Study on Milling Temperature of Titanium Alloy with Micro-Textured Ball End Milling Cutter under Radius of Blunt Edge
Abstract
:1. Introduction
2. Establishment of Milling Temperature Model
2.1. Analysis of Milling Heat Source of Ball-End Milling Cutter
2.2. Average Temperature: The Shear Surface
2.3. Average Temperature: The Contact Area of the Rake Cutter Surface
2.4. Average Temperature: The Contact Area of the Rear Cutter Surface
2.5. Milling Temperature Model
3. Simulation Experiment of Titanium Alloy Milling Process by Ball-End Milling Cutter with Micro-Texture
3.1. Establishment of Material Model and Friction Model
3.2. Simulation Boundary Conditions and Mesh Generation
3.3. Simulation Scheme Design
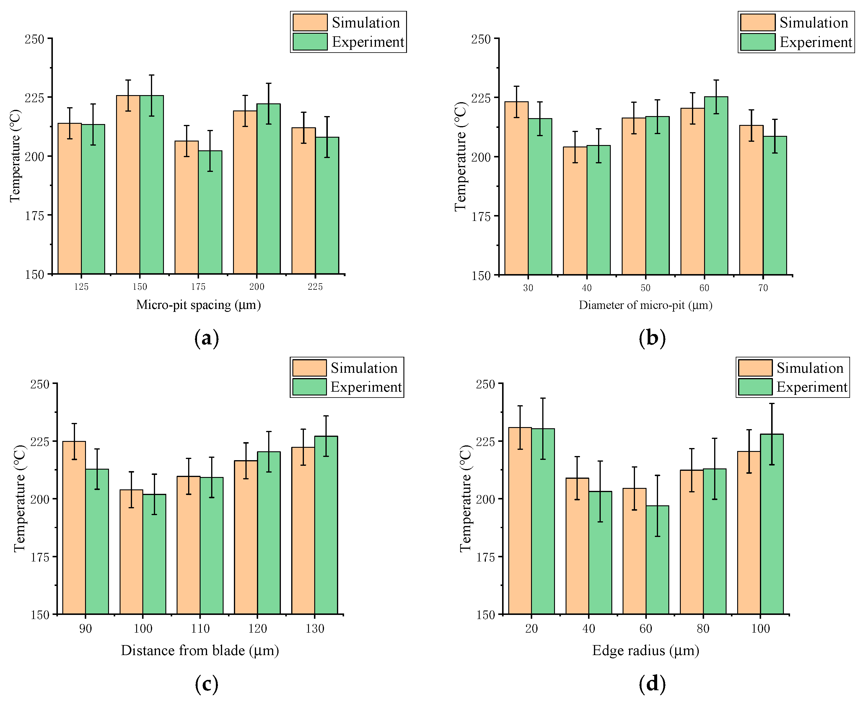
3.4. Analysis of Milling Temperature Simulation Results
4. Experimental Verification
4.1. Preparation and Experimental Device of Micro-Round Pit Textured Ball-End Milling Cutter
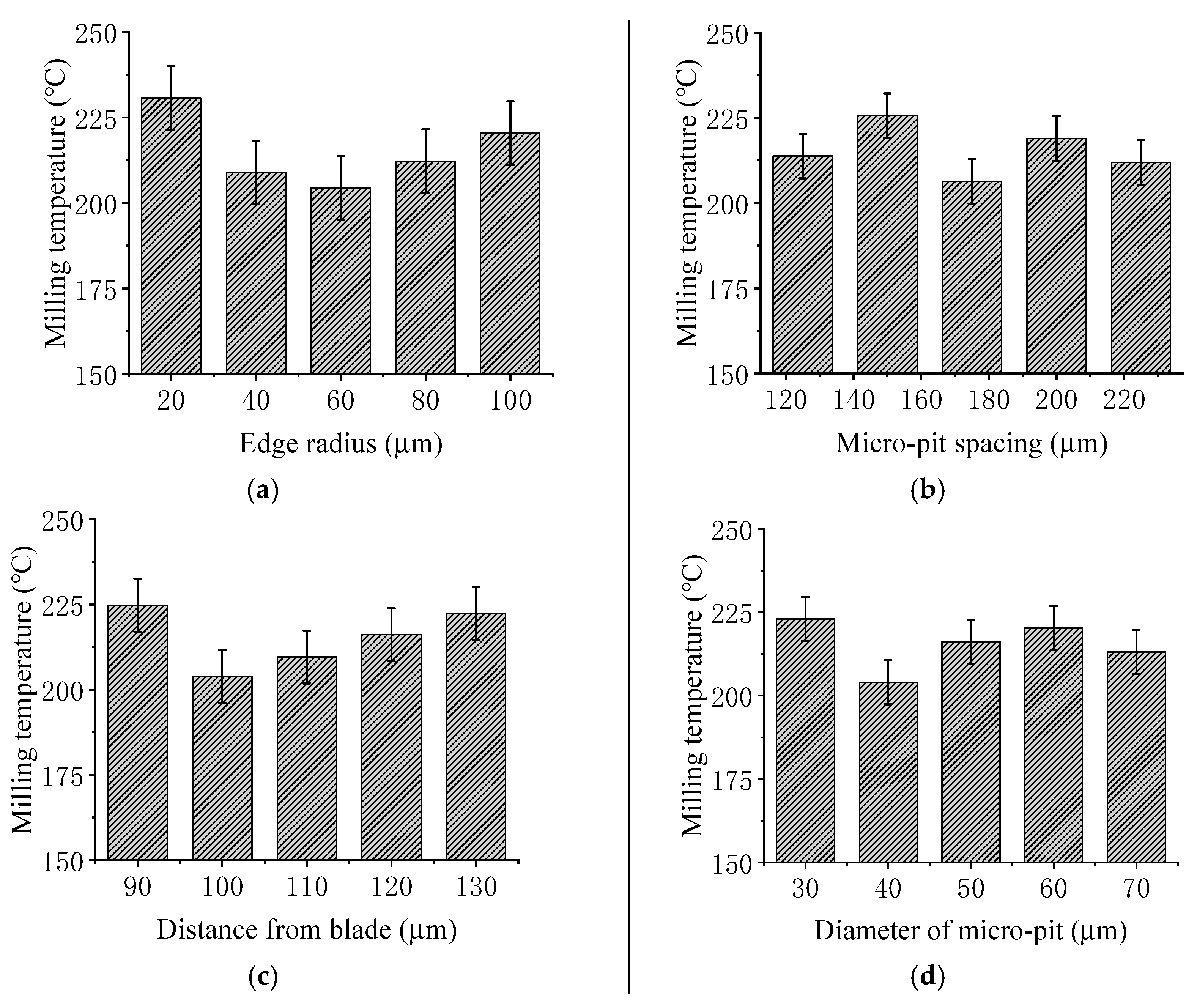
4.2. Analysis of Influence Law of Milling Temperature
5. Conclusions
Author Contributions
Funding
Conflicts of Interest
References
- Tian, X.; Nie, H. Study on Blunt Radius of Milling Cutter Edge to Milling Ti6Al14V Temperature. Enterp. Technol. Dev. 2016, 12, 92–93. [Google Scholar]
- Nasr, M.N.A.; Ng, E.G.; Elbestawi, M.A. Modelling the effects of tool-edge radius on residual stresses when orthogonal cutting AISI 316L. Int. J. Mach. Tools Manuf. 2007, 47, 401–411. [Google Scholar] [CrossRef]
- Zheng, W.; Huang, B.; Zhao, X.; Zhou, Y. Finite Element Analysis on Influence of Rounded Cutting Edge Radius of Milling Cutter to Cutting Property. Coal Mine Mach. 2014, 10, 125–127. [Google Scholar]
- Yang, W.; Jia, P.; Zhang, Z.; Chen, S.; Huang, J. Research on Simulation and Experiments of the Blunt Radius of Carbide Tool. J. New Ind. 2015, 8, 44–50. [Google Scholar]
- Tao, L.; Pan, K.; Ji, B. Effects of Edge Radius on Tool’s Hard Machining Characteristics. Mach. Electron. 2019, 11, 7–9. [Google Scholar]
- Liang, W. Experimental Study on Cutting Titanium Alloy with Surface Textured Tool. Master’s Thesis, Nanjing University of Aeronautics and Astronautics, Nanjing, China, 2012. [Google Scholar]
