Polyphenols: Natural Antioxidants to Be Used as a Quality Tool in Wine Authenticity
Abstract
1. Introduction
2. Structural Information
2.1. Non-Flavonoid Polyphenols
2.1.1. Phenolic Acids and Derivatives
2.1.2. Stilbenes
2.1.3. Lignans
2.2. Flavonoid Compounds
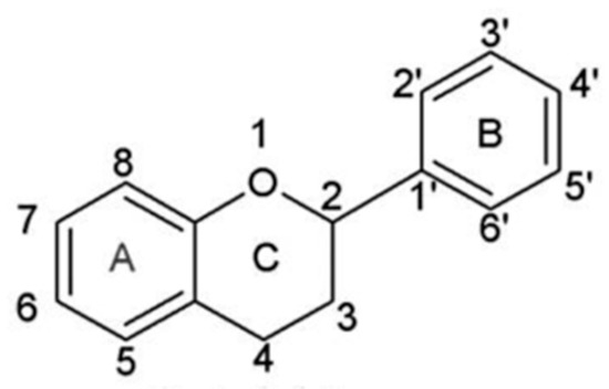
2.2.1. Flavones
2.2.2. Flavanones
2.2.3. Flavonols
2.2.4. Flavan-3-ols
2.2.5. Anthocyanins
- Self-association and co-pigmentation (short-term mechanisms),
- Polymeric anthocyanins with proanthocyanidins and 3-flavanols (long-term mechanisms) and
- New formed compounds, such as pyranoanthocyanins and their polymerized compounds.
3. Influence of Vinification Strategies on Wine Polyphenolic Profile
3.1. Pre-Fermentation Juice Runoff
3.2. Cold Maceration
3.3. Thermovinification and Flash Release
3.4. Carbonic Maceration
3.5. Enhancement of Copigmentation
3.6. Pectolytic Enzymes
3.7. Yeast Selection and Yeast Cell Walls
3.8. Non-Thermal Strategies
4. Current Analytical Approaches to Wine Authenticity
4.1. Overview
4.2. Official Wine Analytical Methods
4.3. Studies Focusing on Varietal or Geographical Origin Discrimination
4.4. Process Monitoring
4.5. Data Processing and Interpretation
5. Conclusions
Author Contributions
Funding
Acknowledgments
Conflicts of Interest
References
- Proestos, C.; Bakogiannis, A.; Komaitis, M. Determination of Phenolic Compounds in Wines. Int. J. Food Stud. 2012, 1, 33–41. [Google Scholar] [CrossRef]
- Yun, J.W.; Lee, W.S.; Kim, M.J.; Lu, J.N.; Kang, M.H.; Kim, H.G.; Kim, D.C.; Choi, E.J.; Choi, J.Y.; Kim, H.G.; et al. Characterization of a profile of the anthocyanins isolated from Vitis coignetiae Pulliat and their anti-invasive activity on HT-29 human colon cancer cells. Food Chem. Toxicol. 2010, 48, 903–909. [Google Scholar] [CrossRef] [PubMed]
- Watson, R.R. Polyphenols in Plants: Isolation, Purification and Extract Preparation; Elsevier Inc.: Amsterdam, The Netherlands, 2018; ISBN 9780123979346. [Google Scholar]
- Rana, Z.H.; Alam, M.K.; Akhtaruzzaman, M. Nutritional Composition, Total Phenolic Content, Antioxidant and α-Amylase Inhibitory Activities of Different Fractions of Selected Wild Edible Plants. Antioxidants 2019, 8, 203. [Google Scholar] [CrossRef] [PubMed]
- Alam, M.K.; Rana, Z.H.; Islam, S.N.; Akhtaruzzaman, M. Comparative assessment of nutritional composition, polyphenol profile, antidiabetic and antioxidative properties of selected edible wild plant species of Bangladesh. Food Chem. 2020, 320, 126646. [Google Scholar] [CrossRef]
- Golan, R.; Gepner, Y.; Shai, I. Wine and Health–New Evidence. Eur. J. Clin. Nutr. 2019, 72, 55–59. [Google Scholar] [CrossRef]
- Bose, S.; Sarkar, D.; Bose, A.; Mandal, S.C. Natural Flavonoids and Its Pharmaceutical Importance. Pharma Rev. 2018, 61–75. [Google Scholar]
- Ma, D.S.L.; Tan, L.T.H.; Chan, K.G.; Yap, W.H.; Pusparajah, P.; Chuah, L.H.; Ming, L.C.; Khan, T.M.; Lee, L.H.; Goh, B.H. Resveratrol-potential antibacterial agent against foodborne pathogens. Front. Pharmacol. 2018, 9, 102. [Google Scholar] [CrossRef]
- Flamini, R.; Mattivi, F.; De Rosso, M.; Arapitsas, P.; Bavaresco, L. Advanced knowledge of three important classes of grape phenolics: Anthocyanins, stilbenes and flavonols. Int. J. Mol. Sci. 2013, 14, 19651–19669. [Google Scholar] [CrossRef]
- Nunes, M.A.; Pimentel, F.; Costa, A.S.G.; Alves, R.C.; Oliveira, M.B.P.P. Cardioprotective properties of grape seed proanthocyanidins: An update. Trends Food Sci. Technol. 2016, 57, 31–39. [Google Scholar] [CrossRef]
- European Commission Regulation (EU) No 1308/2013 of the European Parliament and of the Council of 17 December 2013 Establishing a Common Organisation of the Markets in Agricultural Products and Repealing Council Regulations (EEC) No 922/72, (EEC) No 234/79, (EC) No 1037/2001 a. Off. J. Eur. Union Law 2013, L347, 1–184.
