Mineral Carbonation of CO2 in Mafic Plutonic Rocks, II—Laboratory Experiments on Early-Phase Supercritical CO2‒Brine‒Rock Interactions
Abstract
1. Introduction
2. Background on Mineral Carbonation Experiments and Tests
3. Methodology
- Exposure of the specimens to CO2 supersaturated brine at selected conditions (supercritical CO2: 8 MPa and 40 °C) in the autoclave (Figure 1 and Figure 2c): (a) Stage 1—CO2 pressurized injection (3 h); (b) Stage 2—CO2 pressurized stabilization (1, 4, 16 and 64 days) and (c) Stage 3 CO2—pressure release (3 h).
- Upon conclusion of the laboratory experiments in Step 3, mineralogical, textural and chemical characterization of specimens and brine chemical analysis were conducted.
- Geochemical modelling of the mineral carbonation experiments using CrunchFlow.
- Interpretation of results and correlation of experimental and modelling data.
3.1. Materials
3.2. Experimental Procedure (Autoclave)
3.3. Material Characterization
3.4. Geochemical Modelling
3.4.1. Code Descriptions and Capabilities
3.4.2. Input Conditions for Rock and Fluid Composition
4. Results
4.1. Petrographic and Chemical Characterisation of Rocks before and after SC CO2 Exposure
4.2. Brine Evolution
4.3. Geochemical Modelling of Experiments with Cumulate Gabbro
4.3.1. Outlet Solution Composition
4.3.2. Minerals’ Dissolution and Precipitation
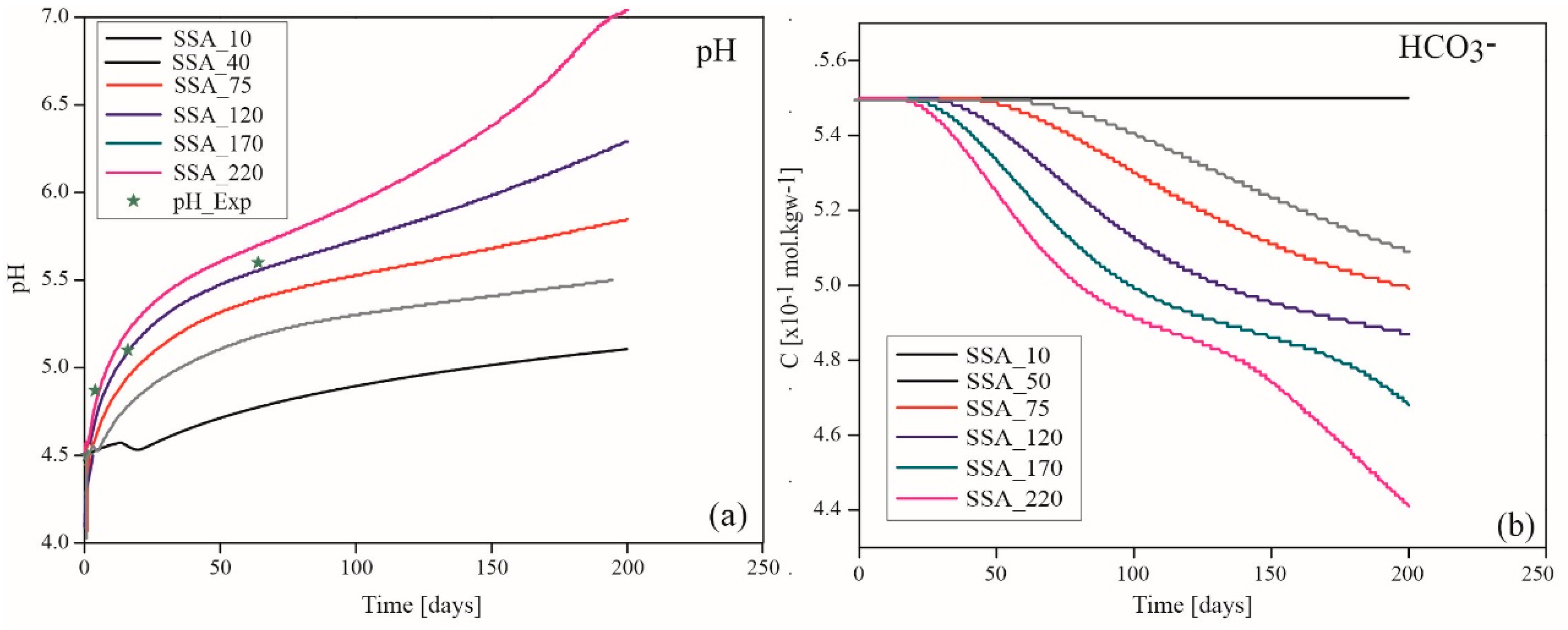
5. Discussion
5.1. Experimental Results
- In the case of CG, the Ca2+ concentration measured in the brine shows a decrease after each run. This decrease in Ca2+ is not described elsewhere [14,25]. On the contrary, and in line with the behavior of Mg2+ and total Fe, what is generally described is an increase in its concentration. This was also observed with the GD experiments.
- The Ca2+ (aqueous) decrease can be explained by the high content of this ion in the initial brine. Under the experimental conditions, Ca2+ should be consumed when forming secondary minerals (Ca‒Al‒Si; calcium aluminum silicates), as predicted by the modelling. The hypothesis that precipitation of gypsum within the autoclave could account for the Ca2+ decrease should be discarded, since the sulphate ion concentration is not sufficiently high. Modelling results indicate that for gypsum to precipitate the sulphate concentration should be at least double.