- Zhang, Y.; Zhang, M. Simulation Study on Cutting Performance of Surface Textured Tool Based on AdvantEdge. Light Ind. Mach. 2019, 37, 78–82. [Google Scholar]
- Xiao, C. The Optimal Design of Microtextured Turning Tools and Study on Their Cutting Performance. Master’s Thesis, Southeast University, Nanjing, China, 2018. [Google Scholar]
- Chen, H.; Lian, Y.; Mu, C. Designing and Cutting Performance Research of Surface Micro-textured Tools Based on Finite Element. Tool Eng. 2018, 4, 13–20. [Google Scholar]
- Yu, Z.; Cai, Q.; Wang, X.; Xu, J.; Yu, H. Preparation of Micro-textured Turning Tools and High Speed Micro Turning Test of SUS304 Steel. China Surf. Eng. 2016, 29, 1–7. [Google Scholar]
- Zhang, N.; Yang, F.; Liu, X.; Liu, G.; Sun, S. 3D Simulation Analysis of Friction Process between Textured Cemented Carbide and Titanium Alloy. Tool Eng. 2019, 79–83. [Google Scholar]
- Bi, Y.; Fang, Q.; Dong, H.; Ke, Y. Research on 3D Numerical Simulation and Experiment of Cutting Temperature for High Speed Milling of Aerospace Aluminum Alloy. J. Mech. Eng. 2010, 7, 160–165. [Google Scholar] [CrossRef]
- Vanda, M.L.; Reginaldo, T. Coelho an inverse method to estimate the moving heat source in machining process. Appl. Therm. Eng. 2012, 45, 64–78. [Google Scholar]
- Wang, S.; Man, Z.; Fang, Y. Study on Cutting Heat of Flank of Metal Cutting Tool. Manuf. Technol. Mach. Tool 2011, 1, 92–96. [Google Scholar]
- Wei, X.; Hou, Z. Experimental Study on Cutting Force in Turning Process. J. Hebei Univ. Eng. 2017, 3, 97–100. [Google Scholar]










| A [GPa] | B [GPa] | n | m | C | E [GPa] | μ | ε0 |
|---|---|---|---|---|---|---|---|
| 0.862 | 0.331 | 0.34 | 0.8 | 0.03 | 110 | 0.33 | 1 |
| Factor Test Number | Blunt Radius | Micro-Texture Parameters (μm) | ||
|---|---|---|---|---|
| (μm) | Diameter | Spacing | Distance from Blade | |
| 1 | 20 | 30 | 125 | 90 |
| 2 | 40 | 40 | 150 | 100 |
| 3 | 60 | 50 | 175 | 110 |
| 4 | 80 | 60 | 200 | 120 |
| 5 | 100 | 70 | 225 | 130 |
| Factor | Blunt Circle Parameter | Micro-Texture Parameters/μm | Milling Temperature/°C | |||
|---|---|---|---|---|---|---|
| Test Number | Radius/μm | Diameter | Spacing | Distance from Blade | ||
| 1 | 20 | 30 | 125 | 90 | 253.42 | |