- Holmberg, L. Wine fraud. Int. J. Wine Res. 2010, 2, 105–113. [Google Scholar] [CrossRef]
- Muhammad, A.; Countryman, A.M. In Vino ‘No’ Veritas: Impacts of fraud on wine imports in China. Aust. J. Agric. Resour. Econ. 2019, 63, 742–758. [Google Scholar] [CrossRef]
- Fougere, E.; Kaplan, E.K.; Collins, C.A. Pricing uncertainty in wine markets following the Rudy Kurniawan scandal. J. Wine Res. 2020, 31, 1–5. [Google Scholar] [CrossRef]
- Geana, E.I.; Popescu, R.; Costinel, D.; Dinca, O.R.; Stefanescu, I.; Ionete, R.E.; Bala, C. Verifying the red wines adulteration through isotopic and chromatographic investigations coupled with multivariate statistic interpretation of the data. Food Control 2016, 62, 1–9. [Google Scholar] [CrossRef]
- Pasvanka, K.; Tzachristas, A.; Proestos, C. Quality tools in wine traceability and authenticity. In Quality Control in the Beverage Industry: Volume 17: The Science of Beverages; Elsevier Inc.: Amsterdam, The Netherlands, 2019; Volume 17, pp. 289–334. ISBN 9780128166819. [Google Scholar]
- Garrido, J.; Borges, F. Wine and grape polyphenols-A chemical perspective. Food Res. Int. 2013, 54, 1844–1858. [Google Scholar] [CrossRef]
- Monagas, M.; Bartolomé, B.; Gómez-Cordovés, C. Updated knowledge about the presence of phenolic compounds in wine. Crit. Rev. Food Sci. Nutr. 2005, 45, 85–118. [Google Scholar] [CrossRef]
- Ribéreau-Gayon, P.; Glories, Y.; Maujean, A.; Dubourdieu, D. Handbook of Enology, The Chemistry of Wine: Stabilization and Treatments: Second Edition; John Wiley & Sons, Ltd.: Chichester, UK, 2006; Volume 2, ISBN 9780470010396. [Google Scholar]
- Palade, L.; Popa, M. Polyphenol Fingerprinting Approaches in Wine Traceability and Authenticity: Assessment and Implications of Red Wines. Beverages 2018, 4, 75. [Google Scholar] [CrossRef]
- Rodríguez-García, C.; Sánchez-Quesada, C.; Toledo, E.; Delgado-Rodríguez, M.; Gaforio, J.J. Naturally lignan-rich foods: A dietary tool for health promotion? Molecules 2019, 24, 917. [Google Scholar] [CrossRef]
- Baderschneider, B.; Winterhalter, P. Isolation and characterization of novel benzoates, cinnamates, flavonoids, and lignans from Riesling wine and screening for antioxidant activity. J. Agric. Food Chem. 2001, 49, 2788–2798. [Google Scholar] [CrossRef]
- Jackson, R.S. Wine Science: Principles and Applications; Elsevier Inc.: Amsterdam, The Netherlands, 2020; ISBN 0128165375. [Google Scholar]
- Lambert, M.; Meudec, E.; Verbaere, A.; Mazerolles, G.; Wirth, J.; Masson, G.; Cheynier, V.; Sommerer, N. A high-throughput UHPLC-QqQ-MS method for polyphenol profiling in rosé wines. Molecules 2015, 20, 7890–7914. [Google Scholar] [CrossRef]
- Vrhovsek, U.; Masuero, D.; Gasperotti, M.; Franceschi, P.; Caputi, L.; Viola, R.; Mattivi, F. A Versatile Targeted Metabolomics Method for the Rapid Quantification of Multiple Classes of Phenolics in Fruits and Beverages. J. Agric. Food Chem. 2012, 60, 8831–8840. [Google Scholar] [CrossRef] [PubMed]
- Keller, M. The Science of Grapevines; Elsevier Inc.: Amsterdam, The Netherlands, 2020; ISBN 9780123748812. [Google Scholar]
- Gawel, R.; Smith, P.A.; Cicerale, S.; Keast, R. The mouthfeel of white wine. Crit. Rev. Food Sci. Nutr. 2018, 58, 2939–2956. [Google Scholar] [CrossRef] [PubMed]
- Oliveira, C.M.; Ferreira, A.C.S.; De Freitas, V.; Silva, A.M.S. Oxidation mechanisms occurring in wines. Food Res. Int. 2011, 44, 1115–1126. [Google Scholar] [CrossRef]
- Barnaba, C.; Dellacassa, E.; Nicolini, G.; Nardin, T.; Serra, M.; Larcher, R. Non-targeted glycosidic profiling of international wines using neutral loss-high resolution mass spectrometry. J. Chromatogr. A 2018, 1557, 75–89. [Google Scholar] [CrossRef]
- Rivière, C.; Pawlus, A.D.; Mérillon, J.M. Natural stilbenoids: Distribution in the plant kingdom and chemotaxonomic interest in Vitaceae. Nat. Prod. Rep. 2012, 29, 1317–1333. [Google Scholar] [CrossRef]
- Bavaresco, L.; Lucini, L.; Busconi, M.; Flamini, R.; De Rosso, M. Wine resveratrol: From the ground up. Nutrients 2016, 8, 222. [Google Scholar] [CrossRef]
- Flamini, R.; Zanzotto, A.; de Rosso, M.; Lucchetta, G.; Dalla Vedova, A.; Bavaresco, L. Stilbene oligomer phytoalexins in grape as a response to Aspergillus carbonarius infection. Physiol. Mol. Plant Pathol. 2016, 93, 112–118. [Google Scholar] [CrossRef]
- Rodríguez-Cabo, T.; Rodríguez, I.; López, P.; Ramil, M.; Cela, R. Investigation of liquid chromatography quadrupole time-of-flight mass spectrometry performance for identification and determination of hydroxylated stilbene antioxidants in wine. J. Chromatogr. A 2014, 1337, 162–170. [Google Scholar] [CrossRef]
- Flamini, R. Mass spectrometry in grape and wine chemistry. Part I: Polyphenols. Mass Spectrom. Rev. 2003, 22, 218–250. [Google Scholar] [CrossRef]
- Flamini, R.; De Rosso, M.; Bavaresco, L. Study of grape polyphenols by liquid chromatography-high-resolution mass spectrometry (UHPLC/QTOF) and suspect screening analysis. J. Anal. Methods Chem. 2015, 2015, 350259. [Google Scholar] [CrossRef]
- Fernández-Mar, M.I.; Mateos, R.; García-Parrilla, M.C.; Puertas, B.; Cantos-Villar, E. Bioactive compounds in wine: Resveratrol, hydroxytyrosol and melatonin: A review. Food Chem. 2012, 130, 797–813. [Google Scholar] [CrossRef]
- Berman, A.Y.; Motechin, R.A.; Wiesenfeld, M.Y.; Holz, M.K. The therapeutic potential of resveratrol: A review of clinical trials. NPJ Precis. Oncol. 2017, 1, 1–9. [Google Scholar] [CrossRef] [PubMed]
- Duarte, N.; Ramalhete, C.; Rijo, P.; Reis, M.A.; Ferreira, M.-J.U. Stilbenoids in Grapes and Wine. In Handbook of Dietary Phytochemicals; Xiao, J., Sarker, S.D., Asakawa, Y., Eds.; Springer: Singapore, 2020; pp. 1–28. ISBN 9789811317453. [Google Scholar]
- Papastamoulis, Y.; Richard, T.; Nassra, M.; Badoc, A.; Krisa, S.; Harakat, D.; Monti, J.-P.; Mérillon, J.-M.; Waffo-Teguo, P. Viniphenol A, a complex resveratrol hexamer from Vitis vinifera stalks: Structural elucidation and protective effects against amyloid-β-induced toxicity in PC12 cells. J. Nat. Prod. 2014, 77, 213–217. [Google Scholar] [CrossRef] [PubMed]
- Marchal, A.; Cretin, B.N.; Sindt, L.; Waffo-Téguo, P.; Dubourdieu, D. Contribution of oak lignans to wine taste: Chemical identification, sensory characterization and quantification. Tetrahedron 2015, 71, 3148–3156. [Google Scholar] [CrossRef]
