practical case where a particular geotechnical formulation is addressed in order to obtain an insight on its uncertainty and to know how to reduce it properly using the outputs of the site investigation. The formulation case is the laterally loaded piles in sand deposits. The piles were installed and tested recently in a new industrial facility in the Persian Gulf.
Land reclamations are frequent constructions at Persian Gulf, close to the shores of the Arabic Peninsula. For this study case, after building a 4-Ha land reclamation on shallow sea waters, the new platform was tested with an extensive soil investigation. On the platform, four (4) metallic tubular piles were driven and tested by static lateral loads.
In this paper, the load test records are compared to the predicted displacement from the site investigation using well-known formulation based mainly on SPT test [1,2]. The analytical methods used are the p-y curve method developed by the API (American Petroleum Institute) [3] and the horizontal ballast modules methods obtained from the deformation modulus, as proposed on several codes.
The uncertainty of the API and horizontal ballast method is obtained by comparing predicted and measured deflections.

2. Site Geology

Persian Gulf shoreline is on the edge of the deep sedimentary basin that forms the Arabian Peninsula, and is underlain by a considerable thickness of sedimentary rocks. Relatively young deposits of the Dibdibba formation (Upper Miocene to Pleistocene Epochs, approximately 2 to 10 million years old) outcrops at the surface. These deposits are underlain at depth by the Dammam formation (Upper Eocene Epoch, approximately 38 to 42 million years old).
The Dibdibba formation typically consists of siliceous sands and gravels, with varying amounts of silt and some thin clay and gypsum bands. Cementation is only partial and relatively poor, consisting of calcium carbonate and gypsum.
After dredging and removing other more recent marine deposits, Dibdibba formation was used to build the 4Ha land reclamation. At the same time, Dibdibba formation was also the foundation of this land reclamation.
The land reclamation fill was formed by sand or silty sand placed below the water. The deposit thickness was about 20 m, and it was generated by hydraulic method—plumping sand mixed with water, and then compacted with vibrocompaction [4,5].
Therefore, a very thick deposit of granular material, partially natural and partially man-made was generated. The tests described in this paper mainly affect the man-made fill and the upper part of the natural Dibdibba formation.

3. Geotechnical Conditions of the Tested Ground

The tested fill is described as a 20 m thick deposit formed by hydraulic methods below water. It is made of siliceous sands with fine percentage (pass through·#200 ASTM) lower than 20%. The material is described as a well graduated sand or silty sand where the medium-sized predominates. They are mostly rounded, with a silty fraction and sporadically some gravel.
The technical specifications of the material used for the filling are summarized in the following Table 1.
After the discharge, the material was compacted by deep vibrocompaction in a 2.5 × 2.5 m mesh. The operation is controlled until it is densified up to 90% of its maximum dry density.
On top of the hydraulic fill, an additional 3 m engineering fill was built. It was made of the same granular material but placed by compacted 25 cm thick layers. Compaction was carried out up to 95% maximum dry density.
On this platform metallic tubular piles were driven by percussion. The piles were 609.6 mm diameter and 23 m long. The piles were tested by lateral loads. The Figure 1 shows an example where the test arrangement can be appreciated. It is also shown the texture of the platform material where tests were performed.
Close to the tested piles, two boreholes with SPT each meter and one CPT were carried out. The SPT indexes are presented in the following Figure 2 and Figure 3. SPTs have been corrected exclusive with the energy factor and with the correction by groundwater level (Equation (1)).
I f   N S P T > 15                     N S P T = 15 + 0.5 × ( N S P T 15 )
Water level was connected to the sea level. It was at a depth of 7.0 m below working platform. Tide rise at that sea is below half a meter, so that water level inside the land reclamation can be considered constant.
The Figure 2 below shows the available SPT indexes with respect to the effective pressure at vertical axil. Soil layers are included, defining which are above and below water level. The chart also includes the framework proposed by Sousa [6], by which internal friction angle of a granular material depends on vertical effective stress and SPT index.
The CPT records are also presented within the framework of interpretation of the values of the angle of internal friction given by the abacus of Robertson & Campanela (1983) (Figure 3) [1].

4. Laterally Load Test Records

Four lateral load tests on 609 mm diameter, 12 mm thick, metallic tubular piles have been carried out. The piles were driven to a depth of 23 m. The load was applied at the top of the pile, up to 260 KN, on 10 steps. Each step was 32.5 KN and it was kept by 30 min before to apply the next step. A representative graph of these tests is shown in the following Figure 4.
This behavior has been studied by Brown, et al. (1988) and by Cox, et al. (1974) [7,8]. The recorded data for the four tests are shown in Figure 5. The horizontal displacements at the top are represented against the applied load.

