The Control of Volume Expansion and Porosity in Carbon Block by Carbon Black (CB) Addition for Increasing Thermal Conductivity
Abstract
1. Introduction
2. Materials and Methods
2.1. Materials
2.2. Preparation of Carbon Blocks
2.3. Characterization
3. Results and Discussion
3.1. Decreased Swelling of Carbon Block According to CB Addition During Carbonization
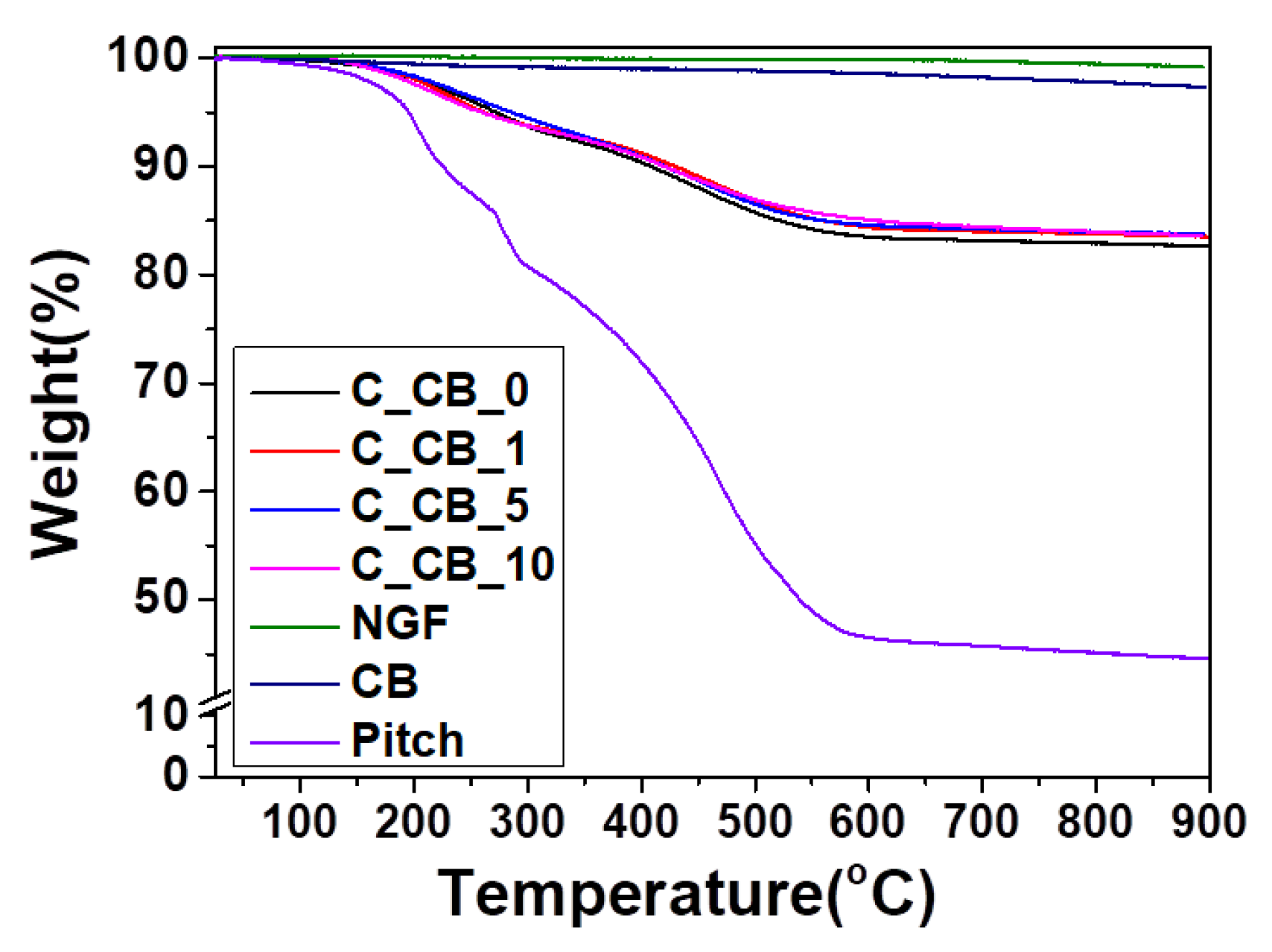
3.2. The Thermal Properties of Carbon Block According to CB Addition
3.3. The Density of Carbon Blocks According to CB Addition
3.4. Volume Expansion and Porosity Control of Carbon Block by CB Addition
3.5. Improvement of Thermal Conductivity in Carbon Blocks According to CB Addition
4. Conclusions
Author Contributions
Funding
Acknowledgments
Conflicts of Interest
References
- Opolot, M.; Zhao, C.; Liu, M.; Mancin, S.; Bruno, F.; Hooman, K. Influence of cascaded graphite foams on thermal performance of high temperature phase change material storage systems. Appl. Therm. Eng. 2020, 180, 115618. [Google Scholar] [CrossRef]
- Luo, D.; Xiang, L.; Sun, X.; Xie, L.; Zhou, D.; Qin, S. Phase-change smart lines based on paraffin-expanded graphite/polypropylene hollow fiber membrane composite phase change materials for heat storage. Energy 2020, 197, 117252. [Google Scholar] [CrossRef]
- Luo, X.; Guo, Q.; Li, X.; Tao, Z.; Lei, S.; Liu, J.; Kang, L.; Zheng, D.; Liu, Z. Experimental investigation on a novel phase change material composites coupled with graphite film used for thermal management of lithium-ion batteries. Renew. Energy 2020, 145, 2046–2055. [Google Scholar] [CrossRef]
- Nag, A.; Afasrimanesh, N.; Feng, S.; Mukhopadhyay, S.C. Strain induced graphite/PDMS sensors for biomedical applications. Sens. Actuators A Phys. 2018, 271, 257–269. [Google Scholar] [CrossRef]
- Jebasingh, E.B. Effects of various types of graphite on the thermal conductivity and energy storage properties of ternary eutectic fatty acid-based composite as phase change material. Renew. Wind Water Sol. 2016, 3, 8. [Google Scholar] [CrossRef]
- Vasanthi, V.; Logu, T.; Ramakrishnan, V.; Anitha, K.; Sethuraman, K. Study of electrical conductivity and photoelectric response of liquid phase exfoliated graphene thin film prepared via spray pyrolysis route. Carbon Lett. 2020, 30, 417–423. [Google Scholar] [CrossRef]
- Feng, W.; Qin, M.; Feng, Y. Toward highly thermally conductive all-carbon composites: Structure control. Carbon 2016, 109, 575–597. [Google Scholar] [CrossRef]
- Cho, J.H.; Im, J.S.; Kim, M.I.; Lee, Y.S.; Bai, B.C. Preparation of petroleum-based binder pitch for manufacturing thermally conductive carbon molded body and comparison with commercial coal-based binder pitch. Carbon Lett. 2020, 30, 373–379. [Google Scholar] [CrossRef]
- Fayazmanesh, K.; Salari, S.; Bahrami, M. Effective thermal conductivity modeling of consolidated sorption composites containing graphite flakes. Int. J. Heat Mass Transf. 2017, 115, 73–79. [Google Scholar] [CrossRef]