- Swaminathan, M.; Chee, C.F.; Chin, S.P.; Buckle, M.J.C.; Rahman, N.A.; Doughty, S.W.; Chung, L.Y. Flavonoids with M1 muscarinic acetylcholine receptor binding activity. Molecules 2014, 19, 8933–8948. [Google Scholar] [CrossRef] [PubMed]
- Silva, A.R.; Grosso, C.; Delerue-Matos, C.; Rocha, J.M. Comprehensive review on the interaction between natural compounds and brain receptors: Benefits and toxicity. Eur. J. Med. Chem. 2019, 174, 87–115. [Google Scholar] [CrossRef]
- Jakaria, M.; Azam, S.; Jo, S.-H.; Kim, I.-S.; Dash, R.; Choi, D.-K. Potential Therapeutic Targets of Quercetin and Its Derivatives: Its Role in the Therapy of Cognitive Impairment. J. Clin. Med. 2019, 8, 1789. [Google Scholar] [CrossRef]
- Blancquaert, E.H.; Oberholster, A.; Ricardo-da-Silva, J.M.; Deloire, A.J. Grape Flavonoid Evolution and Composition Under Altered Light and Temperature Conditions in Cabernet Sauvignon (Vitis vinifera L.). Front. Plant Sci. 2019, 10, 1062. [Google Scholar] [CrossRef]
- Dwivedi, S.; Malik, C.; Chhokar, V. Molecular structure, biological functions, and metabolic regulation of flavonoids. In Plant Biotechnology: Recent Advancements and Developments; Springer: Singapore, 2017; pp. 171–188. ISBN 9789811047329. [Google Scholar]
- Nabavi, S.M.; Šamec, D.; Tomczyk, M.; Milella, L.; Russo, D.; Habtemariam, S.; Suntar, I.; Rastrelli, L.; Daglia, M.; Xiao, J.; et al. Flavonoid biosynthetic pathways in plants: Versatile targets for metabolic engineering. Biotechnol. Adv. 2020, 38, 107316. [Google Scholar] [CrossRef]
- Baskar, V.; Venkatesh, R.; Ramalingam, S. Flavonoids (antioxidants systems) in higher plants and their response to stresses. In Antioxidants and Antioxidant Enzymes in Higher Plants; Springer International Publishing: New York, NY, USA, 2018; pp. 253–268. ISBN 9783319750880. [Google Scholar]
- Soares, S.; Brandão, E.; Mateus, N.; de Freitas, V. Sensorial properties of red wine polyphenols: Astringency and bitterness. Crit. Rev. Food Sci. Nutr. 2017, 57, 937–948. [Google Scholar] [CrossRef]
- Kennedy, J.A.; Saucier, C.; Glories, Y. Grape and wine phenolics: History and perspective. Am. J. Enol. Vitic. 2006, 57, 239–248. [Google Scholar]
- Hostetler, G.L.; Ralston, R.A.; Schwartz, S.J. Flavones: Food sources, bioavailability, metabolism, and bioactivity. Adv. Nutr. 2017, 8, 423–435. [Google Scholar] [CrossRef] [PubMed]
- Luo, Y.; Shang, P.; Li, D. Luteolin: A Flavonoid that has multiple cardio-protective effects and its molecular mechanisms. Front. Pharmacol. 2017, 8, 692. [Google Scholar] [CrossRef] [PubMed]
- De Sanctis, F.; Silvestrini, M.G.; Luneia, R.; Botondi, R.; Bellincontro, A.; Mencarelli, F. Postharvest dehydration of wine white grapes to increase genistein, daidzein and the main carotenoids. Food Chem. 2012, 135, 1619–1625. [Google Scholar] [CrossRef]
- Mayr, C.; De Rosso, M.; Dalla Vedova, A.; Flamini, R. High-Resolution Mass Spectrometry Identification of Secondary Metabolites in Four Red Grape Varieties Potentially Useful as Traceability Markers of Wines. Beverages 2018, 4, 74. [Google Scholar] [CrossRef]
- Sun, J.; Liang, F.; Bin, Y.; Li, P.; Duan, C. Screening non-colored phenolics in red wines using liquid chromatography/ultraviolet and mass spectrometry/mass spectrometry libraries. Molecules 2007, 12, 679–693. [Google Scholar] [CrossRef]
- Kennedy, J.A. Grape and wine phenolics: Observations and recent findings. Cienc. Investig. Agrar. 2008, 35, 77–90. [Google Scholar] [CrossRef]
- Castillo-Muñoz, N.; Gómez-Alonso, S.; García-Romero, E.; Hermosín-Gutiérrez, I. Flavonol profiles of Vitis vinifera white grape cultivars. J. Food Compos. Anal. 2010, 23, 699–705. [Google Scholar] [CrossRef]
- Castillo-Muñoz, N.; Gómez-Alonso, S.; García-Romero, E.; Hermosín-Gutiérrez, I. Flavonol profiles of Vitis vinifera red grapes and their single-cultivar wines. J. Agric. Food Chem. 2007, 55, 992–1002. [Google Scholar] [CrossRef]
- Castillo-Sánchez, J.J.; Mejuto, J.C.; Garrido, J.; García-Falcón, S. Influence of wine-making protocol and fining agents on the evolution of the anthocyanin content, colour and general organoleptic quality of Vinhão wines. Food Chem. 2006, 97, 130–136. [Google Scholar] [CrossRef]
- Mattivi, F.; Guzzon, R.; Vrhovsek, U.; Stefanini, M.; Velasco, R. Metabolite profiling of grape: Flavonols and anthocyanins. J. Agric. Food Chem. 2006, 54, 7692–7702. [Google Scholar] [CrossRef] [PubMed]
- Martínez-Lüscher, J.; Brillante, L.; Kurtural, S.K. Flavonol Profile Is a Reliable Indicator to Assess Canopy Architecture and the Exposure of Red Wine Grapes to Solar Radiation. Front. Plant Sci. 2019, 10, 10. [Google Scholar] [CrossRef] [PubMed]
- Favre, G.; González-Neves, G.; Piccardo, D.; Gómez-Alonso, S.; Pérez-Navarro, J.; Hermosín-Gutiérrez, I. New acylated flavonols identified in Vitis vinifera grapes and wines. Food Res. Int. 2018, 112, 98–107. [Google Scholar] [CrossRef] [PubMed]
- Lingua, M.S.; Fabani, M.P.; Wunderlin, D.A.; Baroni, M.V. From grape to wine: Changes in phenolic composition and its influence on antioxidant activity. Food Chem. 2016, 208, 228–238. [Google Scholar] [CrossRef] [PubMed]
- Pérez-Navarro, J.; Cazals, G.; Enjalbal, C.; Cañas, P.M.I.; Gómez-Alonso, S.; Saucier, C. Flavanol Glycoside Content of Grape Seeds and Skins of Vitis vinifera Varieties Grown in Castilla-La Mancha, Spain. Molecules 2019, 24, 4001. [Google Scholar] [CrossRef] [PubMed]
- Andersen, Ø.M.; Markham, K.R. Flavonoids: Chemistry, Biochemistry and Applications; CRC Press: Boca Raton, FL, USA, 2005; ISBN 9781420039443. [Google Scholar]
- Petropoulos, S.; Kanellopoulou, A.; Paraskevopoulos, I.; Kotseridis, Y.; Kallithraka, S. Characterization of grape and wine proanthocyanidins of Agiorgitiko (Vitis vinifera L. cv.) cultivar grown in different regions of Nemea. J. Food Compos. Anal. 2017, 63, 98–110. [Google Scholar] [CrossRef]
- Kyraleou, M.; Kallithraka, S.; Gkanidi, E.; Koundouras, S.; Mannion, D.T.; Kilcawley, K.N. Discrimination of five Greek red grape varieties according to the anthocyanin and proanthocyanidin profiles of their skins and seeds. J. Food Compos. Anal. 2020, 92, 103547. [Google Scholar] [CrossRef]