- The 0.4 wt. % increase in CaO in the total rock composition after a 64-day run seems to reflect not only its incorporation in the structure of Al‒silicates but also the crystallization of gypsum during the drying process, after concluding the run.
- Increases of iron and magnesium in solution are in accordance with the decrease, albeit reduced, of these elements (0.4 wt. % FeO and 0.1 wt. % MgO) in the whole rock composition after 64 days. These observations are also in agreement with the textural observations, where the Fe‒Mg mineral phases are the first to react with acidified brine, releasing these components into the solution.
5.2. Numerical Simulation and Correlation with Experimental Results
6. Conclusions
Supplementary Materials
Author Contributions
Funding
Acknowledgments
Conflicts of Interest
References
- IEA. Energy Technology Perspectives 2017: Catalysing Energy Technology Transformations; IEA/OECD, Ed.; IEA: Paris, France, 2017; p. 443. [Google Scholar] [CrossRef]
- Bachu, S. Sequestration of CO2 in geological media: Criteria and approach for site selection in response to climate change. Energy Convers. Manag. 2000, 41, 953–970. [Google Scholar] [CrossRef]
- Benson, S.M.; Cole, D.R. CO2 Sequestration in Deep Sedimentary Formations. Elements 2008, 4, 325–331. [Google Scholar] [CrossRef]
- Sayegh, S.; Krause, F.; Girard, M.; DeBree, C. Rock/Fluid Interactions of Carbonated Brines in a Sandstone Reservoir: Pembina Cardium, Alberta, Canada. SPE Form. Eval. 1990, 5, 399–405. [Google Scholar] [CrossRef]
- Izgec, O.; Demiral, B.; Bertin, H.; Akin, S. CO2 injection into saline carbonate aquifer formations I: Laboratory investigation. Transp. Porous Media 2008, 72, 1–24. [Google Scholar] [CrossRef]
- Gaus, I. Role and impact of CO2-rock interactions during CO2 storage in sedimentary rocks. Int. J. Greenh. Gas Control 2010, 4, 73–89. [Google Scholar] [CrossRef]
- Saeedi, A.; Rezaee, R.; Evans, B.; Clennell, B. Multiphase flow behaviour during CO2 geo-sequestration: Emphasis on the effect of cyclic CO2–brine flooding. J. Pet. Sci. Eng. 2011, 79, 65–85. [Google Scholar] [CrossRef]
- Klein, F.; McCollom, T. From serpentinization to carbonation: New insights from a CO2 injection experiment. Earth Planet. Sci. Lett. 2013, 379, 137–145. [Google Scholar] [CrossRef]
- Druckenmiller, M.L.; Maroto-Valer, M.M. Carbon sequestration using brine of adjusted pH to form mineral carbonates. Fuel Process. Technol. 2005, 86, 1599–1614. [Google Scholar] [CrossRef]
- McGrail, B.P.; Spane, F.A.; Amonette, J.E.; Thompson, C.R.; Brown, C.F. Injection and Monitoring at the Wallula Basalt Pilot Project. Energy Procedia 2014, 63, 2939–2948. [Google Scholar] [CrossRef]
- Pedro, J.; Araújo, A.A.; Moita, P.; Beltrame, M.; Lopes, L.; Chambel, A.; Berrezueta, E.; Carneiro, J. Mineral carbonation of CO2 in Mafic Plutonic Rocks, I – Screening criteria and application to a case study in SW Portugal. Appl. Sci. 2020, 10, 4879. [Google Scholar] [CrossRef]
- Rosenbauer, R.; Koksalan, T.; Palandri, J. Experimental investigation of CO2-brine-rock interactions at elevated temperature and pressure: Implications for CO2 sequestration in deep-saline aquifers. Fuel Process. Technol. 2005, 86, 1581–1597. [Google Scholar] [CrossRef]
- Liu, Q.; Maroto-Valer, M. Investigation of the pH effect of a typical host rock and buffer solution on CO2 sequestration in synthetic brines. Fuel Process. Technol. 2010, 91, 1321–1329. [Google Scholar] [CrossRef]
- Andreani, M.; Luquot, L.; Gouze, P.; Godard, M.; Hoisé, E.; Gibert, B. Experimental Study of Carbon Sequestration Reactions Controlled by the Percolation of CO2-Rich Brine through Peridotites. Environ. Sci. Technol. 2009, 43, 1226–1231. [Google Scholar] [CrossRef]