- Zha, M.; Xia, W.; Niu, Q. Gasification reactivity and combustion characteristics of semi-coke. Carbon Lett. 2019, 29, 579–584. [Google Scholar] [CrossRef]
- Kim, S.H.; Heo, Y.J.; Park, M.; Min, B.G.; Rhee, K.Y.; Park, S.J. Effect of hydrophilic graphite flake on thermal conductivity and fracture toughness of basalt fibers/epoxy composites. Compos. B Eng. 2018, 153, 9–16. [Google Scholar] [CrossRef]
- Zhong, B.; Zhao, G.L.; Huang, X.X.; Liu, J.; Chai, Z.F.; Tang, X.H.; Wen, G.W.; Wu, Y. Binding natural graphite with mesophase pitch: A promising route to future carbon blocks. Mater. Sci. Eng. A Struct. Mater. 2014, 610, 250–257. [Google Scholar] [CrossRef]
- Wang, T.; Li, Y.; Sang, S.; Xu, Y.; Wang, H. Effect of pitch powder addition on the microstructure and properties of carbon blocks for blast furnace. Ceram. Int. 2019, 45, 634–643. [Google Scholar] [CrossRef]
- Yuan, G.; Li, X.; Dong, Z.; Westwood, A.; Cui, Z.; Cong, Y.; Du, H.; Kang, F. Graphite blocks with preferred orientation and high thermal conductivity. Carbon 2012, 50, 175–182. [Google Scholar] [CrossRef]
- Blanco, C.; Prada, V.; Santamaría, R.; Bermejo, J.; Menéndez, R. Pyrolysis behaviour of mesophase and isotropic phases isolated from the same pitch. J. Anal. Appl. Pyrolysis 2002, 63, 251–265. [Google Scholar] [CrossRef]
- Nomura, S. The effect of binder (coal tar and pitch) on coking pressure. Fuel 2018, 220, 810–816. [Google Scholar] [CrossRef]
- Nomura, S.; Arima, T. Influence of binder (coal tar and pitch) addition on coal caking property and coke strength. Fuel Process. Technol. 2017, 159, 369–375. [Google Scholar] [CrossRef]
- Ghosh, S.; Ganguly, S.; Maruthi, A.; Jana, S.; Remanan, S.; Das, P.; Das, T.K.; Ghosh, S.K.; Das, N.C. Micro-computed tomography enhanced cross-linked carboxylated acrylonitrile butadiene rubber with the decoration of new generation conductive carbon black for high strain tolerant electromagnetic wave absorber. Mater. Today Commun. 2020, 24, 100989. [Google Scholar] [CrossRef]
- Don, M.F.; Ekanayake, P.; Nakajima, H.; Mahadi, A.H.; Lim, C.M. Improvement of dye-sensitized solar cell performance through introducing TiO2 in acetylene carbon black-graphite composite electrode. Thin Solid Films 2020, 706, 138042. [Google Scholar] [CrossRef]
- Li, W.; Dong, W.; Shen, L.; Castel, A.; Shah, S.P. Conductivity and piezoresistivity of nano-carbon black (NCB) enhanced functional cement-based sensors using polypropylene fibres. Mater. Lett. 2020, 270, 127736. [Google Scholar] [CrossRef]
- Song, P.; Song, J.; Zhang, Y. Stretchable conductor based on carbon nanotube/carbon black silicone rubber nanocomposites with highly mechanical, electrical properties and strain sensitivity. Compos. B Eng. 2020, 191, 107979. [Google Scholar] [CrossRef]