- Bührle, F.; Gohl, A.; Weber, F. Impact of Xanthylium Derivatives on the Color of White Wine. Molecules 2017, 22, 1376. [Google Scholar] [CrossRef]
- Zerbib, M.; Mazauric, J.P.; Meudec, E.; Le Guernevé, C.; Lepak, A.; Nidetzky, B.; Cheynier, V.; Terrier, N.; Saucier, C. New flavanol O-glycosides in grape and wine. Food Chem. 2018, 266, 441–448. [Google Scholar] [CrossRef]
- Zeng, L.; Pons-Mercadé, P.; Richard, T.; Krisa, S.; Teissèdre, P.-L.; Jourdes, M. Crown Procyanidin Tetramer: A Procyanidin with an Unusual Cyclic Skeleton with a Potent Protective Effect against Amyloid-β-Induced Toxicity. Molecules 2019, 24, 1915. [Google Scholar] [CrossRef]
- Wrolstad, R.E.; Durst, R.W.; Lee, J. Tracking color and pigment changes in anthocyanin products. Trends Food Sci. Technol. 2005, 16, 423–428. [Google Scholar] [CrossRef]
- De Pascual-Teresa, S.; Moreno, D.A.; García-Viguera, C. Flavanols and anthocyanins in cardiovascular health: A review of current evidence. Int. J. Mol. Sci. 2010, 11, 1679–1703. [Google Scholar] [CrossRef] [PubMed]
- Santiago, J.L.; González, I.; Gago, P.; Alonso-Villaverde, V.; Boso, S.; Martínez, M.C. Identification of and relationships among a number of teinturier grapevines that expanded across Europe in the early 20th century. Aust. J. Grape Wine Res. 2008, 14, 223–229. [Google Scholar]
- Wu, B.H.; Guan, L.; Li, J.H.; Fan, P.G.; Chen, S.; Fang, J.B.; Li, S.H. Anthocyanin accumulation in various organs of a teinturier cultivar (Vitis vinifera L.) during the growing season. Am. J. Enol. Vitic. 2012, 63, 177–184. [Google Scholar]
- Guan, L.; Dai, Z.; Wu, B.H.; Wu, J.; Merlin, I.; Hilbert, G.; Renaud, C.; Gomès, E.; Edwards, E.; Li, S.H.; et al. Anthocyanin biosynthesis is differentially regulated by light in the skin and flesh of white-fleshed and teinturier grape berries. Planta 2016, 243, 23–41. [Google Scholar] [CrossRef]
- He, F.; Liang, N.N.; Mu, L.; Pan, Q.H.; Wang, J.; Reeves, M.J.; Duan, C.Q. Anthocyanins and their variation in red wines II. Anthocyanin derived pigments and their color evolution. Molecules 2012, 17, 1483–1519. [Google Scholar] [CrossRef]
- He, F.; Liang, N.N.; Mu, L.; Pan, Q.H.; Wang, J.; Reeves, M.J.; Duan, C.Q. Anthocyanins and their variation in red wines I. Monomeric anthocyanins and their color expression. Molecules 2012, 17, 1571–1601. [Google Scholar] [CrossRef]
- Vidal, S.; Francis, L.; Williams, P.; Kwiatkowski, M.; Gawel, R.; Cheynier, V.; Waters, E. The mouth-feel properties of polysaccharides and anthocyanins in a wine like medium. Food Chem. 2004, 85, 519–525. [Google Scholar] [CrossRef]
- Dufour, C.; Sauvaitre, I. Interactions between anthocyanins and aroma substances in a model system. Effect on the flavor of grape-derived beverages. J. Agric. Food Chem. 2000, 48, 1784–1788. [Google Scholar] [CrossRef]
- Quaglieri, C.; Jourdes, M.; Waffo-Teguo, P.; Teissedre, P.L. Updated knowledge about pyranoanthocyanins: Impact of oxygen on their contents, and contribution in the winemaking process to overall wine color. Trends Food Sci. Technol. 2017, 67, 139–149. [Google Scholar] [CrossRef]
- Morata, A.; Loira, I.; Tesfaye, W.; Bañuelos, M.A.; González, C.; Suárez Lepe, J.A. Lachancea thermotolerans applications in wine technology. Fermentation 2018, 4, 53. [Google Scholar] [CrossRef]
- Morata, A.; Escott, C.; Loira, I.; Del Fresno, J.M.; González, C.; Suárez-Lepe, J.A. Influence of Saccharomyces and non-Saccharomyces Yeasts in the Formation of Pyranoanthocyanins and Polymeric Pigments during Red Wine Making. Molecules 2019, 24, 4490. [Google Scholar] [CrossRef]
- Villano, C.; Lisanti, M.T.; Gambuti, A.; Vecchio, R.; Moio, L.; Frusciante, L.; Aversano, R.; Carputo, D. Wine varietal authentication based on phenolics, volatiles and DNA markers: State of the art, perspectives and drawbacks. Food Control 2017, 80, 1–10. [Google Scholar] [CrossRef]
- Versari, A.; Laurie, V.F.; Ricci, A.; Laghi, L.; Parpinello, G.P. Progress in Authentication, Typification and Traceability of Grapes and Wines by Chemometric Approaches; Elsevier Inc.: Amsterdam, The Netherlands, 2014; Volume 60, ISBN 3904573381. [Google Scholar]
- Cheynier, V.; Dueñas-Paton, M.; Salas, E.; Maury, C.; Souquet, J.M.; Sarni-Manchado, P.; Fulcrand, H. Structure and properties of wine pigments and tannins. Am. J. Enol. Vitic. 2006, 57, 298–305. [Google Scholar]
- Gawel, R.; Iland, P.G.; Leske, P.A.; Dunn, C.G. Compositional and sensory differences in syrah wines following juice run-off prior to fermentation. J. Wine Res. 2001, 12, 5–18. [Google Scholar] [CrossRef]
- Lowe, E.J.; Oey, A.; Turner, T.M. Gasquet Thermovinification System Perspective After Two Years’ Operation. Am. J. Enol. Vitic. 1976, 27, 130–133. [Google Scholar]
- Wang, J.; Huo, S.; Zhang, Y.; Liu, Y.; Fan, W. Effect of different pre-fermentation treatments on polyphenols, color, and volatile compounds of three wine varieties. Food Sci. Biotechnol. 2016, 25, 735–743. [Google Scholar] [CrossRef] [PubMed]
- Lukić, I.; Budić-Leto, I.; Bubola, M.; Damijanić, K.; Staver, M. Pre-fermentative cold maceration, saignée, and various thermal treatments as options for modulating volatile aroma and phenol profiles of red wine. Food Chem. 2017, 224, 251–261. [Google Scholar] [CrossRef]
- Vernhet, A.; Bes, M.; Bouissou, D.; Carrillo, S.; Brillouet, J.M. Characterization of suspended solids in thermo-treated red musts. J. Int. Sci. Vigne Vin 2016, 50, 9–21. [Google Scholar] [CrossRef]
- Chen, K.; Escott, C.; Loira, I.; Del Fresno, J.M.; Morata, A.; Tesfaye, W.; Calderon, F.; Benito, S.; Suárez-Lepe, J.A. The effects of pre-fermentative addition of oenological tannins on wine components and sensorial qualities of red wine. Molecules 2016, 21, 1445. [Google Scholar] [CrossRef]
- Vernhet, A.; Carrillo, S.; Rattier, A.; Verbaere, A.; Cheynier, V.; Nguela, J.M. Fate of Anthocyanins and Proanthocyanidins during the Alcoholic Fermentation of Thermovinified Red Musts by Different Saccharomyces cerevisiae Strains. J. Agric. Food Chem. 2020, 68, 3615–3625. [Google Scholar] [CrossRef] [PubMed]
- Tesniere, C.; Flanzy, C. Carbonic maceration wines: Characteristics and winemaking process. In Advances in Food and Nutrition Research; Elsevier: Amsterdam, The Netherlands, 2011; Volume 63, pp. 1–15. [Google Scholar]