- Romão, I.S.; Gando-Ferreira, L.M.; da Silva, M.M.V.G.; Zevenhoven, R. CO2 sequestration with serpentinite and metaperidotite from Northeast Portugal. Miner. Eng. 2016, 94, 104–114. [Google Scholar] [CrossRef]
- Duan, Z.; Sun, R. An improved model calculating CO2 solubility in pure water and aqueous NaCl solutions from 273 to 533 K and from 0 to 2000 bar. Chem. Geol. 2003, 193, 257–271. [Google Scholar] [CrossRef]
- Chizmeshya, A.V.G.; McKelvy, M.J.; Squires, K.; Carpenter, R.W.; Bearat, H. A Novel Approach to Mineral Carbonation: Enhancing Carbonation While Avoiding Mineral Pretreatment Process Cost; Arizona State Univ: Tempe, AZ, USA, 2007. [Google Scholar] [CrossRef]
- Daval, D.; Martinez, I.; Corvisier, J.; Findling, N.; Goffé, B.; Guyot, F. Carbonation of Ca-bearing silicates, the case of wollastonite: Experimental investigations and kinetic modeling. Chem. Geol. 2009, 265, 63–78. [Google Scholar] [CrossRef]
- Daval, D.; Sissmann, O.; Menguy, N.; Saldi, G.D.; Guyot, F.; Martinez, I.; Corvisier, J.; Garcia, B.; Machouk, I.; Knauss, K.G.; et al. Influence of amorphous silica layer formation on the dissolution rate of olivine at 90 °C and elevated pCO2. Chem. Geol. 2011, 284, 193–209. [Google Scholar] [CrossRef]
- Sissmann, O.; Daval, D.; Brunet, F.; Guyot, F.; Verlaguet, A.; Pinquier, Y.; Findling, N.; Martinez, I. The deleterious effect of secondary phases on olivine carbonation yield: Insight from time-resolved aqueous-fluid sampling and FIB-TEM characterization. Chem. Geol. 2013, 357, 186–202. [Google Scholar] [CrossRef]
- O.´Connor, W.; Dahlin, D.; Nilsen, D.; Rush, G.E.; Walters, R.; Turner, P. Carbon Dioxide Sequestration by Direct Mineral Carbonation: Results from Recent Studies and Current Status. In Proceedings of the First National Conference on Carbon Sequestration, Washington, DC, USA, 14–17 May 2001. [Google Scholar]
- Béarat, H.; McKelvy, M.J.; Chizmeshya, A.V.G.; Gormley, D.; Nunez, R.; Carpenter, R.W.; Squires, K.; Wolf, G.H. Carbon Sequestration via Aqueous Olivine Mineral Carbonation: Role of Passivating Layer Formation. Environ. Sci. Technol. 2006, 40, 4802–4808. [Google Scholar] [CrossRef]
- Gerdemann, S.J.; O’Connor, W.K.; Dahlin, D.C.; Penner, L.R.; Rush, H. Ex Situ Aqueous Mineral Carbonation. Environ. Sci. Technol. 2007, 41, 2587–2593. [Google Scholar] [CrossRef]
- Soong, Y.; Fauth, D.L.; Howard, B.H.; Jones, J.R.; Harrison, D.K.; Goodman, A.L.; Gray, M.L.; Frommell, E.A. CO2 sequestration with brine solution and fly ashes. Energy Convers. Manag. 2006, 47, 1676–1685. [Google Scholar] [CrossRef]
- Gysi, A.P.; Stefánsson, A. CO2-water-basalt interaction. Low temperature experiments and implications for CO2 sequestration into basalts. Geochim. Cosmochim. Acta 2012, 81, 129–152. [Google Scholar] [CrossRef]
- Alfredsson, H.A.; Oelkers, E.H.; Hardarsson, B.S.; Franzson, H.; Gunnlaugsson, E.; Gislason, S.R. The geology and water chemistry of the Hellisheidi, SW-Iceland carbon storage site. Int. J. Greenh. Gas Control 2013, 12, 399–418. [Google Scholar] [CrossRef]
- Matter, J.M.; Stute, M.; Snaebjornsdottir, S.O.; Oelkers, E.H.; Gislason, S.R.; Aradottir, E.S.; Sigfusson, B.; Gunnarsson, I.; Sigurdardottir, H.; Gunnlaugsson, E.; et al. Rapid carbon mineralization for permanent disposal of anthropogenic carbon dioxide emissions. Science 2016, 352, 1312–1314. [Google Scholar] [CrossRef]
- Kaszuba, J.; Janecky, D.; Snow, M. Carbon dioxide reaction processes in a model brine aquifer at 200°C and 200 bars: Implications for geologic sequestration of carbon. Appl. Geochem. 2003, 18, 1065–1080. [Google Scholar] [CrossRef]