- Salminen, K.; Grönroos, P.; Eskola, J.; Nieminen, E.; Härmä, H.; Kulmala, S. Immunoassay of C-reactive protein by hot electron-induced electrochemiluminescence at polystyrene-carbon black composite electrodes. Electrochim. Acta 2018, 282, 147–154. [Google Scholar] [CrossRef]
- Reddy, S.T.; Manohar, H.S.; Anand, S.N. Effect of carbon black nano-fillers on tribological properties of Al6061-Aluminium metal matrix composites. Mater. Today Proc. 2020, 20, 202–207. [Google Scholar] [CrossRef]
- Khare, M.; Gupta, R.K.; Ghosh, S.S.; Chhabra, D. Effect of carbon black on mechanical properties of Al7075/Al2O3/B4C reinforced aluminum composite. Mater. Today Proc. 2020, 28, 2498–2500. [Google Scholar] [CrossRef]
- Soraru, G.D.; Campostrini, R.; Ejigu, A.A.; Zera, E.; Jana, P. Processing and characterization of polymer derived SiOC foam with hierarchical porosity by HF etching. J. Ceram. Soc. Jpn. 2016, 124, 1023–1029. [Google Scholar] [CrossRef][Green Version]
- Hong, S.N.; Yu, C.J.; Hwang, U.S.; Kim, C.H.; Ri, B.H. Effect of porosity and temperature on thermal conductivity of Jennite: A molecular dynamics study. Mater. Chem. Phys. 2020, 250, 123146. [Google Scholar] [CrossRef]
- Yan, N.; Fu, Q.; Zhang, Y.; Li, K.; Xie, W.; Zhang, J.; Zhuang, L.; Shi, X. Preparation of pore-controllable zirconium carbide ceramics with tunable mechanical strength, thermal conductivity and sound absorption coefficient. Ceram. Int. 2020, 46, 19609–19616. [Google Scholar] [CrossRef]
- Li, K.Q.; Li, D.Q.; Liu, Y. Meso-scale investigations on the effective thermal conductivity of multi-phase materials using the finite element method. Int. J. Heat Mass Transf. 2020, 151, 119383. [Google Scholar] [CrossRef]
- Malik, R.; Kim, Y.W.; Song, I.H. High interfacial thermal resistance induced low thermal conductivity in porous SiC-SiO2 composites with hierarchical porosity. J. Eur. Ceram. Soc. 2020, 40, 594–602. [Google Scholar] [CrossRef]
- Yuan, J.J.; Hong, R.Y.; Wang, Y.Q.; Feng, W.G. Low-temperature plasma preparation and application of carbon black nanoparticles. Chem. Eng. J. 2014, 253, 107–120. [Google Scholar] [CrossRef]
- Cong, P.; Xu, P.; Chen, S. Effects of carbon black on the anti aging, rheological and conductive properties of SBS/asphalt/carbon black composites. Constr. Build. Mater. 2014, 52, 306–313. [Google Scholar] [CrossRef]
- Ehrburger, P.; Sanseigne, E.; Tahon, B. Formation of porosity and change in binder pitch properties during thermal treatment of green carbon materials. Carbon 1996, 34, 1493–1499. [Google Scholar] [CrossRef]
- Terauama, Y.; Haji, T.; Furukawa, S.; Nomura, M.; Nishihara, M.; Lyth, S.M.; Sone, Y.; Matsumoto, H. Carbon black/PTFE composite hydrophobic gas diffusion layers for a water-absorbing porous electrolyte electrolysis cell. Int. J. Hydrog. Energy 2018, 43, 2018–2025. [Google Scholar] [CrossRef]
- Qi, Z.; Dong, H.; Yu, H.; Zhao, M.; Yu, H. In-situ electrochemical NOx removal process for the lean-burn engine exhaust based on carbon black gas diffusion electrode. J. Clean. Prod. 2017, 151, 465–474. [Google Scholar] [CrossRef]