| 2 | 20 | 40 | 150 | 100 | 218.14 | |
| 3 | 20 | 50 | 175 | 110 | 200.73 | |
| 4 | 20 | 60 | 200 | 120 | 244.52 | |
| 5 | 20 | 70 | 225 | 130 | 237.51 | |
| 6 | 40 | 30 | 150 | 110 | 224.34 | |
| 7 | 40 | 40 | 175 | 120 | 188.23 | |
| 8 | 40 | 50 | 200 | 130 | 234.17 | |
| 9 | 40 | 60 | 225 | 90 | 210.92 | |
| 10 | 40 | 70 | 125 | 100 | 186.94 | |
| 11 | 60 | 30 | 175 | 130 | 210.65 | |
| 12 | 60 | 40 | 200 | 90 | 198.63 | |
| 13 | 60 | 50 | 225 | 100 | 186.72 | |
| 14 | 60 | 60 | 125 | 110 | 207.76 | |
| 15 | 60 | 70 | 150 | 120 | 218.47 | |
| 16 | 80 | 30 | 200 | 100 | 208.91 | |
| 17 | 80 | 40 | 225 | 110 | 206.38 | |
| 18 | 80 | 50 | 125 | 120 | 212.62 | |
| 19 | 80 | 60 | 150 | 130 | 220.18 | |
| 20 | 80 | 70 | 175 | 90 | 213.72 | |
| 21 | 100 | 30 | 225 | 120 | 218.35 | |
| 22 | 100 | 40 | 125 | 130 | 208.93 | |
| 23 | 100 | 50 | 150 | 90 | 247.34 | |
| 24 | 100 | 60 | 175 | 100 | 218.64 | |
| 25 | 100 | 70 | 200 | 110 | 209.25 | |
| k1 | 230.86 | 223.13 | 213.93 | 224.81 | ||
| k2 | 208.92 | 204.06 | 225.69 | 203.87 | ||
| k3 | 204.45 | 216.32 | 206.39 | 209.69 | ||
| k4 | 212.36 | 220.40 | 219.10 | 216.44 | ||
| k5 | 220.50 | 213.18 | 211.98 | 222.29 | ||
| R | 26.41 | 19.07 | 19.30 | 20.94 | ||
| Source | Degree of Freedom | Sum of Squares | Mean Square | F |
|---|---|---|---|---|
| Edge radius | 4 | 2182 | 545.5 | 2.71 |
| Diameter of micro-pit | 4 | 1096 | 274.0 | 1.36 |
| Micro-pit spacing | 4 | 1073 | 268.3 | 1.33 |
| Distance from blade | 4 | 1513 | 378.1 | 1.88 |
| Factor Test Number | Blunt Circle Parameter | Micro-Texture Parameters/μm | Milling Temperature/°C | ||
|---|---|---|---|---|---|
| Radius/μm | Diameter | Spacing | Distance from Blade | ||
| 1 | 20 | 30 | 125 | 90 | 232.62 |
| 2 | 20 | 40 | 150 | 100 | 217.35 |
| 3 | 20 | 50 | 175 | 110 | 202.16 |
| 4 | 20 | 60 | 200 | 120 | 259.26 |
| 5 | 20 | 70 | 225 | 130 | 240.45 |
| 6 | 40 | 30 | 150 | 110 | 213.48 |
| 7 | 40 | 40 | 175 | 120 | 199.58 |
| 8 | 40 | 50 | 200 | 130 | 235.65 |
| 9 | 40 | 60 | 225 | 90 | 199.75 |
| 10 | 40 | 70 | 125 | 100 | 167.26 |
| 11 | 60 | 30 | 175 | 130 | 189.46 |
| 12 | 60 | 40 | 200 | 90 | 175.18 |
| 13 | 60 | 50 | 225 | 100 | 186.19 |