- Peuble, S.; Godard, M.; Luquot, L.; Andreani, M.; Martinez, I.; Gouze, P. CO2 geological storage in olivine rich basaltic aquifers: New insights from reactive-percolation experiments. Appl. Geochem. 2015, 52, 174–190. [Google Scholar] [CrossRef]
- Peuble, S.; Godard, M.; Gouze, P.; Leprovost, R.; Martinez, I.; Shilobreeva, S. Control of CO2 on flow and reaction paths in olivine-dominated basements: An experimental study. Geochim. Cosmochim. Acta 2019, 252, 16–38. [Google Scholar] [CrossRef]
- McGrail, B.P.; Schaef, H.T.; Ho, A.M.; Chien, Y.J.; Dooley, J.J.; Davidson, C.L. Potential for carbon dioxide sequestration in flood basalts. J. Geophys. Res. Solid Earth 2006, 111, B12. [Google Scholar] [CrossRef]
- Schaef, H.T.; McGrail, B.P. Dissolution of Columbia River Basalt under mildly acidic conditions as a function of temperature: Experimental results relevant to the geological sequestration of carbon dioxide. Appl. Geochem. 2009, 24, 980–987. [Google Scholar] [CrossRef]
- Kanakiya, S.; Adam, L.; Esteban, L.; Rowe, M.C.; Shane, P. Dissolution and secondary mineral precipitation in basalts due to reactions with carbonic acid. J. Geophys. Res. Solid Earth 2017, 122, 4312–4327. [Google Scholar] [CrossRef]
- André, L.; Audigane, P.; Azaroual, M.; Menjoz, A. Numerical modeling of fluid–rock chemical interactions at the supercritical CO2–liquid interface during CO2 injection into a carbonate reservoir, the Dogger aquifer (Paris Basin, France). Energy Convers. Manag. 2007, 48, 1782–1797. [Google Scholar] [CrossRef]
- Gaus, I.; Audigane, P.; Andre, L.; Lions, J.; Jacquemet, N.; Dutst, P.; Czernichowski-Lauriol, I.; Azaroual, M. Geochemical and solute transport modelling for CO2 storage, what to expect from it? Int. J. Greenh. Gas Control 2008, 2, 605–625. [Google Scholar] [CrossRef]
- Berrezueta, E.; González-Menéndez, L.; Breitner, D.; Luquot, L. Pore system changes during experimental CO2 injection into detritic rocks: Studies of potential storage rocks from some sedimentary basins of Spain. Int. J. Greenh. Gas Control 2013, 17, 411–422. [Google Scholar] [CrossRef]
- Luquot, L.; Gouze, P. Experimental determination of porosity and permeability changes induced by injection of CO2 into carbonate rocks. Chem. Geol. 2009, 265, 148–159. [Google Scholar] [CrossRef]
- Tarkowski, R.; Wdowin, M.; Manecki, M. Petrophysical examination of CO2-brine-rock interactions—results of the first stage of long-term experiments in the potential Zaosie Anticline reservoir (central Poland) for CO2 storage. Environ. Monit. Assess. 2014, 187, 4215. [Google Scholar] [CrossRef]
- Berrezueta, E.; Ordoñez Casado, B.; Quintana, L. Qualitative and quantitative changes in detrital reservoir rocks caused by CO2 – brine – rock interactions during first injection phases (Utrillas sandstones, northern Spain). Solid Earth 2016, 7, 37–53. [Google Scholar] [CrossRef]
- Lake, L.W. Enhanced Oil Recovery; Prentice Hall: Englewood Cliffs, NJ, USA, 1989. [Google Scholar]
- Span, R.; Wagner, W. A New Equation of State for Carbon Dioxide Covering the Fluid Region from the Triple-Point Temperature to 1100 K at Pressures up to 800 MPa. J. Phys. Chem. Ref. Data 1996, 25, 1509–1596. [Google Scholar] [CrossRef]
- Holloway, S. An overview of the underground disposal of carbon dioxide. Energy Convers. Manag. 1997, 38, S193–S198. [Google Scholar] [CrossRef]
- Georgiou, C.D.; Sun, H.J.; McKay, C.P.; Grintzalis, K.; Papapostolou, I.; Zisimopoulos, D.; Panagiotidis, K.; Zhang, G.; Koutsopoulou, E.; Christidis, G.E.; et al. Evidence for photochemical production of reactive oxygen species in desert soils. Nat. Commun. 2015, 6, 7100. [Google Scholar] [CrossRef]