5. Formulations for Isolated Piles Undergoing Horizontal Load

Two different formulations have been used to predict the horizontal movements of the piles subjected to lateral load. Both of them are based on spring models subjected to lateral horizontal tension (Figure 6).
The models used are:
  • P-y model from the API “Geotechnical and Foundation Design Consideration GEO2”.
  • Kh model deducted from soil deformation modulus.

5.1. P-Y Model

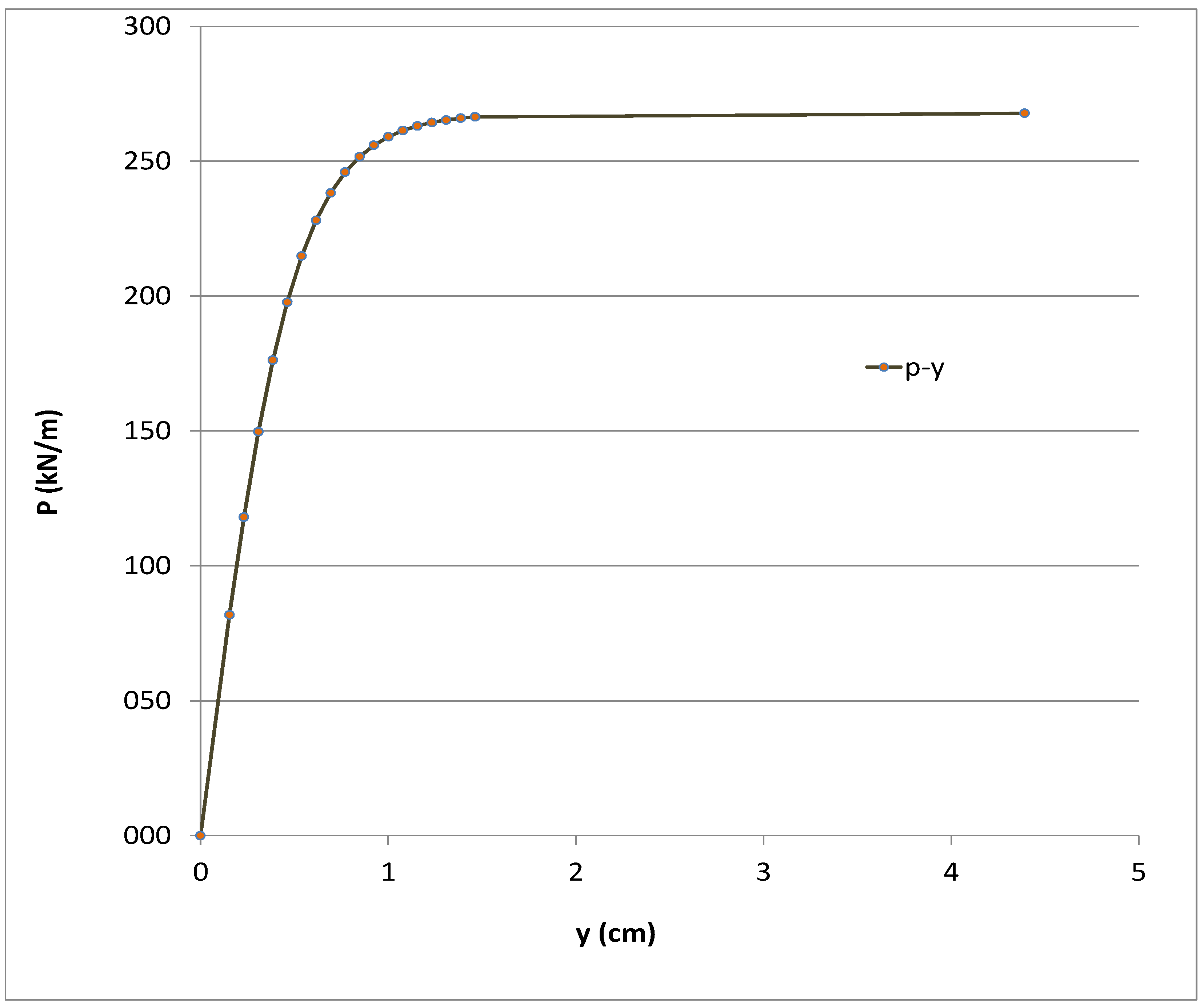
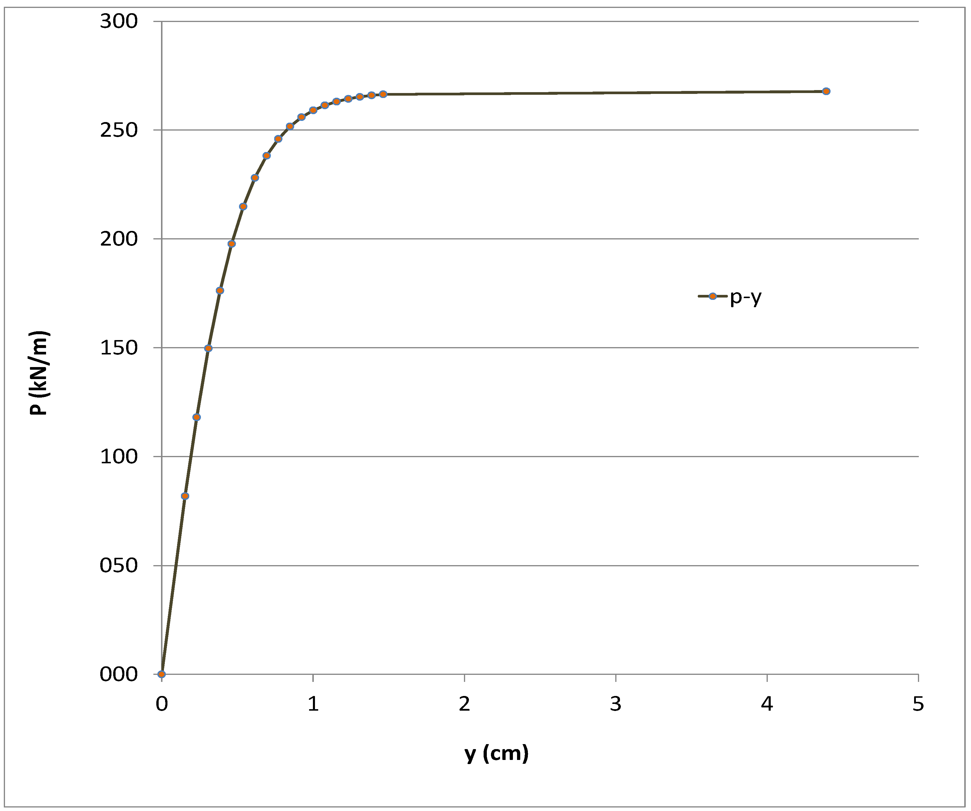
The first method is the one collected in the API “Geotechnical and Foundation Design Consideration GEO2”. In this formulation, the relation between pressure and displacement is given by the relation (Equation (2)):
p = A p u   t a n h ( k z A p u y )
where: p: force per lineal vertical meter of the pile at the spring position; y: extension and shortening of the spring; A: value coefficient; k: value of the initial ballast module; pu: ultimate force per vertical lineal meter at spring position.
A = ( 3.0 0.8 z D ) 0.9
z: depth of the spring; D: diameter of the pile.
k = 0.008   2.45 26.09   M N / m 3
A curve model is shown in the figure below (Figure 7).
The soil profile considered for the analysis is obtained from the soil investigation presented in the previous sections. The used profile is (Table 2):
The following figure compares the results of the pile load test with the analytical model. It is observed how pile tests TP-1 and TP-2 fall within the boundaries defined between the upper and lower limits of p-y model.
Tests 3 and 4 are somewhat below (Figure 8), although given the small size of the taken measurements (1 to 2 mm), it may be still considered an acceptable adjustment.
The entire deformation of the pile with depth is shown in the Figure 9 below. Blue line shows the deformation obtained with the spring model. The chart also shows the equivalent cantilever beam which has the same deformation at the pile top, but it is fixed at a certain depth.
In the Figure 9, we can observe that all the deformation of the pile happens at the first 3.0 m. The fixed point of the equivalent cantilever beam is located precisely at a depth of 3.0 m, which for 0.6 m diameter pile is equivalent to about 5 diameters.