- Guzzon, R.; Malacarne, M.; Larcher, R.; Franciosi, E.; Toffanin, A. The impact of grape processing and carbonic maceration on the microbiota of early stages of winemaking. J. Appl. Microbiol. 2020, 128, 209–224. [Google Scholar] [CrossRef] [PubMed]
- González-Arenzana, L.; Santamaría, R.; Escribano-Viana, R.; Portu, J.; Garijo, P.; López-Alfaro, I.; López, R.; Santamaría, P.; Gutiérrez, A.R. Influence of the carbonic maceration winemaking method on the physicochemical, colour, aromatic and microbiological features of tempranillo red wines. Food Chem. 2020, 319, 126569. [Google Scholar] [CrossRef] [PubMed]
- Zhang, Y.-S.; Du, G.; Gao, Y.-T.; Wang, L.-W.; Meng, D.; Li, B.-J.; Brennan, C.; Wang, M.-Y.; Zhao, H.; Wang, S.-Y. The effect of carbonic maceration during winemaking on the color, aroma and sensory properties of ‘Muscat Hamburg’wine. Molecules 2019, 24, 3120. [Google Scholar] [CrossRef] [PubMed]
- González-Lázaro, M.; Martínez-Lapuente, L.; Guadalupe, Z.; Ayestaran, B.; Bueno-Herrera, M.; López de la Cuesta, P.; Pérez-Magariño, S. Evaluation of grape ripeness, carbonic maceration and pectolytic enzymes to improve the chemical and sensory quality of red sparkling wines. J. Sci. Food Agric. 2020, 100, 2618–2629. [Google Scholar] [CrossRef]
- Trouillas, P.; Sancho-García, J.C.; De Freitas, V.; Gierschner, J.; Otyepka, M.; Dangles, O. Stabilizing and Modulating Color by Copigmentation: Insights from Theory and Experiment. Chem. Rev. 2016, 116, 4937–4982. [Google Scholar] [CrossRef]
- Fernandes, A.; Oliveira, J.; Teixeira, N.; Mateus, N.; De Freitas, V. A review of the current knowledge of red wine colour. J. Int. Sci. Vigne Vin 2017, 51, 1–21. [Google Scholar]
- Darias-Martín, J.; Carrillo, M.; Díaz, E.; Boulton, R.B. Enhancement of red wine colour by pre-fermentation addition of copigments. Food Chem. 2001, 73, 217–220. [Google Scholar] [CrossRef]
- Li, Y.; Prejanò, M.; Toscano, M.; Russo, N. Oenin and Quercetin Copigmentation: Highlights From Density Functional Theory. Front. Chem. 2018, 6, 245. [Google Scholar] [CrossRef]
- Heras-Roger, J.; Díaz-Romero, C.; Darias-Martín, J. What Gives a Wine Its Strong Red Color? Main Correlations Affecting Copigmentation. J. Agric. Food Chem. 2016, 64, 6567–6574. [Google Scholar] [CrossRef]
- Zhang, B.; Yang, X.S.; Li, N.N.; Zhu, X.; Sheng, W.J.; He, F.; Duan, C.Q.; Han, S.Y. Colorimetric study of malvidin-3-O-glucoside copigmented by phenolic compounds: The effect of molar ratio, temperature, pH, and ethanol content on color expression of red wine model solutions. Food Res. Int. 2017, 102, 468–477. [Google Scholar] [CrossRef] [PubMed]
- Zhang, B.; Wang, Q.; Zhou, P.-P.; Li, N.-N.; Han, S.-Y. Copigmentation evidence of oenin with phenolic compounds: A comparative study of spectrographic, thermodynamic and theoretical data. Food Chem. 2020, 313, 126163. [Google Scholar] [CrossRef] [PubMed]
- Kanha, N.; Surawang, S.; Pitchakarn, P.; Regenstein, J.M.; Laokuldilok, T. Copigmentation of cyanidin 3-O-glucoside with phenolics: Thermodynamic data and thermal stability. Food Biosci. 2019, 30, 100419. [Google Scholar] [CrossRef]
- Bimpilas, A.; Panagopoulou, M.; Tsimogiannis, D.; Oreopoulou, V. Anthocyanin copigmentation and color of wine: The effect of naturally obtained hydroxycinnamic acids as cofactors. Food Chem. 2016, 197, 39–46. [Google Scholar] [CrossRef] [PubMed]
- Claus, H.; Mojsov, K. Enzymes for wine fermentation: Current and perspective applications. Fermentation 2018, 4, 52. [Google Scholar] [CrossRef]
- Fernández, K.; Vega, M.; Aspé, E. An enzymatic extraction of proanthocyanidins from País grape seeds and skins. Food Chem. 2015, 168, 7–13. [Google Scholar] [CrossRef]
- Grieco, F.; Carluccio, M.A.; Giovinazzo, G. Autochthonous Saccharomyces cerevisiae Starter. Foods 2019, 8, 453. [Google Scholar] [CrossRef]
- Monagas, M.; Bartolomé, B. Anthocyanins and anthocyanin-derived compounds. In Wine Chemistry and Biochemistry; Springer: New York, NY, USA, 2009; pp. 439–462. ISBN 9780387741161. [Google Scholar]
- Morata, A.; Gómez-Cordovés, M.C.; Colomo, B.; Suárez, J.A. Cell wall anthocyanin adsorption by different Saccharomyces strains during the fermentation of Vitis vinifera L. cv Graciano grapes. Eur. Food Res. Technol. 2005, 220, 341–346. [Google Scholar] [CrossRef]
- Maza, M.; Álvarez, I.; Raso, J. Thermal and Non-Thermal Physical Methods for Improving Polyphenol Extraction in Red Winemaking. Beverages 2019, 5, 47. [Google Scholar] [CrossRef]
- Clodoveo, M.L.; Dipalmo, T.; Rizzello, C.G.; Corbo, F.; Crupi, P. Emerging technology to develop novel red winemaking practices: An overview. Innov. Food Sci. Emerg. Technol. 2016, 38, 41–56. [Google Scholar] [CrossRef]
- Morata, A.; Loira, I.; Vejarano, R.; González, C.; Callejo, M.J.; Suárez-Lepe, J.A. Emerging preservation technologies in grapes for winemaking. Trends Food Sci. Technol. 2017, 67, 36–43. [Google Scholar] [CrossRef]
- Ricci, A.; Parpinello, G.P.; Versari, A. Recent advances and applications of pulsed electric fields (PEF) to improve polyphenol extraction and color release during red winemaking. Beverages 2018, 4, 18. [Google Scholar] [CrossRef]
- Nioi, C.; Lisanti, M.T.; Lacampagne, S.; Noilet, P.; Mietton Peuchot, M.; Ghidossi, R. Nanofiltration process as non-thermal alternative to thermovinification in Pinot noir winemaking. OENO ONE 2020, 54, 37–47. [Google Scholar] [CrossRef]
- Cassano, A.; Conidi, C.; Castro-Muñoz, R. Current and Future Applications of Nanofiltration in Food Processing. In Separation of Functional Molecules in Food by Membrane Technology; Elsevier: London, UK, 2019; pp. 305–348. [Google Scholar]
- Yammine, S.; Rabagliato, R.; Vitrac, X.; Peuchot, M.M.; Ghidossi, R. The use of nanofiltration membranes for the fractionation of polyphenols from grape pomace extracts. OENO ONE 2019, 53, 11–26. [Google Scholar] [CrossRef]
- Maza, M.A.; Martínez, J.M.; Hernández-Orte, P.; Cebrián, G.; Sánchez-Gimeno, A.C.; Álvarez, I.; Raso, J. Influence of pulsed electric fields on aroma and polyphenolic compounds of Garnacha wine. Food Bioprod. Process. 2019, 116, 249–257. [Google Scholar] [CrossRef]
- OIV (Organisation International de la Vigne et du Vin) HPLC-Determination of nine major anthocyanins in red and rosé wine, Method OIV-MA-AS315-11. OIV Method 2007, 2007, 1–13.