- Beltrame, M.; Liberato, M.; Mirão, J.; Santos, H.; Barrulas, P.; Branco, F.; Gonçalves, L.; Candeias, A.; Schiavon, N. Islamic and post Islamic ceramics from the town of Santarém (Portugal): The continuity of ceramic technology in a transforming society. J. Archaeol. Sci. Rep. 2019, 23, 910–928. [Google Scholar] [CrossRef]
- Steefel, C.; Lasaga, A. A Coupled Model for Transport of Multiple Chemical-Species and Kinetic Precipitation Dissolution Reactions with Application to Reactive Flow in Single-Phase Hydrothermal Systems. Am. J. Sci. 1994, 294, 529–592. [Google Scholar] [CrossRef]
- Steefel, C.I. CrunchFlow Software for Modeling Multicomponent Reactive Flow and Transport; User’s Manual; Earth Sciences Division, Lawrence Berkeley, National Laboratory: Berkeley, CA, USA, 2009; pp. 12–91. [Google Scholar]
- Steefel, C.; Appelo, T.; Arora, B.; Jacques, D.; Kalbacher, T.; Kolditz, O.; Lagneau, V.; Lichtner, P.; Mayer, K.; Meeussen, J.; et al. Reactive transport codes for subsurface environmental simulation. Comput. Geosci 2014, 19. [Google Scholar] [CrossRef]
- Lasaga, A.C. Rate laws of chemical reactions. In kinetics of geochemical processes; Lasaga, A., Kirkpatrick, R., Eds.; Mineralogical Society of America: Washington DC, USA, 1981; Volume 8, pp. 1–68. [Google Scholar]
- Lasaga, A. Chemical Kinetics of Water-Rock Interaction. J. Geophys. Res. 1984, 89, 4009–4025. [Google Scholar] [CrossRef]
- Aagaard, P.; Helgeson, H.C. Thermodynamic and kinetic constraints on reaction rates among minerals and aqueous solutions; I, Theoretical considerations. Am. J. Sci. 1982, 282, 237–285. [Google Scholar] [CrossRef]
- Canilho, M.H. Elementos de geoquímica do maciço ígneo de Sines; Ciências da Terra UNL: Caparica, Portugal, 1989; pp. 65–80. [Google Scholar]
- Palandri, J.; Kharaka, Y. A Compilation of Rate Parameters of Water-Mineral. Interaction Kinetics for Application to Geochemical Modeling; Geological Survey: Reston, VA, USA, 2004; p. 71. [Google Scholar]
- Xu, T.; Apps, J.A.; Pruess, K. Numerical simulation of CO2 disposal by mineral trapping in deep aquifers. Appl. Geochem. 2004, 19, 917–936. [Google Scholar] [CrossRef]
- Geloni, C.; Giorgis, T.; Battistelli, A. Modeling of Rocks and Cement Alteration due to CO2 Injection in an Exploited Gas Reservoir. Transp. Porous Media 2011, 90, 183–200. [Google Scholar] [CrossRef]
- Gysi, A.P.; Stefánsson, A. CO2–water–basalt interaction. Numerical simulation of low temperature CO2 sequestration into basalts. Geochim. Cosmochim. Acta 2011, 75, 4728–4751. [Google Scholar] [CrossRef]
- Geloni, C.; Giorgis, T.; Biagi, S.; Previde Massara, E.; Battistelli, A. Modeling of Well Bore Cement Alteration as a Consequence of CO2 Injection in an Exploited Gas Reservoir. In Proceedings of the 5th Meeting of the Wellbore Integrity Network, Calgary, AB, Canada, 12–13 May 2009. [Google Scholar]
- Koenen, M.; Wasch, L. Reactive Surface Area in Geochemical Models-Lessons Learned from a Natural Analogue. In Proceedings of the Second EAGE Sustainable Earth Sciences (SES) Conference and Exhibition, Pau, France, 30 September–4 October 2013. [Google Scholar]
- Wolery, T.J.; Jackson, K.J.; Bourcier, W.L.; Bruton, C.J.; Viani, B.E.; Knauss, K.G.; Delany, J.M. Current Status of the EQ3/6 Software Package for Geochemical Modeling. In Chemical Modeling of Aqueous Systems II; American Chemical Society: Washington, DC, USA, 1990; Volume 416, pp. 104–116. [Google Scholar]