| 14 | 60 | 60 | 125 | 110 | 220.36 |
| 15 | 60 | 70 | 150 | 120 | 213.48 |
| 16 | 80 | 30 | 200 | 100 | 224.25 |
| 17 | 80 | 40 | 225 | 110 | 193.61 |
| 18 | 80 | 50 | 125 | 120 | 209.15 |
| 19 | 80 | 60 | 150 | 130 | 232.52 |
| 20 | 80 | 70 | 175 | 90 | 205.34 |
| 21 | 100 | 30 | 225 | 120 | 220.26 |
| 22 | 100 | 40 | 125 | 130 | 237.43 |
| 23 | 100 | 50 | 150 | 90 | 251.36 |
| 24 | 100 | 60 | 175 | 100 | 214.42 |
| 25 | 100 | 70 | 200 | 110 | 216.54 |
| k1 | 230.37 | 216.01 | 213.36 | 212.85 | |
| k2 | 203.14 | 204.63 | 225.64 | 201.89 | |
| k3 | 196.93 | 216.90 | 202.19 | 209.23 | |
| k4 | 212.97 | 225.26 | 222.18 | 220.35 | |
| k5 | 228.00 | 208.61 | 208.05 | 227.10 | |
| R | 33.44 | 20.63 | 23.45 | 25.21 | |
| Source | Degree of Freedom | Sum of Squares | Mean Square | F |
|---|---|---|---|---|
| Edge radius | 4 | 4369 | 1092.1 | 3.19 |
| Diameter of micro-pit | 4 | 1279 | 319.6 | 0.93 |
| Micro-pit spacing | 4 | 1885 | 471.4 | 1.38 |
| Distance from blade | 4 | 1911 | 477.7 | 1.39 |
© 2020 by the authors. Licensee MDPI, Basel, Switzerland. This article is an open access article distributed under the terms and conditions of the Creative Commons Attribution (CC BY) license (http://creativecommons.org/licenses/by/4.0/).
Share and Cite
Yang, S.; Su, S.; Liu, X.; Han, P. Study on Milling Temperature of Titanium Alloy with Micro-Textured Ball End Milling Cutter under Radius of Blunt Edge. Appl. Sci. 2020, 10, 587. https://doi.org/10.3390/app10020587
Yang S, Su S, Liu X, Han P. Study on Milling Temperature of Titanium Alloy with Micro-Textured Ball End Milling Cutter under Radius of Blunt Edge. Applied Sciences. 2020; 10(2):587. https://doi.org/10.3390/app10020587
Chicago/Turabian StyleYang, Shucai, Shuai Su, Xianli Liu, and Pei Han. 2020. "Study on Milling Temperature of Titanium Alloy with Micro-Textured Ball End Milling Cutter under Radius of Blunt Edge" Applied Sciences 10, no. 2: 587. https://doi.org/10.3390/app10020587
APA StyleYang, S., Su, S., Liu, X., & Han, P. (2020). Study on Milling Temperature of Titanium Alloy with Micro-Textured Ball End Milling Cutter under Radius of Blunt Edge. Applied Sciences, 10(2), 587. https://doi.org/10.3390/app10020587