- Diamantidou, D.; Zotou, A.; Theodoridis, G. Wine and grape marc spirits metabolomics. Metabolomics 2018, 14, 159. [Google Scholar] [CrossRef]
- Wishart, D.S. NMR metabolomics: A look ahead. J. Magn. Reson. 2019, 306, 155–161. [Google Scholar] [CrossRef]
- Emwas, A.-H.M. The strengths and weaknesses of NMR spectroscopy and mass spectrometry with particular focus on metabolomics research. In Metabonomics; Springer: Berlin, Germany, 2015; pp. 161–193. [Google Scholar]
- Flamini, R. Recent Applications of Mass Spectrometry in the Study of Grape and Wine Polyphenols. ISRN Spectrosc. 2013, 2013, 813563. [Google Scholar] [CrossRef]
- Arapitsas, P.; Ugliano, M.; Marangon, M.; Piombino, P.; Rolle, L.; Gerbi, V.; Versari, A.; Mattivi, F. Use of untargeted LC-MS metabolome to discriminate Italian mono-varietal red wines, produced in their different terroirs. J. Agric. Food Chem. 2020. [Google Scholar] [CrossRef]
- OIV Compendium of International Methods of Analysis: Alcoholic Strength by Volume (Resolution Oeno 566/2016). OIV-MA-AS312-01A. Available online: http://www.oiv.int (accessed on 12 August 2020).
- OIV Compendium of International Methods of Analysis: Reducing Substances. OIV-MA-AS311-01A. Available online: http://www.oiv.int (accessed on 12 August 2020).
- OIV Compendium of International Methods of Analysis: Total Acidity. OIV-MA-AS313-01. Available online: http://www.oiv.int (accessed on 12 August 2020).
- OIV Compendium of International Methods of Analysis: Volatile Acidity (A 11, Revised by 377/2009). OIV-MA-AS313–02. Available online: http://www.oiv.int (accessed on 12 August 2020).
- OIV Compendium of International Methods of Analysis: Sulphur Dioxide (Iodometry) (A 17 Revised by 377/2009). OIV-MA-AS323-04B. Available online: http://www.oiv.int (accessed on 12 August 2020).
- OIV Compendium of International Methods of Analysis: Analysis of Volatile Compounds in Wines by Gas Chromatography (Resolution OIV-OENO 553/2016). OIV-MA-AS315-27. Available online: http://www.oiv.int (accessed on 12 August 2020).
- OIV Compendium of International Methods of Analysis: Determination of the Principal Organic Acids of Wines and Sulphates by Capillary Electrophoresis. OIV-MA-AS313-19. Available online: http://www.oiv.int (accessed on 12 August 2020).
- OIV Compendium of International Methods of Analysis: Analysis of Mineral Elements in Wines Using ICP-AES (Inductively Coupled Plasma/Atomic Emission Spectrometry) (Oeno 478/2013). OIV-MA-AS322-13. Available online: http://www.oiv.int (accessed on 12 August 2020).
- OIV Compendium of International Methods of Analysis: Determination by Isotope Ratio Mass Spectometry 13C/12C of Wine Ethanol or that Obtained through the Fermentation of Musts, Concentrated Musts or Grape Sugar. OIV-MA-AS312-06. Available online: http://www.oiv.int (accessed on 12 August 2020).
- OIV Compendium of International Methods of Analysis: Determination of the Deuterium Distribution in Ethanol Derived from Fermentation of Grape Musts, Concentrated Grape Musts, Grape Sugar (Rectified Concentrated Grape Musts) and Wines by Application of Nuclea. Available online: http://www.oiv.int (accessed on 12 August 2020).
- OIV Compendium of International Methods of Analysis: Examination of Artificial Sweeteners (a) OIV-MA-AS315-07A. Available online: http://www.oiv.int (accessed on 12 August 2020).
- OIV Compendium of International Methods of Analysis: Examination of Artificial Colorants. OIV-MA-AS315-08. Available online: http://www.oiv.int (accessed on 12 August 2020).
- OIV Compendium of International Methods of Analysis: Detection of Preservatives and Fermentation Inhibitors (Detection of Sorbic, Benzoic, p-chlorobenzoic, Salicylic Acids and p-hydrobenzoic Acid and Its Esters) (A35; Oeno 6/2006; Revised by 377/2009). OIV-MA. Available online: http://www.oiv.int (accessed on 12 August 2020).
- OIV Compendium of International Methods of Analysis: Folin-Ciocalteu Index. OIV-MA-AS2-10. Available online: http://www.oiv.int (accessed on 12 August 2020).
- OIV Compendium of International Methods of Analysis: Determination of Nine Major Anthocyanins in Red and Rosé Wines Using HPLC (Oeno 22/2003, Oeno 12/2007). OIV-MA-AS315-11. Available online: http://www.oiv.int (accessed on 12 August 2020).
- OIV Compendium of International Methods of Analysis: Malvidin Diglucoside. OIV-MA-AS315-03. Available online: http://www.oiv.int (accessed on 12 August 2020).
- Locatelli, M.; Travaglia, F.; Coïsson, J.D.; Bordiga, M.; Arlorio, M. Phenolic composition of Nebbiolo grape (Vitis vinifera L.) from Piedmont: Characterization during ripening of grapes selected in different geographic areas and comparison with Uva Rara and Vespolina cv. Eur. Food Res. Technol. 2016, 242, 1057–1068. [Google Scholar] [CrossRef]
- Pisano, P.L.; Silva, M.F.; Olivieri, A.C. Anthocyanins as markers for the classification of Argentinean wines according to botanical and geographical origin. Chemometric modeling of liquid chromatography-mass spectrometry data. Food Chem. 2015, 175, 174–180. [Google Scholar] [CrossRef] [PubMed]
- De Rosso, M.; Mayr, C.M.; Girardi, G.; Vedova, A.D.; Flamini, R. High-resolution mass spectrometry metabolomics of grape chemical markers to reveal use of not-allowed varieties in the production of Amarone and Recioto wines. Metabolomics 2018, 14, 124. [Google Scholar] [CrossRef] [PubMed]
- Stój, A.; Kapusta, I.; Domagała, D. Classification of Red Wines Produced from Zweigelt and Rondo Grape Varieties Based on the Analysis of Phenolic Compounds by UPLC-PDA-MS/MS. Molecules 2020, 25, 1342. [Google Scholar] [CrossRef]
- Savino, M.; Basile, T.; Alba, V.; Bolettieri, D.; Paradiso, F.; Tamborra, P.; Suriano, S.; Tarricone, L. Detection of Intra-Varietal Diversity Based on Differences in the Accumulation of Secondary Metabolites for Winemaking Management of High-Quality Red Wines. Beverages 2017, 3, 45. [Google Scholar] [CrossRef]
- Gil, M.; Reynes, C.; Cazals, G.; Enjalbal, C.; Sabatier, R.; Saucier, C. Discrimination of rosé wines using shotgun metabolomics with a genetic algorithm and MS ion intensity ratios. Sci. Rep. 2020, 10, 1–7. [Google Scholar] [CrossRef]
- Rocchetti, G.; Gatti, M.; Bavaresco, L.; Lucini, L. Untargeted metabolomics to investigate the phenolic composition of Chardonnay wines from different origins. J. Food Compos. Anal. 2018, 71, 87–93. [Google Scholar] [CrossRef]