- Helgeson, H.C.; Garrels, R.M.; MacKenzie, F.T. Evaluation of irreversible reactions in geochemical processes involving minerals and aqueous solutions—II. Applications. Geochim. Cosmochim. Acta 1969, 33, 455–481. [Google Scholar] [CrossRef]
- Moita, P.; Berrezueta, E.; Pedro, J.; Miguel, C.; Beltrame, M.; Galacho, C.; Mirão, J.; Araújo, A.; Lopes, L.; Carneiro, J. Experiments on mineral carbonation of CO2 in gabbro’s from the Sines massif-first results from project InCarbon. Comunicações Geológicas 2020, 107, 91–96. [Google Scholar]
- Wells, R.K.; Xiong, W.; Giammar, D.; Skemer, P. Dissolution and surface roughening of Columbia River flood basalt at geologic carbon sequestration conditions. Chem. Geol. 2017, 467, 100–109. [Google Scholar] [CrossRef]
- Dávila, G.; Luquot, L.; Soler, J.M.; Cama, J. 2D reactive transport modeling of the interaction between a marl and a CO2-rich sulfate solution under supercritical CO2 conditions. Int. J. Greenh. Gas Control 2016, 54, 145–159. [Google Scholar] [CrossRef]









| Experiment | Sample | Samples of 27 cm3 | Samples of 27/2 cm3 | Samples of 1 cm3 | Brine (cm3) | CO2 (cm3) | Run (Days) |
|---|---|---|---|---|---|---|---|
| 1 | Cumulate gabbro (CG) | 7 | 2 | 1 | 600 | 1184 | 1, 4, 16, 64 |
| 2 | Gabbro-diorite (GD) | 15 | 2 | 1 | 1350 | 218 | 1, 4, 16, 64 |
| Rock Composition | Vol. Fraction (%) | 10 cm2/g | 75 cm2/g | 120 cm2/g | 170 cm2/g | 220 cm2/g |
|---|---|---|---|---|---|---|
| Reactive Surface Area (m2/m3) (or Ainitial) | ||||||
| Albite, NaAlSi3O8) Anorthite, CaAl2Si2O8 Diopside, CaMgSi2O6 Forsterite, Mg2SiO4 Fayalite, Fe2SiO4 Enstatite, MgSiO3 Ferrosilite, FeSiO3 | 0.35 3.25 10.8 2.42 2.21 0.56 0.41 | 9.15 88.32 3.53 × 102 77.1 96.63 19.97 16.0 | 68.65 6.62 × 102 2.64 × 103 5.78 × 102 7.24 × 102 1.34 × 102 1.2 × 102 | 1.09 × 102 1.06 × 103 4.23 × 103 9.25 × 102 1.16 × 102 2.15 × 102 1.92 × 102 | 1.55 × 102 1.5 × 103 5.9 × 103 1.31 × 103 1.64 × 103 3.05 × 102 2.72 × 102 | 2.01 × 102 1.94 × 103 7.76 × 103 1.69 × 103 2.12 × 103 3.95 × 102 3.52 × 102 |
| Φ (brine fraction) | 80 | |||||
| Total | 100 | |||||
| Components | (mg kgw−1) | (mol kgw−1) |
|---|---|---|
| Ca2+ | 2050 | 5.12 × 10−2 |
| Mg2+ | 560 | 2.33 × 10−2 |
| Fe2+ | 5.16 | 1.01 × 10−4 |
| SiO2(aq) | 11.5 | 1.55 × 10−4 |
| K+ | 260 | 6.64 × 10−3 |
| Na+ | 85,450 | 3.7 |
| SO42− | 5400 | 5.62 × 10−2 |
| Cl−1 | 133,500 | 3.56 |
| Sample/Days | Clinopyroxene | Amphibole | Plagioclase | Clinochlore | Vermiculite | Talc | Mica | Olivine | Halite | Rutile | Ilmenite | Magnetite | |
|---|---|---|---|---|---|---|---|---|---|---|---|---|---|
| Experiment 1 | CG_0 | 32 | 24 | 13 | 4 | 2 | 5 | 2 | |||||
| CG_1 | 38 | 28 | 17 | 4 | Tr | 3 | 8 | 1 | 2 | ||||
| CG_4 | 26 | 29 | 24 | 4 | Tr | Tr | 3 | 10 | 1 | 2 | |||
| CG_16 | 37 | 21 | 21 | 3 | Tr | Tr | 2 | 12 | 1 | 2 | |||
| CG_64 | 34 | 24 | 26 | 3 | Tr | Tr | 2 | 8 | 1 | 2 | |||
| Experiment 2 | GD_0 | 16 | 4 | 69 | Tr | 6 | 3 | 3 | |||||
| GD_1 | 12 | 4 | 73 | 1 | Tr | 5 | 1 | 1 | 2 | ||||
| GD_4 | 12 | 4 | 73 | 1 | Tr | Tr | 5 | 1 | 1 | 2 | |||
| GD_16 | 10 | 5 | 73 | 1 | Tr | Tr | 5 | 1 | 1 | 1 | 1 | ||
| GD_64 | 16 | 4 | 69 | 2 | Tr | 4 | 2 | 1 | 1 |
| CG 0 (wt. %) | Stat. Error | CG 64 (wt. %) | Stat. Error | GD 0 (wt. %) | Stat. Error | GD 64 (wt. %) | Stat. Error | |
|---|---|---|---|---|---|---|---|---|
| SiO2 | 42.30 | ± 0.0344 | 42.20 | ± 0.0345 | 49.00 | ± 0.0356 | 49.50 | ± 0.0356 |
| TiO2 | 3.34 | ± 0.0175 | 3.20 | ± 0.0175 | 3.26 | ± 0.0176 | 3.16 | ± 0.0176 |
| Al2O3 | 9.40 | ± 0.0295 | 9.50 | ± 0.0300 | 16.20 | ± 0.0368 | 16.40 | ± 0.0369 |
| Fe2O3 | 15.50 | ± 0.0133 | 15.10 | ± 0.0135 | 11.20 | ± 0.0115 | 10.90 | ± 0.0115 |
| P2O5 | 0.28 | ± 0.00427 | 0.34 | ± 0.00439 | 0.85 | ± 0.00506 | 0.74 | ± 0.00494 |