- Chen, Z.; Dong, H.; Yu, H.; Yu, H. In-situ electrochemical flue gas desulfurization via carbon black-based gas diffusion electrodes: Performance, kinetics and mechanism. Chem. Eng. J. 2017, 307, 553–561. [Google Scholar] [CrossRef]
- Calebrese, C.; Eisman, G.A.; Lewis, D.J.; Schadler, L.S. Swelling and related mechanical and physical properties of carbon nanofiber filled mesophase pitch for use as a bipolar plate material. Carbon 2010, 48, 3939–3946. [Google Scholar] [CrossRef]
- Song, Y.; Li, S.; Zhai, G.; Shi, J.; Guo, Q.; Liu, L. Carbonization behaviors of mesophase pitch based composites reinforced with multi-wall carbon nanotubes. Mater. Lett. 2008, 62, 1902–1904. [Google Scholar] [CrossRef]
- Dumont, M.; Dourges, M.A.; Bourrat, X.; Pailler, R.; Naslain, R.; Babot, O.; Birot, M.; Pillot, J.P. Carbonization behaviour of modified synthetic mesophase pitches. Carbon 2005, 43, 2277–2284. [Google Scholar] [CrossRef]
- Alcock, B.; Peters, T.; Tiwari, A. The effect of hot air exposure on the mechanical properties and carbon dioxide permeability of hydrogenated nitrile butadiene rubber (HNBR) with varying carbon black content. Polym. Test. 2020, 82, 106273. [Google Scholar] [CrossRef]
- Hauser, R.A.; King, J.A.; Pagel, R.M.; Keith, J.M. Effects of carbon fillers on the thermal conductivity of highly filled liquid-crystal polymer based resins. J. Appl. Polym. Sci. 2008, 109, 2145–2155. [Google Scholar] [CrossRef]









| Softening Point (°C) | Toluene Insoluble (%) | Quinoline Insoluble (%) | Coking Value (%) | Ash Content (%) |
|---|---|---|---|---|
| 112 | 37 | 8.6 | 65 | 0.25 |
© 2020 by the authors. Licensee MDPI, Basel, Switzerland. This article is an open access article distributed under the terms and conditions of the Creative Commons Attribution (CC BY) license (http://creativecommons.org/licenses/by/4.0/).
Share and Cite
Kim, M.I.; Cho, J.H.; Bai, B.C.; Im, J.S. The Control of Volume Expansion and Porosity in Carbon Block by Carbon Black (CB) Addition for Increasing Thermal Conductivity. Appl. Sci. 2020, 10, 6068. https://doi.org/10.3390/app10176068
Kim MI, Cho JH, Bai BC, Im JS. The Control of Volume Expansion and Porosity in Carbon Block by Carbon Black (CB) Addition for Increasing Thermal Conductivity. Applied Sciences. 2020; 10(17):6068. https://doi.org/10.3390/app10176068
Chicago/Turabian StyleKim, Min Il, Jong Hoon Cho, Byong Chol Bai, and Ji Sun Im. 2020. "The Control of Volume Expansion and Porosity in Carbon Block by Carbon Black (CB) Addition for Increasing Thermal Conductivity" Applied Sciences 10, no. 17: 6068. https://doi.org/10.3390/app10176068
APA StyleKim, M. I., Cho, J. H., Bai, B. C., & Im, J. S. (2020). The Control of Volume Expansion and Porosity in Carbon Block by Carbon Black (CB) Addition for Increasing Thermal Conductivity. Applied Sciences, 10(17), 6068. https://doi.org/10.3390/app10176068