- Longo, E.; Rossetti, F.; Jouin, A.; Teissedre, P.L.; Jourdes, M.; Boselli, E. Distribution of crown hexameric procyanidin and its tetrameric and pentameric congeners in red and white wines. Food Chem. 2019, 299, 125125. [Google Scholar] [CrossRef]
- Alves Filho, E.G.; Silva, L.M.A.; Ribeiro, P.R.V.; de Brito, E.S.; Zocolo, G.J.; Souza-Leão, P.C.; Marques, A.T.B.; Quintela, A.L.; Larsen, F.H.; Canuto, K.M. 1H NMR and LC-MS-based metabolomic approach for evaluation of the seasonality and viticultural practices in wines from São Francisco River Valley, a Brazilian semi-arid region. Food Chem. 2019, 289, 558–567. [Google Scholar] [CrossRef]
- Tassoni, A.; Tango, N.; Ferri, M. Comparison of biogenic amine and polyphenol profiles of grape berries and wines obtained following conventional, organic and biodynamic agricultural and oenological practices. Food Chem. 2013, 139, 405–413. [Google Scholar] [CrossRef]
- Picone, G.; Trimigno, A.; Tessarin, P.; Donnini, S.; Rombolà, A.D.; Capozzi, F. 1H NMR foodomics reveals that the biodynamic and the organic cultivation managements produce different grape berries (Vitis vinifera L. cv. Sangiovese). Food Chem. 2016, 213, 187–195. [Google Scholar] [CrossRef] [PubMed]
- Parpinello, G.P.; Rombolà, A.D.; Simoni, M.; Versari, A. Chemical and sensory characterisation of Sangiovese red wines: Comparison between biodynamic and organic management. Food Chem. 2015, 167, 1–8. [Google Scholar] [CrossRef] [PubMed]
- Parpinello, G.P.; Ricci, A.; Rombolà, A.D.; Nigro, G.; Versari, A. Comparison of Sangiovese wines obtained from stabilized organic and biodynamic vineyard management systems. Food Chem. 2019, 283, 499–507. [Google Scholar] [CrossRef] [PubMed]
- Arapitsas, P.; Scholz, M.; Vrhovsek, U.; Di Blasi, S.; Biondi Bartolini, A.; Masuero, D.; Perenzoni, D.; Rigo, A.; Mattivi, F. A metabolomic approach to the study of wine micro-oxygenation. PLoS ONE 2012, 7, e37783. [Google Scholar] [CrossRef]
- Herbert-Pucheta, J.E.; Padilla-Maya, G.; Milmo-Brittinham, D.; Lojero, D.; Gilmore, A.M.; Raventós-Llopart, L.; Hernández-Pulido, K.E.; Zepeda-Vallejo, L.G. Multivariate spectroscopy for targeting phenolic choreography in wine with A-TEEM TM and NMR crosscheck non-targeted metabolomics. BIO Web Conf. 2019, 15, 02006. [Google Scholar] [CrossRef]
- Arapitsas, P.; Della Corte, A.; Gika, H.; Narduzzi, L.; Mattivi, F.; Theodoridis, G. Studying the effect of storage conditions on the metabolite content of red wine using HILIC LC–MS based metabolomics. Food Chem. 2016, 197, 1331–1340. [Google Scholar] [CrossRef]
- Willemse, C.M.; Stander, M.A.; Vestner, J.; Tredoux, A.G.J.; De Villiers, A. Comprehensive Two-Dimensional Hydrophilic Interaction Chromatography (HILIC) × Reversed-Phase Liquid Chromatography Coupled to High-Resolution Mass Spectrometry (RP-LC-UV-MS) Analysis of Anthocyanins and Derived Pigments in Red Wine. Anal. Chem. 2015, 87, 12006–12015. [Google Scholar] [CrossRef]
- Alañón, M.E.; Pérez-Coello, M.S.; Marina, M.L. Wine science in the metabolomics era. TrAC-Trends Anal. Chem. 2015, 74, 1–20. [Google Scholar] [CrossRef]
- Roullier-Gall, C.; Kanawati, B.; Hemmler, D.; Druschel, G.K.; Gougeon, R.D.; Schmitt-Kopplin, P. Electrochemical triggering of the Chardonnay wine metabolome. Food Chem. 2019, 286, 64–70. [Google Scholar] [CrossRef]
- Gougeon, L.; da Costa, G.; Guyon, F.; Richard, T. 1H NMR metabolomics applied to Bordeaux red wines. Food Chem. 2019, 301, 125257. [Google Scholar] [CrossRef]
- Gougeon, L.; da Costa, G.; Richard, T.; Guyon, F. Wine Authenticity by Quantitative 1H NMR Versus Multitechnique Analysis: A Case Study. Food Anal. Methods 2019, 12, 956–965. [Google Scholar] [CrossRef]
- Ruocco, S.; Stefanini, M.; Stanstrup, J.; Perenzoni, D.; Mattivi, F.; Vrhovsek, U. The metabolomic profile of red non- V. vinifera genotypes. Food Res. Int. 2017, 98, 10–19. [Google Scholar] [CrossRef] [PubMed]
- Geana, E.I.; Popescu, R.; Costinel, D.; Dinca, O.R.; Ionete, R.E.; Stefanescu, I.; Artem, V.; Bala, C. Classification of red wines using suitable markers coupled with multivariate statistic analysis. Food Chem. 2016, 192, 1015–1024. [Google Scholar] [CrossRef] [PubMed]
- Gougeon, L.; Da Costa, G.; Le Mao, I.; Ma, W.; Teissedre, P.L.; Guyon, F.; Richard, T. Wine Analysis and Authenticity Using 1H-NMR Metabolomics Data: Application to Chinese Wines. Food Anal. Methods 2018, 11, 3425–3434. [Google Scholar] [CrossRef]
- Zhu, J.; Hu, B.; Lu, J.; Xu, S. Analysis of metabolites in cabernet sauvignon and shiraz dry red wines from Shanxi by 1H NMR spectroscopy combined with pattern recognition analysis. Open Chem. 2018, 16, 446–452. [Google Scholar] [CrossRef]
- Cassino, C.; Tsolakis, C.; Bonello, F.; Gianotti, V.; Osella, D. Effects of area, year and climatic factors on Barbera wine characteristics studied by the combination of 1H-NMR metabolomics and chemometrics. J. Wine Res. 2017, 28, 259–277. [Google Scholar] [CrossRef]
- Powers, R.; Riekeberg, E. New frontiers in metabolomics: From measurement to insight. F1000Research 2017, 6, 1148. [Google Scholar]
- O’Shea, K.; Misra, B.B. Software tools, databases and resources in metabolomics: Updates from 2018 to 2019. Metabolomics 2020, 16, 36. [Google Scholar] [CrossRef]
- Li, Z.; Lu, Y.; Guo, Y.; Cao, H.; Wang, Q.; Shui, W. Comprehensive evaluation of untargeted metabolomics data processing software in feature detection, quantification and discriminating marker selection. Anal. Chim. Acta 2018, 1029, 50–57. [Google Scholar] [CrossRef]
- Blaženović, I.; Kind, T.; Ji, J.; Fiehn, O. Software tools and approaches for compound identification of LC-MS/MS data in metabolomics. Metabolites 2018, 8, 31. [Google Scholar] [CrossRef]
- Portinale, L.; Leonardi, G.; Arlorio, M.; Coïsson, J.D.; Travaglia, F.; Locatelli, M. Authenticity assessment and protection of high-quality Nebbiolo-based Italian wines through machine learning. Chemom. Intell. Lab. Syst. 2017, 171, 182–197. [Google Scholar] [CrossRef]
- Kopka, J.; Walther, D.; Allwood, J.W.; Goodacre, R. Progress in Chemometrics and Biostatistics for Plant Applications, or: A Good Red Wine is a Bad White Wine. In Annual Plant Reviews Online; John Wiley & Sons, Ltd.: Chichester, UK, 2018; pp. 317–342. [Google Scholar]







| No. | Sample Type | n | Country | An. Platform | Ion Mode | Type | Research Aim | VP | GO | AP | Polyphenols as Significant Markers | Statistical Analysis | Ref |
|---|---|---|---|---|---|---|---|---|---|---|---|---|---|
| 1 | Wine | 110 | Italy | UPLC-QTOF MS | Pos, neg | NT | LC-MS metabolomic fingerprint of 11 mono-cultivar Italian red wines-metabolomic similarity-dissimilarity study. | X | X | Holistic approach with specific flavonols (Quercetin, Isorhametin) and anthocyanins as markers | PCA | [124] | |