| MnO | 0.40 | ± 0.005 | 0.40 | ± 0.005 | 0.32 | ± 0.005 | 0.31 | ± 0.005 |
| MgO | 12.90 | ± 0.0506 | 12.80 | ± 0.0503 | 4.48 | ± 0.0349 | 4.27 | ± 0.0344 |
| CaO | 12.70 | ± 0.0428 | 13.10 | ± 0.0444 | 8.33 | ± 0.0375 | 7.91 | ± 0.0371 |
| BaO | 0.23 | ± 0.013 | 0.20 | ± 0.013 | 0.28 | ± 0.013 | 0.27 | ± 0.013 |
| Na2O | 0.84 | ± 0.0519 | 0.88 | ± 0.0512 | 3.46 | ± 0.0607 | 3.59 | ± 0.0612 |
| K2O | 0.19 | ± 0.0345 | 0.23 | ± 0.0356 | 1.42 | ± 0.0395 | 1.42 | ± 0.0396 |
| S | 0.19% | ± 0.00172 | 0.24% | ± 0.00178 | 0.15% | ± 0.00162 | 0.23% | ± 0.00174 |
| LOI | 0.89 | 0.95% | 0.03% | 0.25% | ||||
| total | 99.17 | 99.14% | 98.98% | 98.95% | ||||
| (ppm) | (ppm) | (ppm) | (ppm) | |||||
| Rb | 9 | ± 2.08 | 10 | ± 2.14 | 40 | ± 2.24 | 39 | ± 2.27 |
| Sr | 286 | ± 2.57 | 313 | ± 2.67 | 748 | ± 3.09 | 763 | ± 3.13 |
| Y | 15 | ± 2.30 | 15 | ± 2.37 | 34 | ± 2.46 | 35 | ± 2.49 |
| Zr | 80 | ± 2.82 | 74 | ± 2.90 | 199 | ± 3.14 | 208 | ± 3.19 |
| Nb | 20 | ± 2.52 | 14 | ± 2.60 | 62 | ± 2.65 | 65 | ± 2.68 |
| Th | 9 | ± 2.94 | 13 | ± 3.02 | 10 | ± 3.10 | 10 | ± 3.15 |
| Cr | 478 | ± 29.0 | 526 | ± 30.5 | 20 | ± 25.4 | 65 | ± 25.9 |
| Co | 198 | ± 5.65 | 198 | ± 5.76 | 139 | ± 5.02 | 134 | ± 5.00 |
| Ni | 117 | ± 4.12 | 135 | ± 4.29 | 7 | ± 3.42 | 14 | ± 3.54 |
| Cu | 62 | ± 4.82 | 64 | ± 4.91 | 42 | ± 4.88 | 49 | ± 5.01 |
| Zn | 103 | ± 6.07 | 100 | ± 6.19 | 108 | ± 6.37 | 101 | ± 6.26 |
| Ga | 14 | ± 4.30 | 15 | ± 4.41 | 25 | ± 4.67 | 19 | ± 4.70 |
| As | 7 | ± 4.29 | 2 | ± 4.39 | 8 | ± 4.53 | 10 | ± 4.61 |
| Pb | 0 | ± 0 | 2 | ± 16.7 | 12 | ± 17.2 | 0 | ± 0 |
| Sn | 7 | ± 27.3 | 0 | ± 0 | 0 | ± 0 | 13 | ± 28.0 |
| V | 479 | ± 68.0 | 505 | ± 68.9 | 323 | ± 68.0 | 249 | ± 67.8 |
| U | 0 | ± 0.209 | 1 | ± 0.215 | 2 | ± 0.221 | 2 | ± 0.225 |
| Cl | 43 | ± 0.364 | 54 | ± 0.371 | 53 | ± 0.359 | 70 | ± 0.383 |
| Pure Brine (mg/L) | Brine Post Test (mg/L) | Brine Post Test (mg/L) | Brine Post Test (mg/L) | Brine Post Test (mg/L) | |
|---|---|---|---|---|---|
| 0 Days | 1 Day | 4 Days | 16 Days | 64 Days | |
| Na+ | 85.45 × 103 ± 11.96 × 103 | 67.11 × 103 ± 93.96 × 103 | 86.02 × 103 ± 12.04 × 103 | 84.05 × 103 ± 11.77 × 103 | 79.68 × 103 ± 11.16 × 103 |
| K+ | 260 ± 31 | 260 ± 31 | 305 ± 37 | 310 ± 37 | 415 ± 50 |
| Mg2+ | 560 ± 100 | 590 ± 106 | 590 ± 106 | 610 ± 109 | 680 ± 122 |
| Ca2+ | 2050 ± 205 | 1900 ± 190 | 1890± 189 | 1860 ± 186 | 1650 ± 165 |
| SO42− | 5400 ± 756 | 5400 ± 756 | 5600 ± 784 | 5700 ± 798 | 5300 ± 742 |
| Cl− | 13.35 × 104 ± 1.6 × 104 | 10.40 × 104 ± 1.3 × 104 | 13.30104 ± 1.6 × 104 | 12.40 × 104 ± 1.5 × 104 | 11.90 × 104 ± 1.4 × 104 |
| HCO−3 | 40 ± 4.0 | 35 ± 3.5 | 38 ± 3.8 | 35 ± 3.5 | 33 ± 3.3 |
| Fe (total) | 5.2 ± 0.3 | 6 ± 0.3 | 11.3 ± 0.6 | 18.9 ± 0.9 | 26.4 ± 1.3 |
| NO−3 | 0 | 0 | 0 | 0 | 0 |
| SiO2 | 11.5 ± 1.2 | 20 ± 2.8 | 24.9 ± 3.5 | 39 ± 5.5 | 37 ± 5.2 |
| pH (pH Unit.) | 6.9 ± 0.2 | 4.5 ± 0.1 | 4.9 ± 0.1 | 5.1 ± 0.2 | 5.5 ± 0.2 |
| Cond (mS/cm) | 80,000 | 85,000 | 80,000 | 75,000 | 75,000 |
| Pure Brine (mg/L) | Brine Post Test (mg/L) | Brine Post Test (mg/L) | Brine Post Test (mg/L) | Brine Post Test (mg/L) | |
|---|---|---|---|---|---|
| 0 Days | 1 Day | 4 Days | 16 Days | 64 Days | |
| Na+ | 87.61 × 103 ± 12.26 × 103 | 10.25 × 103 ± 14.35 × 103 | 99.72 × 103 ± 13.96 × 103 | 10.70 × 103 ± 14.98 × 103 | 78.54 × 103 ± 11.00 × 103 |
| K+ | 235 ± 28.2 | 250± 30 | 240 ± 28.8 | 270 ± 32.4 | 275 ± 33 |
| Mg2+ | 580 ± 116 | 560 ± 112 | 560 ± 112 | 580 ± 116 | 600 ± 120 |
| Ca2+ | 1520 ± 152 | 1640 ± 164 | 1680 ± 168 | 1660 ± 166 | 1650 ± 165 |
| SO42− | 6900 ± 966 | 7200 ± 1008 | 7300 ± 1022 | 7600 ± 1064 | 6400 ± 896 |