5.2. Horizontal Reaction Modulus Model

The reaction modulus may be related with the soil deformation modulus by the expression (Equation (4)):
K h = A E D
where: E: soil deformation modulus for the level of deformation considered; D: diameter of the pile; A: constant with value between from 0.8 to 1.5.
Soil deformation modulus can be obtained from the soil profile based on SPT test. The correlation used in this case is the following Equation (5):
E = 1.5   N S P T + 10
Therefore, the soil profile used is (Table 3):
The Figure 10, compares the results between the four tests of the piles and the analytical model. It is observed, again, how the piles test on TP-1 and TP-2 fall within the limits defined by upper and lower boundaries.
The tests TP-3 and TP-4 are somewhat lower, although, as previously mentioned, it may be considered an acceptable fitting.

6. Discussion

Prediction for horizontal displacement at the top of an isolated pile—and hence bending moments and shear forces—has been addressed by two different methods. The first one, known as the p-y method, is based on internal friction angle of the granular soil. Friction angle is obtained for well-known correlation with SPT and CPT.
Internal friction angle values correspond to the peak strength of the dense sands. They are in the range of 35° to 48°, therefore it is the angle related to small deformations. The calculated deformations are also small, so this hypothesis is consistent.
The second method is based on the relation between horizontal reaction modulus and deformation modulus that are in turn related to SPT test.
Predictions from both methods are compared with the records of the four horizontal load tests. The fitting is outstanding.
It has to be considered however that the applied loads are far from the laterally ultimate bearing capacity; therefore, soil is working all the time on an almost elastic regimen. This point has to be bore in mind when applied the proposed correlations, because for larger loads close to failure, others, more conservative soil parameters, may be needed.

7. Conclusions

Behind the reliability analysis to determine the safety factors on structural design, there are some uncertainties which have to be evaluated. One of them is the model uncertainty. This study compares predictions using well-known laterally-loaded-pile formulations with outputs of large-scale tests. In this way, an insight on that kind of uncertainty is presented.
It is observed that fixing an upper and lower boundary defined by credible soil parameters can improve the prediction. However, even with this approach, it should be expected that some outputs are out of that range.
Formulations developed for design purposes tents to overestimate movements, which do not always occur. The proposed formulations are still useful tool as long as the design conditions are based on the maximum displacement.
This type of studies should be available for other geotechnical issues, together with the code formulations, in other to properly appreciate their scope and the associated uncertainty involved in the use of the models.

Author Contributions

Contributions of the authors: conceptualization and methodology and investigation, M.B.A.; review and supervision, E.S.P.; editing, supervision and formal analysis, F.E.S. All authors have read and agreed to the published version of the manuscript.

Funding

This research received no external funding.

Acknowledgments

The authors of the article appreciate the support given in time and resources by EUROCONSULT GROUP company and the Geology and Geotechnical Department of UPM—ETS Civil Engineering.

Conflicts of Interest

The authors declare no conflict of interest.