| 2 | Wine | 20 | Poland | UPLC-PDA-MS/MS | Pos, Neg | T | Classification of Red Wines Produced from Zweigelt and Rondo Grape Varieties Based on the Analysis of Phenolic Compounds by UPLC-PDA-MS/MS. | X | X | Anthocyanin mono (malvidin 3-O-glucoside, delphinidin 3-O-glucoside, petunidin 3-O-glucoside)- and di- glucosides (malvidin diglucoside, peonidin diglucoside, delphinidin di glucoside), flavan-3ols | PCA, HCA | [144] | |
| 3 | Wine | 60 | France | UPLC-QTOF-MS | Pos | T | Discrimination of rosé wines with a genetic algorithm and MS ion intensity ratios. | X | Vanillic acid, Peonidin 3-O-acetyl-glucoside-(epi)catechin, Peonidin 3-O-Glucoside and (epi) catechin-ethyl-(epi)catechin isomers | GA, RF, LDA | [146] | ||
| 4 | Wine | 19 | Italy | HPLC -DAD-MS-MS | Pos, Neg | T | Distribution of crown hexameric procyanidin and its tetrameric and pentameric congeners in red and white wines. | X | Ratios between crown and non-cyclic procyanidins | ANOVA, PCA | [148] | ||
| 5 | Grapes | 14 | Italy | HPLC -DAD | − | T | Detection of Intra-Varietal Diversity of Aglianico cv based on differences in the accumulation of secondary metabolites. | X | Total anthocyanins, Total flavonoids, Flavonoids other than anthocyanins, Total flavonoids in seeds, Resveratrol and Flavonols | ANOVA, PCA | [145] | ||
| 6 | Grapes | 14 | Italy | RP-HPLC/DAD | − | T | Phenolic composition of Nebbiolo grape (Vitis vinifera L.) from Piedmont: characterization during ripening of grapes selected in different geographic areas and comparison with Uva Rara and Vespolina cv. | X | Major classes mentioned; Significant differences in Anthocyanin Profile (e.g., Peonidin 3–0 Glucoside) among varieties | ANOVA, PCA, HCPC | [141] | ||
| 7 | Grape wine | 7 | Italy | UPLC-MS and HPLC-DAD | T | A survey of red non-V. vinifera grape metabolites. | X | Anthocyanin mono - and di- glucosides, proanthocyanidins of non-V. vinifera genotypes rich in oligomers and short-chain polymers | PCA | [162] | |||
| 8 | Grapes | 90 | Greece | HPLC-MS | Pos | T | Discrimination of five Greek red grape varieties according to the anthocyanin and proanthocyanidin profiles of their skins and seeds. | X | Selected skin anthocyanins and proanthocyanidins | ANOVA, PCA | [66] | ||
| 9 | Wine | 45 | Italy | UPLC–QTOF MS | Pos | NT | The effect of storage conditions on the metabolite content of red wines. | X | Holistic approach, identified phenolic compounds: Quercetin, catechin, malvidin 3-glucoside and pyranomalvidin 3-glucoside | PCA, OPLS-DA | [156] | ||
| 10 | Wines | 62 | Romania | HPLC-DAD | − | T | Classification of red wines using suitable markers coupled with multivariate statistical analysis. | X | Individual anthocyanins, ratio between anthocyanins to malvidin, ratios between acylated and coumarilated monoglucosides of peonidin and malvidin | LDA | [163] | ||
| 11 | Grape | 3 | Italy | UPLC–QTOF MS | Pos, Neg | T | HRMS metabolomic study of grape chemical markers to reveal use of not-allowed varieties in the production of Amarone and Recioto wines. | X | Dihydroflavonols (laricitrin) and anthocyanin (delphinidin, petunidin) ratios | PCA | [143] | ||
| 12 | Wines | 27 | Argentina | UPLC–QTOF MS | Pos | T | Anthocyanins as markers for the classification of Argentinean wines according to botanical and geographical origin. Chemometric modeling of liquid chromatography–mass spectrometry data. | X | X | Malvidin derived pigments: malvidin-3-O-glu, malvidin-3-(6-O-acetylglucoside), malvidin-3-O-glucoside-4-vinylguaiacol or malvidin-3-(6-O-p- coumaroylglucoside | MCR-ALS D-UPLS | [142] | |
| 13 | Wine | 3 | France | FT-ICR-MS | Electrochemical triggering of the Chardonnay wine metabolome. | X | Catechin, epicatechin, caffeic acid and sulfur-containing compounds | ANOVA | [159] | ||||
| 14 | Wine | 224 | France | NMR | The metabolomic profile of Bordeaux red wines. | X | X | Catechin, epicatechin, caffeic acid, syringic acid, galic acid | OSC-PLS-D, PCA and ANOVA | [160] | |||
| 15 | Wine | 19 | China | NMR | Wine Analysis and Authenticity Using 1H-NMR Metabolomics Data: Application to Chinese Wines. | X | X | Gallic acid, Syringic acid | ANOVA, PCA | [164] | |||
| 16 | Wines | 37 | France | NMR | Wine Authenticity by Quantitative 1H NMR Versus Multitechnique Analysis: A Case Study. | X | X | X | PCA | [161] | |||
| 17 | Wine | 11 | Mexico | NMR | Multivariate spectroscopy for targeting phenolic choreography in wine with A-TEEM TM and 1H NMR crosscheck non-targeted metabolomics. | X | X | Novel rich (poly)-phenolics region around 5.58–8.0 ppm within the 1H-NMR spectra of wine samples | PARAFAC | [155] | |||
| 18 | Grapes | 50 | Italy | NMR | 1H NMR metabolomic study of biodynamic Sangiovese grapes in comparison to organic ones. | X | caffeic and coumaric acids | PCA | [151] | ||||
| 19 | Wine | 2 | China (16) | NMR | 1H NMR Metabolomic study Shanxi Cabernet Sauvignon and Shiraz wines. | X | gallic acid | PCA and PLS-DA | [165] | ||||
| 20 | Wine | 6 | Italy | NMR | Study of effects of area, year and climatic factors on Barbera wine characteristics by the combination of 1H-NMR metabolomics and chemometrics. | X | p-coumaric acid | PCA | [166] |
© 2020 by the authors. Licensee MDPI, Basel, Switzerland. This article is an open access article distributed under the terms and conditions of the Creative Commons Attribution (CC BY) license (http://creativecommons.org/licenses/by/4.0/).
Share and Cite
Tzachristas, A.; Pasvanka, K.; Calokerinos, A.; Proestos, C. Polyphenols: Natural Antioxidants to Be Used as a Quality Tool in Wine Authenticity. Appl. Sci. 2020, 10, 5908. https://doi.org/10.3390/app10175908
Tzachristas A, Pasvanka K, Calokerinos A, Proestos C. Polyphenols: Natural Antioxidants to Be Used as a Quality Tool in Wine Authenticity. Applied Sciences. 2020; 10(17):5908. https://doi.org/10.3390/app10175908
Chicago/Turabian StyleTzachristas, Alexandros, Konstantina Pasvanka, Antony Calokerinos, and Charalampos Proestos. 2020. "Polyphenols: Natural Antioxidants to Be Used as a Quality Tool in Wine Authenticity" Applied Sciences 10, no. 17: 5908. https://doi.org/10.3390/app10175908
APA StyleTzachristas, A., Pasvanka, K., Calokerinos, A., & Proestos, C. (2020). Polyphenols: Natural Antioxidants to Be Used as a Quality Tool in Wine Authenticity. Applied Sciences, 10(17), 5908. https://doi.org/10.3390/app10175908