| Cl− | 9.70 × 104 ± 1.2 × 104 | 11.70 × 104 ± 1.4 × 104 | 12.70 × 104 ± 1.5 × 104 | 11.20 × 104 ± 1.3 × 104 | 11.10 × 104 ± 1.3 × 104 |
| HCO−3 | 40 ± 4 | 40 ± 4 | 50 ± 5 | 110 ± 11 | 100 ± 10 |
| NO−3 | 0 | 0 | 0 | 0 | 0 |
| SiO2 | 8 ± 0.8 | 10 ± 1 | 39 ± 3.9 | 59 ± 5.9 | 19 ± 1.9 |
| pH (pH Unit.) | 7 ± 0.2 | 5 ± 0.2 | 5.2 ± 0.2 | 5.4 ± 0.2 | 5.6 ± 0.2 |
| Cond. (mS/cm) | 80,000 | 77,500 | 77,000 | 77,000 | 80,000 |
| Primary Minerals | Reaction Rate (mol·L−1·s−1) | Secondary Minerals | Reaction Rate (mol·L−1·s−1) |
|---|---|---|---|
| Albite | 2.77 × 10−11 | Siderite | 4.13 × 10−9 |
| Anorthite | −1.08 × 10−9 | Calcite | 5.01 × 10−10 |
| Fayalite | −1.24 × 10−10 | Magnesite | 4.01 × 10−10 |
| Forsterite | −1.64 × 10−10 | Ca_zeolites | 2.41 × 10−10 |
| Enstatite | −1.73 × 10−10 | Ankerite | 8.58 × 10−11 |
| Diopside | −6.48 × 10−11 | Dolomite | 4.84 × 10−11 |
| Ferrosilite | −2.57 × 10−14 | Smectite | 1.31 × 10−12 |
| Kaolinite | 5.37 × 10−15 | ||
| SiO2 | 2.14 × 10−16 | ||
| 0 days | 1 Day | 4 Days | 16 Days | 64 Days | |
|---|---|---|---|---|---|
| Primary Phases | Secondary Phases | ||||
| Modelling | Clinopyroxene (52) Orthopyroxene (1.2) Olivine (10) Plagioclase (11) | Kaolinite (2.07 × 10−5) Ca-zeolites (2.82 × 10−3) | SiO2 am. (2.13 × 10−6) Kaolinite (2.4 × 10−5) Ca-zeolites (4.16 × 10−3) | Calcite (4.8 × 10−5) Dolomite (5.28 × 10−6) SiO2 am (5.92 × 10−6) Kaolinite (2.42 × 10−5) Ca-zeolites (4.36 × 10−3) | Smectite (2.13 × 10−6) Calcite (8.85 × 10−2) Dolomite (8.32 × 10−4) Magnesite (5.92 × 10−5) Siderite (2.17 × 10−4) Ankerite (3.95 × 10−4) Ca-zeolites (5.54 × 10−2) SiO2 am. (1.31 × 10−5) Kaolinite (2.75 × 10−5) |
| Experimental | Clinopyroxene (45–55) Olivine (15–20) Amphibole (10–15) Plagioclase (5–10) Ilmenite (5) | Gypsum (SEM-EDS) Halite (XRD + SEM-EDS) | Gypsum (SEM-EDS) Halite (SEM-EDS) | Gypsum (SEM-EDS) Halite (SEM-EDS) | Smectite (GXRD) Gypsum (GXRD + SEM-EDS) Halite (GXRD + SEM-EDS) |
© 2020 by the authors. Licensee MDPI, Basel, Switzerland. This article is an open access article distributed under the terms and conditions of the Creative Commons Attribution (CC BY) license (http://creativecommons.org/licenses/by/4.0/).
Share and Cite
Moita, P.; Berrezueta, E.; Abdoulghafour, H.; Beltrame, M.; Pedro, J.; Mirão, J.; Miguel, C.; Galacho, C.; Sitzia, F.; Barrulas, P.; et al. Mineral Carbonation of CO2 in Mafic Plutonic Rocks, II—Laboratory Experiments on Early-Phase Supercritical CO2‒Brine‒Rock Interactions. Appl. Sci. 2020, 10, 5083. https://doi.org/10.3390/app10155083
Moita P, Berrezueta E, Abdoulghafour H, Beltrame M, Pedro J, Mirão J, Miguel C, Galacho C, Sitzia F, Barrulas P, et al. Mineral Carbonation of CO2 in Mafic Plutonic Rocks, II—Laboratory Experiments on Early-Phase Supercritical CO2‒Brine‒Rock Interactions. Applied Sciences. 2020; 10(15):5083. https://doi.org/10.3390/app10155083
Chicago/Turabian StyleMoita, Patrícia, Edgar Berrezueta, Halidi Abdoulghafour, Massimo Beltrame, Jorge Pedro, José Mirão, Catarina Miguel, Cristina Galacho, Fabio Sitzia, Pedro Barrulas, and et al. 2020. "Mineral Carbonation of CO2 in Mafic Plutonic Rocks, II—Laboratory Experiments on Early-Phase Supercritical CO2‒Brine‒Rock Interactions" Applied Sciences 10, no. 15: 5083. https://doi.org/10.3390/app10155083
APA StyleMoita, P., Berrezueta, E., Abdoulghafour, H., Beltrame, M., Pedro, J., Mirão, J., Miguel, C., Galacho, C., Sitzia, F., Barrulas, P., & Carneiro, J. (2020). Mineral Carbonation of CO2 in Mafic Plutonic Rocks, II—Laboratory Experiments on Early-Phase Supercritical CO2‒Brine‒Rock Interactions. Applied Sciences, 10(15), 5083. https://doi.org/10.3390/app10155083