References

  1. Robertson, P.K.; Campanella, R.G. Interpretation of cone penetration tests. Part I: Sand. Can. Geotech. J. 1983, 20, 718–733. [Google Scholar] [CrossRef]
  2. Robertson, P.K.; Campanella, R.G.; Wightman, A. Spt-Cpt Correlations. J. Geotech. Eng. 1983, 109, 1449–1459. [Google Scholar] [CrossRef]
  3. American Petroleum Institute. Geotechnical and Foundation Design Considerations; 2GEO; American Petroleum Institute: Washington, DC, USA, 2011. [Google Scholar]
  4. Fellin, W. Deep Vibration Compaction as Plastodynamic Problem (in German). Ph.D. Thesis, University of Innsbruck, Innsbruck, Austria, 2000. [Google Scholar]
  5. Kirsch, F.; Kirsch, K. Ground Improvement by Deep Vibratory Methods; CRC Press: Boca Raton, FL, USA, 2016. [Google Scholar]
  6. Sousa Coutinho, A.G. Prediction of the horizontal load-displacement curves of pile groups based on the results of single pile tests. Can. Geotech. J. 2000, 37, 951–962. [Google Scholar] [CrossRef]
  7. Brown, D.; Morrison, C.; Reese, L. Lateral load behavior of pile group in sand. J. Geotech. Eng. 1988, 114, 1261–1276. [Google Scholar] [CrossRef]
  8. Cox, W.R.; Reese, L.C.; Grubbs, B.R. Field testing of laterally loaded piles in sand. In Proceedings of the Offshore Technology Conference, Houston, TX, USA, 6–8 May 1974. [Google Scholar]
Figure 1. Platform where pile tests were constructed.
Figure 1. Platform where pile tests were constructed.
Applsci 10 00613 g001
Figure 2. Results of the SPT tests.
Figure 2. Results of the SPT tests.
Applsci 10 00613 g002
Figure 3. Results of the CPT tests.
Figure 3. Results of the CPT tests.
Applsci 10 00613 g003
Figure 4. Representative graph of the lateral load test of the piles.
Figure 4. Representative graph of the lateral load test of the piles.
Applsci 10 00613 g004
Figure 5. Results of the laterally load tests.
Figure 5. Results of the laterally load tests.
Applsci 10 00613 g005
Figure 6. Analytical model.
Figure 6. Analytical model.
Applsci 10 00613 g006
Figure 7. Curve p-y model.
Figure 7. Curve p-y model.
Applsci 10 00613 g007
Figure 8. Comparation of the load test with the p-y model.
Figure 8. Comparation of the load test with the p-y model.
Applsci 10 00613 g008
Figure 9. Graphic of the pile deformation.
Figure 9. Graphic of the pile deformation.
Applsci 10 00613 g009
Figure 10. Comparison between the pile load tests with the horizontal reaction modulus.
Figure 10. Comparison between the pile load tests with the horizontal reaction modulus.
Applsci 10 00613 g010
Table 1. Table of technical specifications of the filling hydraulic.
Table 1. Table of technical specifications of the filling hydraulic.
PropertyType 1
Maximum particle size125 mm
Maximum % greater 125 mm0
Minimum % passing 2 mm sieve35
Maximum % passing 75 micron20
Maximum % clay (<2 micron)2
Liquid Limit (%)<35
Plasticity Index (%)<10
Table 2. Profile of the terrain to calculate the p-y curve.
Table 2. Profile of the terrain to calculate the p-y curve.
DepthMaterial TypeApparent Density (KN/m3)Internal Friction Angle (°)
Lower BoundaryUpper Boundary
From 0.0 to 3.0 mMaterial compacted by layers20.040.048.0
From 3.0 to 7.0 mMaterial compacted by vibroflotation above the water level20.039.045.0
From 7.0 to 16.0 mMaterial compacted by vibroflotation below the water level20.037.039.0
From 16.0 to 20.0 mDeep material compacted by vibroflotation above the water level20.042.042.0
Below 20.0 mDense sand. Natural terrain.21.045.045.0
Table 3. Soil Profile used to determinate the horizontal reaction modulus.
Table 3. Soil Profile used to determinate the horizontal reaction modulus.
DepthMaterial TypeApparent Density (KN/m3)SPTE MPaHorizontal Reaction Modulus MN/m3
A = 0.8A = 1.5
From 0.0 to 3.0 mMaterial compacted by layers20.01532.54380
From 3.0 to 7.0 mMaterial compacted by vibroflotation above the water level20.020405298
From 7.0 to 16 mMaterial compacted by vibroflotation lower the water level20.0305572135
From 16 to 20 mDeep material compacted by vibroflotation above the water level20.04577.5100190
Below 20 mDense sand. Natural terrain.21.05085110209

Share and Cite

MDPI and ACS Style

Bueno Aguado, M.; Escolano Sánchez, F.; Sanz Pérez, E. Model Uncertainty for Displacement Prediction for Laterally Loaded Piles on Granular Fill. Appl. Sci. 2020, 10, 613. https://doi.org/10.3390/app10020613

AMA Style

Bueno Aguado M, Escolano Sánchez F, Sanz Pérez E. Model Uncertainty for Displacement Prediction for Laterally Loaded Piles on Granular Fill. Applied Sciences. 2020; 10(2):613. https://doi.org/10.3390/app10020613

Chicago/Turabian Style

Bueno Aguado, Manuel, Félix Escolano Sánchez, and Eugenio Sanz Pérez. 2020. "Model Uncertainty for Displacement Prediction for Laterally Loaded Piles on Granular Fill" Applied Sciences 10, no. 2: 613. https://doi.org/10.3390/app10020613

APA Style

Bueno Aguado, M., Escolano Sánchez, F., & Sanz Pérez, E. (2020). Model Uncertainty for Displacement Prediction for Laterally Loaded Piles on Granular Fill. Applied Sciences, 10(2), 613. https://doi.org/10.3390/app10020613

Note that from the first issue of 2016, this journal uses article numbers instead of page numbers. See further details here.

Article Metrics

Back to TopTop